Green Pre-Treatment Strategy Using Ionic Liquid-Based Aqueous Two-Phase Systems for Pesticide Determination in Strawberry Samples
Abstract
1. Introduction
2. Materials and Methods
2.1. Materials
2.2. Determination of the Phase Diagrams and Tie-Lines
2.3. Screening of IL-Based ATPSs for the Extraction of Pesticides
2.4. Influence of Experimental Parameters on the Extraction of Pesticides
2.5. Preconcentration of Pesticides Using IL-Based ATPS
2.6. Environmental and Analytical Assessment of ATPS-Based Preconcentration Using Green Metrics
3. Results and Discussion
3.1. Liquid–Liquid Phase Diagrams of Phosphonium and Ammonium-Based ATPSs
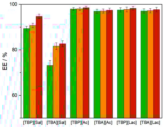
3.2. Screening of IL-Based ATPSs for the Extraction of Pesticides
3.3. Optimization of Experimental Parameters for Extraction of Pesticides
3.4. Preconcentration of Pesticides Using IL-Based ATPSs
3.5. Environmental and Analytical Assessment of IL-Based ATPSs for Preconcentration of Pesticides Using Green Metrics
4. Conclusions
Supplementary Materials
Author Contributions
Funding
Institutional Review Board Statement
Informed Consent Statement
Data Availability Statement
Conflicts of Interest
References
- Fróna, D.; Szenderák, J.; Harangi-Rákos, M. The challenge of feeding the world. Sustainability 2019, 11, 5816. [Google Scholar] [CrossRef]
- Tudi, M.; Ruan, H.D.; Wang, L.; Lyu, J.; Sadler, R.; Connell, D.; Chu, C.; Development, A. Pesticide Application and Its Impact on the Environment. Environ. Rsearch Public Health 2021, 18, 1112. [Google Scholar] [CrossRef] [PubMed]
- Ogaly, H.A.; Khalaf, A.A.; Ibrahim, M.A.; Galal, M.K.; Abd-Elsalam, R.M. Influence of green tea extract on oxidative damage and apoptosis induced by deltamethrin in rat brain, Neurotoxicol. Teratol. 2015, 50, 23. [Google Scholar] [CrossRef]
- Liang, Y.; Wei, L.; Hu, J. Residues and dietary intake risk assessments of clomazone, fomesafen, haloxyfop-methyl and its metabolite haloxyfop in spring soybean field ecosystem. Food Chem. 2021, 360, 129921. [Google Scholar] [CrossRef]
- Zhang, C.; Wang, J.; Zhang, S.; Zhu, L.; Du, Z.; Wang, J. Acute and subchronic toxicity of pyraclostrobin in zebrafish (Danio rerio). Chemosphere 2017, 188, 510. [Google Scholar] [CrossRef]
- European Parliament and Council. Regulation (EC) No 396/2005 on Maximum Residue Levels of Pesticides in or on Food and Ffeed of Plant and Animal Origin and Aamending Council Directive 91/414/EEC. Off. J. Eur. Union 2005, L70, 1–16. [Google Scholar]
- Ambrus, Á.; Vásárhelyi, A.; Ripka, G.; Szemánné-Dobrik, H.; Szenczi-Cseh, J. Evaluation of the Results of Pesticide Residue Analysis in Food Sampled between 2017 and 2021. Agrochemicals 2023, 2, 409–435. [Google Scholar] [CrossRef]
- Nguyen, T.T.; Rosello, C.; Bélanger, R.; Ratti, C. Fate of residual pesticides in Fruit and Vegetable Waste (FVW) processing. Foods 2020, 9, 1468. [Google Scholar] [CrossRef] [PubMed]
- Wang, H.; Ping, H.; Liu, Q.; Han, P.; Guo, X. Determination of Pesticide Residues in Strawberries by Ultra-performance Liquid Chromatography-Tandem Mass Spectrometry. Food Anal. Methods 2022, 15, 85. [Google Scholar] [CrossRef]
- Li, D.; Hamed, I.; Ashour, M.; Hammock, B.D. Pesticides in Tomato and Strawberry and Their Products from Markets. Foods 2023, 12, 1936. [Google Scholar] [CrossRef]
- Shao, W.C.; Zang, Y.Y.; Ma, H.Y.; Ling, Y.; Kai, Z.P. Concentrations and Related Health Risk Assessment of Pesticides, Phthalates, and Heavy Metals in Strawberries from Shanghai, China. J. Food Prot. 2021, 84, 2116. [Google Scholar] [CrossRef]
