Evolution of Volatile and Phenolic Compounds during Bottle Storage of Merlot Wines Vinified Using Pulsed Electric Fields-Treated Grapes
Abstract
1. Introduction
2. Materials and Methods
2.1. Grapes
2.2. PEF-Assisted Vinification of Merlot Grapes
2.2.1. PEF Treatments
2.2.2. Vinification Process
2.3. Storage Experiment of Bottled PEF Wines under Different Temperatures as a Function of Time
2.4. Determination of the Oenological Properties for Stored PEF Wines
2.5. Determination of the Volatile Fingerprints for Stored PEF Wines
2.6. Determination of Anthocyanins and Phenolic Composition for Stored PEF Wines
2.7. Multivariate Data Analysis through Partial Least Squares-Regression (PLS-R)
3. Results and Discussion
3.1. Visualization of the Evolution of the Oenological, Volatile, and Phenolic Fingerprints for the Bottled PEF Wines at Three Temperatures as a Function of Storage Time
3.2. Key Changes in the Color, Oenological, Volatile, and Phenolic Fingerprints for the Bottled PEF Wines at Three Different Storage Temperatures as a Function of Time
3.2.1. Increases in the Hydroxycinnamic and Hydroxybenzoic Acids Over Storage Time
3.2.2. Decreases in the Anthocyanins and Color Properties over Storage Time
3.2.3. Reduction of Esters and Acetates Volatiles over Storage Time at Cold Storage
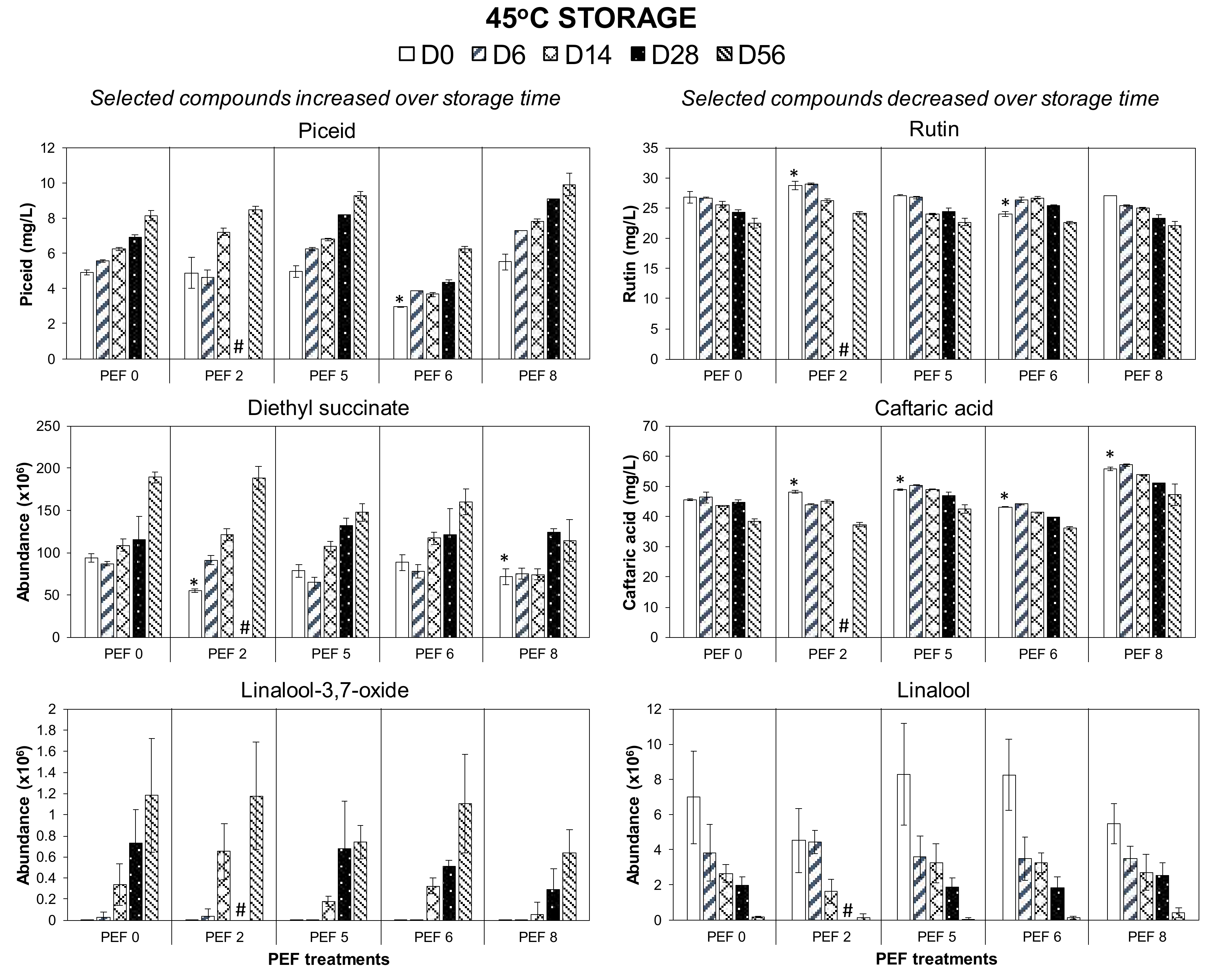
3.2.4. Wine Constituents Identified to be Temperature Sensitive under Extreme Storage Condition of 45 °C
3.2.5. Effect of PEF Pre-Treatments on Merlot Grapes on the Evolution of Wine Constituents during Storage
4. Conclusions
Author Contributions
Funding
Acknowledgments
Conflicts of Interest
References
- Leong, S.Y.; Treadwell, M.; Liu, T.; Hochberg, M.; Sack, M.; Mueller, G.; Sigler, J.; Silcock, P.; Oey, I. Influence of Pulsed Electric Fields processing at high-intensity electric field strength on the relationship between anthocyanins composition and colour intensity of Merlot (Vitis vinifera L.) musts during cold maceration. Innov. Food Sci. Emerg. Technol. 2020, 59, 102243. [Google Scholar] [CrossRef]
- Puértolas, E.; López, N.; Condón, S.; Álvarez, I.; Raso, J. Potential applications of PEF to improve red wine quality. Trends Food Sci. Technol. 2010, 21, 247–255. [Google Scholar] [CrossRef]
- Avizcuri, J.-M.; Sáenz-Navajas, M.-P.; Echávarri, J.-F.; Ferreira, V.; Fernández-Zurbano, P. Evaluation of the impact of initial red wine composition on changes in color and anthocyanin content during bottle storage. Food Chem. 2016, 213, 123–134. [Google Scholar] [CrossRef] [PubMed]
- Arapitsas, P.; Speri, G.; Angeli, A.; Perenzoni, D.; Mattivi, F. The influence of storage on the “chemical age” of red wines. Metabolomics 2014, 10, 816–832. [Google Scholar] [CrossRef]
- Mattivi, F.; Arapitsas, P.; Perenzoni, D.; Guella, G. Influence of storage conditions on the composition of red wines. In Advances in Wine Research; Ebeler, S.B., Sacks, G., Vidal, S., Winterhalter, P., Eds.; American Chemical Society: Washington, DC, USA, 2015; Volume 1203, pp. 29–49. [Google Scholar]
