Robust Automated Mouse Micro-CT Segmentation Using Swin UNEt TRansformers
Abstract
1. Introduction
2. Materials and Methods
2.1. Data
2.2. Model
2.2.1. Swin Transformers for Semantic Segmentation
2.2.2. nnU-Net
2.2.3. AI-Based Mouse Organ Segmentation (AIMOS)
2.3. Evaluation Metrics
2.4. Implementation Details
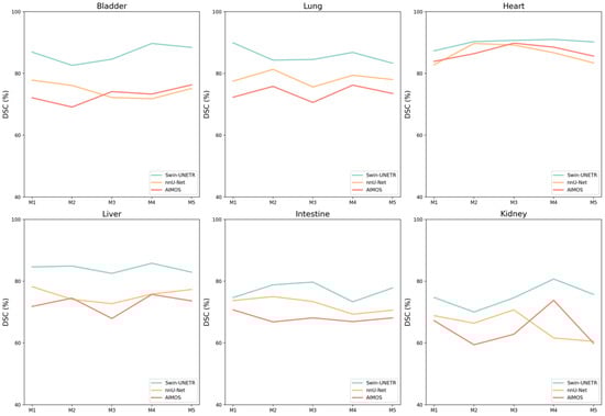
3. Results
4. Discussion
5. Conclusions
Supplementary Materials
Author Contributions
Funding
Institutional Review Board Statement
Informed Consent Statement
Data Availability Statement
Conflicts of Interest
References
- Delaney, G.P.; Barton, M.B. Evidence-based estimates of the demand for radiotherapy. Clin. Oncol. 2015, 27, 70–76. [Google Scholar] [CrossRef] [PubMed]
- Ringborg, U.; Bergqvist, D.; Brorsson, B.; Cavallin-Ståhl, E.; Ceberg, J.; Einhorn, N.; Frödin, J.-e.; Järhult, J.; Lamnevik, G.; Lindholm, C. The Swedish Council on Technology Assessment in Health Care (SBU) systematic overview of radiotherapy for cancer including a prospective survey of radiotherapy practice in Sweden 2001—Summary and conclusions. Acta Oncol. 2003, 42, 357–365. [Google Scholar] [CrossRef] [PubMed]
- Galluzzi, L.; Aryankalayil, M.J.; Coleman, C.N.; Formenti, S.C. Emerging evidence for adapting radiotherapy to immunotherapy. Nat. Rev. Clin. Oncol. 2023, 20, 543–557. [Google Scholar] [CrossRef] [PubMed]
- Killock, D. Recurrent nasopharyngeal carcinoma: Hyperfractionation of IMRT improves outcomes. Nat. Rev. Clin. Oncol. 2023, 20, 283. [Google Scholar] [CrossRef]
- Keall, P.J.; Brighi, C.; Glide-Hurst, C.; Liney, G.; Liu, P.Z.; Lydiard, S.; Paganelli, C.; Pham, T.; Shan, S.; Tree, A.C. Integrated MRI-guided radiotherapy—Opportunities and challenges. Nat. Rev. Clin. Oncol. 2022, 19, 458–470. [Google Scholar] [CrossRef]
- Vozenin, M.-C.; Bourhis, J.; Durante, M. Towards clinical translation of FLASH radiotherapy. Nat. Rev. Clin. Oncol. 2022, 19, 791–803. [Google Scholar] [CrossRef]
- Tillner, F.; Thute, P.; Buetof, R.; Krause, M.; Enghardt, W. Pre-clinical research in small animals using radiotherapy technology—A bidirectional translational approach. Z. Für Med. Phys. 2014, 24, 335–351. [Google Scholar] [CrossRef]
- Price, J.M.; Prabhakaran, A.; West, C.M. Predicting tumour radiosensitivity to deliver precision radiotherapy. Nat. Rev. Clin. Oncol. 2023, 20, 83–98. [Google Scholar] [CrossRef]
- Rosenthal, N.; Brown, S. The mouse ascending: Perspectives for human-disease models. Nat. Cell Biol. 2007, 9, 993–999. [Google Scholar] [CrossRef]
- Perrin, S. Preclinical research: Make mouse studies work. Nature 2014, 507, 423–425. [Google Scholar] [CrossRef]
- Brown, K.H.; Ghita, M.; Dubois, L.J.; de Ruysscher, D.; Prise, K.M.; Verhaegen, F.; Butterworth, K.T. A scoping review of small animal image-guided radiotherapy research: Advances, impact and future opportunities in translational radiobiology. Clin. Transl. Radiat. Oncol. 2022, 34, 112–119. [Google Scholar] [CrossRef] [PubMed]