- Jafari, A.; Shoeibi, S.; Amini, M.; Amirahmadi, M.; Rastegar, H.; Ghaffarian, A.; Ghazi-Khansari, M. Monitoring dithiocarbamate fungicide residues in greenhouse and non-greenhouse tomatoes in Iran by HPLC-UV. Food Addit. Contam. Part. B Surveill. 2012, 5, 87. [Google Scholar] [CrossRef] [PubMed]
- Chen, Z.; Li, Q.; Yang, T.; Zhang, Y.; He, M.; Zeng, H.; Mai, X.; Liu, Y.; Fan, H. Sequential extraction and enrichment of pesticide residues in Longan fruit by ultrasonic-assisted aqueous two-phase extraction linked to vortex-assisted dispersive liquid-liquid microextraction prior to high performance liquid chromatography analysis. J. Chromatogr. A 2020, 1619, 460929. [Google Scholar] [CrossRef]
- Fernandes, V.C.; Domingues, V.F.; Mateus, N.; Delerue-Matos, C. Pesticide residues in Portuguese strawberries grown in 2009–2010 using integrated pest management and organic farming. Environ. Sci. Pollut. Res 2012, 19, 4184. [Google Scholar] [CrossRef] [PubMed][Green Version]
- da Silva Sousa, J.; Nascimento, H.O.D.; de Oliveira Gomes, H.; Nascimento, R.F.D. Pesticide residues in groundwater and surface water: Recent advances in solid-phase extraction and solid-phase microextraction sample preparation methods for multiclass analysis by gas chromatography-mass spectrometry. Microchem. J. 2021, 168, 106359. [Google Scholar] [CrossRef]
- Samsidar, A.; Siddiquee, S.; Shaarani, S.M. A review of extraction, analytical and advanced methods for determination of pesticides in environment and foodstuffs. Trends Food Sci. Technol. 2018, 71, 188. [Google Scholar]
- Narenderan, S.T.; Meyyanathan, S.N.; Babu, B. Review of pesticide residue analysis in fruits and vegetables Pre-treatment, extraction and detection techniques. Food Res. Int. 2020, 133, 109141. [Google Scholar] [CrossRef]
- Freire, M.G. Ionic-Liquid-Based Aqueous Biphasic Systems: Fundamentals and Applications; Springer: Berlin/Heidelberg, Germany, 2016. [Google Scholar]
- Tobiszewski, M.; Mechlinska, A.; Namie, J. Green analytical chemistry—Theory and practice. Chem. Soc. Rev. 2010, 39, 2869. [Google Scholar] [CrossRef] [PubMed]
- Musarurwa, H.; Tavengwa, N.T. Emerging green solvents and their applications during pesticide analysis in food and environmental samples. Talanta 2021, 223 Pt 1, 121507. [Google Scholar] [CrossRef] [PubMed]
- Ventura, S.P.M.; Silva, F.A.E.; Quental, M.V.; Mondal, D.; Freire, M.G.; Coutinho, J.A.P. Ionic-Liquid-Mediated Extraction and Separation Processes for Bioactive Compounds: Past, Present, and Future Trends. Chem. Rev. 2017, 117, 6984. [Google Scholar] [CrossRef]
- Tian, H.; Fu, H.; Xu, C.; Xu, C. Simultaneous Determination of Three Herbicides in Honey Samples Using an Aqueous Biphasic System Coupled with HPLC–MS/MS. Chromatographia 2019, 82, 1571. [Google Scholar] [CrossRef]
- Tian, H.; Xu, C.; Shi, Z.; Fu, H.; Li, X. Enantioseparation and determination of triazole fungicides in fruit juice by aqueous biphasic system coupled with HPLC-MS/MS. J. Sep. Sci. 2021, 44, 3407. [Google Scholar] [CrossRef]
- Almeida, H.F.D.; Freire, M.G.; Marrucho, I.M. Improved monitoring of aqueous samples by the preconcentration of active pharmaceutical ingredients using ionic-liquid-based systems †. Green. Chem. 2017, 19, 4651–4659. [Google Scholar] [CrossRef] [PubMed]
