Fermentation of Common Nettle Extracts by Ligilactobacillus salivarius: New Avenue for the Development of Added-Value Bioactive Products
Abstract
1. Introduction
2. Materials and Methods
2.1. Fermentation of Extracts
2.2. Evaluation of Viable Cell Number
2.3. Evaluation of Lactic Acid and Reducing Sugar Concentration in Extracts
2.4. Antioxidative Activity Assays
2.4.1. DPPH Assay
2.4.2. ABTS Assay
2.5. Total Polyphenol Content (TPC)
2.6. HPLC Method
2.7. Evaluation of Protein Concentration in Extracts and Alpha amino Nitrogen
2.8. Statistical Analysis
3. Results and Discussion
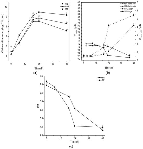
3.1. Fermentation Parameters
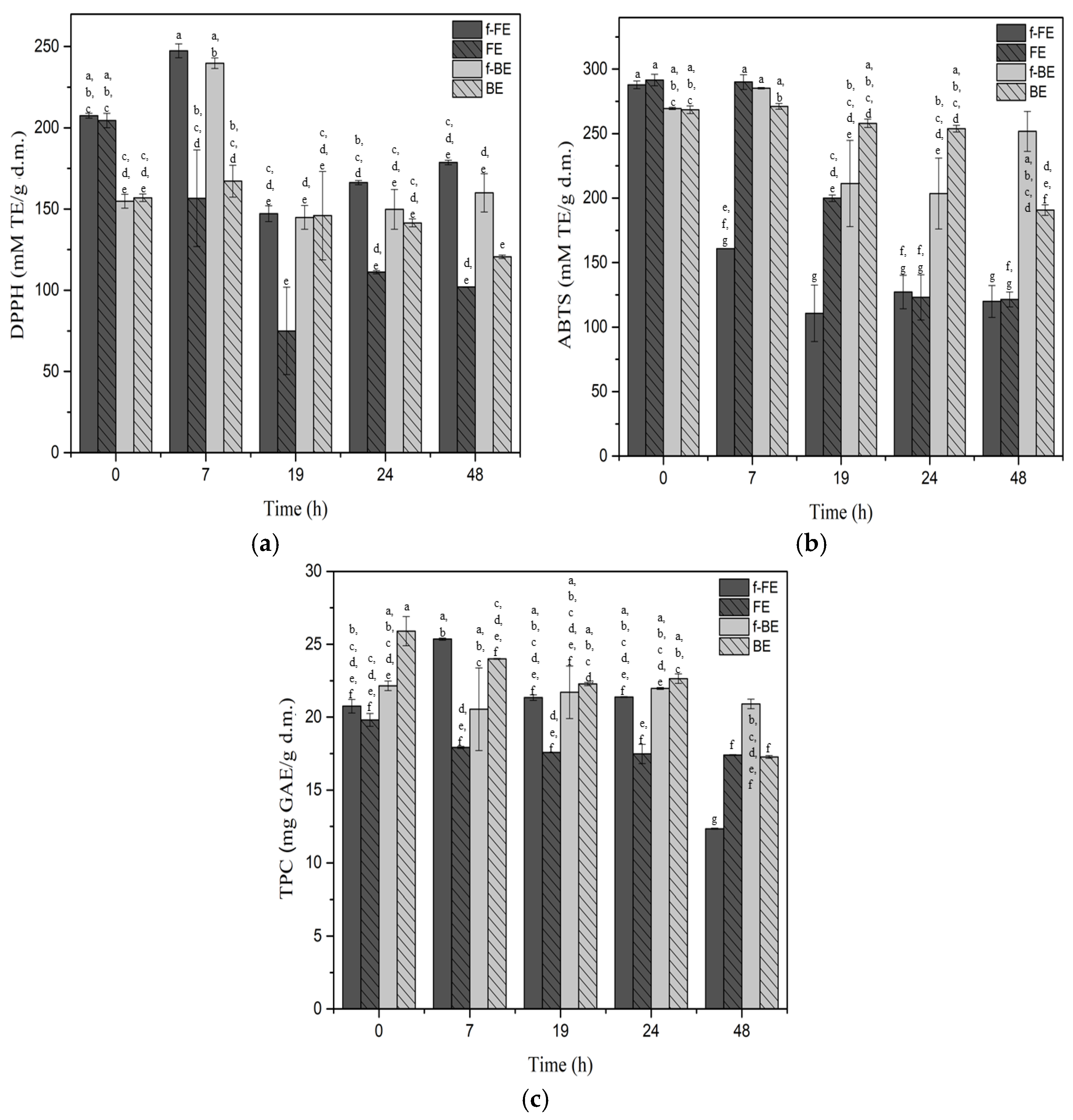
3.2. Antioxidant Activity and TPC During the Fermentation of Nettle Extracts by L. salivarius
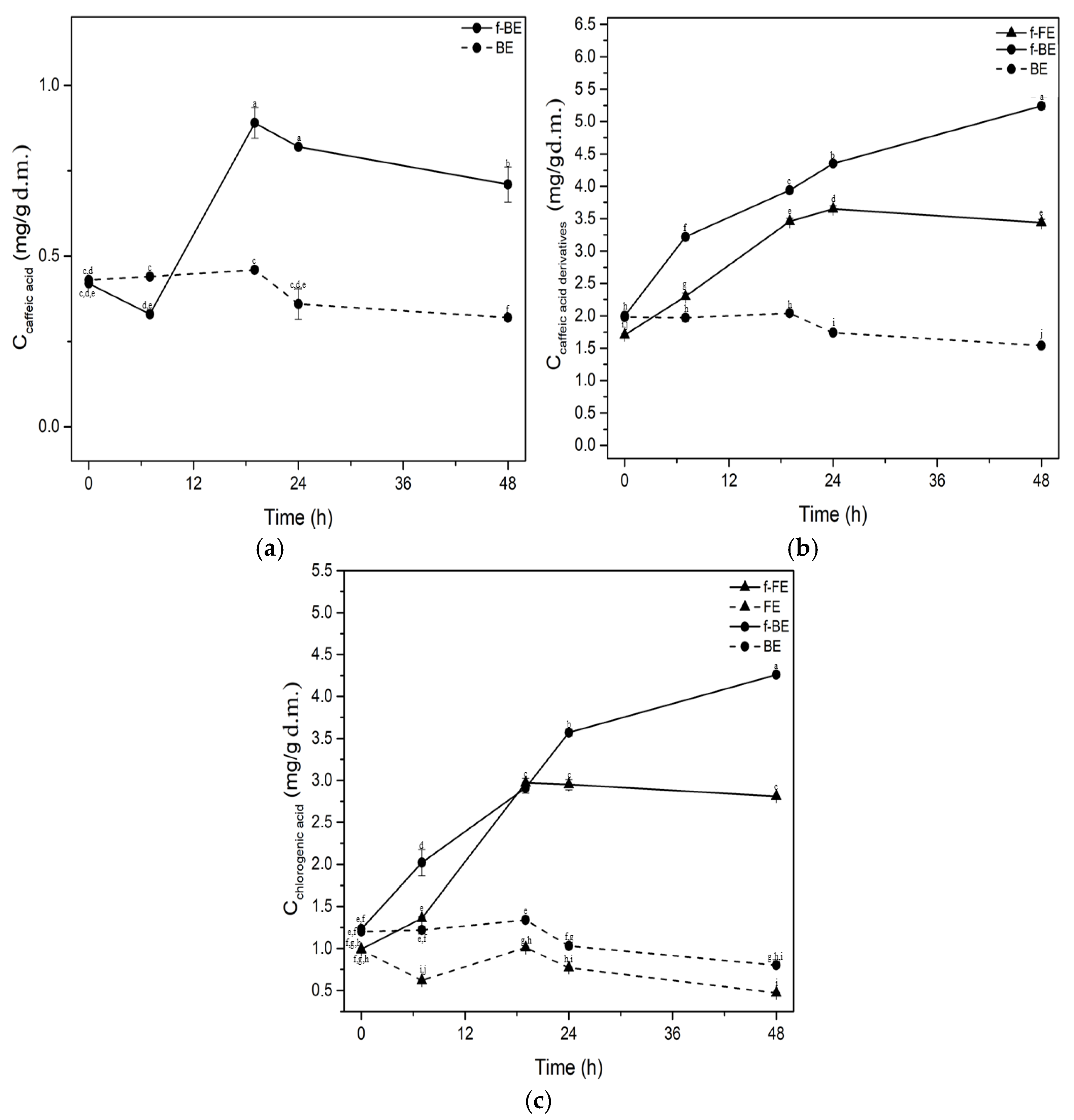
3.3. Phenolic Compound Content During Fermentation by L. salivarius
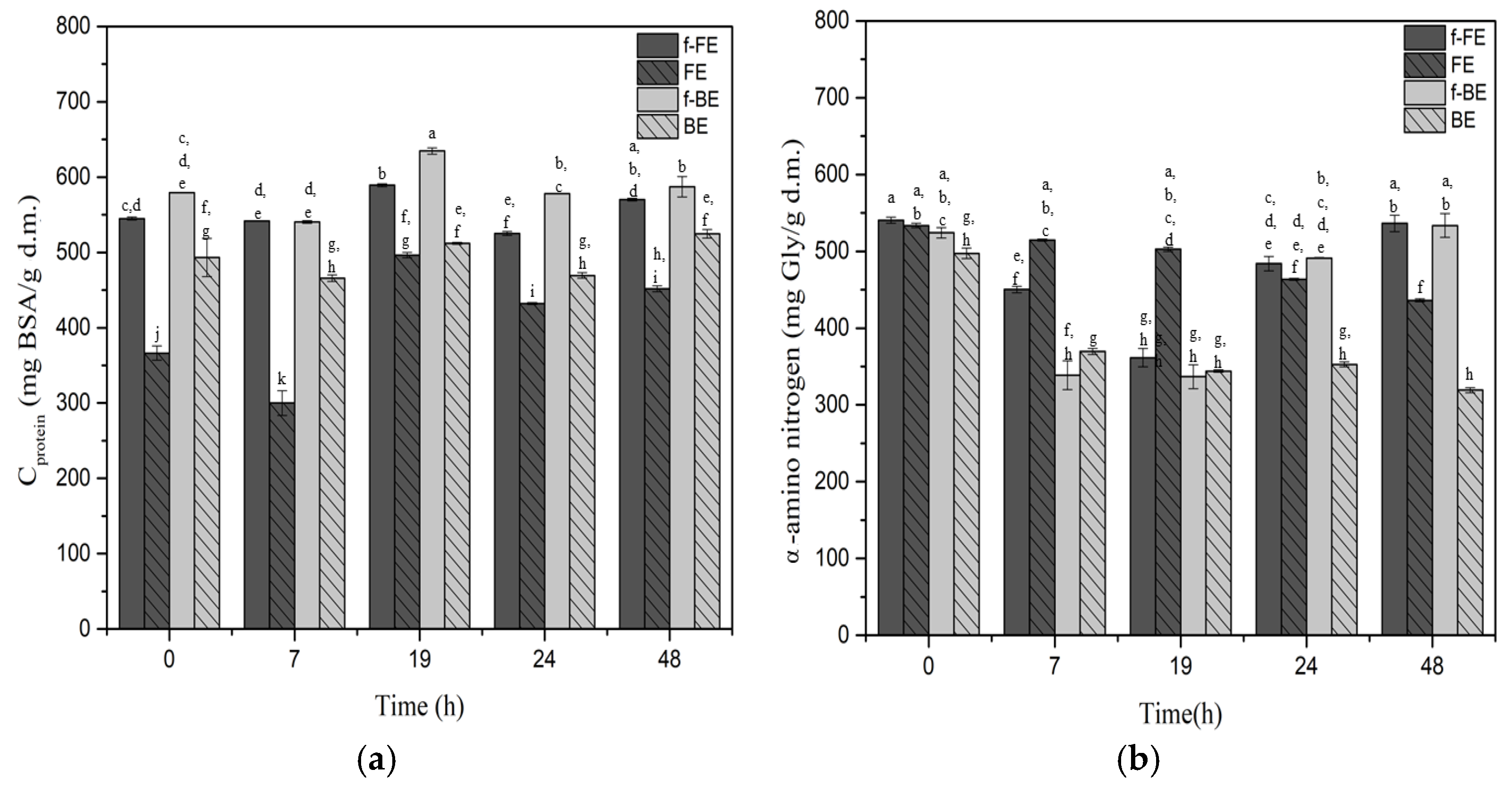
3.4. The Influence of Fermentation on Protein Concentration and α-Amino Nitrogen
4. Conclusions
Author Contributions
Funding
Institutional Review Board Statement
Informed Consent Statement
Data Availability Statement
Conflicts of Interest
References
- Saha, A.; Basak, B.B. Scope of Value Addition and Utilization of Residual Biomass from Medicinal and Aromatic Plants. Ind. Crops Prod. 2020, 145, 111979. [Google Scholar] [CrossRef]
- Chandra, P.; Sharma, V. Marketing Information System and Strategies for Sustainable and Competitive Medicinal and Aromatic Plants Trade. Inf. Dev. 2019, 35, 806–818. [Google Scholar] [CrossRef]
- Wei, L.S.; Goh, K.W.; Abdul Hamid, N.K.; Abdul Kari, Z.; Wee, W.; Van Doan, H. A Mini-Review on Co-Supplementation of Probiotics and Medicinal Herbs: Application in Aquaculture. Front. Vet. Sci. 2022, 9, 869564. [Google Scholar] [CrossRef]
- Mandpe, A.; Bhattacharya, A.; Paliya, S.; Pratap, V.; Hussain, A.; Kumar, S. Life-Cycle Assessment Approach for Municipal Solid Waste Management System of Delhi City. Environ. Res. 2022, 212, 113424. [Google Scholar] [CrossRef]
