Influence of Seed Disinfection Treatments on the Germination Rate and Histamine-Degrading Activity of Legume Sprouts
Abstract
1. Introduction
2. Materials and Methods
2.1. Chemicals
2.2. Legume Species
2.3. Seed Disinfection Treatment
2.4. Germination of Seeds
2.5. Determination of DAO Activity
UHPLC-FL Analysis
2.6. Determination of Catalase Activity
2.7. Statistical Analysis
3. Results and Discussion
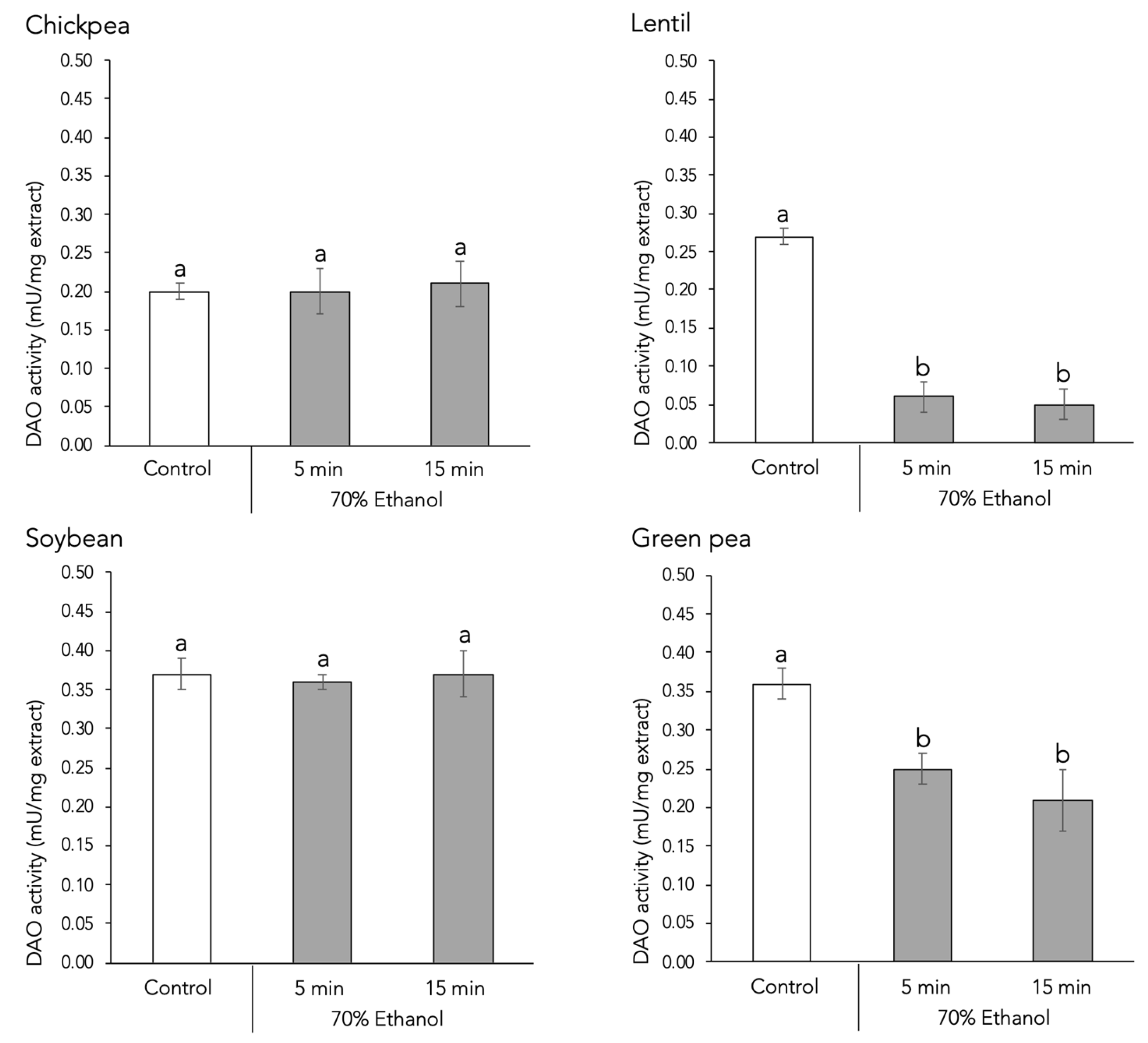
3.1. Influence of Different Seed Disinfection Treatments
3.2. Catalase Activity
4. Conclusions
Supplementary Materials
Author Contributions
Funding
Institutional Review Board Statement
Informed Consent Statement
Data Availability Statement
Acknowledgments
Conflicts of Interest
References
- Chomdom Kounga, P.; Tchoumi Neree, A.; Pietrangeli, P.; Marcocci, L.; Mateescu, M.A. Faster and Sensitive Zymographic Detection of Oxidases Generating Hydrogen Peroxide. The Case of Diamine Oxidase. Anal. Biochem. 2022, 648, 114676. [Google Scholar] [CrossRef] [PubMed]
- Strnad, J.; Soural, M.; Šebela, M. A New Activity Assay Method for Diamine Oxidase Based on Matrix-Assisted Laser Desorption/Ionization Time-of-Flight Mass Spectrometry. Molecules 2024, 29, 4878. [Google Scholar] [CrossRef] [PubMed]
- Hrubisko, M.; Danis, R.; Huorka, M.; Wawruch, M. Histamine Intolerance—The More We Know the Less We Know. A Review. Nutrients 2021, 13, 2228. [Google Scholar] [CrossRef] [PubMed]
- Schnedl, W.J.; Enko, D. Histamine Intolerance Originates in the Gut. Nutrients 2021, 13, 1262. [Google Scholar] [CrossRef]
- Jochum, C. Histamine Intolerance: Symptoms, Diagnosis, and Beyond. Nutrients 2024, 16, 1219. [Google Scholar] [CrossRef]
- Zhao, Y.; Zhang, X.; Jin, H.; Chen, L.; Ji, J.; Zhang, Z. Histamine Intolerance—A Kind of Pseudoallergic Reaction. Biomolecules 2022, 12, 454. [Google Scholar] [CrossRef]
- Comas-Basté, O.; Sánchez-Pérez, S.; Veciana-Nogués, M.T.; Latorre-Moratalla, M.; Vidal-Carou, M.d.C. Histamine Intolerance: The Current State of the Art. Biomolecules 2020, 10, 1181. [Google Scholar] [CrossRef]
- European Union. Commission Implementing Regulation (EU) 2017/2470—Of 20 December 2017—Establishing the Union List of Novel Foods in Accordance with Regulation (EU) 2015/2283 of the European Parliament and of the Council on Novel Foods. Off. J. Eur. Union 2017, L 351, 72–201. [Google Scholar]