- González-Martín, R.; Silva, F.A.E.; Trujillo-Rodríguez, M.J.; Díaz, D.D.; Lorenzo-Morales, J.; Freire, M.G.; Pino, V. Ionic liquid-based aqueous biphasic systems as one-step clean-up, microextraction and preconcentration platforms for the improved determination of salivary biomarkers. Green Chem. 2023, 25, 8544. [Google Scholar] [CrossRef]
- Šulc, J.; Pacheco-Fernández, I.; Ayala, J.H.; Bajerová, P.; Pino, V. A green miniaturized aqueous biphasic system prepared with cholinium chloride and a phosphate salt to extract and preconcentrate personal care products in wastewater samples. J. Chromatogr. A 2021, 1648, 1. [Google Scholar] [CrossRef] [PubMed]
- Marić, S.; Jocić, A.; Tekić, D.; Mušović, J.; Milićević, J.; Dimitrijević, A. Customizable cholinium-based aqueous biphasic systems as ecofriendly extraction platform for removal of pesticide from wastewaters. Sep. Purif. Technol. 2024, 340, 126609. [Google Scholar] [CrossRef]
- Jocić, A.; Marić, S.; Tekić, D.; Lazarević-Pašti, T.; Mušović, J.; Tričković, J.F.; Dimitrijević, A. Complete removal of organophosphate pesticides from wastewaters with sustainable ionic liquid-based aqueous two-phase strategy. J. Water Process Eng. 2024, 64, 105621. [Google Scholar] [CrossRef]
- Zanella, R.; Primel, E.G.; Machado, S.L.O.; Gonçalves, F.F.; Marchezan, E. Monitoring of the herbicide clomazone in environmental water samples by solid-phase extraction and high-performance liquid chromatography with ultraviolet detection. Chromatographia 2002, 55, 573. [Google Scholar] [CrossRef]
- Skandalis, N.; Dimopoulou, A.; Beri, D.; Tzima, A.; Malandraki, I.; Theologidis, I.; Bitivanos, S.; Varveri, C.; Klitsinaris, T.; Vassilakos, N. Effect of pyraclostrobin application on viral and bacterial diseases of tomato. Plant Dis. 2016, 100, 1321. [Google Scholar] [CrossRef]
- Rehman, H.; Aziz, A.T.; Saggu, S.; Abbas, Z.K.; Mohan, A.; Ansari, A.A. Systematic review on pyrethroid toxicity with special reference to deltamethrin Medicinal Plants View project Toxicity of Pesticides and Herbicides View project Systematic review on pyrethroid toxicity with special reference to deltamethrin. J. Entomol. Zool. Stud. 2014, 2, 60. [Google Scholar]
- Wojnowski, W.; Tobiszewski, M.; Pena-Pereira, F.; Psillakis, E. AGREEprep—Analytical greenness metric for sample preparation. TrAC—Trends Anal. Chem. 2022, 149, 116553. [Google Scholar] [CrossRef]
- Pena-Pereira, F.; Wojnowski, W.; Tobiszewski, M. AGREE—Analytical GREEnness Metric Approach and Software. Anal. Chem. 2020, 92, 10076. [Google Scholar] [CrossRef] [PubMed]
- Mušović, J.; Tekić, D.; Marić, S.; Jocić, A.; Stanković, D.; Dimitrijević, A. Sustainable recovery of cobalt and lithium from lithium-ion battery cathode material by combining sulfate leachates and aqueous biphasic systems based on tetrabutylphosphonium-ionic liquids. Sep. Purif. Technol. 2024, 348, 127707. [Google Scholar] [CrossRef]
- Quental, M.V.; Pereira, M.M.; Silva, F.A.E.; Coutinho, J.A.P.; Freire, M.G. Aqueous Biphasic Systems Comprising Natural Organic Acid-Derived Ionic Liquids. Separations 2022, 9, 46. [Google Scholar] [CrossRef]
- Merchuk, J.C.; Andrews, B.A.; Asenjo, J.A. Aqueous two-phase systems for protein separation studies on phase inversion. J. Chromatogr. B Biomed. Appl. 1998, 711, 285. [Google Scholar] [CrossRef]
- Bridges, N.J.; Gutowski, K.E.; Rogers, R.D. Investigation of aqueous biphasic systems formed from solutions of chaotropic salts with kosmotropic salts (salt-salt ABS). Green Chem. 2007, 9, 177. [Google Scholar] [CrossRef]
- Available online: https://chemicalize.com/app/calculation (accessed on 18 June 2024).