- Scrimgeour, N.; Nordestgaard, S.; Lloyd, N.D.R.; Wilkes, E.N. Exploring the effect of elevated storage temperature on wine composition. Aust. J. Grape Wine Res. 2015, 21, 713–722. [Google Scholar] [CrossRef]
- Puértolas, E.; Saldaña, G.; Condón, S.; Álvarez, I.; Raso, J. Evolution of polyphenolic compounds in red wine from Cabernet Sauvignon grapes processed by pulsed electric fields during aging in bottle. Food Chem. 2010, 119, 1063–1070. [Google Scholar] [CrossRef]
- Puértolas, E.; Saldaña, G.; Condón, S.; Álvarez, I.; Raso, J. A comparison of the effect of macerating enzymes and pulsed electric fields technology on phenolic content and color of red wine. J. Food Sci. 2009, 74, C647–C652. [Google Scholar] [CrossRef]
- Puértolas, E.; Saldaña, G.; Álvarez, I.; Raso, J. Effect of pulsed electric field processing of red grapes on wine chromatic and phenolic characteristics during aging in oak barrels. J. Agric. Food Chem. 2010, 58, 2351–2357. [Google Scholar] [CrossRef]
- Grauwet, T.; Vervoort, L.; Colle, I.; Van Loey, A.; Hendrickx, M. From fingerprinting to kinetics in evaluating food quality changes. Trends Biotechnol. 2014, 32, 125–131. [Google Scholar] [CrossRef]
- Sack, M.; Sigler, J.; Eing, C.; Stukenbrock, L.; Stangle, R.; Wolf, A.; Muller, G. Operation of an electroporation device for grape mash. IEEE Trans. Plasma Sci. 2010, 38, 1928–1934. [Google Scholar] [CrossRef]
- Glories, Y. La coleur des vins rouges: 1° partie “les equilibres des anthocyanes et des tanins. Connaiss. Vigne Vin 1984, 18, 195–217. [Google Scholar]
- Arcena, M.R.; Kebede, B.; Leong, S.Y.; Silcock, P.; Oey, I. Feasibility of using integrated fingerprinting, profiling and chemometrics approach to understand (bio) chemical changes throughout commercial red winemaking: A case study on Merlot. Food Res. Int. 2020, 127, 108767. [Google Scholar] [CrossRef] [PubMed]
- Kebede, B.T.; Grauwet, T.; Magpusao, J.; Palmers, S.; Michiels, C.; Hendrickx, M.; Van Loey, A. Chemical changes of thermally sterilized broccoli puree during shelf-life: Investigation of the volatile fraction by fingerprinting-kinetics. Food Res. Int. 2015, 67, 264–271. [Google Scholar] [CrossRef]
- Buvé, C.; Neckebroeck, B.; Haenen, A.; Kebede, B.; Hendrickx, M.; Grauwet, T.; Van Loey, A. Combining untargeted, targeted and sensory data to investigate the impact of storage on food volatiles: A case study on strawberry juice. Food Res. Int. 2018, 113, 382–391. [Google Scholar] [CrossRef]
- Wibowo, S.; Grauwet, T.; Kebede, B.T.; Hendrickx, M.; Van Loey, A. Study of chemical changes in pasteurised orange juice during shelf-life: A fingerprinting-kinetics evaluation of the volatile fraction. Food Res. Int. 2015, 75, 295–304. [Google Scholar] [CrossRef]
- Oliveira, C.M.; Barros, A.S.; Silva Ferreira, A.C.; Silva, A.M.S. Influence of the temperature and oxygen exposure in red port wine: A kinetic approach. Food Res. Int. 2015, 75, 337–347. [Google Scholar] [CrossRef]
- Agazzi, F.M.; Nelson, J.; Tanabe, C.K.; Doyle, C.; Boulton, R.B.; Buscema, F. Aging of Malbec wines from Mendoza and California: Evolution of phenolic and elemental composition. Food Chem. 2018, 269, 103–110. [Google Scholar] [CrossRef]