- Costa-Catala, J.; Pellicer-Roca, S.; Iduriaga-Platero, I.; Sánchez-Pérez, S.; Veciana-Nogués, M.T.; Latorre-Moratalla, M.L.; Vidal-Carou, M.C.; Comas-Basté, O. Impact of Technological Factors on Diamine Oxidase (DAO) Activity in Porcine Kidney Extracts as Active Ingredient for the Dietary Management of Histamine Intolerance. Appl. Food Res. 2024, 4, 100592. [Google Scholar] [CrossRef]
- Comas-Basté, O.; Latorre-Moratalla, M.L.; Rabell-González, J.; Veciana-Nogués, M.T.; Vidal-Carou, M.C. Lyophilised Legume Sprouts as a Functional Ingredient for Diamine Oxidase Enzyme Supplementation in Histamine Intolerance. LWT 2020, 125, 109201. [Google Scholar] [CrossRef]
- Megoura, M.; Ispas-Szabo, P.; Mateescu, M.A. Enhanced Stability of Vegetal Diamine Oxidase with Trehalose and Sucrose as Cryoprotectants: Mechanistic Insights. Molecules 2023, 28, 992. [Google Scholar] [CrossRef] [PubMed]
- Boulfekhar, R.; Ohlund, L.; Kumaresan, K.M.; Megoura, M.; Warkentin, T.D.; Ispas-Szabo, P.; Sleno, L.; Mateescu, M.A. Diamine Oxidase as a Therapeutic Enzyme: Study of Germination from Vegetal Sources and Investigation of the Presence of β-N-Oxalyl-L-α,β-Diaminopropionic Acid (β-ODAP) Using LC-MS/MS. Int. J. Mol. Sci. 2023, 24, 4625. [Google Scholar] [CrossRef] [PubMed]
- Neree, A.T.; Pietrangeli, P.; Szabo, P.I.; Mateescu, M.A.; Marcocci, L. Stability of Vegetal Diamine Oxidase in Simulated Intestinal Media: Protective Role of Cholic Acids. J. Agric. Food Chem. 2018, 66, 12657–12665. [Google Scholar] [CrossRef] [PubMed]
- Yang, R.; Chen, H.; Gu, Z. Factors Influencing Diamine Oxidase Activity and γ-Aminobutyric Acid Content of Fava Bean (Vicia faba L.) during Germination. J. Agric. Food Chem. 2011, 59, 11616–11620. [Google Scholar] [CrossRef]
- Laurenzi, M.; Tipping, A.J.; Marcus, S.E.; Knox, P.J.; Federico, R.; Angelini, R.; McPherson, M.J. Analysis of the Distribution of Copper Amine Oxidase in Cell Walls of Legume Seedlings. Planta 2001, 214, 37–45. [Google Scholar] [CrossRef]