- Kagadis, G.C.; Loudos, G.; Katsanos, K.; Langer, S.G.; Nikiforidis, G.C. In vivo small animal imaging: Current status and future prospects. Med. Phys. 2010, 37, 6421–6442. [Google Scholar] [CrossRef] [PubMed]
- Schambach, S.J.; Bag, S.; Schilling, L.; Groden, C.; Brockmann, M.A. Application of micro-CT in small animal imaging. Methods 2010, 50, 2–13. [Google Scholar] [CrossRef] [PubMed]
- Verhaegen, F.; van Hoof, S.; Granton, P.V.; Trani, D. A review of treatment planning for precision image-guided photon beam pre-clinical animal radiation studies. Z. Für Med. Phys. 2014, 24, 323–334. [Google Scholar] [CrossRef]
- Jensen, M. Development of a Small Animal Conformal Irradiator with Dual Energy X-Ray Computed Tomography Imaging for Kilovoltage Dosimetry. Ph.D. Thesis, The University of Western Ontario, London, ON, Canada, 2015. [Google Scholar]
- Wong, J.; Armour, E.; Kazanzides, P.; Iordachita, I.; Tryggestad, E.; Deng, H.; Matinfar, M.; Kennedy, C.; Liu, Z.; Chan, T. High-resolution, small animal radiation research platform with x-ray tomographic guidance capabilities. Int. J. Radiat. Oncol. Biol. Phys. 2008, 71, 1591–1599. [Google Scholar] [CrossRef]
- Verhaegen, F.; Granton, P.; Tryggestad, E. Small animal radiotherapy research platforms. Phys. Med. Biol. 2011, 56, R55. [Google Scholar] [CrossRef]
- Zuro, D.; Madabushi, S.S.; Brooks, J.; Chen, B.T.; Goud, J.; Salhotra, A.; Song, J.Y.; Parra, L.E.; Pierini, A.; Sanchez, J.F. First Multimodal, Three-Dimensional, Image-Guided Total Marrow Irradiation Model for Preclinical Bone Marrow Transplantation Studies. Int. J. Radiat. Oncol. Biol. Phys. 2021, 111, 671–683. [Google Scholar] [CrossRef]
- Abdelhamid, A.M.; Jiang, L.; Zuro, D.; Liu, A.; Madabushi, S.S.; Ghimire, H.; Wong, J.Y.; Saldi, S.; Fulcheri, C.; Zucchetti, C. Feasibility of a Novel Sparse Orthogonal Collimator–Based Preclinical Total Marrow Irradiation for Enhanced Dosimetric Conformality. Front. Oncol. 2022, 12, 941814. [Google Scholar] [CrossRef]
- Draeger, E.; Sawant, A.; Johnstone, C.; Koger, B.; Becker, S.; Vujaskovic, Z.; Jackson, I.-L.; Poirier, Y. A dose of reality: How 20 years of incomplete physics and dosimetry reporting in radiobiology studies may have contributed to the reproducibility crisis. Int. J. Radiat. Oncol. Biol. Phys. 2020, 106, 243–252. [Google Scholar] [CrossRef]
- Baiker, M.; Milles, J.; Dijkstra, J.; Henning, T.D.; Weber, A.W.; Que, I.; Kaijzel, E.L.; Löwik, C.W.; Reiber, J.H.; Lelieveldt, B.P. Atlas-based whole-body segmentation of mice from low-contrast Micro-CT data. Med. Image Anal. 2010, 14, 723–737. [Google Scholar] [CrossRef]
- Wang, H.; Stout, D.B.; Chatziioannou, A.F. Estimation of mouse organ locations through registration of a statistical mouse atlas with micro-CT images. IEEE Trans. Med. Imaging 2011, 31, 88–102. [Google Scholar] [CrossRef] [PubMed]
