Baru Almond Beverage (Baruccino) with Different Sweeteners: Nutritional and Physical Properties and Exploration of Sensory and Non-Sensory Perceptions
Abstract
1. Introduction
2. Materials and Methods
2.1. Development of Baruccino Beverages
2.2. Proximate Composition and Nutritional Information
2.3. Chemical and Physical Analyses
2.4. Rheological Behavior—Rotational Tests (Flow Curves)
2.5. Kinetic Stability
2.6. Microbiological Analyses
2.7. Sensory Analysis
2.7.1. First Session (Blind Test)
2.7.2. Second Session (Informed Test)
2.8. Statistical Analysis
3. Results and Discussion
3.1. Proximate Composition and Nutritional Information
3.2. Chemical and Physical Characterization
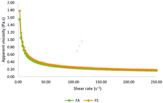
3.3. Rheological Behavior
3.4. Kinetic Stability
3.5. Microbiological Analyses
3.6. Sensory Analysis
4. Conclusions
Supplementary Materials
Author Contributions
Funding
Institutional Review Board Statement
Informed Consent Statement
Data Availability Statement
Conflicts of Interest
References
- Reis, A.F.; Schmiele, M. Characteristics and potentialities of Savanna fruits in the food industry. Braz. J. Food Technol. 2019, 22, e2017150. [Google Scholar] [CrossRef]
- Santos, C.M.B.; Brandão, M.L.d.P.; Paz, A.T.S.; Romano, C.A.; Silva, T.G.; Santiago, R.d.A.C.; Fiuza, T.d.S.; Conceição, E.C. Development of a prototype of a food supplement enriched with selenium based on fibers from the peel and pulp of Dipteryx alata Vogel (Baru). Res. Soc. Dev. 2022, 11, e145111133307. [Google Scholar] [CrossRef]
- Viana, H.N.A.C.; Sganzerla, W.G.; Castro, L.E.N.; Veeck, A.P.d.L. Characterization of baru (Dipteryx alata Vog.) and application of its agro-industrial byproduct in the formulation of cookies. J. Agric. Food Res. 2023, 12, 100577. [Google Scholar] [CrossRef]
- Monteiro, G.d.M.; Carvalho, E.E.N.; Boas, E.V.B.V. Baru (Dipteryx alata Vog.): Fruit or almond? A review on applicability in food science and technology. Food Chem. Adv 2022, 1, 100103. [Google Scholar] [CrossRef]
- Polmann, G.; Badia, V.; Danielski, R.; Ferreira, S.R.S.; Block, J.M. Nonconventional nuts: An overview of reported composition and bioactivity and new approaches for its consumption and valorization of co-products. Future Foods 2021, 4, 100099. [Google Scholar] [CrossRef]
- Li, J.; Streletskaya, N.A.; Gómez, M.I. Does taste sensitivity matter? The effect of coffee sensory tasting information and taste sensitivity on consumer preferences. Food Qual. Prefer. 2019, 71, 447–451. [Google Scholar] [CrossRef]
- Pointke, M.; Ohlau, M.; Risius, A.; Pawelzik, E. Plant-Based Only: Investigating Consumers’ Sensory Perception, Motivation, and Knowledge of Different Plant-Based Alternative Products on the Market. Foods 2022, 11, 2339. [Google Scholar] [CrossRef]
- Sievenpiper, J.L.; Purkasyastha, S.; Grotz, V.L.; Mora, M.; Zhou, J.; Hennings, K.; Godoy, C.M.; Germana, K. Dietary Guidance, Sensory, Health and Safety Considerations When Choosing Low and No-Calorie Sweeteners. Nutrients 2025, 17, 793. [Google Scholar] [CrossRef] [PubMed]