- Calinescu, C.; Mondovi, B.; Federico, R.; Ispas-Szabo, P.; Mateescu, M.A. Carboxymethyl Starch: Chitosan Monolithic Matrices Containing Diamine Oxidase and Catalase for Intestinal Delivery. Int. J. Pharm. 2012, 428, 48–56. [Google Scholar] [CrossRef]
- Leonida, M.; Belbekhouche, S.; Adams, F.; Bijja, U.K.; Choudhary, D.-A.; Kumar, I. Enzyme Nanovehicles: Histaminase and Catalase Delivered in Nanoparticulate Chitosan. Int. J. Pharm. 2019, 557, 145–153. [Google Scholar] [CrossRef]
- Comas-Basté, O.; Latorre-Moratalla, M.L.; Sánchez-Pérez, S.; Veciana-Nogués, M.T.; Vidal-Carou, M.C. In Vitro Determination of Diamine Oxidase Activity in Food Matrices by an Enzymatic Assay Coupled to UHPLC-FL. Anal. Bioanal. Chem. 2019, 411, 7595–7602. [Google Scholar] [CrossRef]
- Latorre-Moratalla, M.L.; Bosch-Fusté, J.; Lavizzari, T.; Bover-Cid, S.; Veciana-Nogués, M.T.; Vidal-Carou, M.C. Validation of an Ultra High Pressure Liquid Chromatographic Method for the Determination of Biologically Active Amines in Food. J. Chromatogr. A 2009, 1216, 7715–7720. [Google Scholar] [CrossRef]
- S.Santos, C.; Silva, B.; M.P. Valente, L.; Gruber, S.; W.Vasconcelos, M. The Effect of Sprouting in Lentil (Lens culinaris) Nutritional and Microbiological Profile. Foods 2020, 9, 400. [Google Scholar] [CrossRef]
- Afzal, I.; Munir, F.; Ayub, C.M.; Basra, S.M.A.; Hameed, A.; Shah, F. Ethanol Priming: An Effective Approach to Enhance Germination and Seedling Development by Improving Antioxidant System in Tomato Seeds. Acta Sci. Pol. Hortorum Cultus 2013, 12, 129–137. [Google Scholar]
- Tornuk, F.; Ozturk, I.; Sagdic, O.; Yetim, H. Determination and Improvement of Microbial Safety of Wheat Sprouts with Chemical Sanitizers. Foodborne Pathog. Dis. 2011, 8, 503–508. [Google Scholar] [CrossRef] [PubMed]
- Kaneko, Y.; Morohashi, Y. The Effect of Sodium Hypochlorite Treatment on the Development of A-Amylase Activity in Mung Bean Cotyledons. Plant Sci. 2003, 164, 287–292. [Google Scholar] [CrossRef]
- BOE-A-2023-20563 Real Decreto 773/2023, de 3 de Octubre, Por El Que Se Regulan Los Coadyuvantes Tecnológicos Utilizados En Los Procesos de Elaboración y Obtención de Alimentos. Available online: https://www.boe.es/buscar/act.php?id=BOE-A-2023-20563 (accessed on 30 September 2024).