- Khmelinskii, A.; Baiker, M.; Kaijzel, E.L.; Chen, J.; Reiber, J.H.; Lelieveldt, B.P. Articulated whole-body atlases for small animal image analysis: Construction and applications. Mol. Imaging Biol. 2011, 13, 898–910. [Google Scholar] [CrossRef] [PubMed]
- Wang, H.; Stout, D.B.; Chatziioannou, A.F. A method of 2D/3D registration of a statistical mouse atlas with a planar X-ray projection and an optical photo. Med. Image Anal. 2013, 17, 401–416. [Google Scholar] [CrossRef]
- Van Der Heyden, B.; Podesta, M.; Eekers, D.B.; Vaniqui, A.; Almeida, I.P.; Schyns, L.E.; Van Hoof, S.J.; Verhaegen, F. Automatic multiatlas based organ at risk segmentation in mice. Br. J. Radiol. 2019, 92, 20180364. [Google Scholar] [CrossRef]
- Akselrod-Ballin, A.; Dafni, H.; Addadi, Y.; Biton, I.; Avni, R.; Brenner, Y.; Neeman, M. Multimodal correlative preclinical whole body imaging and segmentation. Sci. Rep. 2016, 6, 27940. [Google Scholar] [CrossRef]
- Ronneberger, O.; Fischer, P.; Brox, T. U-net: Convolutional networks for biomedical image segmentation. In Proceedings of the International Conference on Medical Image Computing and Computer-Assisted Intervention, Munich, Germany, 5–9 October 2015; Springer: Berlin/Heidelberg, Germany, 2015; pp. 234–241. [Google Scholar]
- Gibson, E.; Giganti, F.; Hu, Y.; Bonmati, E.; Bandula, S.; Gurusamy, K.; Davidson, B.; Pereira, S.P.; Clarkson, M.J.; Barratt, D.C. Automatic multi-organ segmentation on abdominal CT with dense V-networks. IEEE Trans. Med. Imaging 2018, 37, 1822–1834. [Google Scholar] [CrossRef]
- Tong, N.; Gou, S.; Yang, S.; Ruan, D.; Sheng, K. Fully automatic multi-organ segmentation for head and neck cancer radiotherapy using shape representation model constrained fully convolutional neural networks. Med. Phys. 2018, 45, 4558–4567. [Google Scholar] [CrossRef]
- van der Heyden, B.; van de Worp, W.R.; van Helvoort, A.; Theys, J.; Schols, A.M.; Langen, R.C.; Verhaegen, F. Automated CT-derived skeletal muscle mass determination in lower hind limbs of mice using a 3D U-Net deep learning network. J. Appl. Physiol. 2020, 128, 42–49. [Google Scholar] [CrossRef]
- Wang, H.; Han, Y.; Chen, Z.; Hu, R.; Chatziioannou, A.F.; Zhang, B. Prediction of major torso organs in low-contrast micro-CT images of mice using a two-stage deeply supervised fully convolutional network. Phys. Med. Biol. 2019, 64, 245014. [Google Scholar] [CrossRef]
- Schoppe, O.; Pan, C.; Coronel, J.; Mai, H.; Rong, Z.; Todorov, M.I.; Müskes, A.; Navarro, F.; Li, H.; Ertürk, A. Deep learning-enabled multi-organ segmentation in whole-body mouse scans. Nat. Commun. 2020, 11, 5626. [Google Scholar] [CrossRef]
- Malimban, J.; Lathouwers, D.; Qian, H.; Verhaegen, F.; Wiedemann, J.; Brandenburg, S.; Staring, M. Deep learning-based segmentation of the thorax in mouse micro-CT scans. Sci. Rep. 2022, 12, 1822. [Google Scholar] [CrossRef] [PubMed]