- Monagas, M.; Bartolomé, B.; Gómez-Cordovés, C. Evolution of polyphenols in red wines from Vitis vinifera L. during aging in the bottle. Eur. Food Res. Technol. 2005, 220, 331–340. [Google Scholar] [CrossRef]
- Cassino, C.; Tsolakis, C.; Bonello, F.; Gianotti, V.; Osella, D. Wine evolution during bottle aging, studied by 1H NMR spectroscopy and multivariate statistical analysis. Food Res. Int. 2019, 116, 566–577. [Google Scholar] [CrossRef]
- Ferrer-Gallego, R.; Hernández-Hierro, J.M.; Rivas-Gonzalo, J.C.; Escribano-Bailón, M.T. Sensory evaluation of bitterness and astringency sub-qualities of wine phenolic compounds: Synergistic effect and modulation by aromas. Food Res. Int. 2014, 62, 1100–1107. [Google Scholar] [CrossRef]
- Petrozziello, M.; Torchio, F.; Piano, F.; Giacosa, S.; Ugliano, M.; Bosso, A.; Rolle, L. Impact of increasing levels of oxygen consumption on the evolution of color, phenolic, and volatile compounds of Nebbiolo wines. Front. Chem. 2018, 6, 137. [Google Scholar] [CrossRef] [PubMed]
- González-Sáiz, J.M.; Esteban-Díez, I.; Rodríguez-Tecedor, S.; Pérez-del-Notario, N.; Arenzana-Rámila, I.; Pizarro, C. Modulation of the phenolic composition and colour of red wines subjected to accelerated ageing by controlling process variables. Food Chem. 2014, 165, 271–281. [Google Scholar] [CrossRef] [PubMed]
- Ivanova, V.; Vojnoski, B.; Stefova, M. Effect of winemaking treatment and wine aging on phenolic content in Vranec wines. J. Food Sci. Technol. 2012, 49, 161–172. [Google Scholar] [CrossRef]
- Antalick, G.; Perello, M.-C.; de Revel, G. Esters in wines: New insight through the establishment of a database of French wines. Am. J. Enol. Viticult. 2014, 65, 293–304. [Google Scholar] [CrossRef]
- Rapp, A.; Mandery, H. Wine aroma. Experientia 1986, 42, 873–884. [Google Scholar] [CrossRef]
- Pérez-Prieto, L.J.; López-Roca, J.M.; Gómez-Plaza, E. Differences in major volatile compounds of red wines according to storage length and storage conditions. J. Food Compost. Anal. 2003, 16, 697–705. [Google Scholar] [CrossRef]
- Robinson, A.L.; Mueller, M.; Heymann, H.; Ebeler, S.E.; Boss, P.K.; Solomon, P.S.; Trengove, R.D. Effect of simulated shipping conditions on sensory attributes and volatile composition of commercial white and red wines. Am. J. Enol. Viticult. 2010, 61, 337–347. [Google Scholar]
- Czibulya, Z.; Kollár, L.; Pour Nikfardjam, M.; Kunsági-Máté, S. The effect of temperature on the color of red wines. J. Food Sci. 2012, 77, C880–C885. [Google Scholar] [CrossRef]
- Clare, S.S.; Skurray, G.R.; Shalliker, R.A. Effect of yeast strain selection on the concentration of cis- and trans-resveratrol and resveratrol glucoside isomers in wine. Aust. J. Grape Wine Res. 2005, 11, 9–14. [Google Scholar] [CrossRef]
- Lamuela-Raventós, R.M.; Romero-Pérez, A.I.; Waterhouse, A.L.; de la Torre-Boronat, M.C. Direct HPLC analysis of cis- and trans-resveratrol and piceid isomers in Spanish red Vitis vinifera wines. J. Agric. Food Chem. 1995, 43, 281–283. [Google Scholar] [CrossRef]