- Davoudpour, Y.; Schmidt, M.; Calabrese, F.; Richnow, H.H.; Musat, N. High Resolution Microscopy to Evaluate the Efficiency of Surface Sterilization of Zea mays Seeds. PLoS ONE 2020, 15, e0242247. [Google Scholar] [CrossRef] [PubMed]
- Center for Food Safety and Applied Nutrition. Guidance for Industry: Reducing Microbial Food Safety Hazards in the Production of Seed for Sprouting. Available online: https://www.fda.gov/regulatory-information/search-fda-guidance-documents/guidance-industry-reducing-microbial-food-safety-hazards-production-seed-sprouting (accessed on 16 May 2024).
- Luhová, L.; Lebeda, A.; Hedererová, D.; Peč, P. Activities of Amine Oxidase, Peroxidase and Catalase in Seedlings of Pisum sativum L. under Different Light Conditions. Plant Soil Environ. 2003, 49, 151–157. [Google Scholar] [CrossRef]




| Catalase Activity (nmol/min/mg) | |||
|---|---|---|---|
| Control | 70 mg/L Sodium Hypochlorite for 15 min | p-Value | |
| Chickpea | 15.14 ± 6.30 | 15.37 ± 2.61 | p = 0.928 |
| Lentil | 37.84 ± 0.97 | 35.09 ± 3.83 | p = 0.106 |
| Soybean | 30.98 ± 2.43 | 31.19 ± 4.88 | p = 0.805 |
| Green pea | 65.02 ± 2.10 | 56.65 ± 11.43 | p = 0.153 |
Disclaimer/Publisher’s Note: The statements, opinions and data contained in all publications are solely those of the individual author(s) and contributor(s) and not of MDPI and/or the editor(s). MDPI and/or the editor(s) disclaim responsibility for any injury to people or property resulting from any ideas, methods, instructions or products referred to in the content. |
© 2024 by the authors. Licensee MDPI, Basel, Switzerland. This article is an open access article distributed under the terms and conditions of the Creative Commons Attribution (CC BY) license (https://creativecommons.org/licenses/by/4.0/).
Share and Cite
Costa-Catala, J.; Bori, J.; Veciana-Nogués, M.T.; Latorre-Moratalla, M.L.; Vidal-Carou, M.C.; Comas-Basté, O. Influence of Seed Disinfection Treatments on the Germination Rate and Histamine-Degrading Activity of Legume Sprouts. Foods 2024, 13, 4105. https://doi.org/10.3390/foods13244105
Costa-Catala J, Bori J, Veciana-Nogués MT, Latorre-Moratalla ML, Vidal-Carou MC, Comas-Basté O. Influence of Seed Disinfection Treatments on the Germination Rate and Histamine-Degrading Activity of Legume Sprouts. Foods. 2024; 13(24):4105. https://doi.org/10.3390/foods13244105
Chicago/Turabian StyleCosta-Catala, Judit, Jaume Bori, M. Teresa Veciana-Nogués, M. Luz Latorre-Moratalla, M. Carmen Vidal-Carou, and Oriol Comas-Basté. 2024. "Influence of Seed Disinfection Treatments on the Germination Rate and Histamine-Degrading Activity of Legume Sprouts" Foods 13, no. 24: 4105. https://doi.org/10.3390/foods13244105
APA StyleCosta-Catala, J., Bori, J., Veciana-Nogués, M. T., Latorre-Moratalla, M. L., Vidal-Carou, M. C., & Comas-Basté, O. (2024). Influence of Seed Disinfection Treatments on the Germination Rate and Histamine-Degrading Activity of Legume Sprouts. Foods, 13(24), 4105. https://doi.org/10.3390/foods13244105