- Lappas, G.; Wolfs, C.J.; Staut, N.; Lieuwes, N.G.; Biemans, R.; van Hoof, S.J.; Dubois, L.J.; Verhaegen, F. Automatic contouring of normal tissues with deep learning for preclinical radiation studies. Phys. Med. Biol. 2022, 67, 044001. [Google Scholar] [CrossRef] [PubMed]
- Huang, H.; Lin, L.; Tong, R.; Hu, H.; Zhang, Q.; Iwamoto, Y.; Han, X.; Chen, Y.-W.; Wu, J. Unet 3+: A full-scale connected unet for medical image segmentation. In Proceedings of the ICASSP 2020-2020 IEEE International Conference on Acoustics, Speech and Signal Processing (ICASSP), Barcelona, Spain, 4–8 May 2020; pp. 1055–1059. [Google Scholar]
- Isensee, F.; Jaeger, P.F.; Kohl, S.A.; Petersen, J.; Maier-Hein, K.H. nnU-Net: A self-configuring method for deep learning-based biomedical image segmentation. Nat. Methods 2021, 18, 203–211. [Google Scholar] [CrossRef] [PubMed]
- Xu, D.; Ma, T.M.; Savjani, R.; Pham, J.; Cao, M.; Yang, Y.; Kishan, A.U.; Scalzo, F.; Sheng, K. Fully automated segmentation of prostatic urethra for MR-guided radiation therapy. Med. Phys. 2023, 50, 354–364. [Google Scholar] [CrossRef]
- Xiao, H.; Li, L.; Liu, Q.; Zhu, X.; Zhang, Q. Transformers in medical image segmentation: A review. Biomed. Signal Process. Control 2023, 84, 104791. [Google Scholar] [CrossRef]
- Shamshad, F.; Khan, S.; Zamir, S.W.; Khan, M.H.; Hayat, M.; Khan, F.S.; Fu, H. Transformers in medical imaging: A survey. Med. Image Anal. 2023, 88, 102802. [Google Scholar] [CrossRef]
- Dosovitskiy, A.; Beyer, L.; Kolesnikov, A.; Weissenborn, D.; Zhai, X.; Unterthiner, T.; Dehghani, M.; Minderer, M.; Heigold, G.; Gelly, S. An image is worth 16x16 words: Transformers for image recognition at scale. arXiv 2020, arXiv:2010.11929. [Google Scholar]
- Chen, J.; Lu, Y.; Yu, Q.; Luo, X.; Adeli, E.; Wang, Y.; Lu, L.; Yuille, A.L.; Zhou, Y. Transunet: Transformers make strong encoders for medical image segmentation. arXiv 2021, arXiv:2102.04306. [Google Scholar]
- Hatamizadeh, A.; Tang, Y.; Nath, V.; Yang, D.; Myronenko, A.; Landman, B.; Roth, H.R.; Xu, D. Unetr: Transformers for 3d medical image segmentation. In Proceedings of the IEEE/CVF Winter Conference on Applications of Computer Vision, Waikoloa, HI, USA, 3–8 January 2022; pp. 574–584. [Google Scholar]
- Rolfe, S.; Whikehart, S.; Maga, A. Deep learning enabled multi-organ segmentation of mouse embryos. Biol. Open 2023, 12, bio059698. [Google Scholar] [CrossRef]
- Liu, Z.; Lin, Y.; Cao, Y.; Hu, H.; Wei, Y.; Zhang, Z.; Lin, S.; Guo, B. Swin transformer: Hierarchical vision transformer using shifted windows. In Proceedings of the IEEE/CVF International Conference on Computer Vision, Montreal, BC, Canada, 11–17 October 2021; pp. 10012–10022. [Google Scholar]
- Lin, A.; Chen, B.; Xu, J.; Zhang, Z.; Lu, G.; Zhang, D. Ds-transunet: Dual swin transformer u-net for medical image segmentation. IEEE Trans. Instrum. Meas. 2022, 71, 4005615. [Google Scholar] [CrossRef]