- Bernard, U.L.; Izgorodina, E.I.; MacFarlane, D.R. New insights into the relationship between Ion-Pair binding energy and thermodynamic and transport properties of ionic liquids. J. Phys. Chem. C 2010, 114, 20472. [Google Scholar] [CrossRef]
- Freire, M.G.; Cláudio, A.F.M.; Araújo, J.M.M.; Coutinho, J.A.P.; Marrucho, I.M.; Lopes, J.N.C.; Rebelo, L.P.N. Aqueous biphasic systems: A boost brought about by using ionic liquids. Chem. Soc. Rev. 2012, 41, 4966. [Google Scholar] [CrossRef]
- Available online: https://ec.europa.eu/food/plant/pesticides/eu-pesticides-database/start/screen/products/details/39 (accessed on 15 September 2024).
- Gałuszka, A.; Migaszewski, Z.; Namieśnik, J. The 12 principles of green analytical chemistry and the SIGNIFICANCE mnemonic of green analytical practices. TrAC—Trends Anal. Chem. 2013, 50, 78. [Google Scholar] [CrossRef]










| 100·X | 100·Y | 100·Z | T | pH | |
|---|---|---|---|---|---|
| Temperature influence | |||||
| T25 | 3 | 20 | 77 | 25 | 6 |
| T35 | 3 | 20 | 77 | 35 | 6 |
| T40 | 3 | 20 | 77 | 45 | 6 |
| pH influence | |||||
| pH3 | 3 | 20 | 77 | 25 | 3 |
| pH5 | 3 | 20 | 77 | 25 | 5 |
| pH6 | 3 | 20 | 77 | 25 | 6 |
| Tie-line length influence | |||||
| TL1 | 3 | 20 | 77 | 25 | 6 |
| TL2 | 10 | 20 | 70 | 25 | 6 |
| TL3 | 15 | 20 | 65 | 25 | 6 |
| Phase ratio influence | |||||
| TL3 | 15 | 20 | 65 | 25 | 6 |
| TL3b | 17 | 10 | 73 | 25 | 6 |
| TL3c | 18 | 5 | 77 | 25 | 6 |
Disclaimer/Publisher’s Note: The statements, opinions and data contained in all publications are solely those of the individual author(s) and contributor(s) and not of MDPI and/or the editor(s). MDPI and/or the editor(s) disclaim responsibility for any injury to people or property resulting from any ideas, methods, instructions or products referred to in the content. |
© 2024 by the authors. Licensee MDPI, Basel, Switzerland. This article is an open access article distributed under the terms and conditions of the Creative Commons Attribution (CC BY) license (https://creativecommons.org/licenses/by/4.0/).
Share and Cite
Jocić, A.; Marić, S.; Tekić, D.; Mušović, J.; Milićević, J.; Živković, S.; Dimitrijević, A. Green Pre-Treatment Strategy Using Ionic Liquid-Based Aqueous Two-Phase Systems for Pesticide Determination in Strawberry Samples. Foods 2024, 13, 4106. https://doi.org/10.3390/foods13244106
Jocić A, Marić S, Tekić D, Mušović J, Milićević J, Živković S, Dimitrijević A. Green Pre-Treatment Strategy Using Ionic Liquid-Based Aqueous Two-Phase Systems for Pesticide Determination in Strawberry Samples. Foods. 2024; 13(24):4106. https://doi.org/10.3390/foods13244106
Chicago/Turabian StyleJocić, Ana, Slađana Marić, Danijela Tekić, Jasmina Mušović, Jelena Milićević, Sanja Živković, and Aleksandra Dimitrijević. 2024. "Green Pre-Treatment Strategy Using Ionic Liquid-Based Aqueous Two-Phase Systems for Pesticide Determination in Strawberry Samples" Foods 13, no. 24: 4106. https://doi.org/10.3390/foods13244106
APA StyleJocić, A., Marić, S., Tekić, D., Mušović, J., Milićević, J., Živković, S., & Dimitrijević, A. (2024). Green Pre-Treatment Strategy Using Ionic Liquid-Based Aqueous Two-Phase Systems for Pesticide Determination in Strawberry Samples. Foods, 13(24), 4106. https://doi.org/10.3390/foods13244106

