Salt-Induced Changes in the Phenolic Content of Melon F2 Offspring Sprouts Obtained from Fruit Deseeding
Abstract
1. Introduction
2. Materials and Methods
2.1. Seed Materials
2.2. Sprouting and Experiment Description
2.3. Chemicals
2.4. UPLC-ESI-MS/MS Analysis of Phenolic Compounds
2.5. Statistical Analysis
3. Results
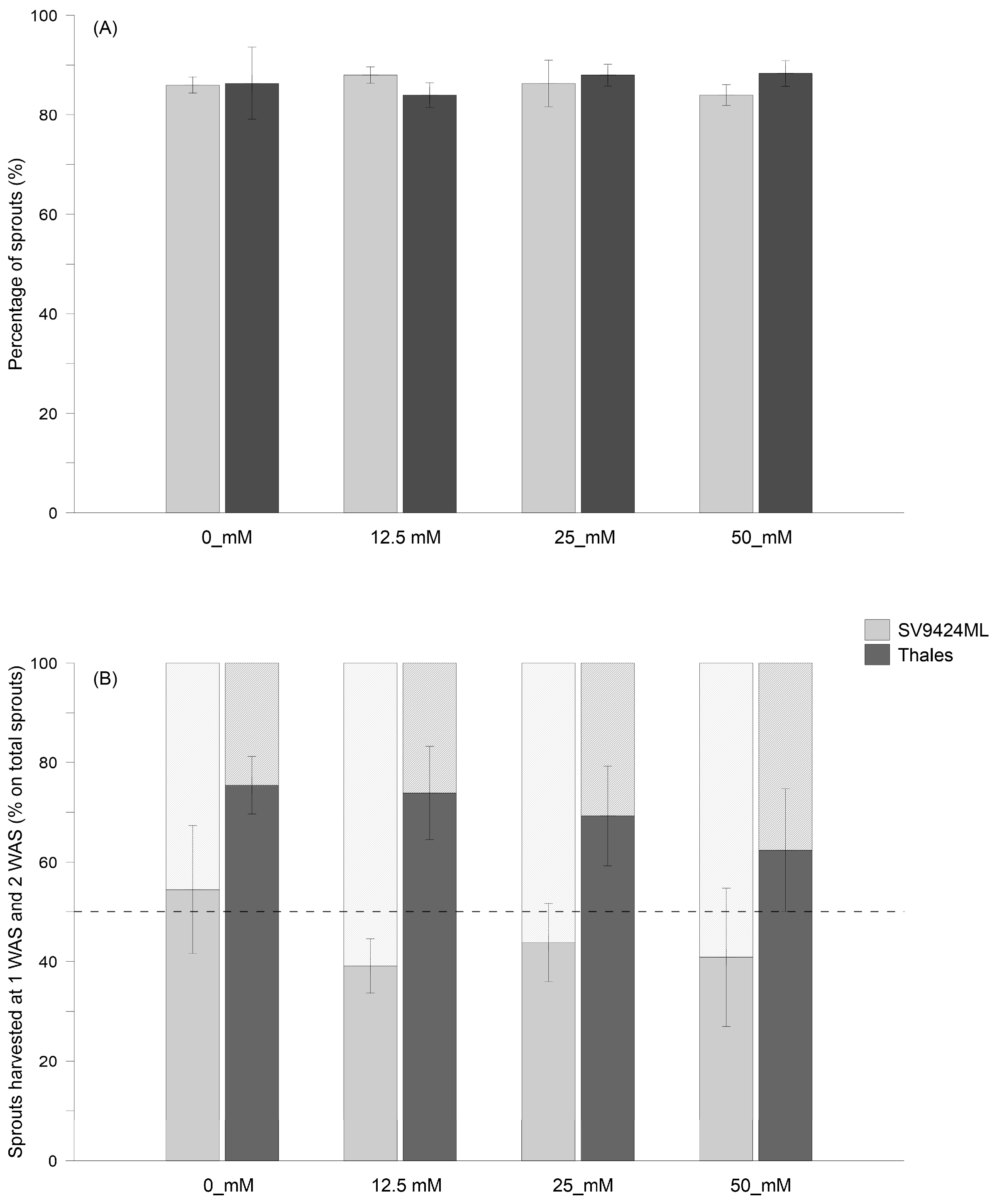
3.1. Growth Performances of Melon Sprouts
3.2. Phytochemical Profiles of Melon Sprouts
3.2.1. Total Phenolic Compounds
3.2.2. Single Phenolic Compounds
3.2.3. Principal Component Analysis
4. Discussion
5. Conclusions
Supplementary Materials
Author Contributions
Funding
Institutional Review Board Statement
Informed Consent Statement
Data Availability Statement
Acknowledgments
Conflicts of Interest
References
- Teng, J.; Liao, P.; Wang, M. The role of emerging micro-scale vegetables in human diet and health benefits—An updated review based on microgreens. Food Funct. 2021, 12, 1914–1932. [Google Scholar] [CrossRef] [PubMed]
- Ebert, A.W. Sprouts and microgreens—Novel food sources for healthy diets. Plants 2022, 11, 571. [Google Scholar] [CrossRef] [PubMed]
- Sharma, S.; Shree, B.; Sharma, D.; Kumar, S.; Kumar, V.; Sharma, R.; Saini, R. Vegetable microgreens: The gleam of next generation super foods, their genetic enhancement, health benefits and processing approaches. Food Res. Int. 2022, 155, 111038. [Google Scholar] [CrossRef] [PubMed]
- Dias, D.A.; Urban, S.; Roessner, U. A historical overview of natural products in drug discovery. Metabolites 2012, 2, 303–336. [Google Scholar] [CrossRef]
- Waliat, S.; Arshad, M.S.; Hanif, H.; Ejaz, A.; Khalid, W.; Kauser, S.; Al-Farga, A. A review on bioactive compounds in sprouts: Extraction techniques, food application and health functionality. Int. J. Food Prop. 2023, 26, 647–665. [Google Scholar] [CrossRef]
- Galieni, A.; Falcinelli, B.; Stagnari, F.; Datti, A.; Benincasa, P. Sprouts and microgreens: Trends, opportunities, and horizons for novel research. Agronomy 2020, 10, 1424. [Google Scholar] [CrossRef]
- Villacís-Chiriboga, J.; Elst, K.; Van Camp, J.; Vera, E.; Ruales, J. Valorization of byproducts from tropical fruits: Extraction methodologies, applications, environmental, and economic assessment: A review (Part 1: General overview of the byproducts, traditional biorefinery practices, and possible applications). Compr. Rev. Food Sci. Food Saf. 2020, 19, 405–447. [Google Scholar] [CrossRef]
- Rico, X.; Gullón, B.; Alonso, J.L.; Yáñez, R. Recovery of high value-added compounds from pineapple, melon, watermelon and pumpkin processing by-products: An overview. Food Res. Int. 2020, 132, 109086. [Google Scholar] [CrossRef]
- Kale, S.; Matthäus, B.; Aljuhaimi, F.; Ahmed, I.A.M.; Özcan, M.M.; Ghafoor, K.; Babiker, E.E.; Osman, M.A.; Gassem, M.A.; Alqah, H.A.S. A comparative study of the properties of 10 variety melon seeds and seed oils. J. Food Process. Preserv. 2020, 44, e14463. [Google Scholar] [CrossRef]