- Cao, H.; Wang, Y.; Chen, J.; Jiang, D.; Zhang, X.; Tian, Q.; Wang, M. Swin-unet: Unet-like pure transformer for medical image segmentation. In Proceedings of the European Conference on Computer Vision, Tel Aviv, Israel, 23–27 October 2022; Springer: Berlin/Heidelberg, Germany, 2022; pp. 205–218. [Google Scholar]
- Ma, D.; Hosseinzadeh Taher, M.R.; Pang, J.; Islam, N.U.; Haghighi, F.; Gotway, M.B.; Liang, J. Benchmarking and boosting transformers for medical image classification. In Proceedings of the MICCAI Workshop on Domain Adaptation and Representation Transfer, Singapore, 22 September 2022; Springer: Berlin/Heidelberg, Germany, 2022; pp. 12–22. [Google Scholar]
- Hatamizadeh, A.; Nath, V.; Tang, Y.; Yang, D.; Roth, H.R.; Xu, D. Swin unetr: Swin transformers for semantic segmentation of brain tumors in mri images. In Proceedings of the International MICCAI Brainlesion Workshop, Virtual, 27 September 2021; Springer: Berlin/Heidelberg, Germany, 2021; pp. 272–284. [Google Scholar]
- Myronenko, A. 3D MRI brain tumor segmentation using autoencoder regularization. In Brainlesion: Glioma, Multiple Sclerosis, Stroke and Traumatic Brain Injuries, Proceedings of the 4th International Workshop, BrainLes 2018, Held in Conjunction with MICCAI 2018, Granada, Spain, 16 September 2018; Revised Selected Papers, Part II 4. Springer: Berlin/Heidelberg, Germany, 2019; pp. 311–320. [Google Scholar]
- Wang, W.; Chen, C.; Ding, M.; Yu, H.; Zha, S.; Li, J. Transbts: Multimodal brain tumor segmentation using transformer. In Medical Image Computing and Computer Assisted Intervention–MICCAI 2021, Proceedings of the 24th International Conference, Strasbourg, France, 27 September–1 October 2021; Proceedings, Part I 24. Springer: Berlin/Heidelberg, Germany, 2021; pp. 109–119. [Google Scholar]
- Rosenhain, S.; Magnuska, Z.A.; Yamoah, G.G.; Rawashdeh, W.; Kiessling, F.; Gremse, F. A preclinical micro-computed tomography database including 3D whole body organ segmentations. Sci. Data 2018, 5, 180294. [Google Scholar] [CrossRef] [PubMed]
- Reinke, A.; Tizabi, M.D.; Sudre, C.H.; Eisenmann, M.; Rädsch, T.; Baumgartner, M.; Acion, L.; Antonelli, M.; Arbel, T.; Bakas, S. Common limitations of image processing metrics: A picture story. arXiv 2021, arXiv:2104.05642. [Google Scholar]
- Dilworth, J.T.; Krueger, S.A.; Wilson, G.D.; Marples, B. Preclinical models for translational research should maintain pace with modern clinical practice. Int. J. Radiat. Oncol. Biol. Phys. 2014, 88, 540–544. [Google Scholar] [CrossRef] [PubMed]
- Van Hoof, S.J.; Verde, J.B.; Verhaegen, F. Dose painting by dynamic irradiation delivery on an image-guided small animal radiotherapy platform. Br. J. Radiol. 2019, 92, 20180744. [Google Scholar] [CrossRef] [PubMed]
- Woods, K.; Neph, R.; Nguyen, D.; Sheng, K. A sparse orthogonal collimator for small animal intensity-modulated radiation therapy. Part II: Hardware development and commissioning. Med. Phys. 2019, 46, 5733–5747. [Google Scholar] [CrossRef]