- Ono, E.; Homma, Y.; Horikawa, M.; Kunikane-Doi, S.; Imai, H.; Takahashi, S.; Kawai, Y.; Ishiguro, M.; Fukui, Y.; Nakayama, T. Functional differentiation of the glycosyltransferases that contribute to the chemical diversity of bioactive flavonol glycosides in grapevines (Vitis vinifera). Plant Cell 2010, 22, 2856–2871. [Google Scholar] [CrossRef] [PubMed]
- Lepak, A.; Gutmann, A.; Kulmer, S.T.; Nidetzky, B. Creating a water-soluble resveratrol-based antioxidant by site-selective enzymatic glucosylation. ChemBioChem 2015, 16, 1870–1874. [Google Scholar] [CrossRef] [PubMed]
- Robinson, A.L.; Boss, P.K.; Solomon, P.S.; Trengove, R.D.; Heymann, H.; Ebeler, S.E. Origins of grape and wine aroma. Part 1. Chemical components and viticultural impacts. Am. J. Enol. Viticult. 2014, 65, 1–24. [Google Scholar] [CrossRef]
- Gutiérrez, I.H.; Lorenzo, E.S.-P.; Espinosa, A.V. Phenolic composition and magnitude of copigmentation in young and shortly aged red wines made from the cultivars, Cabernet Sauvignon, Cencibel, and Syrah. Food Chem. 2005, 92, 269–283. [Google Scholar] [CrossRef]
- Panceri, C.P.; Bordignon-Luiz, M.T. Impact of grape dehydration process on the phenolic composition of wines during bottle ageing. J. Food Biochem. 2017, 41, e12417. [Google Scholar] [CrossRef]
- Vérette, E.; Noble, A.C.; Somers, T.C. Hydroxycinnamates of Vitis vinifera: Sensory assessment in relation to bitterness in white wines. J. Sci. Food Agric. 1988, 45, 267–272. [Google Scholar] [CrossRef]
- Boulton, R. The copigmentation of anthocyanins and its role in the color of red wine: A critical review. Am. J. Enol. Viticult. 2001, 52, 67–87. [Google Scholar]
- Heras-Roger, J.; Alonso-Alonso, O.; Gallo-Montesdeoca, A.; Díaz-Romero, C.; Darias-Martín, J. Influence of copigmentation and phenolic composition on wine color. J. Food Sci. Technol. 2016, 53, 2540–2547. [Google Scholar] [CrossRef]
- D’Auria, M.; Emanuele, L.; Racioppi, R. The effect of heat and light on the composition of some volatile compounds in wine. Food Chem. 2009, 117, 9–14. [Google Scholar] [CrossRef]
- Shinohara, T.; Watanabe, M. Effects of fermentation conditions and aging temperature on volatile ester contents in wine. Agric. Biol. Chem. 1981, 45, 2645–2651. [Google Scholar]
- Linsenmeier, A.W.; Rauhut, D.; Sponholz, W.R. Ageing and flavour deterioration in wine. In Managing Wine Quality: Oenology and Wine Quality; Reynolds, A.G., Ed.; Woodhead Publishing: Cambridge, UK, 2010; pp. 459–493. [Google Scholar]
- Pérez-Coello, M.; González-Viñas, M.; Garcıa-Romero, E.; Dıaz-Maroto, M.; Cabezudo, M. Influence of storage temperature on the volatile compounds of young white wines. Food Control 2003, 14, 301–306. [Google Scholar] [CrossRef]
- Williams, P.J.; Strauss, C.R.; Wilson, B. Hydroxylated linalool derivatives as precursors of volatile monoterpenes of Muscat grapes. J. Agric. Food Chem. 1980, 28, 766–771. [Google Scholar] [CrossRef]