- Nerson, H. Seed production and germinability of cucurbit crops. Seed Sci. Biotechnol. 2007, 1, 1–10. [Google Scholar]
- Kumar, K.; Debnath, P.; Singh, S.; Kumar, N. An overview of plant phenolics and their involvement in abiotic stress tolerance. Stresses 2023, 3, 570–585. [Google Scholar] [CrossRef]
- Szulc, J.; Czaczyk, K.; Dobrowolska, A.; Gozdecka, G.; Błaszak, B. Elicitation as a process of enhancing bioactive compounds concentration in sprouts. Processes 2024, 12, 174. [Google Scholar] [CrossRef]
- Toro, M.T.; Ortiz, J.; Becerra, J.; Zapata, N.; Fierro, P.; Illanes, M.; López, M.D. Strategies of elicitation to enhance bioactive compound content in edible plant sprouts: A bibliometric study. Plants 2021, 10, 2759. [Google Scholar] [CrossRef]
- Liu, H.; Kang, Y.; Zhao, X.; Liu, Y.; Zhang, X.; Zhang, S. Effects of elicitation on bioactive compounds and biological activities of sprouts. J. Funct. Food 2019, 53, 136–145. [Google Scholar] [CrossRef]
- Farhat, M.B.; Amor, G.B.; Beji-Serairi, R.; Selmi, S.; Khammassi, S.; Saidani-Tounsi, M.; Abdelly, C. Enhancement of nutritional quality and antioxidant properties of Lepidium sativum L. sprouts by salt treatment and domestic cooking. Int. J. Gastron. Food Sci. 2023, 32, 100736. [Google Scholar] [CrossRef]
- Trasmundi, F.; Galieni, A.; Eugelio, F.; Fanti, F.; Benincasa, P.; Del Carlo, M.; Sergi, M.; Stagnari, F. Salt elicitation to enhance phytochemicals in durum wheat seedlings. J. Sci. Food Agric. 2024, 104, 249–256. [Google Scholar] [CrossRef]
- Qian, G.; Wang, M.; Zhou, J.; Wang, X.; Zhang, Y.; Liu, Y.; Zhu, P.; Han, L.; Li, X.; Liu, C.; et al. Analysis of widely targeted metabolites of quinoa sprouts (Chenopodium quinoa Willd.) under saline-alkali stress provides new insights into nutritional value. Food Chem. 2024, 448, 138575. [Google Scholar] [CrossRef]
- Benincasa, P.; Bravi, E.; Marconi, O.; Lutts, S.; Tosti, G.; Falcinelli, B. Transgenerational effects of salt stress imposed to rapeseed (Brassica napus var. oleifera Del.) plants involve greater phenolic content and antioxidant activity in the edible sprouts obtained from offspring seeds. Plants 2021, 10, 932. [Google Scholar] [CrossRef]
- Martínez-Ballesta, M.D.C.; Egea-Gilabert, C.; Conesa, E.; Ochoa, J.; Vicente, M.J.; Franco, J.A.; Bañon, S.; Martínez, J.J.; Fernández, J.A. The importance of ion homeostasis and nutrient status in seed development and germination. Agronomy 2020, 10, 504. [Google Scholar] [CrossRef]
- Tavares, D.S.; Fernandes, T.E.K.; Rita, Y.L.; Rocha, D.C.; Sant’Anna-Santos, B.F.; Gomes, M.P. Germinative metabolism and seedling growth of cowpea (Vigna unguiculata) under salt and osmotic stress. S. Afr. J. Bot. 2021, 139, 399–408. [Google Scholar] [CrossRef]
- Falcinelli, B.; Benincasa, P.; Calzuola, I.; Gigliarelli, L.; Lutts, S.; Marsili, V. Phenolic content and antioxidant activity in raw and denatured aqueous extracts from sprouts and wheatgrass of einkorn and emmer obtained under salinity. Molecules 2017, 22, 2132. [Google Scholar] [CrossRef]