- Woods, K.; Nguyen, D.; Neph, R.; Ruan, D.; O’Connor, D.; Sheng, K. A sparse orthogonal collimator for small animal intensity-modulated radiation therapy part I: Planning system development and commissioning. Med. Phys. 2019, 46, 5703–5713. [Google Scholar] [CrossRef]
- Jiang, L.; Lyu, Q.; Abdelhamid, A.M.; Hui, S.; Sheng, K. An efficient rectangular optimization method for sparse orthogonal collimator based small animal irradiation. Phys. Med. Biol. 2022, 67, 195010. [Google Scholar] [CrossRef]
- Redler, G.; Pearson, E.; Liu, X.; Gertsenshteyn, I.; Epel, B.; Pelizzari, C.; Aydogan, B.; Weichselbaum, R.; Halpern, H.J.; Wiersma, R.D. Small Animal IMRT Using 3D-Printed Compensators. Int. J. Radiat. Oncol. Biol. Phys. 2021, 110, 551–565. [Google Scholar] [CrossRef]
- Liu, X.; Van Slyke, A.L.; Pearson, E.; Shoniyozov, K.; Redler, G.; Wiersma, R.D. Improving the efficiency of small animal 3D-printed compensator IMRT with beamlet intensity total variation regularization. Med. Phys. 2022, 49, 5400–5408. [Google Scholar] [CrossRef]
- Jiang, L.; Ramesh, P.; Neph, R.; Sheng, K. Multi-MATE, a high-throughput platform for automated image-guided small-animal irradiation. Med. Phys. 2023, 50, 7383–7389. [Google Scholar] [CrossRef]
- Guan, H.; Liu, M. Domain adaptation for medical image analysis: A survey. IEEE Trans. Biomed. Eng. 2021, 69, 1173–1185. [Google Scholar] [CrossRef]
- Jia, X.; Wang, S.; Liang, X.; Balagopal, A.; Nguyen, D.; Yang, M.; Wang, Z.; Ji, J.X.; Qian, X.; Jiang, S. Cone-beam computed tomography (CBCT) segmentation by adversarial learning domain adaptation. In Medical Image Computing and Computer Assisted Intervention–MICCAI 2019, Proceedings of the 22nd International Conference, Shenzhen, China, 13–17 October 2019; Proceedings, Part VI 22. Springer: Berlin/Heidelberg, Germany, 2019; pp. 567–575. [Google Scholar]






| Dataset | Source | Scanner | Number of Animals | Number of Images | Energy | Resolution | ||
|---|---|---|---|---|---|---|---|---|
| Training/ Validation | Test | Training/ Validation | Test | |||||
| Native CT (NACT) | Public Dataset | Tomoscope Duo | 14 | 6 | 98 | 42 | 65 kV | 0.14 mm × 0.14 mm × 0.14 mm |
| Contrast-enhanced CT (CECT) | Public Dataset | InSyTe | 6 | 2 | 66 | 15 | 75 kV | 0.14 mm × 0.14 mm × 0.14 mm |
| In-house CT (IHCT) | City of Hope | SmART | / | 5 | / | 5 | 40 kV | 0.2 mm × 0.2 mm × 0.2 mm |
| DSC (%) mean ± s.d. | Bladder-1 | Lungs-2 | Heart-3 | Liver-4 | Intestine-5 | Kidneys-6 | Spleen-7 | ||||||||
|---|---|---|---|---|---|---|---|---|---|---|---|---|---|---|---|
| Swin UNETR | nnU-Net | Swin UNETR | nnU-Net | Swin UNETR | nnU-Net | Swin UNETR | nnU-Net | Swin UNETR | nnU-Net | Swin UNETR | nnU-Net | Swin UNETR | nnU-Net | ||
| NACT | M01 | 90.9 ± 1.8 | 90.1 ± 2.3 | 89.4 ± 1.5 | 88.3 ± 1.3 | 92.6 ± 1.3 | 90.8 ± 1.2 | 91.1 ± 1.2 | 88.8 ± 1.3 | 86.5 ± 2 | 86 ± 1.8 | 91 ± 1.1 | 90.4 ± 1 | 74.6 ± 7.7 | 72.5 ± 8.7 |