- Chavan, D.; Manjunatha, G.S.; Singh, D.; Periyaswami, L.; Kumar, S.; Kumar, R. Estimation of Spontaneous Waste Ignition Time for Prevention and Control of Landfill Fire. Waste Manag. 2022, 139, 258–268. [Google Scholar] [CrossRef]
- Ramachandra, T.V.; Bharath, H.A.; Kulkarni, G.; Han, S.S. Municipal Solid Waste: Generation, Composition and GHG Emissions in Bangalore, India. Renew. Sustain. Energy Rev. 2018, 82, 1122–1136. [Google Scholar] [CrossRef]
- Freitas, L.C.; Barbosa, J.R.; da Costa, A.L.C.; Bezerra, F.W.F.; Pinto, R.H.H.; de Carvalho Junior, R.N. From Waste to Sustainable Industry: How Can Agro-Industrial Wastes Help in the Development of New Products? Resour. Conserv. Recycl. 2021, 169, 105466. [Google Scholar] [CrossRef]
- Khan, S.; Anjum, R.; Raza, S.T.; Ahmed Bazai, N.; Ihtisham, M. Technologies for Municipal Solid Waste Management: Current Status, Challenges, and Future Perspectives. Chemosphere 2022, 288, 132403. [Google Scholar] [CrossRef] [PubMed]
- UN—Sustainable Development (2015) The 17 Goals. Available online: https://sdgs.un.org/goals (accessed on 13 September 2025).
- Venkatesh, G. Circular Bio-Economy—Paradigm for the Future: Systematic Review of Scientific Journal Publications from 2015 to 2021. Circ. Econ. Sustain. 2022, 2, 231–279. [Google Scholar] [CrossRef]
- Ahmad, T.; Esposito, F.; Cirillo, T. Valorization of Agro-Food by-Products: Advancing Sustainability and Sustainable Development Goals 2030 through Functional Compounds Recovery. Food Biosci. 2024, 62, 105194. [Google Scholar] [CrossRef]
- Toplicean, I.-M.; Ianuș, R.-D.; Datcu, A.-D. An Overview on Nettle Studies, Compounds, Processing and the Relation with Circular Bioeconomy. Plants 2024, 13, 3529. [Google Scholar] [CrossRef]
- Kregiel, D.; Pawlikowska, E.; Antolak, H. Urtica spp.: Ordinary Plants with Extraordinary Properties. Molecules 2018, 23, 1664. [Google Scholar] [CrossRef]
- Devkota, H.P.; Paudel, K.R.; Khanal, S.; Baral, A.; Panth, N.; Adhikari-Devkota, A.; Jha, N.K.; Das, N.; Singh, S.K.; Chellappan, D.K.; et al. Stinging Nettle (Urtica dioica L.): Nutritional Composition, Bioactive Compounds, and Food Functional Properties. Molecules 2022, 27, 5219. [Google Scholar] [CrossRef]