- Chen, Z.; Gao, X.D.; Li, Z. Recent Advances Regarding the Physiological Functions and Biosynthesis of D-Allulose. Front. Microbiol. 2022, 13, 881037. [Google Scholar] [CrossRef]
- Xia, Y.; Cheng, Q.; Mu, W.; Hu, X.; Sun, Z.; Qiu, Y.; Liu, X.; Wang, Z. Research advances of d-allulose: An overview of physiological functions, enzymatic biotransformation technologies, and production processes. Foods 2021, 10, 2186. [Google Scholar] [CrossRef]
- Bolger, A.M.; Rastall, R.A.; Oruna-Concha, M.J.; Rodriguez-Garcia, J. Effect of D-allulose, in comparison to sucrose and D-fructose, on the physical properties of cupcakes. LWT 2021, 150, 111989. [Google Scholar] [CrossRef]
- Jeong, S.; Kim, G.; Ryu, K.; Park, J.; Lee, S. Effect of different sweeteners on the thermal, rheological, and water mobility properties of soft wheat flour and their application to cookies as an alternative to sugar. Food Chem. 2024, 432, 137193. [Google Scholar] [CrossRef]
- Lee, S.H.; Li, J.; Wang, X.; Yang, K.L. Online-learning-aided optimization and interpretation of sugar production from oil palm mesocarp fibers with analytics for industrial applications. Resour. Conserv. Recycl. 2022, 180, 106206. [Google Scholar] [CrossRef]
- Özgür, M.; Uçar, A. Effect of D-Allulose Use as a Sugar Substitute on Some Physicochemical, Textural and Sensory Properties of Cakes. Akad. Gida 2023, 21, 220–232. [Google Scholar] [CrossRef]
- Mazzù, M.F.; Romani, S.; Marozzo, V.; Giambarresi, A.; Baccelloni, A. Improving the understanding of key nutritional elements to support healthier and more informed food choices: The effect of front-of-pack label bundles. Nutrition 2023, 105, 111849. [Google Scholar] [CrossRef]
- Shrestha, A.; Cullerton, K.; White, K.M.; Mays, J.; Sendall, M. Impact of front-of pack nutrition labelling in consumer understanding and use across socio-economic status: A systematic review. Appetite 2023, 187, 106587. [Google Scholar] [CrossRef]
- Talati, Z.; Pettigrew, S.; Hughes, C.; Dixon, H.; Kelly, B.; Ball, K.; Miler, C. The combined effect of front-of-pack nutrition labels and health claims on consumers’ evaluation of food products. Food Qual. Prefer. 2016, 53, 57–65. [Google Scholar] [CrossRef]
- A.O.A.C. Official Methods of Analysis, 22nd ed.; AOAC: Arlington, VA, USA, 2020; Volume 1. [Google Scholar]
- Champagne, C.P.; Green-Johnson, J.; Raymond, Y.; Barrette, J.; Buckley, N. Selection of probiotic bacteria for the fermentation of a soy beverage in combination with Streptococcus thermophilus. Food Res. Int. 2009, 42, 612–621. [Google Scholar] [CrossRef]
- Zakidou, P.; Varka, E.M.; Paraskevopoulou, A. Foaming properties and sensory acceptance of plant-based beverages as alternatives in the preparation of cappuccino style beverages. Int. J. Gastron. Food Sci. 2022, 30, 100623. [Google Scholar] [CrossRef]
- A.O.A.C. Official Methods of Analysis, 17th ed.; AOAC: Arlington, VA, USA, 2002; Volume 1. [Google Scholar]
- Anvisa. Ministério da Saúde—MS Agência Nacional de Vigilância Sanitária—Anvisa, Resolução de Diretoria Colegiada (RDC) nº 429 de 8 de Outubro de 2020: Dispõem Sobre a Rotulagem Nutricional de Alimentos Embalados; Ministério da saúde: Brasília, Brazil, 2022. [Google Scholar]