| M02 | 92.5 ± 2.3 | 92.4 ± 2 | 91.2 ± 0.9 | 89.2 ± 0.9 | 91.8 ± 1.2 | 90.8 ± 1.3 | 92 ± 1.3 | 90.5 ± 1.1 | 89.7 ± 1.9 | 89.3 ± 1.8 | 91.3 ± 1.4 | 90.4 ± 1.3 | 75.2 ± 3.6 | 73.8 ± 6.5 | |
| M03 | 92.3 ± 0.6 | 90.7 ± 1 | 90.6 ± 1.2 | 89.4 ± 1.5 | 91.4 ± 0.9 | 91.3 ± 1.1 | 91 ± 0.5 | 90.9 ± 1.1 | 88.7 ± 1.5 | 88.9 ± 1.2 | 88.8 ± 2 | 88.6 ± 3.1 | 75.5 ± 3.9 | 74.9 ± 4.2 | |
| M04 | 91.7 ± 1.6 | 90.5 ± 1.5 | 92.5 ± 0.7 | 89.8 ± 0.9 | 92.7 ± 0.6 | 91.6 ± 0.5 | 91.6 ± 1 | 91.1 ± 1.2 | 89.8 ± 1.3 | 89.8 ± 1.5 | 90.9 ± 1.1 | 90.6 ± 1 | 76.1 ± 4.4 | 74.1 ± 6 | |
| M05 | 88.5 ± 0.6 | 86.8 ± 1.3 | 89.5 ± 0.7 | 88.9 ± 0.9 | 93.4 ± 0.3 | 92.1 ± 0.4 | 92 ± 1.3 | 90.2 ± 1.4 | 88.2 ± 1.6 | 88.4 ± 1.7 | 90 ± 1.4 | 89.9 ± 1.7 | 77.2 ± 2.8 | 75.8 ± 4.5 | |
| M06 | 89.8 ± 2.6 | 89.1 ± 2.3 | 93.2 ± 1.6 | 92.4 ± 1.5 | 93 ± 0.6 | 91.8 ± 0.8 | 87.7 ± 0.7 | 87.6 ± 1.8 | 88 ± 1.5 | 88 ± 2.2 | 86.6 ± 2.7 | 85.5 ± 3 | 67.5 ± 7.2 | 65.9 ± 8.7 | |
| CECT | M01 | 91.9 ± 3 | 90.1 ± 3.2 | 89.9 ± 4 | 89.9 ± 4.8 | 93 ± 1.3 | 92.3 ± 1.6 | 92.7 ± 0.3 | 92.4 ± 0.6 | 89.5 ± 2.9 | 88.9 ± 2.8 | 92 ± 1.3 | 91.2 ± 1.3 | 92.4 ± 1.4 | 90.5 ± 2.5 |
| M02 | 91.4 ± 3.1 | 89.1 ± 3 | 86.6 ± 5.5 | 85.8 ± 7.1 | 92.5 ± 1.4 | 90.8 ± 1.6 | 88.5 ± 4.2 | 85.5 ± 4.3 | 84.9 ± 3.5 | 84.6 ± 5.1 | 88.8 ± 2.8 | 87.7 ± 2.6 | 92.3 ± 1.3 | 91.4 ± 1 | |
| HD95p(mm) mean ± s.d. | Bladder-1 | Lungs-2 | Heart-3 | Liver-4 | Intestine-5 | Kidneys-6 | Spleen-7 | ||||||||
| Swin UNETR | nnU-Net | Swin UNETR | nnU-Net | Swin UNETR | nnU-Net | Swin UNETR | nnU-Net | Swin UNETR | nnU-Net | Swin UNETR | nnU-Net | Swin UNETR | nnU-Net | ||
| NACT | M01 | 0.42 ± 0.16 | 0.47 ± 0.16 | 0.29 ± 0.11 | 0.31 ± 0.16 | 0.42 ± 0.2 | 0.46 ± 0.24 | 1.16 ± 0.47 | 1.38 ± 0.33 | 1.86 ± 0.66 | 1.86 ± 0.53 | 0.57 ± 0.2 | 0.65 ± 0.11 | 0.97 ± 0.32 | 1.11 ± 0.44 |
| M02 | 0.39 ± 0.17 | 0.41 ± 0.17 | 0.28 ± 0.09 | 0.28 ± 0.08 | 0.47 ± 0.14 | 0.47 ± 0.16 | 0.93 ± 0.37 | 1.03 ± 0.39 | 1.86 ± 0.46 | 1.93 ± 0.68 | 0.56 ± 0.18 | 0.69 ± 0.12 | 0.85 ± 0.19 | 1.15 ± 0.29 | |
| M03 | 0.41 ± 0.14 | 0.45 ± 0.13 | 0.27 ± 0.07 | 0.48 ± 0.11 | 0.37 ± 0.15 | 0.40 ± 0.16 | 0.98 ± 0.28 | 1.03 ± 0.62 | 2.31 ± 0.68 | 2.28 ± 0.7 | 0.61 ± 0.29 | 0.75 ± 0.24 | 1.06 ± 0.19 | 1.03 ± 0.17 | |
| M04 | 0.43 ± 0.12 | 0.46 ± 0.13 | 0.27 ± 0.12 | 0.30 ± 0.14 | 0.39 ± 0.1 | 0.39 ± 0.17 | 0.99 ± 0.3 | 1.02 ± 0.38 | 1.60 ± 0.4 | 1.63 ± 0.58 | 0.53 ± 0.14 | 0.65 ± 0.15 | 1.00 ± 0.23 | 1.09 ± 0.34 | |
| M05 | 0.64 ± 0.17 | 0.64 ± 0.19 | 0.26 ± 0.1 | 0.31 ± 0.15 | 0.36 ± 0.07 | 0.37 ± 0.08 | 0.98 ± 0.29 | 1.08 ± 0.3 | 1.98 ± 0.33 | 1.91 ± 0.45 | 0.58 ± 0.18 | 0.68 ± 0.17 | 1.06 ± 0.21 | 1.12 ± 0.32 | |
| M06 | 0.37 ± 0.14 | 0.51 ± 0.16 | 0.32 ± 0.18 | 0.32 ± 0.2 | 0.39 ± 0.16 | 0.39 ± 0.2 | 1.23 ± 0.53 | 1.47 ± 0.66 | 2.02 ± 0.51 | 2.03 ± 0.62 | 0.65 ± 0.15 | 0.77 ± 0.25 | 1.39 ± 0.3 | 1.65 ± 0.45 | |