- Đurović, S.; Kojić, I.; Radić, D.; Smyatskaya, Y.A.; Bazarnova, J.G.; Filip, S.; Tosti, T. Chemical Constituents of Stinging Nettle (Urtica dioica L.): A Comprehensive Review on Phenolic and Polyphenolic Compounds and Their Bioactivity. Int. J. Mol. Sci. 2024, 25, 3430. [Google Scholar] [CrossRef] [PubMed]
- Rutto, L.K.; Xu, Y.; Ramirez, E.; Brandt, M. Mineral Properties and Dietary Value of Raw and Processed Stinging Nettle (Urtica dioica L.). Int. J. Food Sci. 2013, 2013, 857120. [Google Scholar] [CrossRef] [PubMed]
- Bağci, E. Fatty Acid Composition of the Aerial Parts of Urtica dioica (Stinging Nettle) L. (Urticaceae). In Biodiversity; Springer: Boston, MA, USA, 2002; pp. 323–327. [Google Scholar] [CrossRef]
- Dar, S.A.; Yousuf, A.R.; Ganai, F.A.; Sharma, P.; Kumar, N.; Singh, R. Bioassay Guided Isolation and Identification of Anti-Inflammatory and Anti-Microbial Compounds from Urtica dioica L. (Urticaceae) Leaves. Afr. J. Biotechnol. 2012, 11, 12910–12920. [Google Scholar] [CrossRef]
- Bourgeois, C.; Leclerc, É.A.; Corbin, C.; Doussot, J.; Serrano, V.; Vanier, J.-R.; Seigneuret, J.-M.; Auguin, D.; Pichon, C.; Lainé, É. Nettle (Urtica dioica L.) as a Source of Antioxidant and Anti-Aging Phytochemicals for Cosmetic Applications. Comptes Rendus Chim. 2016, 19, 1090–1100. [Google Scholar] [CrossRef]
- Li, Z.; Kanwal, R.; Yue, X.; Li, M.; Xie, A. Polyphenols and Intestinal Microorganisms: A Review of Their Interactions and Effects on Human Health. Food Biosci. 2024, 62, 105220. [Google Scholar] [CrossRef]
- Chrubasik, J.E.; Roufogalis, B.D.; Wagner, H.; Chrubasik, S.A. A Comprehensive Review on Nettle Effect and Efficacy Profiles, Part I: Herba Urticae. Phytomedicine 2007, 14, 423–435. [Google Scholar] [CrossRef]
- Stinging Nettle Root Extract Market. Available online: https://www.factmr.com/report/stinging-nettle-root-extract-market (accessed on 13 September 2025).