- Tarchoun, N.; Saadaoui, W.; Mezghani, N.; Pavli, O.I.; Falleh, H.; Petropoulos, S.A. The effects of salt stress on germination, seedling growth and biochemical responses of Tunisian squash (Cucurbita maxima Duchesne) germplasm. Plants 2022, 11, 800. [Google Scholar] [CrossRef] [PubMed]
- Irik, H.A.; Bikmaz, G. Effect of different salinity on seed germination, growth parameters and biochemical contents of pumpkin (Cucurbita pepo L.) seeds cultivars. Sci. Rep. 2024, 14, 6929. [Google Scholar] [CrossRef] [PubMed]
- Oliva, E.; Viteritti, E.; Fanti, F.; Eugelio, F.; Pepe, A.; Palmieri, S.; Sergi, M.; Compagnone, D. Targeted and semi-untargeted determination of phenolic compounds in plant matrices by high-performance liquid chromatography-tandem mass spectrometry. J. Chromatogr. A 2021, 1651, 462315. [Google Scholar] [CrossRef]
- R Core Team. R: A Language and Environment for Statistical Computing; R Foundation for Statistical Computing: Vienna, Austria, 2022; Available online: https://www.R-project.org/ (accessed on 5 May 2024).
- Silva, M.A.; Albuquerque, T.G.; Alves, R.C.; Oliveira, M.B.P.; Costa, H.S. Melon (Cucumis melo L.) by-products: Potential food ingredients for novel functional foods? Trend. Food Sci. Technol. 2020, 98, 181–189. [Google Scholar] [CrossRef]
- Silva, M.A.; Albuquerque, T.G.; Ferreira, D.M.; Alves, R.C.; Oliveira, M.B.P.; Costa, H.S. Nutritional and Bioactive Profiling of Cucumis melo L. By-Products: Towards a Circular Food Economy. Molecules 2025, 30, 1287. [Google Scholar] [CrossRef]
- Lone, J.K.; Pandey, R.; Gayacharan. Microgreens on the rise: Expanding our horizons from farm to fork. Heliyon 2024, 10, e25870. [Google Scholar] [CrossRef]
- Majid, I.; Kehinde, B.A.; Dar, B.; Nanda, V. (Eds.) Advances in Plant Sprouts: Phytochemistry and Biofunctionalities; Springer Nature: Berlin/Heidelberg, Germany, 2023. [Google Scholar]
- Shahid, M.A.; Sarkhosh, A.; Khan, N.; Balal, R.M.; Ali, S.; Rossi, L.; Garcia-Sanchez, F. Insights into the physiological and biochemical impacts of salt stress on plant growth and development. Agronomy 2020, 10, 938. [Google Scholar] [CrossRef]
- Sivritepe, N.; Sivritepe, H.O.; Eris, A. The effects of NaCl priming on salt tolerance in melon seedlings grown under saline conditions. Sci. Hortic. 2003, 97, 229–237. [Google Scholar] [CrossRef]
- Martinez, V.; Mestre, T.C.; Rubio, F.; Girones-Vilaplana, A.; Moreno, D.A.; Mittler, R.; Rivero, R.M. Accumulation of flavonols over hydroxycinnamic acids favors oxidative damage protection under abiotic stress. Front. Plant Sci. 2016, 7, 838. [Google Scholar] [CrossRef]
- Acosta-Motos, J.R.; Ortuño, M.F.; Bernal-Vicente, A.; Diaz-Vivancos, P.; Sanchez-Blanco, M.J.; Hernandez, J.A. Plant responses to salt stress: Adaptive mechanisms. Agronomy 2017, 7, 18. [Google Scholar] [CrossRef]