| CECT | M01 | 0.38 ± 0.1 | 0.44 ± 0.2 | 0.25 ± 0.15 | 0.29 ± 0.13 | 0.52 ± 0.24 | 0.58 ± 0.19 | 1.14 ± 0.29 | 1.26 ± 0.42 | 1.78 ± 0.5 | 1.94 ± 0.67 | 0.62 ± 0.29 | 0.65 ± 0.24 | 0.72 ± 0.2 | 0.76 ± 0.33 |
| M02 | 0.46 ± 0.11 | 0.50 ± 0.14 | 0.27 ± 0.13 | 0.35 ± 0.1 | 0.59 ± 0.27 | 0.62 ± 0.2 | 1.06 ± 0.39 | 1.10 ± 0.5 | 2.04 ± 0.9 | 2.10 ± 0.8 | 0.59 ± 0.2 | 0.83 ± 0.38 | 0.64 ± 0.12 | 0.73 ± 0.26 | |
| Bladder-1 | Lungs-2 | Heart-3 | Liver-4 | Intestine-5 | Kidneys-6 | |||||||||||||
|---|---|---|---|---|---|---|---|---|---|---|---|---|---|---|---|---|---|---|
| mean ± s.d. | Swin UNETR | nnU-Net | AIMOS | Swin UNETR | nnU-Net | AIMOS | Swin UNETR | nnU-Net | AIMOS | Swin UNETR | nnU-Net | AIMOS | Swin UNETR | nnU-Net | AIMOS | Swin UNETR | nnU-Net | AIMOS |
| DSC (%) | 86.4 ± 2.6 | 74.6 ± 2.3 | 73.0 ± 2.4 | 84.7 ± 2.4 | 78.4 ± 1.9 | 73.7 ± 2.1 | 89.9 ± 1.3 | 86.3 ± 2.9 | 86.8 ± 2.1 | 84.2 ± 1.2 | 75.6 ± 2.0 | 72.7 ± 2.7 | 76.8 ± 2.5 | 72.4 ± 2.1 | 68.1 ± 1.4 | 74.4 ± 3.4 | 66.2 ± 4.8 | 64.6 ± 5.4 |
| HD95p (mm) | 0.6 ± 0.2 | 0.8 ± 0.6 | 1.7 ± 1.1 | 0.7 ± 0.2 | 1.2 ± 0.1 | 1.0 ± 0.2 | 0.6 ± 0.1 | 1.1 ± 0.1 | 0.8 ± 0.1 | 1.8 ± 0.2 | 2.1 ± 0.6 | 2.2 ± 0.9 | 2.6 ± 0.8 | 2.8 ± 0.7 | 3.0 ± 1.7 | 1.6 ± 0.5 | 2.5 ± 0.9 | 2.8 ± 0.4 |
| Model | Swin UNETR | 3D nnU-Net | AIMOS |
|---|---|---|---|
| Training time per epoch (s) | 172.5 | 57.0 | 17.8 |
| Inference (s) | 54.7 | 20.8 | 4.4 |
Disclaimer/Publisher’s Note: The statements, opinions and data contained in all publications are solely those of the individual author(s) and contributor(s) and not of MDPI and/or the editor(s). MDPI and/or the editor(s) disclaim responsibility for any injury to people or property resulting from any ideas, methods, instructions or products referred to in the content. |
© 2024 by the authors. Licensee MDPI, Basel, Switzerland. This article is an open access article distributed under the terms and conditions of the Creative Commons Attribution (CC BY) license (https://creativecommons.org/licenses/by/4.0/).
Share and Cite
Jiang, L.; Xu, D.; Xu, Q.; Chatziioannou, A.; Iwamoto, K.S.; Hui, S.; Sheng, K. Robust Automated Mouse Micro-CT Segmentation Using Swin UNEt TRansformers. Bioengineering 2024, 11, 1255. https://doi.org/10.3390/bioengineering11121255
Jiang L, Xu D, Xu Q, Chatziioannou A, Iwamoto KS, Hui S, Sheng K. Robust Automated Mouse Micro-CT Segmentation Using Swin UNEt TRansformers. Bioengineering. 2024; 11(12):1255. https://doi.org/10.3390/bioengineering11121255
Chicago/Turabian StyleJiang, Lu, Di Xu, Qifan Xu, Arion Chatziioannou, Keisuke S. Iwamoto, Susanta Hui, and Ke Sheng. 2024. "Robust Automated Mouse Micro-CT Segmentation Using Swin UNEt TRansformers" Bioengineering 11, no. 12: 1255. https://doi.org/10.3390/bioengineering11121255
APA StyleJiang, L., Xu, D., Xu, Q., Chatziioannou, A., Iwamoto, K. S., Hui, S., & Sheng, K. (2024). Robust Automated Mouse Micro-CT Segmentation Using Swin UNEt TRansformers. Bioengineering, 11(12), 1255. https://doi.org/10.3390/bioengineering11121255