- Atwi-Ghaddar, S.; Zerwette, L.; Destandau, E.; Lesellier, E. Supercritical Fluid Extraction (SFE) of Polar Compounds from Camellia sinensis Leaves: Use of Ethanol/Water as a Green Polarity Modifier. Molecules 2023, 28, 5485. [Google Scholar] [CrossRef]
- Sarita, B.; Samadhan, D.; Hassan, M.Z.; Kovaleva, E.G. A Comprehensive Review of Probiotics and Human Health-Current Prospective and Applications. Front. Microbiol. 2025, 15, 1487641. [Google Scholar] [CrossRef]
- Sionek, B.; Szydłowska, A.; Küçükgöz, K.; Kołożyn-Krajewska, D. Traditional and New Microorganisms in Lactic Acid Fermentation of Food. Fermentation 2023, 9, 1019. [Google Scholar] [CrossRef]
- Tiwari, S.; Kavitake, D.; Suryavanshi, M.V.; Shah, I.A.; Devi, P.B.; Reddy, G.B.; Shetty, P.H. An Expanding Frontier in Prebiotic Research and Synbiotic Functional Food Development through Exopolysaccharides from Probiotic Bacteria. Food Humanit. 2024, 3, 100436. [Google Scholar] [CrossRef]
- Rahbar Saadat, Y.; Yari Khosroushahi, A.; Pourghassem Gargari, B. A Comprehensive Review of Anticancer, Immunomodulatory and Health Beneficial Effects of the Lactic Acid Bacteria Exopolysaccharides. Carbohydr. Polym. 2019, 217, 79–89. [Google Scholar] [CrossRef]
- Ibrahim, A.Y.; Youness, E.R.; Mahmoud, M.G.; Asker, M.S.; El-Newary, S.A. Acidic Exopolysaccharide Produced from Marine Bacillus amyloliquefaciens 3MS 2017 for the Protection and Treatment of Breast Cancer. Breast Cancer Basic Clin. Res. 2020, 14, 1–14. [Google Scholar] [CrossRef]
- Darbandi, A.; Asadi, A.; Mahdizade Ari, M.; Ohadi, E.; Talebi, M.; Halaj Zadeh, M.; Darb Emamie, A.; Ghanavati, R.; Kakanj, M. Bacteriocins: Properties and Potential Use as Antimicrobials. J. Clin. Lab. Anal. 2022, 36, e24093. [Google Scholar] [CrossRef]
- Wang, C.; Chang, T.; Yang, H.; Cui, M. Antibacterial Mechanism of Lactic Acid on Physiological and Morphological Properties of Salmonella enteritidis, Escherichia coli and Listeria monocytogenes. Food Control 2015, 47, 231–236. [Google Scholar] [CrossRef]
- Li, X.; Shimizu, Y.; Kimura, I. Gut Microbial Metabolite Short-Chain Fatty Acids and Obesity. Biosci. Microbiota Food Health 2017, 36, 135–140. [Google Scholar] [CrossRef]
- Fernández, J.; Redondo-Blanco, S.; Gutiérrez-del-Río, I.; Miguélez, E.M.; Villar, C.J.; Lombó, F. Colon Microbiota Fermentation of Dietary Prebiotics towards Short-Chain Fatty Acids and Their Roles as Anti-Inflammatory and Antitumour Agents: A Review. J. Funct. Foods 2016, 25, 511–522. [Google Scholar] [CrossRef]
- Chen, X.-F.; Chen, X.; Tang, X. Short-Chain Fatty Acid, Acylation and Cardiovascular Diseases. Clin. Sci. 2020, 134, 657–676. [Google Scholar] [CrossRef] [PubMed]
- Gaur, G.; Gänzle, M.G. Conversion of (Poly) Phenolic Compounds in Food Fermentations by Lactic Acid Bacteria: Novel Insights into Metabolic Pathways and Functional Metabolites. Curr. Res. Food Sci. 2023, 6, 100448. [Google Scholar] [CrossRef]
- Zhao, Y.; Zhong, X.; Yan, J.; Sun, C.; Zhao, X.; Wang, X. Potential Roles of Gut Microbes in Biotransformation of Natural Products: An Overview. Front. Microbiol. 2022, 13, 956378. [Google Scholar] [CrossRef] [PubMed]
- Zheng, J.; Wittouck, S.; Salvetti, E.; Franz, C.M.A.P.; Harris, H.M.B.; Mattarelli, P.; O’toole, P.W.; Pot, B.; Vandamme, P.; Walter, J. A Taxonomic Note on the Genus Lactobacillus: Description of 23 Novel Genera, Emended Description of the Genus Lactobacillus Beijerinck 1901, and Union of Lactobacillaceae and Leuconostocaceae. Int. J. Syst. Evol. Microbiol. 2020, 70, 2782–2858. [Google Scholar] [CrossRef]
- Marco, M.L.; Heeney, D.; Binda, S.; Cifelli, C.J.; Cotter, P.D.; Foligné, B.; Gänzle, M.; Kort, R.; Pasin, G.; Pihlanto, A. Health Benefits of Fermented Foods: Microbiota and Beyond. Curr. Opin. Biotechnol. 2017, 44, 94–102. [Google Scholar] [CrossRef]
- Mladenović, M.; Bogdanović, M.; Mladenović, D.; Vuković, A.D.; Mojović, L. Common Nettle Processing Residues as a Valuable Source of Antioxidants. In Proceedings of the 10th International Conference on Sustainable Solid Waste Management, Chania, Greece, 21–24 June 2023; 2023; Volume 6. Available online: http://generalchemistry.chemeng.ntua.gr/uest/chania2023/posters/CostEstimationPayment/64514322d7773mvOsd/1961_Chania2023_Mojovic_poster.pdf (accessed on 13 September 2025).