- Azeem, M.; Pirjan, K.; Qasim, M.; Mahmood, A.; Javed, T.; Muhammad, H.; Rahimi, M. Salinity stress improves antioxidant potential by modulating physio-biochemical responses in Moringa oleifera Lam. Sci. Rep. 2023, 13, 2895. [Google Scholar] [CrossRef] [PubMed]
- Wang, P.; Li, X.; Tian, L.; Gu, Z.; Yang, R. Low salinity promotes the growth of broccoli sprouts by regulating hormonal homeostasis and photosynthesis. Hortic. Environ. Biotechnol. 2019, 60, 19–30. [Google Scholar] [CrossRef]
- Plocek, G.; Kathi, S.; Simpson, C. Effects of eustress induced by low concentrations of salinity on broccoli (Brassica oleracea) and purslane (Portulaca oleracea) microgreens. Technol. Hortic. 2023, 3, 4. [Google Scholar] [CrossRef]
- Benincasa, P.; D’Amato, R.; Falcinelli, B.; Troni, E.; Fontanella, M.C.; Frusciante, S.; Guiducci, M.; Beone, G.M.; Businelli, D.; Diretto, G. Grain endogenous selenium and moderate salt stress work as synergic elicitors in the enrichment of bioactive compounds in maize sprouts. Agronomy 2020, 10, 735. [Google Scholar] [CrossRef]
- Benincasa, P.; Pace, R.; Quinet, M.; Lutts, S. Effect of salinity and priming on seedling growth in rapeseed (Brassica napus var oleifera Del.). Acta Sci. Agron. 2013, 35, 479–486. [Google Scholar] [CrossRef]
- Julkowska, M.M.; Koevoets, I.T.; Mol, S.; Hoefsloot, H.; Feron, R.; Tester, M.A.; Keurentjes, J.J.B.; Korte, A.; Haring, M.A.; de Boer, G.-J.; et al. Genetic components of root architecture remodeling in response to salt stress. Plant Cell 2017, 29, 3198–3213. [Google Scholar] [CrossRef]
- Waśkiewicz, A.; Muzolf-Panek, M.; Goliński, P. Phenolic content changes in plants under salt stress. In Ecophysiology and Responses of Plants Under Salt Stress; Springer Nature: Berlin/Heidelberg, Germany, 2013; pp. 283–314. [Google Scholar]
- Kruthika, N.; Jithesh, M.N. Morpho-physiological profiling of rice (Oryza sativa) genotypes at germination stage with contrasting tolerance to salinity stress. J. Plant Res. 2023, 136, 907–930. [Google Scholar] [CrossRef]
- Gruda, N.S.; Dong, J.; Li, X. From salinity to nutrient-rich vegetables: Strategies for quality enhancement in protected cultivation. Crit. Rev. Plant Sci. 2024, 43, 327–347. [Google Scholar] [CrossRef]
- Soheilikhah, Z.; Modarresi, M.; Karimi, N.; Movafeghi, A. Qualitative and quantitative analysis of diosmin content of hyssop (Hyssopus officinalis) in response to salinity stress. Heliyon 2021, 7, e08228. [Google Scholar] [CrossRef]
- Zeb, A. Phenolic profile and antioxidant activity of melon (Cucumis melo L.) seeds from Pakistan. Foods 2016, 5, 67. [Google Scholar] [CrossRef] [PubMed]
- Cai, Z.; Chen, H.; Chen, J.; Yang, R.; Zou, L.; Wang, C.; Chen, J.; Tan, M.; Mei, Y.; Wei, L.; et al. Metabolomics characterizes the metabolic changes of Lonicerae japonicae Flos under different salt stresses. PLoS ONE 2020, 15, e0243111. [Google Scholar] [CrossRef] [PubMed]