- Anvisa. Ministério da Saúde—MS Agência Nacional de Vigilância Sanitária—Anvisa, Instrução Normativa (IN) nº 75 de 8 de Outubro de 2020: Estabelece os Requisitos Técnicos Para Declaração da Rotulagem Nutricional nos Alimentos Embalados; Ministério da saúde: Brasília, Brazil, 2022. [Google Scholar]
- Ferreira, L.R.; Fontes, E.A.F.; Marinho, L.M.G.; Barros, F.A.R.; Stringheta, P.C.; Ramos, A.M. Elaboration, characterization and color stability of an isotonic beverage based on whey permeate with carotenoid powder from pequi. Res. Soc. Dev. 2021, 10, e41810817233. [Google Scholar] [CrossRef]
- Germain, I.; Dufresne, T.; Ramaswamy, H.S. Rheological characterization of thickened beverages used in the treatment of dysphagia. J. Food Eng. 2006, 73, 64–74. [Google Scholar] [CrossRef]
- Kim, S.G.; Yoo, W.; Yoo, B. Relationship between apparent viscosity and line spread test measurement of thickened fruit juices prepared with a xanthan gum-based thickener. Prev. Nutr. Food Sci. 2014, 19, 242–245. [Google Scholar] [CrossRef]
- Patra, T.; Rinnan, Å.; Olsen, K. The physical stability of plant-based drinks and the analysis methods thereof. Food Hydrocoll. 2021, 118, 106770. [Google Scholar] [CrossRef]
- Anvisa. Ministério da Saúde—MS Agência Nacional de Vigilância Sanitária—Anvisa, Instrução Normativa (IN) nº 161 de 1º de Julho de 2022: Estabelece os Padrões Microbiológicos dos Alimentos; Ministério da saúde: Brasília, Brazil, 2022. [Google Scholar]
- Anvisa. Ministério da Saúde—MS Agência Nacional de Vigilância Sanitária—Anvisa, Resolução de Diretoria Colegiada (RDC) nº 724 de 8 de Outubro de 2020: Dispõe Sobre os Padrões Microbiológicos dos Alimentos e Sua Aplicação; Ministério da saúde: Brasília, Brazil, 2022. [Google Scholar]
- Esperança, V.J.d.R.; Coelho, C.C.d.S.; Tonon, R.; Torrezan, R.; Freitas-Silva, O. A review on plant-based tree nuts beverages: Technological, sensory, nutritional, health and microbiological aspects. Int. J. Food Prop. 2022, 25, 2396–2408. [Google Scholar] [CrossRef]
- Seninde, D.R.; Chambers, E. Coffee flavor: A review. Beverages 2020, 6, 44. [Google Scholar] [CrossRef]
- Feitosa, B.F.; Alcântara, C.M.; Lucena, Y.J.A.d.; Oliveira, E.N.A.d.; Cavalcanti, M.T.; Mariutti, L.R.B.; Lopes, M.F. Green banana biomass (Musa spp.) as a natural food additive in artisanal tomato sauce. Food Res. Int. 2023, 170, 113021. [Google Scholar] [CrossRef]
- Poojary, M.M.; Hellwig, M.; Henle, T.; Lund, M.N. Covalent bonding between polyphenols and proteins: Synthesis of caffeic acid-cysteine and chlorogenic acid cysteine adducts and their quantification in dairy beverages. Food Chem. 2023, 403, 134406. [Google Scholar] [CrossRef]
- Cruz, P.N.; Gama, L.A.; Américo, M.F.; Pertuzatti, P.B. Baru (Dipteryx alata Vogel) almond and dairy desserts with baru regulates gastrointestinal transit in rats. J. Food Process. Preserv. 2019, 43, e14167. [Google Scholar] [CrossRef]