- Silva Ferreira, A.C.; Guedes de Pinho, P.; Rodrigues, P.; Hogg, T. Kinetics of oxidative degradation of white wines and how they are affected by selected technological parameters. J. Agric. Food Chem. 2002, 50, 5919–5924. [Google Scholar] [CrossRef] [PubMed]
- Rodríguez-Bencomo, J.J.; Muñoz-González, C.; Andújar-Ortiz, I.; Martín-Álvarez, P.J.; Moreno-Arribas, M.V.; Pozo-Bayón, M.Á. Assessment of the effect of the non-volatile wine matrix on the volatility of typical wine aroma compounds by headspace solid phase microextraction/gas chromatography analysis. J. Sci. Food Agric. 2011, 91, 2484–2494. [Google Scholar] [CrossRef]
- Selli, S.; Canbas, A.; Cabaroglu, T.; Erten, H.; Günata, Z. Aroma components of cv. Muscat of Bornova wines and influence of skin contact treatment. Food Chem. 2006, 94, 319–326. [Google Scholar] [CrossRef]
- Balboa-Lagunero, T.; Arroyo, T.; Cabellos, J.M.; Aznar, M. Sensory and olfactometric profiles of red wines after natural and forced oxidation processes. Am. J. Enol. Viticult. 2011, 62, 527–535. [Google Scholar] [CrossRef]
- Escudero, A.; Asensio, E.; Cacho, J.; Ferreira, V. Sensory and chemical changes of young white wines stored under oxygen. An assessment of the role played by aldehydes and some other important odorants. Food Chem. 2002, 77, 325–331. [Google Scholar] [CrossRef]
- Câmara, J.; Alves, M.A.; Marques, J.C. Changes in volatile composition of Madeira wines during their oxidative ageing. Anal. Chim. Acta 2006, 563, 188–197. [Google Scholar] [CrossRef]





| 4 °C | 25 °C | 45 °C | ||||||
|---|---|---|---|---|---|---|---|---|
| VID | Identity | RI | VID | Identity | RI | VID | Identity | RI | 
| 0.894 | Gallic acid | 0.983 | Piceid | |||||
| 0.891 | trans-Resveratrol | 0.954 | Syringic acid | |||||
| 0.927 | Furfural | 1639 | ||||||
| 0.897 | Diethyl butanedioate | 1846 | ||||||
| 0.865 | Ethyl 2-hydroxy-3-methylbutanoate | 1588 | ||||||
| 0.859 | Linalool 3, 7-oxide | 1197 | ||||||
| 0.844 | pH | |||||||
| 0.834 | trans-Coutaric acid | |||||||
| 0.829 | trans-Resveratrol | |||||||
| −0.844 | a* | −0.815 | Malvidin-3-O-(6-p-coumaryl)-glucoside | −0.809 | (E)-Astringin | |||
| −0.849 | 2-Phenylethyl acetate | 1993 | −0.826 | Peonidin-3-O-glucoside | −0.810 | Total titratable acidity | ||
| −0.857 | Chroma | −0.828 | Malvidin-3-O-glucoside | −0.822 | Linalool | 1708 | ||
| −0.865 | 1-Heptanol | 1610 | −0.895 | Malvidin-3-O-(6-acetyl)-glucoside | −0.859 | Caftaric acid | ||
| −0.894 | Ethyl butanoate | 1095 | −0.906 | b* | −0.872 | Citronellol | 1925 | |
| −0.906 | Acetic acid | 1643 | −0.933 | Isorhamnetin glucoside | −0.900 | 2-Phenylethyl acetate | 1993 | |
| −0.916 | b* | −0.926 | Color intensity | |||||
| −0.934 | Astilbin | |||||||
| −0.939 | Rutin | |||||||
| −0.972 | Cyanidin-3-O-glucoside | |||||||
| −0.973 | Malvidin-3-O-(6-p-coumaryl)- glucoside | |||||||
| −0.977 | Neochlorogenic acid | |||||||
| −0.978 | Malvidin-3-O-(6-acetyl)-glucoside | |||||||
| −0.979 | Delphinidin-3-O-glucoside | |||||||
| −0.984 | Petunidin-3-O-glucoside | |||||||
| −0.984 | Malvidin-3-O-glucoside | |||||||
| −0.985 | Peonidin-3-O-glucoside | |||||||