- Nkomo, M.; Badiwe, M.; Niekerk, L.A.; Gokul, A.; Keyster, M.; Klein, A. p-Coumaric Acid differential alters the ion-omics profile of chia shoots under salt stress. Plants 2024, 13, 1564. [Google Scholar] [CrossRef] [PubMed]
- Šamec, D.; Karalija, E.; Šola, I.; Vujčić Bok, V.; Salopek-Sondi, B. The role of polyphenols in abiotic stress response: The influence of molecular structure. Plants 2021, 10, 118. [Google Scholar] [CrossRef]




| Effects | RL (mm sprout−1) | SL (mm sprout−1) | SL/RL | FW (mg sprout−1) | DM (%) | ||||||||||
|---|---|---|---|---|---|---|---|---|---|---|---|---|---|---|---|
| SV9424ML | 1 WAS | 2 WAS | Mean | 1 WAS | 2 WAS | Mean | 1 WAS | 2 WAS | Mean | 1 WAS | 2 WAS | Mean | 1 WAS | 2 WAS | Mean |
| 0_mM | 90.3 | 109.7 | 100.0 | 68.7 | 23.1 | 45.9 | 0.762 | 0.215 | 0.489 | 201.3 | 186.2 | 193.8 | 6.56 | 5.83 | 6.20 |
| 12.5_mM | 95.0 | 95.3 | 95.2 | 68.2 | 26.3 | 47.3 | 0.717 | 0.275 | 0.496 | 194.4 | 243.1 | 218.8 | 6.26 | 4.96 | 5.61 |
| 25_mM | 84.0 | 77.5 | 80.8 | 63.2 | 23.0 | 43.1 | 0.749 | 0.303 | 0.526 | 232.7 | 195.5 | 214.1 | 5.99 | 5.20 | 5.59 |
| 50_mM | 74.8 | 91.3 | 83.1 | 39.0 | 23.8 | 31.4 | 0.519 | 0.261 | 0.390 | 201.0 | 205.9 | 203.5 | 7.00 | 5.82 | 6.41 |
| Mean | 86.0 | 93.5 | 89.8 | 59.8 | 24.1 | 41.9 | 0.687 | 0.264 | 0.475 | 207.4 | 207.7 | 207.5 | 6.45 | 5.45 | 5.95 |
| Thales | |||||||||||||||
| 0_mM | 101.3 | 126.1 | 113.7 | 64.9 | 28.2 | 46.5 | 0.648 | 0.230 | 0.439 | 240.4 | 180.3 | 210.4 | 6.75 | 6.80 | 6.78 |
| 12.5_mM | 89.3 | 114.0 | 101.7 | 69.8 | 28.3 | 49.1 | 0.817 | 0.264 | 0.541 | 229.4 | 276.8 | 253.1 | 6.63 | 5.48 | 6.05 |
| 25_mM | 130.5 | 124.3 | 127.4 | 62.8 | 26.0 | 44.4 | 0.482 | 0.209 | 0.346 | 266.8 | 199.7 | 233.3 | 5.96 | 6.51 | 6.24 |
| 50_mM | 94.7 | 105.3 | 100.0 | 50.2 | 27.8 | 39.0 | 0.530 | 0.275 | 0.402 | 237.6 | 233.4 | 235.5 | 6.66 | 6.17 | 6.41 |
| Mean | 104.0 | 117.5 | 110.7 | 61.9 | 27.6 | 44.8 | 0.619 | 0.245 | 0.432 | 243.5 | 222.5 | 233.0 | 6.50 | 6.24 | 6.37 |
| F-test | |||||||||||||||
| Cultivar | ** (7.44) | * (1.08) | * (0.0171) | ** (7.51) | ** (0.089) | ||||||||||
| Salt | * (10.52) | ** (1.52) | ** (0.0242) | * (10.63) | ** (0.127) | ||||||||||
| Harvest | ** (7.44) | ** (1.08) | ** (0.0171) | n.s. | ** (0.089) | ||||||||||
| Cultivar × Salt | ** (14.88) | n.s. | ** (0.0342) | n.s. | n.s. | ||||||||||
| Cultivar × Harvest | n.s. | n.s. | n.s. | n.s. | ** (0.127) | ||||||||||
| Salt × Harvest | n.s. | ** (2.15) | ** (0.0342) | ** (15.03) | ** (0.179) | ||||||||||
| Cultivar× Salt × Harvest | n.s. | n.s. | * (0.0484) | n.s. | n.s. | ||||||||||
| LSD | |||||||||||||||
| Cultivar | 9.92 | 2.16 | 0.0344 | 15.11 | 0.180 | ||||||||||
| Salt | 14.04 | 3.06 | 0.0486 | 21.36 | 0.254 | ||||||||||
| Harvest | 9.92 | 2.16 | 0.0344 | -- | 0.180 | ||||||||||
| Cultivar × Salt | 19.85 | -- | 0.0688 | -- | -- | ||||||||||
| Cultivar × Harvest | -- | -- | 0.0486 | -- | 0.254 | ||||||||||