- Pérez-Rodríguez, M.L.; Serrano-Carretero, A.; García-Herrera, P.; Cámara-Hurtado, M.; Sánchez-Mata, M.C. Plant-based beverages as milk alternatives? Nutritional and functional approach through food labelling. Food Res. Int. 2023, 173, 113244. [Google Scholar] [CrossRef]
- Astrup, A.; Magkos, F.; Bier, D.M.; Brenna, J.T.; de Oliveira Otto, M.C.; Hill, J.O.; King, J.C.; Mente, A.; Ordovas, J.M.; Volek, J.S.; et al. Saturated Fats and Health: A Reassessment and Proposal for Food-Based Recommendations: JACC State-of-the-Art Review. J. Am. Coll. Cardiol. 2020, 76, 844–857. [Google Scholar] [CrossRef]
- Casey, C.; Huang, Q.; Talegawkar, S.A.; Sylvetsky, A.C.; Sacheck, J.M.; DiPietro, L.; Lora, K.R. Added sugars, saturated fat, and sodium intake from snacks among U.S. adolescents by eating location. Prev. Med. Rep. 2021, 24, 101630. [Google Scholar] [CrossRef]
- Kloss, L.; Meyer, J.D.; Graeve, L.; Vetter, W. Sodium intake and its reduction by food reformulation in the European Union—A review. NFS J. 2015, 1, 9–19. [Google Scholar] [CrossRef]
- Craig, W.J.; Brothers, C.J.; Mangels, R. Nutritional content and health profile of single-serve non-dairy plant-based beverages. Nutrients 2022, 14, 162. [Google Scholar] [CrossRef]
- Hossain, A.; Yamaguchi, F.; Matsuo, T.; Tsukamoto, I.; Toyoda, Y.; Ogawa, M.; Nagata, Y.; Tokuda, M. Rare sugar d-allulose: Potential role and therapeutic monitoring in maintaining obesity and type 2 diabetes mellitus. Pharmacol. Ther. 2015, 155, 49–59. [Google Scholar] [CrossRef]
- Au-Yeung, F.; Jenkins, A.L.; Prancevic, S.; Vissers, E.; Campbell, J.E.; Wolever, T.M.S. Comparison of postprandial glycemic and insulinemic response of allulose when consumed alone or when added to sucrose: A randomized controlled trial. J. Funct. Foods 2023, 105, 105569. [Google Scholar] [CrossRef]
- Costa Fernandes, A.B.; Marcolino, V.A.; Silva, C.; Barão, C.E.; Pimentel, T.C. Potentially synbiotic fermented beverages processed with water-soluble extract of Baru almond. Food Biosci. 2021, 42, 101200. [Google Scholar] [CrossRef]
- Campidelli, M.L.L.; Carneiro, J.d.D.d.S.; Souza, E.C.d.; Vilas Boas, E.V.d.B.; Bertolucci, S.K.V.; Aazza, S.; de Oliveira, R.R.; Chalfun-Junior, A.; Reis, G.L.d.; Seixas, J.N.; et al. Baru almonds (Dipteryx alata Vog.) and baru almond paste promote metabolic modulation associated with antioxidant, antiinflammatory, and neuroprotective effects. Innov. Food Sci. Emerg. Technol. 2022, 80, 103068. [Google Scholar] [CrossRef]
- Lima, D.C.; Alves, M.d.R.; Noguera, N.H.; Nascimento, R.d.P.d. A review on Brazilian baru plant (Dipteryx alata vogel): Morphology, chemical composition, health effects, and technological potential. Future Foods 2022, 5, 100146. [Google Scholar] [CrossRef]
- Mokrzycki, W.S.; Tatol, M. Colour difference ΔE – A survey. Mach. Graph. Vis. 2011, 20, 383. [Google Scholar]
- Mokrzycki, W.; Tatol, M. Color. difference Delta EA survey Colour difference ∆EA survey. Mach. Graph. Vis. 2011, 20, 383–411. Available online: https://www.researchgate.net/publication/236023905 (accessed on 9 October 2025).