- Koch, R. Über Die Neuen Untersuchungsmethoden Zum Nachweis Der Mikrokosmen in Boden, Luft Und Wasser. In Gesammelte Werke von Robert Koch 1883. pp. 274–284. Available online: http://edoc.rki.de/documents/rk/508-274-284/PDF/274-284.pdf (accessed on 13 September 2025).
- Negrulescu, A.; Patrulea, V.; Mincea, M.M.; Ionascu, C.; Vlad-Oros, B.A.; Ostafe, V. Adapting the Reducing Sugars Method with Dinitrosalicylic Acid to Microtiter Plates and Microwave Heating. J. Braz. Chem. Soc. 2012, 23, 2176–2182. [Google Scholar] [CrossRef]
- Brand-Williams, W.; Cuvelier, M.-E.; Berset, C. Use of a Free Radical Method to Evaluate Antioxidant Activity. LWT-Food Sci. Technol. 1995, 28, 25–30. [Google Scholar] [CrossRef]
- Re, R.; Pellegrini, N.; Proteggente, A.; Pannala, A.; Yang, M.; Rice-Evans, C. Antioxidant Activity Applying an Improved ABTS Radical Cation Decolorization Assay. Free Radic. Biol. Med. 1999, 26, 1231–1237. [Google Scholar] [CrossRef]
- Swain, T.; Hillis, W.E. The Phenolic Constituents of Prunus Domestica. I.—The Quantitative Analysis of Phenolic Constituents. J. Sci. Food Agric. 1959, 10, 63–68. [Google Scholar] [CrossRef]
- Martinović, M.; Krgović, N.; Nešić, I.; Žugić, A.; Tadić, V.M. Conventional vs. Green Extraction Using Natural Deep Eutectic Solvents—Differences in the Composition of Soluble Unbound Phenolic Compounds and Antioxidant Activity. Antioxidants 2022, 11, 2295. [Google Scholar] [CrossRef]
- Hartree, E.F. Determination of Protein: A Modification of the Lowry Method That Gives a Linear Photometric Response. Anal. Biochem. 1972, 48, 422–427. [Google Scholar] [CrossRef]
- Lie, S. The ebc-ninhydrin method for determination of free alpha amino nitrogen. J. Inst. Brew. 1973, 79, 37–41. [Google Scholar] [CrossRef]
- Corry, J.E.L.; Curtis, G.D.W.; Baird, R.M. (Eds.) De Man Rogosa and Sharpe (MRS) Agar. In Handbook of Culture Media for Food Microbiology; Elsevier: Amsterdam, The Netherlands, 2003; Volume 37, pp. 511–513. ISBN 0079-6352. [Google Scholar]
- Molino, S.; Lerma-Aguilera, A.; Jiménez-Hernández, N.; Gosalbes, M.J.; Rufián-Henares, J.Á.; Francino, M.P. Enrichment of Food with Tannin Extracts Promotes Healthy Changes in the Human Gut Microbiota. Front. Microbiol. 2021, 12, 570. [Google Scholar] [CrossRef]
- Taheri, Y.; Quispe, C.; Herrera-Bravo, J.; Sharifi-Rad, J.; Ezzat, S.M.; Merghany, R.M.; Shaheen, S.; Azmi, L.; Prakash Mishra, A.; Sener, B.; et al. Urtica dioica-Derived Phytochemicals for Pharmacological and Therapeutic Applications. Evid. Based. Complement. Alternat. Med. 2022, 2022, 4024331. [Google Scholar] [CrossRef] [PubMed]
- Li, Y.; Raftis, E.; Canchaya, C.; Fitzgerald, G.F.; van Sinderen, D.; O’Toole, P.W. Polyphasic Analysis Indicates That Lactobacillus salivarius subsp. Salivarius and Lactobacillus salivarius subsp. salicinius Do Not Merit Separate Subspecies Status. Int. J. Syst. Evol. Microbiol. 2006, 56, 2397–2403. [Google Scholar] [CrossRef]
- Śliżewska, K.; Chlebicz-Wójcik, A. Growth Kinetics of Probiotic Lactobacillus Strains in the Alternative, Cost-Efficient Semi-Solid Fermentation Medium. Biology 2020, 9, 423. [Google Scholar] [CrossRef] [PubMed]
- Popov, S.; Skeledžija, S.; Šorgić, S.; Zeković, Z.; Micić, D.; Radulović, A.; Đurović, S. Application of Contemporary Extraction Techniques for Elements and Minerals Recovery from Stinging Nettle Leaves. Appl. Sci. 2020, 10, 793. [Google Scholar] [CrossRef]
- Hou, F.; Su, T.; Chen, Y.; Dong, L.; Zhang, M.; Huang, F. Novel Insights into Bound Phenolics: Conversion and Release of Phenolic Compounds in Lychee Pulp by Heat Pump Drying and Lactic Acid Bacterial Fermentation. Food Res. Int. 2025, 208, 116201. [Google Scholar] [CrossRef]
- Khare, V.; Kushwaha, P.; Verma, S.; Gupta, A.; Srivastava, S.; Rawat, A.K.S. Pharmacognostic Evaluation and Antioxidant Activity of Urtica dioica L. Chin. Med. 2012, 3, 128–135. [Google Scholar] [CrossRef]
- Güder, A.; Korkmaz, H. Evaluation of In-Vitro Antioxidant Properties of Hydroalcoholic Solution Extracts Urtica dioica L., Malva Neglecta Wallr. and Their Mixture. Iran. J. Pharm. Res. IJPR 2012, 11, 913. [Google Scholar] [PubMed]
- Carvalho, A.R.; Costa, G.; Figueirinha, A.; Liberal, J.; Prior, J.A.V.; Lopes, M.C.; Cruz, M.T.; Batista, M.T. Urtica spp.: Phenolic Composition, Safety, Antioxidant and Anti-Inflammatory Activities. Food Res. Int. 2017, 99, 485–494. [Google Scholar] [CrossRef] [PubMed]