| Salt × Harvest | -- | 4.33 | 0.0688 | 30.21 | 0.360 | ||||||||||
| Cultivar × Salt × Harvest | -- | -- | 0.0973 | -- | -- | ||||||||||
| Effects | Flavones (mg kg−1 DW) | Flavanones (mg kg−1 DW) | |||||||||||||
|---|---|---|---|---|---|---|---|---|---|---|---|---|---|---|---|
| Apigenin | Luteolin | Diosmetin | Orientin | Naringenin | |||||||||||
| SV9424ML | 1 WAS | 2 WAS | Mean | 1 WAS | 2 WAS | Mean | 1 WAS | 2 WAS | Mean | 1 WAS | 2 WAS | Mean | 1 WAS | 2 WAS | Mean |
| 0_mM | 0.045 | 0.049 | 0.047 | 0.566 | 2.005 | 1.286 | 2.57 | 3.47 | 3.02 | 20.26 | 12.39 | 16.33 | 0.259 | 0.337 | 0.298 |
| 12.5_mM | 0.062 | 0.058 | 0.060 | 0.531 | 2.480 | 1.506 | 2.58 | 4.55 | 3.56 | 18.99 | 12.17 | 15.58 | 0.323 | 0.291 | 0.307 |
| 25_mM | 0.038 | 0.049 | 0.043 | 0.525 | 1.603 | 1.064 | 2.68 | 3.53 | 3.10 | 17.45 | 12.04 | 14.75 | 0.173 | 0.210 | 0.191 |
| 50_mM | 0.034 | 0.060 | 0.047 | 0.528 | 2.020 | 1.274 | 2.41 | 4.49 | 3.45 | 17.66 | 12.80 | 15.23 | 0.152 | 0.306 | 0.229 |
| Mean | 0.045 | 0.054 | 0.049 | 0.538 | 2.027 | 1.282 | 2.56 | 4.01 | 3.28 | 18.59 | 12.35 | 15.47 | 0.227 | 0.286 | 0.256 |
| Thales | |||||||||||||||
| 0_mM | 0.068 | 0.053 | 0.061 | 2.614 | 1.547 | 2.081 | 6.07 | 4.63 | 5.35 | 27.97 | 13.00 | 20.48 | 0.382 | 0.322 | 0.352 |
| 12.5_mM | 0.063 | 0.056 | 0.060 | 3.332 | 2.033 | 2.683 | 6.71 | 5.70 | 6.21 | 28.99 | 13.01 | 21.00 | 0.379 | 0.349 | 0.364 |
| 25_mM | 0.078 | 0.055 | 0.066 | 4.476 | 1.742 | 3.109 | 11.47 | 5.14 | 8.31 | 28.85 | 13.85 | 21.35 | 0.354 | 0.357 | 0.356 |
| 50_mM | 0.074 | 0.055 | 0.064 | 4.092 | 1.717 | 2.904 | 9.10 | 5.08 | 7.09 | 27.02 | 13.69 | 20.35 | 0.363 | 0.326 | 0.344 |
| Mean | 0.071 | 0.055 | 0.063 | 3.628 | 1.760 | 2.694 | 8.34 | 5.14 | 6.74 | 28.21 | 13.39 | 20.80 | 0.370 | 0.338 | 0.354 |
| F-test | |||||||||||||||
| Cultivar | ** (0.0029) | ** (0.0791) | ** (0.227) | ** (0.325) | ** (0.0177) | ||||||||||
| Salt | n.s. | ** (0.1118) | ** (0.321) | n.s. | * (0.0250) | ||||||||||
| Harvest | n.s. | * (0.0791) | ** (0.227) | ** (0.325) | n.s. | ||||||||||
| Cultivar × Salt | * (0.0058) | ** (0.1582) | ** (0.454) | n.s. | n.s. | ||||||||||
| Cultivar × Harvest | ** (0.0041) | ** (0.1118) | ** (0.321) | ** (0.460) | * (0.0250) | ||||||||||
| Salt × Harvest | n.s. | ** (0.1582) | ** (0.454) | * (0.650) | n.s. | ||||||||||
| Cultivar × Salt × Harvest | n.s. | * (0.2237) | ** (0.643) | n.s. | n.s. | ||||||||||
| LSD | |||||||||||||||
| Cultivar | 0.0058 | 0.1590 | 0.457 | 0.653 | 0.0356 | ||||||||||
| Salt | -- | 0.2249 | 0.646 | -- | 0.0504 | ||||||||||
| Harvest | -- | 0.1590 | 0.457 | 0.653 | -- | ||||||||||
| Cultivar × Salt | 0.0117 | 0.3180 | 0.914 | -- | -- | ||||||||||
| Cultivar × Harvest | 0.0083 | 0.2249 | 0.646 | 0.924 | 0.0504 | ||||||||||
| Salt × Harvest | -- | 0.3180 | 0.914 | 1.307 | -- | ||||||||||
| Cultivar × Salt × Harvest | -- | 0.4497 | 1.292 | -- | -- | ||||||||||
| Effects | Hydroxybenzoic Acids (mg kg−1 DW) | ||||||||