- Yao, H.; Williams, B.A.; Mikkelsen, D.; Flanagan, B.M.; Gidley, M.J. Composition and functional profiles of human faecal microbiota fermenting plant-based food particles are related to water-holding capacity more than particle size. Food Hydrocoll. 2023, 141, 108714. [Google Scholar] [CrossRef]
- Cichońska, P.; Domian, E.; Ziarno, M. Application of Optical and Rheological Techniques in Quality and Storage Assessment of the Newly Developed Colloidal-Suspension Products: Yogurt-Type Bean-Based Beverages. Sensors 2022, 22, 8348. [Google Scholar] [CrossRef] [PubMed]
- Ni, Y.; Tang, X.; Fan, L. Improvement in physical and thermal stability of cloudy ginkgo beverage during autoclave sterilization: Effects of microcrystalline cellulose and gellan gum. LWT 2021, 135, 110062. [Google Scholar] [CrossRef]
- Peasura, N.; Sinchaipanit, P. The Impact of Sweetener Type on Physicochemical Properties, Antioxidant Activity and Rheology of Guava Nectar during Storage Time. Beverages 2022, 8, 24. [Google Scholar] [CrossRef]
- Prado, P.C.d.; Matias, C.L.; Goulart, J.Q.; Pinto, A.T. Brazilian Journal of Development Most involved microorganisms in foodborne diseases outbreaks: A systematic review Microrganismos mais envolvidos em surtos de doenças transmitidas por alimentos: Uma revisão sistemática. Braz. J. Dev. 2021, 7, 106900–106916. [Google Scholar] [CrossRef]
- Bharathan, G.; Mundra, S.; Darwich, D.M.; Saeed, M.M.; Al Hafri, A.S.A.; Alsalmi, M.M.S.M.; Maqsood, S.; Mudgil, P.; Fanning, S.; Srikumar, S. Regulation of iron metabolism is critical for the survival of Salmonella Typhimurium in pasteurized milk. Food Microbiol. 2023, 115, 104326. [Google Scholar] [CrossRef]
- Bintsis, T. Foodborne pathogens. AIMS Microbiol. 2017, 3, 529–563. [Google Scholar] [CrossRef] [PubMed]
- Heredia, N.; García, S. Animals as sources of food-borne pathogens: A review. Anim. Nutr. 2018, 4, 250–255. [Google Scholar] [CrossRef]
- Di Renzo, T.; Garzón, A.G.; Nazzaro, S.; Marena, P.; Carboni, A.D.; Puppo, M.C.; Drago, S.R.; Reale, A. An Overview of the Microbiological, Nutritional, Sensory and Potential Health Aspects of Tree Nut-Based Beverages. Beverages 2025, 11, 144. [Google Scholar] [CrossRef]
- Xin, D.; Ran, G. Strategy for production of high-purity rare sugar D-allulose from corn stover. J. Clean. Prod. 2024, 439, 140717. [Google Scholar] [CrossRef]
- Rincon, L.; Botelho, R.B.A.; de Alencar, E.R. Development of novel plant-based milk based on chickpea and coconut. LWT 2020, 128, 109479. [Google Scholar] [CrossRef]
- Khan, A.; Evangelista, A.U.; Varua, M.E. Evaluating the impact of marketing interventions on sugar-free and sugar-sweetened soft drink sales and sugar purchases in a fast-food restaurant setting. BMC Public Health 2023, 23, 1578. [Google Scholar] [CrossRef] [PubMed]
- Cheetra, B. Endemic Plants from Mauritius Islands as Potential Resources for Sugar Substitutes. J. Plant Sci. Curr. Res. 2022, 6, 1–12. [Google Scholar] [CrossRef] [PubMed]