| 4 °C | 25 °C | 45 °C | ||||||
|---|---|---|---|---|---|---|---|---|
| VID | Identity | RI | VID | Identity | RI | VID | Identity | RI | 
| 0.903 | Protocatechuic acid | 0.974 | Gallic acid | 0.975 | Diethyl butanedioate | 1846 | ||
| 0.829 | Ethyl 2-methyl-butanoate | 1113 | 0.953 | pH | ||||
| 0.944 | Nonanal | 1555 | ||||||
| 0.908 | Piceid | |||||||
| 0.893 | Ethyl 2-furancarboxylate | 1801 | ||||||
| 0.884 | 3-Hydroxy-2,2,4-trimethylpentyl 2-methylpropanoate | 2026 | ||||||
| 0.881 | 2,2,4-Trimethyl-1,3-pentanediol diisobutyrate | 2033 | ||||||
| 0.867 | Linalool 3, 7-oxide | 1197 | ||||||
| 0.860 | Syringic acid | |||||||
| 0.859 | trans-p-Coumaric acid | |||||||
| 0.849 | trans-Resveratrol | |||||||
| 0.832 | Octanol | 1720 | ||||||
| 0.826 | Butyl ethyl butanedioate | 1956 | ||||||
| 0.816 | Ethyl 3-methylbutyl butanedioate | 2051 | ||||||
| −0.841 | a * | −0.879 | Isorhamnetin glucoside | −0.820 | 2-Phenylethyl acetate | 1993 | ||
| −0.853 | Chroma | −0.909 | Malvidin-3-O-(6-p-coumaryl) glucoside | −0.863 | Linalool | 1708 | ||
| −0.897 | b * | −0.926 | Myricetin glucoside | −0.929 | Caftaric acid | |||
| −0.911 | Kaempferol glucoside | −0.930 | Cyanidin-3-O-glucoside | −0.938 | Color intensity | |||
| −0.954 | Delphinidin-3-O-glucoside | −0.938 | Malvidin-3-O-(6-acetyl)-glucoside | |||||
| −0.958 | Malvidin-3-O-glucoside | −0.939 | Malvidin-3-O-(6-p-coumaryl) glucoside | |||||
| −0.958 | Petunidin-3-O-glucoside | −0.951 | Delphinidin-3-O-glucoside | |||||
| −0.965 | Malvidin-3-O-(6-acetyl)-glucoside | −0.953 | Malvidin-3-O-glucoside | |||||
| −0.968 | Peonidin-3-O-glucoside | −0.953 | Rutin | |||||
| −0.954 | Petunidin-3-O-glucoside | |||||||
| −0.954 | Peonidin-3-O-glucoside | |||||||
| −0.967 | Cyanidin-3-O-glucoside | |||||||
| 4 °C | 25 °C | 45 °C | ||||||
|---|---|---|---|---|---|---|---|---|
| VID | Identity | RI | VID | Identity | RI | VID | Identity | RI | 
| 0.908 | Ethyl gallate | 0.925 | Syringic acid | 0.977 | Piceid | |||
| 0.856 | Gallic acid | 0.896 | Caffeic acid | 0.936 | Syringic acid | |||
| 0.848 | Caffeic acid | 0.884 | Gallic acid | 0.905 | Diethyl butanedioate | 1846 | ||
| 0.818 | (+)-Catechin | 0.873 | Ethyl gallate | 0.889 | 1-Octanol | 1720 | ||
| 0.810 | Astilbin | 0.861 | Diethyl butanedioate | 1846 | 0.879 | pH | ||
| 0.808 | Caftaric acid | 0.867 | Dipropyl butanedioate | 1105 | ||||
| 0.817 | 2,6,6-Trimethyl-2-ethenyltetrahydro-2H-pyran | 1197 | ||||||
| 0.805 | Ethyl 3-methyl-butanoate | 1136 | ||||||
| 0.801 | Ethyl 2-hydroxy-3-methylbutanoate | 1588 | ||||||
| −0.801 | Ethyl 3-hydroxy-butanoate | 1687 | −0.808 | Delphinidin-3-O-glucoside | −0.810 | Citronellol | 1925 | |
| −0.805 | Ethyl 2-hydroxy-4-methyl-pentanoate | 1712 | −0.811 | Malvidin-3-O-(6-p-coumaryl) glucoside | −0.827 | Linalool | 1708 | |
| −0.819 | 3-Methyl-1-pentanol | 1462 | −0.819 | Cyanidin-3-O-glucoside | −0.898 | Caftaric acid | ||
| −0.821 | Octanol | 1720 | −0.878 | Petunidin-3-O-glucoside | −0.899 | Rutin | ||