|---|---|---|---|---|---|---|---|---|---|
| Protocatechuic Acid | Vanillic Acid | Syringic Acid | |||||||
| SV9424ML | 1 WAS | 2 WAS | Mean | 1 WAS | 2 WAS | Mean | 1 WAS | 2 WAS | Mean |
| 0_mM | 0.010 | 0.003 | 0.006 | 1.546 | 0.433 | 0.990 | 0.076 | 0.126 | 0.101 |
| 12.5_mM | 0.011 | 0.005 | 0.008 | 1.915 | 0.470 | 1.193 | 0.087 | 0.136 | 0.112 |
| 25_mM | 0.017 | 0.004 | 0.010 | 1.996 | 0.487 | 1.241 | 0.084 | 0.122 | 0.103 |
| 50_mM | 0.019 | 0.003 | 0.011 | 1.395 | 0.446 | 0.920 | 0.087 | 0.113 | 0.100 |
| Mean | 0.014 | 0.004 | 0.009 | 1.713 | 0.459 | 1.086 | 0.084 | 0.124 | 0.104 |
| Thales | |||||||||
| 0_mM | 2.356 | 0.250 | 1.303 | 3.058 | 0.832 | 1.945 | 0.065 | 0.060 | 0.062 |
| 12.5_mM | 2.717 | 0.202 | 1.459 | 4.503 | 1.012 | 2.758 | 0.050 | 0.065 | 0.058 |
| 25_mM | 3.941 | 0.246 | 2.093 | 5.132 | 1.286 | 3.209 | 0.050 | 0.069 | 0.059 |
| 50_mM | 3.436 | 0.325 | 1.881 | 4.510 | 1.127 | 2.819 | 0.055 | 0.046 | 0.051 |
| Mean | 3.112 | 0.256 | 1.684 | 4.301 | 1.065 | 2.683 | 0.055 | 0.060 | 0.057 |
| F-test | |||||||||
| Cultivar | ** (0.0734) | ** (0.0681) | ** (0.0045) | ||||||
| Salt | ** (0.1038) | ** (0.0963) | n.s. | ||||||
| Harvest | ** (0.0734) | ** (0.0681) | ** (0.0045) | ||||||
| Cultivar × Salt | ** (0.1467) | ** (0.1363) | n.s. | ||||||
| Cultivar × Harvest | ** (0.1038) | ** (0.0963) | ** (0.0064) | ||||||
| Salt × Harvest | ** (0.1467) | ** (0.1363) | n.s. | ||||||
| Cultivar × Salt × Harvest | ** (0.2075) | ** (0.1927) | n.s. | ||||||
| LSD | |||||||||
| Cultivar | 0.1475 | 0.1370 | 0.0091 | ||||||
| Salt | 0.2086 | 0.1937 | -- | ||||||
| Harvest | 0.1475 | 0.1370 | 0.0091 | ||||||
| Cultivar × Salt | 0.2951 | 0.2740 | -- | ||||||
| Cultivar × Harvest | 0.2086 | 0.1937 | 0.0129 | ||||||
| Salt × Harvest | 0.2951 | 0.2740 | -- | ||||||
| Cultivar × Salt × Harvest | 0.4173 | 0.3874 | -- | ||||||
| Effects | Hydroxycinnamic Acids (mg kg−1 DW) | |||||||||||
|---|---|---|---|---|---|---|---|---|---|---|---|---|
| Caffeic Acid | p-Coumaric Acid | Ferulic Acid | trans-Cinnamic Acid | |||||||||
| SV9424ML | 1 WAS | 2 WAS | Mean | 1 WAS | 2 WAS | Mean | 1 WAS | 2 WAS | Mean | 1 WAS | 2 WAS | Mean |
| 0_mM | 0.076 | 0.125 | 0.100 | 3.50 | 9.32 | 6.41 | 2.42 | 5.31 | 3.86 | 0.209 | 0.148 | 0.179 |
| 12.5_mM | 0.059 | 0.072 | 0.066 | 3.59 | 7.02 | 5.30 | 2.23 | 5.01 | 3.62 | 0.184 | 0.168 | 0.176 |
| 25_mM | 0.045 | 0.063 | 0.054 | 1.99 | 7.23 | 4.61 | 1.94 | 6.96 | 4.45 | 0.219 | 0.261 | 0.240 |
| 50_mM | 0.039 | 0.055 | 0.047 | 1.80 | 6.86 | 4.33 | 2.02 | 4.39 | 3.20 | 0.258 | 0.208 | 0.233 |
| Mean | 0.055 | 0.079 | 0.067 | 2.72 | 7.61 | 5.16 | 2.15 | 5.42 | 3.78 | 0.218 | 0.196 | 0.207 |
| Thales | ||||||||||||
| 0_mM | 0.079 | 0.134 | 0.106 | 3.60 | 24.48 | 14.04 | 2.16 | 5.83 | 3.99 | 0.444 | 0.349 | 0.397 |
| 12.5_mM | 0.098 | 0.064 | 0.081 | 3.07 | 20.33 | 11.70 | 2.69 | 4.19 | 3.44 | 0.370 | 0.166 | 0.268 |