- Singh, A.K.; Singh, A.; Singh, R.; Joshi, S.R.; Misra, A. Non-sugar sweeteners and health outcomes in adults without diabetes: Deciphering the WHO recommendations in the Indian context. In Diabetes and Metabolic Syndrome: Clinical Research and Reviews; Elsevier Ltd.: Amsterdam, The Netherlands, 2023; Volume 17. [Google Scholar] [CrossRef]
- Milner, L.; Kerry, J.P.; O’Sullivan, M.G.; Gallagher, E. Physical, textural and sensory characteristics of reduced sucrose cakes, incorporated with clean-label sugarreplacing alternative ingredients. Innov. Food Sci. Emerg. Technol. 2020, 59, 102235. [Google Scholar] [CrossRef]
- Beauchamp, G.K. Why do we like sweet taste: A bitter tale? Physiol. Behav. 2016, 164, 432–437. [Google Scholar] [CrossRef]
- Batista, L.F.; Rocha, F.; Dias, M.M.d.S.; Pires, A.C.d.S.; Vidigal, M.C.T.R. Comfort plant-based food: What do consumers want?—A focus group study with different consumers group. Int. J. Gastron. Food Sci. 2023, 34, 100810. [Google Scholar] [CrossRef]
- Ballco, P.; Gracia, A. Tackling nutritional and health claims to disentangle their effects on consumer food choices and behaviour: A systematic review. Food Qual. Prefer. 2022, 101, 104634. [Google Scholar] [CrossRef]







| Ingredients | Percentage (%) |
|---|---|
| Water | 58.5 |
| Baru nut | 19.5 |
| Sweetener * | 14.8 |
| Cocoa powder (100%) | 5.1 |
| Instant coffee | 1.6 |
| Cinnamon powder | 0.2 |
| Guar gum | 0.2 |
| Xanthan gum | 0.1 |
| Composition (g/100 mL) | FS | FA |
|---|---|---|
| Total water content | 61.0 b ± 0.0 | 66.0 a ± 0.4 |
| Carbohydrates | 29.0 | 24.0 |
| Proteins | 4.4 a ± 0.2 | 4.6 a ± 0.1 |
| Lipids | 5.0 a ± 0.5 | 5.0 a ± 0.3 |
| Ash | 0.01 a ± 0.00 | 0.01 a ± 0.00 |
| Sodium | 40.0 a ± 2.0 | 40.0 a ± 3.0 |
| Color Properties | FS | FA |
|---|---|---|
| L* | 24.6 a | 24.1 a |
| a* | 11.74 a | 11.84 a |
| b* | 18.57 a | 18.77 a |
| h° | 57.6 a | 57.9 a |
| C* | 22.0 a | 22.2 a |
| Rheological Properties | FS | FA |
|---|---|---|
| τ0 (Pa) | 2.28 a ± 0.15 | 1.82 a ± 0.29 |
| K (Pa·sn) | 1.45 a ± 0.20 | 1.27 a ± 0.15 |
| n | 0.62 a ± 0.02 | 0.63 a ± 0.01 |
| R2 | 0.9998 ± 0.0001 | 0.9999 ± 0.0001 |
| Microbiological Analyses | FS | FA |
|---|---|---|
| Filamentous Fungi (CFU/mL) | 1.6 × 102 | 4.1 × 101 |
| Coagulase-positive Staphylococci (CFU/mL) | negative | negative |
| Enterobacteriaceae (CFU/mL) | <1/mL (est.) * | <1/mL (est.) * |
| Salmonella (Presence/Absence 25 mL) | Absence | Absence |
| Descriptor Terms | FS (Blind Test) | FS (Informed Test) | FA (Blind Test) | FA (Informed Test) |
|---|---|---|---|---|
| Brown color | 2.74 aA | 2.75 aA | 2.73 aA | 2.75 aA |
| Brightness | 2.41 aA | 2.50 aB | 2.48 aA | 2.57 aB |
| Cocoa aroma | 1.94 aA | 1.83 aA | 1.99 aA | 1.80 aB |
| Nutty aroma | 2.02 aA | 2.02 aA | 1.97 aA | 2.09 aA |
| Sweet taste | 1.61 aA | 1.54 aA | 1.08 bA | 0.97 bA |
| Cocoa flavor | 2.18 aA | 1.89 aB | 2.19 aA | 1.87 aB |
| Pleasant flavor | 2.14 aA | 2.27 aA | 1.61 bA | 1.77 bB |