- Vajić, U.-J.; Grujić-Milanović, J.; Živković, J.; Šavikin, K.; Gođevac, D.; Miloradović, Z.; Bugarski, B.; Mihailović-Stanojević, N. Optimization of Extraction of Stinging Nettle Leaf Phenolic Compounds Using Response Surface Methodology. Ind. Crops Prod. 2015, 74, 912–917. [Google Scholar] [CrossRef]
- Gan, R.; Shah, N.P.; Wang, M.; Lui, W.; Corke, H. Lactobacillus plantarum WCFS1 Fermentation Differentially Affects Antioxidant Capacity and Polyphenol Content in Mung Bean (Vigna radiata) and Soya Bean (Glycine max) Milks. J. Food Process. Preserv. 2017, 41, e12944. [Google Scholar] [CrossRef]
- Wianowska, D.; Gil, M. Recent Advances in Extraction and Analysis Procedures of Natural Chlorogenic Acids. Phytochem. Rev. 2019, 18, 273–302. [Google Scholar] [CrossRef]
- Orčić, D.; Francišković, M.; Bekvalac, K.; Svirčev, E.; Beara, I.; Lesjak, M.; Mimica-Dukić, N. Quantitative Determination of Plant Phenolics in Urtica dioica Extracts by High-Performance Liquid Chromatography Coupled with Tandem Mass Spectrometric Detection. Food Chem. 2014, 143, 48–53. [Google Scholar] [CrossRef]
- Hernández, T.; Estrella, I.; Pérez-Gordo, M.; Alegría, E.G.; Tenorio, C.; Ruiz-Larrrea, F.; Moreno-Arribas, M.V. Contribution of Malolactic Fermentation by Oenococcus Oeni and Lactobacillus Plantarum to the Changes in the Nonanthocyanin Polyphenolic Composition of Red Wine. J. Agric. Food Chem. 2007, 55, 5260–5266. [Google Scholar] [CrossRef] [PubMed]
- Fritsch, C.; Heinrich, V.; Vogel, R.F.; Toelstede, S. Phenolic Acid Degradation Potential and Growth Behavior of Lactic Acid Bacteria in Sunflower Substrates. Food Microbiol. 2016, 57, 178–186. [Google Scholar] [CrossRef]
- Zeković, Z.; Cvetanović, A.; Švarc-Gajić, J.; Gorjanović, S.; Sužnjević, D.; Mašković, P.; Savić, S.; Radojković, M.; Đurović, S. Chemical and Biological Screening of Stinging Nettle Leaves Extracts Obtained by Modern Extraction Techniques. Ind. Crops Prod. 2017, 108, 423–430. [Google Scholar] [CrossRef]
- Deveci, G.; Çelik, E.; Ağagündüz, D.; Bartkiene, E.; Rocha, J.M.F.; Özogul, F. Certain Fermented Foods and Their Possible Health Effects with a Focus on Bioactive Compounds and Microorganisms. Fermentation 2023, 9, 923. [Google Scholar] [CrossRef]
- Huang, S.; Vignolles, M.L.; Chen, X.D.; Le Loir, Y.; Jan, G.; Schuck, P.; Jeantet, R. Spray Drying of Probiotics and Other Food-Grade Bacteria: A Review. Trends Food Sci. Technol. 2017, 63, 1–17. [Google Scholar] [CrossRef]
- Filannino, P.; Bai, Y.; Di Cagno, R.; Gobbetti, M.; Gänzle, M.G. Metabolism of Phenolic Compounds by Lactobacillus spp. during Fermentation of Cherry Juice and Broccoli Puree. Food Microbiol. 2015, 46, 272–279. [Google Scholar] [CrossRef] [PubMed]
- Tang, S.; Cheng, Y.; Wu, T.; Hu, F.; Pan, S.; Xu, X. Effect of Lactobacillus plantarum-Fermented Mulberry Pomace on Antioxidant Properties and Fecal Microbial Community. LWT 2021, 147, 111651. [Google Scholar] [CrossRef]
- Jiménez, N.; Esteban-Torres, M.; Mancheño, J.M.; de las Rivas, B.; Muñoz, R. Tannin Degradation by a Novel Tannase Enzyme Present in Some Lactobacillus plantarum Strains. Appl. Environ. Microbiol. 2014, 80, 2991–2997. [Google Scholar] [CrossRef]
- Bhat, R.; Suryanarayana, L.C.; Chandrashekara, K.A.; Krishnan, P.; Kush, A.; Ravikumar, P. Lactobacillus plantarum Mediated Fermentation of Psidium guajava L. Fruit Extract. J. Biosci. Bioeng. 2015, 119, 430–432. [Google Scholar] [CrossRef]
- Sabokbar, N.; Khodaiyan, F. Total Phenolic Content and Antioxidant Activities of Pomegranate Juice and Whey Based Novel Beverage Fermented by Kefir Grains. J. Food Sci. Technol. 2016, 53, 739–747. [Google Scholar] [CrossRef]
- Li, Z.; Teng, J.; Lyu, Y.; Hu, X.; Zhao, Y.; Wang, M. Enhanced Antioxidant Activity for Apple Juice Fermented with Lactobacillus plantarum ATCC14917. Molecules 2018, 24, 51. [Google Scholar] [CrossRef]
- Adebo, O.A.; Gabriela Medina-Meza, I. Impact of Fermentation on the Phenolic Compounds and Antioxidant Activity of Whole Cereal Grains: A Mini Review. Molecules 2020, 25, 927. [Google Scholar] [CrossRef] [PubMed]
- Zhou, Y.; Wang, R.; Zhang, Y.; Yang, Y.; Sun, X.; Zhang, Q.; Yang, N. Biotransformation of Phenolics and Metabolites and the Change in Antioxidant Activity in Kiwifruit Induced by Lactobacillus plantarum Fermentation. J. Sci. Food Agric. 2020, 100, 3283–3290. [Google Scholar] [CrossRef] [PubMed]