| −0.832 | Methoxyacetic acid, 3-methylbutyl ester | −0.879 | Peonidin-3-O-glucoside | −0.966 | Malvidin-3-O-(6-p-coumaryl) glucoside | |||
| −0.832 | pH | −0.893 | Malvidin-3-O-glucoside | −0.981 | Malvidin 3-O-(6-acetyl)-glucoside | |||
| −0.833 | a* | −0.931 | Malvidin-3-O-(6-acetyl)-glucoside | −0.987 | Petunidin-3-O-glucoside | |||
| −0.836 | Chroma | −0.988 | Malvidin-3-O-glucoside | |||||
| −0.837 | 2-Heptanol | 1450 | −0.988 | Delphinidin-3-O-glucoside | ||||
| −0.846 | Protocatechuic acid | −0.990 | Peonidin-3-O-glucoside | |||||
| −0.866 | 3-Methyl-butanoate | 1857 | −0.992 | Cyanidin-3-O-glucoside | ||||
| −0.893 | (E)-Astringin | |||||||
| −0.906 | b* | |||||||
| 4 °C | 25 °C | 45 °C | ||||||
|---|---|---|---|---|---|---|---|---|
| VID | Identity | RI | VID | Identity | RI | VID | Identity | RI | 
| 0.961 | Gallic acid | 0.920 | Syringetin glucoside | 0.967 | Piceid | |||
| 0.956 | Caffeic acid | 0.917 | Kaempferol glucoside | 0.936 | Syringic acid | |||
| 0.948 | Syringetin glucoside | 0.857 | trans-Coutaric acid | 0.932 | Dipropyl butanedioate | 1105 | ||
| 0.939 | (+)-Catechin | 0.843 | Gallic acid | 0.903 | 2,6,6-Trimethyl-2-ethenyltetrahydro-2H-pyran | 1197 | ||
| 0.928 | Protocatechuic acid | 0.815 | Linalool | 1708 | 0.846 | 1-Octanol | 1720 | |
| 0.915 | Myricetin glucoside | 0.814 | Piceid | 0.838 | Diethyl butanedioate | 1846 | ||
| 0.875 | Rutin | 0.812 | Quercetin | 0.825 | trans-p-Coumaric acid | |||
| 0.861 | trans-Resveratrol | 0.822 | Protocatechuic acid | |||||
| 0.852 | Quercetin | 0.819 | trans-Coutaric acid | |||||
| 0.832 | Neochlorogenic acid | |||||||
| 0.806 | Piceid | |||||||
| −0.830 | Isobutyl acetate | 1064 | −0.801 | Isorhamnetin glucoside | −0.828 | 2-Phenylethyl acetate | 1993 | |
| −0.833 | Acetic acid | 1643 | −0.814 | Neochlorogenic acid | −0.835 | Linalool | 1708 | |
| −0.848 | 2-Phenylethyl acetate | 1993 | −0.874 | b* | −0.939 | Cyanidin-3-O-glucoside | ||
| −0.889 | Ethyl butanoate | 1095 | −0.903 | Chroma | −0.955 | Caftaric acid | ||
| −0.982 | a* | −0.904 | a* | −0.975 | Malvidin-3-O-(6-p-coumaryl)-glucoside | |||
| −0.988 | Chroma | −0.963 | Malvidin-3-O-(6-p-coumaryl)-glucoside | −0.983 | Malvidin-3-O-(6-acetyl)-glucoside | |||
| −0.964 | Peonidin-3-O-glucoside | −0.986 | Delphinidin-3-O-glucoside | |||||
| −0.977 | Malvidin-3-O-glucoside | −0.991 | Petunidin-3-O-glucoside | |||||
| −0.982 | Malvidin-3-O-(6-acetyl)-glucoside | −0.993 | Peonidin-3-O-glucoside | |||||
| −0.985 | Petunidin-3-O-glucoside | −0.993 | Malvidin-3-O-glucoside | |||||
| −0.987 | Delphinidin-3-O-glucoside | |||||||
| 4 °C | 25 °C | 45 °C | ||||||
|---|---|---|---|---|---|---|---|---|
| VID | Identity | RI | VID | Identity | RI | VID | Identity | RI | 
| 0.946 | Gallic acid | 0.833 | Gallic acid | 0.962 | Syringic acid | |||
| 0.887 | Hue angle | 0.951 | Caffeic acid | |||||
| 0.884 | Caffeic acid | 0.925 | Piceid | |||||
| 0.875 | trans-Coutaric acid | 0.872 | 2,6,6-Trimethyl-2-ethenyltetrahydro-2H-pyran | 1197 | ||||
| 0.871 | Myricetin glucoside | 0.855 | Dipropyl butanedioate | 1105 | ||||
| 0.869 | L* | 0.831 | (±)-Eldanolide | 1058 | ||||