| 25_mM | 0.083 | 0.070 | 0.076 | 2.11 | 30.45 | 16.28 | 2.38 | 4.95 | 3.66 | 0.307 | 0.261 | 0.284 |
| 50_mM | 0.062 | 0.059 | 0.060 | 1.89 | 15.89 | 8.89 | 1.86 | 3.61 | 2.73 | 0.329 | 0.221 | 0.275 |
| Mean | 0.080 | 0.082 | 0.081 | 2.67 | 22.79 | 12.73 | 2.27 | 4.64 | 3.46 | 0.363 | 0.249 | 0.306 |
| F-test | ||||||||||||
| Cultivar | ** (0.0051) | ** (0.552) | n.s. | ** (0.0111) | ||||||||
| Salt | ** (0.0073) | ** (0.781) | ** (0.306) | ** (0.0157) | ||||||||
| Harvest | * (0.0051) | ** (0.552) | ** (0.216) | ** (0.0111) | ||||||||
| Cultivar × Salt | n.s. | ** (1.104) | n.s. | ** (0.0222) | ||||||||
| Cultivar × Harvest | * (0.0073) | ** (0.781) | * (0.306) | ** (0.0157) | ||||||||
| Salt × Harvest | ** 0.0103 | ** (1.104) | * (0.432) | ** (0.0222) | ||||||||
| Cultivar × Salt × Harvest | n.s. | ** (1.561) | n.s. | ** (0.0313) | ||||||||
| LSD | ||||||||||||
| Cultivar | 0.0103 | 1.110 | -- | 0.0223 | ||||||||
| Salt | 0.0146 | 1.570 | 0.615 | 0.0315 | ||||||||
| Harvest | 0.0103 | 1.110 | 0.435 | 0.0223 | ||||||||
| Cultivar × Salt | -- | 2.220 | -- | 0.0445 | ||||||||
| Cultivar × Harvest | 0.0146 | 1.570 | 0.615 | 0.0315 | ||||||||
| Salt × Harvest | 0.0207 | 2.220 | 0.869 | 0.0445 | ||||||||
| Cultivar × Salt × Harvest | -- | 3.140 | -- | 0.0630 | ||||||||
Disclaimer/Publisher’s Note: The statements, opinions and data contained in all publications are solely those of the individual author(s) and contributor(s) and not of MDPI and/or the editor(s). MDPI and/or the editor(s) disclaim responsibility for any injury to people or property resulting from any ideas, methods, instructions or products referred to in the content. |
© 2025 by the authors. Licensee MDPI, Basel, Switzerland. This article is an open access article distributed under the terms and conditions of the Creative Commons Attribution (CC BY) license (https://creativecommons.org/licenses/by/4.0/).
Share and Cite
Galieni, A.; Falcinelli, B.; Stagnari, F.; Fanti, F.; Oliva, E.; Benincasa, P. Salt-Induced Changes in the Phenolic Content of Melon F2 Offspring Sprouts Obtained from Fruit Deseeding. Foods 2025, 14, 2242. https://doi.org/10.3390/foods14132242
Galieni A, Falcinelli B, Stagnari F, Fanti F, Oliva E, Benincasa P. Salt-Induced Changes in the Phenolic Content of Melon F2 Offspring Sprouts Obtained from Fruit Deseeding. Foods. 2025; 14(13):2242. https://doi.org/10.3390/foods14132242
Chicago/Turabian StyleGalieni, Angelica, Beatrice Falcinelli, Fabio Stagnari, Federico Fanti, Eleonora Oliva, and Paolo Benincasa. 2025. "Salt-Induced Changes in the Phenolic Content of Melon F2 Offspring Sprouts Obtained from Fruit Deseeding" Foods 14, no. 13: 2242. https://doi.org/10.3390/foods14132242
APA StyleGalieni, A., Falcinelli, B., Stagnari, F., Fanti, F., Oliva, E., & Benincasa, P. (2025). Salt-Induced Changes in the Phenolic Content of Melon F2 Offspring Sprouts Obtained from Fruit Deseeding. Foods, 14(13), 2242. https://doi.org/10.3390/foods14132242