- Bravo, D.; Peirotén, Á.; Álvarez, I.; Landete, J.M. Phytoestrogen Metabolism by Lactic Acid Bacteria: Enterolignan Production by Lactobacillus Salivarius and Lactobacillus Gasseri Strains. J. Funct. Foods 2017, 37, 373–378. [Google Scholar] [CrossRef]
- de la Bastida, A.R.; Peirotén, Á.; Langa, S.; Álvarez, I.; Arqués, J.L.; Landete, J.M. Metabolism of Flavonoids and Lignans by Lactobacilli and Bifidobacteria Strains Improves the Nutritional Properties of Flaxseed-Enriched Beverages. Food Res. Int. 2021, 147, 110488. [Google Scholar] [CrossRef]
- Girard, M.; Bee, G. Invited Review: Tannins as a Potential Alternative to Antibiotics to Prevent Coliform Diarrhea in Weaned Pigs. Animal 2020, 14, 95–107. [Google Scholar] [CrossRef]
- Ueda, S.; Nomoto, R.; Yoshida, K.; Osawa, R. Comparison of Three Tannases Cloned from Closely Related Lactobacillus Species: L. Plantarum, L. Paraplantarum, and L. Pentosus. BMC Microbiol. 2014, 14, 87. [Google Scholar] [CrossRef] [PubMed]
- Kamijo, M.; Kanazawa, T.; Funaki, M.; Nishizawa, M.; Yamagishi, T. Effects of Rosa Rugosa Petals on Intestinal Bacteria. Biosci. Biotechnol. Biochem. 2008, 72, 773–777. [Google Scholar] [CrossRef]
- Kianersi, F.; Abdollahi, M.R.; Mirzaie-Asl, A.; Dastan, D.; Rasheed, F. Identification and Tissue-Specific Expression of Rutin Biosynthetic Pathway Genes in Capparis Spinosa Elicited with Salicylic Acid and Methyl Jasmonate. Sci. Rep. 2020, 10, 8884. [Google Scholar] [CrossRef]
- Aksamit-Stachurska, A.; Korobczak-Sosna, A.; Kulma, A.; Szopa, J. Glycosyltransferase Efficiently Controls Phenylpropanoid Pathway. BMC Biotechnol. 2008, 8, 25. [Google Scholar] [CrossRef]
- Yang, J.; Shang, P.; Zhang, B.; Wang, J.; Du, Z.; Wang, S.; Xing, J.; Zhang, H. Genomic and Metabonomic Methods Reveal the Probiotic Functions of Swine-Derived Ligilactobacillus salivarius. BMC Microbiol. 2023, 23, 242. [Google Scholar] [CrossRef]
- Oleksy, M.; Klewicka, E. Exopolysaccharides Produced by Lactobacillus sp.: Biosynthesis and Applications. Crit. Rev. Food Sci. Nutr. 2018, 58, 450–462. [Google Scholar] [CrossRef] [PubMed]
- Rajoka, M.S.R.; Wu, Y.; Mehwish, H.M.; Bansal, M.; Zhao, L. Lactobacillus Exopolysaccharides: New Perspectives on Engineering Strategies, Physiochemical Functions, and Immunomodulatory Effects on Host Health. Trends Food Sci. Technol. 2020, 103, 36–48. [Google Scholar] [CrossRef]
- Klingel, T.; Hadamjetz, M.; Fischer, A.; Wefers, D. Glucosylation of Flavonoids and Flavonoid Glycosides by Mutant Dextransucrase from Lactobacillus reuteri TMW 1.106. Carbohydr. Res. 2019, 483, 107741. [Google Scholar] [CrossRef]
- López de Felipe, F. Revised Aspects into the Molecular Bases of Hydroxycinnamic Acid Metabolism in Lactobacilli. Antioxidants 2023, 12, 1294. [Google Scholar] [CrossRef]
- Schaan, K.; Hughes, P. A Comparison of Free Amino Nitrogen and Yeast-Assimilable Nitrogen Measurement Methods for Use in Alcoholic Fermentation of Whey. J. Dairy Sci. 2024, 107, 6592–6601. [Google Scholar] [CrossRef] [PubMed]
- Li, Y.P.; Ahmadi, F.; Kariman, K.; Lackner, M. Recent Advances and Challenges in Single Cell Protein (SCP) Technologies for Food and Feed Production. npj Sci. Food 2024, 8, 66. [Google Scholar] [CrossRef]
- Murali Sankar, P.; Karthiba, L.; Shreedevasena, S.; Anantha Raju, P.; Vanitha, S.; Salama, E.A.A.; Kamalakannan, A.; Jeyakumar, P. Bacterial Single Cell Protein: Applications, Productions, and Commercialization: Opportunities and Challenges. In Food Microbiology Based Entrepreneurship; Springer Nature: Singapore, 2023; pp. 153–172. [Google Scholar] [CrossRef]
- Kronbauer, M.; Shorstkii, I.; Botelho da Silva, S.; Toepfl, S.; Lammerskitten, A.; Siemer, C. Pulsed Electric Field Assisted Extraction of Soluble Proteins from Nettle Leaves ( Urtica dioica L.): Kinetics and Optimization Using Temperature and Specific Energy. Sustain. Food Technol. 2023, 1, 886–895. [Google Scholar] [CrossRef]
- Adhikari, B.M.; Bajracharya, A.; Shrestha, A.K. Comparison of Nutritional Properties of Stinging Nettle (Urtica dioica) Flour with Wheat and Barley Flours. Food Sci. Nutr. 2016, 4, 119–124. [Google Scholar] [CrossRef]
- Ahtesh, F.B.; Stojanovska, L.; Apostolopoulos, V. Anti-Hypertensive Peptides Released from Milk Proteins by Probiotics. Maturitas 2018, 115, 103–109. [Google Scholar] [CrossRef]
- Eiteman, M.A.; Ramalingam, S. Microbial Production of Lactic Acid. Biotechnol. Lett. 2015, 37, 955–972. [Google Scholar] [CrossRef] [PubMed]