| 0.824 | 2,2,4-Trimethyl-1,3-pentanediol diisobutyrate | 2033 | ||||||
| −0.810 | Syringetin glucoside | −0.802 | Hue angle | −0.814 | Citronellol | 1925 | ||
| −0.811 | Hexyl acetate | 1404 | −0.811 | a* | −0.867 | Linalool | 1708 | |
| −0.817 | Peonidin-3-O-glucoside | −0.816 | 2-Phenylethyl acetate | 1993 | −0.872 | trans-Fertaric acid | ||
| −0.818 | Quercetin | −0.821 | Chroma | −0.894 | Caftaric acid | |||
| −0.818 | Malvidin-3-O-(6-acetyl)-glucoside | −0.828 | Petunidin-3-O-glucoside | −0.903 | Neochlorogenic acid | |||
| −0.825 | Ethyl butanoate | 1095 | −0.834 | Peonidin-3-O-glucoside | −0.933 | (+)-Catechin | ||
| −0.850 | Isobutyl acetate | 1064 | −0.838 | L* | −0.949 | Astilbin | ||
| −0.859 | (E)-Astringin | −0.844 | Malvidin-3-O-glucoside | −0.952 | Rutin | |||
| −0.864 | Astilbin | −0.844 | Malvidin-3-O-(6-p-coumaryl)-glucoside | −0.975 | Malvidin-3-O-(6-p-coumaryl)-glucoside | |||
| −0.890 | Malvidin-3-O-glucoside | −0.881 | b* | −0.980 | Malvidin-3-O-(6-acetyl)-glucoside | |||
| −0.901 | Delphinidin-3-O-glucoside | −0.889 | Malvidin-3-O-(6-acetyl)-glucoside | −0.983 | Delphinidin-3-O-glucoside | |||
| −0.901 | Cyanidin-3-O-glucoside | −0.983 | Petunidin-3-O-glucoside | |||||
| −0.906 | Petunidin-3-O-glucoside | −0.985 | Malvidin-3-O-glucoside | |||||
| −0.928 | Kaempferol glucoside | −0.986 | Peonidin-3-O-glucoside | |||||
| −0.958 | a* | −0.994 | Cyanidin-3-O-glucoside | |||||
| −0.960 | b* | |||||||
| −0.962 | Chroma | |||||||
© 2020 by the authors. Licensee MDPI, Basel, Switzerland. This article is an open access article distributed under the terms and conditions of the Creative Commons Attribution (CC BY) license (http://creativecommons.org/licenses/by/4.0/).
Share and Cite
Arcena, M.R.; Leong, S.Y.; Hochberg, M.; Sack, M.; Mueller, G.; Sigler, J.; Silcock, P.; Kebede, B.; Oey, I. Evolution of Volatile and Phenolic Compounds during Bottle Storage of Merlot Wines Vinified Using Pulsed Electric Fields-Treated Grapes. Foods 2020, 9, 443. https://doi.org/10.3390/foods9040443
Arcena MR, Leong SY, Hochberg M, Sack M, Mueller G, Sigler J, Silcock P, Kebede B, Oey I. Evolution of Volatile and Phenolic Compounds during Bottle Storage of Merlot Wines Vinified Using Pulsed Electric Fields-Treated Grapes. Foods. 2020; 9(4):443. https://doi.org/10.3390/foods9040443
Chicago/Turabian StyleArcena, Mylene Ross, Sze Ying Leong, Martin Hochberg, Martin Sack, Georg Mueller, Juergen Sigler, Patrick Silcock, Biniam Kebede, and Indrawati Oey. 2020. "Evolution of Volatile and Phenolic Compounds during Bottle Storage of Merlot Wines Vinified Using Pulsed Electric Fields-Treated Grapes" Foods 9, no. 4: 443. https://doi.org/10.3390/foods9040443
APA StyleArcena, M. R., Leong, S. Y., Hochberg, M., Sack, M., Mueller, G., Sigler, J., Silcock, P., Kebede, B., & Oey, I. (2020). Evolution of Volatile and Phenolic Compounds during Bottle Storage of Merlot Wines Vinified Using Pulsed Electric Fields-Treated Grapes. Foods, 9(4), 443. https://doi.org/10.3390/foods9040443
 
        




 
       