| Unpleasant flavor | 0.70 aA | 0.60 aA | 0.98 bA | 0.93 bA |
| Nutty flavor | 2.25 aA | 2.20 aA | 2.16 aA | 2.21 aA |
| Cinnamon flavor | 0.83 aA | 0.86 aB | 0.81 aA | 0.93 aA |
| Fatty | 0.97 aA | 0.95 aA | 0.98 aA | 1.11 aA |
| Creamy | 1.74 aA | 2.16 aA | 1.64 aA | 2.02 aA |
| Homogeneous texture | 2.13 aA | 2.32 aB | 2.11 aA | 2.24 aA |
| Presence of particles | 1.36 aA | 1.10 aA | 1.27 aA | 1.17 aA |
| Sensory Measures | FS (Blind Test) | FS (Informed Test) | FA (Blind Test) | FA (Informed Test) |
|---|---|---|---|---|
| Appearance | 7.94 aA | 8.18 aB | 7.93 aA | 8.03 bA |
| AI | 88.22 | 90.88 | 88.11 | 89.22 |
| Aroma | 7.12 aA | 8.18 aB | 6.91 aA | 7.10 bA |
| AI | 79.11 | 90.88 | 76.77 | 78.88 |
| Texture | 6.62 aA | 6.98 aB | 6.36 aA | 6.58 bA |
| AI | 73.55 | 77.55 | 70.66 | 73.11 |
| Flavor | 6.65 aA | 6.99 aA | 5.59 bA | 5.86 bA |
| AI | 73.88 | 76.66 | 62.11 | 65.11 |
| Overall impression | 6.93 aA | 7.33 aB | 6.37 bA | 6.54 bA |
| AI | 76.99 | 81.44 | 70.70 | 72.66 |
| Purchase intention | 3.38 aA | 3.61 aA | 2.87 bB | 3.22 bA |
Disclaimer/Publisher’s Note: The statements, opinions and data contained in all publications are solely those of the individual author(s) and contributor(s) and not of MDPI and/or the editor(s). MDPI and/or the editor(s) disclaim responsibility for any injury to people or property resulting from any ideas, methods, instructions or products referred to in the content. |
© 2026 by the authors. Licensee MDPI, Basel, Switzerland. This article is an open access article distributed under the terms and conditions of the Creative Commons Attribution (CC BY) license.
Share and Cite
Batista, L.F.; Ribeiro, R.A.; Ferreira, J.d.S.; Ramos, L.C.d.S.; Pires, A.C.d.S.; Vidigal, M.C.T.R. Baru Almond Beverage (Baruccino) with Different Sweeteners: Nutritional and Physical Properties and Exploration of Sensory and Non-Sensory Perceptions. Foods 2026, 15, 127. https://doi.org/10.3390/foods15010127
Batista LF, Ribeiro RA, Ferreira JdS, Ramos LCdS, Pires ACdS, Vidigal MCTR. Baru Almond Beverage (Baruccino) with Different Sweeteners: Nutritional and Physical Properties and Exploration of Sensory and Non-Sensory Perceptions. Foods. 2026; 15(1):127. https://doi.org/10.3390/foods15010127
Chicago/Turabian StyleBatista, Laís Fernanda, Raick Alves Ribeiro, Jucenir dos Santos Ferreira, Luana Cristina da Silva Ramos, Ana Clarissa dos Santos Pires, and Márcia Cristina Teixeira Ribeiro Vidigal. 2026. "Baru Almond Beverage (Baruccino) with Different Sweeteners: Nutritional and Physical Properties and Exploration of Sensory and Non-Sensory Perceptions" Foods 15, no. 1: 127. https://doi.org/10.3390/foods15010127
APA StyleBatista, L. F., Ribeiro, R. A., Ferreira, J. d. S., Ramos, L. C. d. S., Pires, A. C. d. S., & Vidigal, M. C. T. R. (2026). Baru Almond Beverage (Baruccino) with Different Sweeteners: Nutritional and Physical Properties and Exploration of Sensory and Non-Sensory Perceptions. Foods, 15(1), 127. https://doi.org/10.3390/foods15010127