- Kucia, M.; Wietrak, E.; Szymczak, M.; Kowalczyk, P. Effect of Ligilactobacillus salivarius and Other Natural Components against Anaerobic Periodontal Bacteria. Molecules 2020, 25, 4519. [Google Scholar] [CrossRef]
- Bogdanović, M.; Mladenović, D.; Mojović, L.; Djuriš, J.; Djukić-Vuković, A. Intraoral Administration of Probiotics and Postbiotics: An Overview of Microorganisms and Formulation Strategies. Braz. J. Pharm. Sci. 2024, 60, e23272. [Google Scholar] [CrossRef]
- Liu, C.; Zhan, S.; Tian, Z.; Li, N.; Li, T.; Wu, D.; Zeng, Z.; Zhuang, X. Food Additives Associated with Gut Microbiota Alterations in Inflammatory Bowel Disease: Friends or Enemies? Nutrients 2022, 14, 3049. [Google Scholar] [CrossRef]
- Zhou, X.; Qiao, K.; Wu, H.; Zhang, Y. The Impact of Food Additives on the Abundance and Composition of Gut Microbiota. Molecules 2023, 28, 631. [Google Scholar] [CrossRef] [PubMed]
- Jeong, S.-H.; Kim, B.-Y.; Kang, H.-G.; Ku, H.-O.; Cho, J.-H. Effects of Butylated Hydroxyanisole on the Development and Functions of Reproductive System in Rats. Toxicology 2005, 208, 49–62. [Google Scholar] [CrossRef]
- Engin, A.B.; Bukan, N.; Kurukahvecioglu, O.; Memis, L.; Engin, A. Effect of Butylated Hydroxytoluene (E321) Pretreatment versus l-Arginine on Liver Injury after Sub-Lethal Dose of Endotoxin Administration. Environ. Toxicol. Pharmacol. 2011, 32, 457–464. [Google Scholar] [CrossRef] [PubMed]
- Botterweck, A.A.; Verhagen, H.; Goldbohm, R.; Kleinjans, J.; van den Brandt, P. Intake of Butylated Hydroxyanisole and Butylated Hydroxytoluene and Stomach Cancer Risk: Results from Analyses in the Netherlands Cohort Study. Food Chem. Toxicol. 2000, 38, 599–605. [Google Scholar] [CrossRef] [PubMed]
- Randhawa, S.; Bahna, S.L. Hypersensitivity Reactions to Food Additives. Curr. Opin. Allergy Clin. Immunol. 2009, 9, 278–283. [Google Scholar] [CrossRef] [PubMed]





| Dry Matter (g/mL) | pH | DPPH (mM TE/g d.m.) | ABTS (mM TE/g d.m.) | TPC (mM GAE/g d.m.) | Reduced Sugar Content (g GLC/l) | Protein Content (mg BSA/g d.m.) | α-Amino Nitrogen (mg Gly/g d.m.) | |
|---|---|---|---|---|---|---|---|---|
| f-FE | 0.089 ± 0.01 a | 6.93 ± 0.01 b | 207.4 ± 1.4 a | 287.8 ± 2.9 b | 20.8 ± 0.5 ab | 1.1 ± 0.1 a | 579.2 ± 0.1 a | 524.2 ± 6.7 a |
| FE | 0.088 ± 0.01 a | 7.01 ± 0.01 b | 204.5 ± 4.9 a | 291.5 ± 4.4 b | 19.8 ± 0.4 a | 1.1 ± 0.1 a | 493.2 ± 25.2 ab | 497.3 ± 6.7 b |
| f-BE | 0.093 ± 0.01 a | 7.16 ± 0.02 a | 154.8 ± 4.2 b | 269.5 ± 0.9 a | 22.1 ± 0.3 b | 1.2 ± 0.1 b | 545.0 ± 1.8 b | 540.3 ± 4.0 a |
| BE | 0.098 ± 0.01 a | 7.11 ± 0.03 a | 156.964 ± 2.3 b | 268.5 ± 3.0 a | 25.9 ± 1.0 c | 1.2 ± 0.1 b | 366.2 ± 9.5 c | 533.6 ± 2.7 a |
Disclaimer/Publisher’s Note: The statements, opinions and data contained in all publications are solely those of the individual author(s) and contributor(s) and not of MDPI and/or the editor(s). MDPI and/or the editor(s) disclaim responsibility for any injury to people or property resulting from any ideas, methods, instructions or products referred to in the content. |
© 2025 by the authors. Licensee MDPI, Basel, Switzerland. This article is an open access article distributed under the terms and conditions of the Creative Commons Attribution (CC BY) license (https://creativecommons.org/licenses/by/4.0/).
Share and Cite
Bogdanović, M.; Žugić, A.; Tadić, V.; Krgović, N.; Mladenović, D.; Djukić-Vuković, A. Fermentation of Common Nettle Extracts by Ligilactobacillus salivarius: New Avenue for the Development of Added-Value Bioactive Products. Foods 2025, 14, 3905. https://doi.org/10.3390/foods14223905
Bogdanović M, Žugić A, Tadić V, Krgović N, Mladenović D, Djukić-Vuković A. Fermentation of Common Nettle Extracts by Ligilactobacillus salivarius: New Avenue for the Development of Added-Value Bioactive Products. Foods. 2025; 14(22):3905. https://doi.org/10.3390/foods14223905
Chicago/Turabian StyleBogdanović, Mihajlo, Ana Žugić, Vanja Tadić, Nemanja Krgović, Dragana Mladenović, and Aleksandra Djukić-Vuković. 2025. "Fermentation of Common Nettle Extracts by Ligilactobacillus salivarius: New Avenue for the Development of Added-Value Bioactive Products" Foods 14, no. 22: 3905. https://doi.org/10.3390/foods14223905
APA StyleBogdanović, M., Žugić, A., Tadić, V., Krgović, N., Mladenović, D., & Djukić-Vuković, A. (2025). Fermentation of Common Nettle Extracts by Ligilactobacillus salivarius: New Avenue for the Development of Added-Value Bioactive Products. Foods, 14(22), 3905. https://doi.org/10.3390/foods14223905

