Impact of Natural Phytosanitary Product Residuals on Yeast Fermentation Performance and Wine Composition
Abstract
1. Introduction
2. Materials and Methods
2.1. Phytosanitary Products and Theoretical Vineyard Treatments
2.2. Fermentations Trials
2.3. Analysis
2.3.1. Biomass Determination
2.3.2. Analytical Determinations of the Fermentation Products
Chemical Standard Parameters
Volatile Compounds
Residual Volatile Compounds in the Phytosanitary Products
2.3.3. Sensory Evaluation: Discriminant Test
2.4. Statistical Analysis
3. Results and Discussion
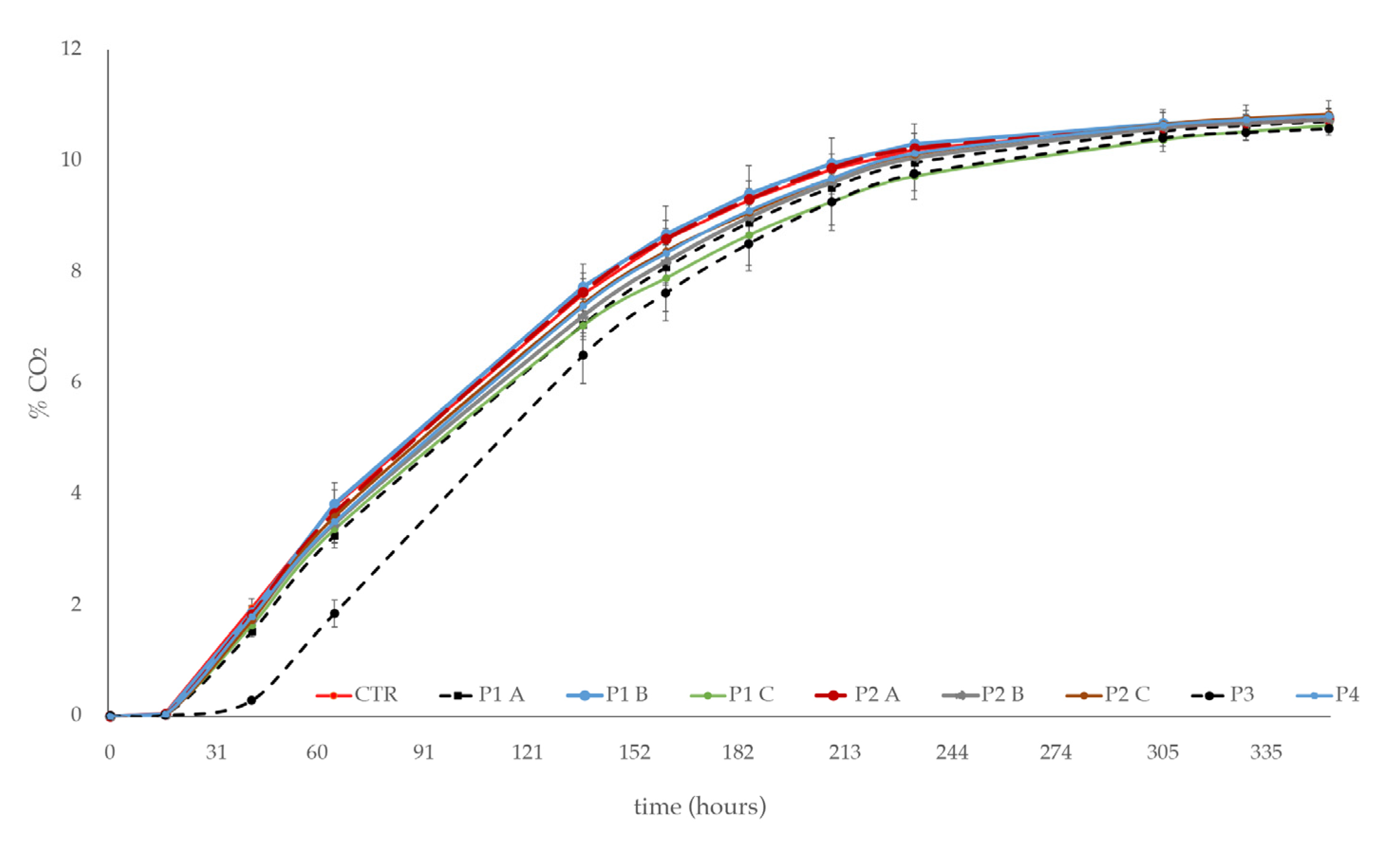
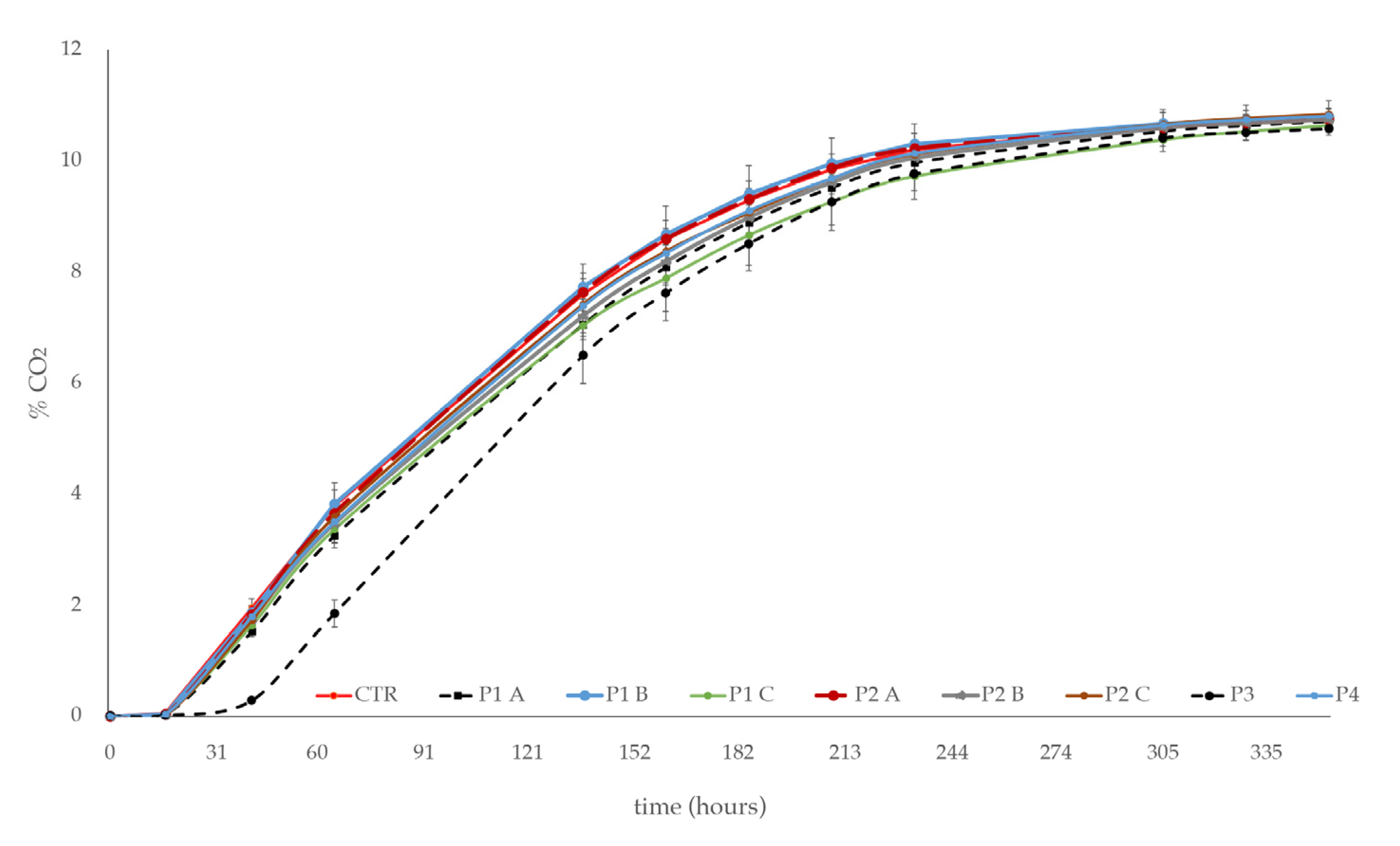
3.1. Fermentation Performance
3.2. Chemical Composition of the Fermentation Products
3.2.1. Chemical Standard Parameters
3.2.2. Volatile Profile of the Fermentation Products
3.3. Sensory Analysis of Synthetic Wines
4. Conclusions
Supplementary Materials
Author Contributions
Funding
Institutional Review Board Statement
Informed Consent Statement
Data Availability Statement
Acknowledgments
Conflicts of Interest
References
- Forbes, S.L.; Cohen, D.A.; Cullen, R.; Wratten, S.D.; Fountain, J. Consumer attitudes regarding environmentally sustainable wine: An exploratory study of the New Zealand marketplace. J. Clean. Prod. 2009, 17, 1195–1199. [Google Scholar] [CrossRef]
- Castellini, A.; Mauracher, C.; Procidano, I.; Sacchi, G. Italian market of organic wine: A survey on production system characteristics and marketing strategies. Wine Econ. Policy 2014, 3, 71–80. [Google Scholar] [CrossRef]
- Vidal, J.; Kelly, A. Bhutan set to plough lone furrow as world’s first wholly organic country. Guard. Poverty Matter Blog. 2013, 2, 11. [Google Scholar]
- Parpinello, G.P.; Ricci, A.; Rombolà, A.D.; Nigro, G.; Versari, A. Comparison of Sangiovese wines obtained from stabilized organic and biodynamic vineyard management systems. Food Chem. 2019, 83, 499–507. [Google Scholar] [CrossRef]
- Maioli, F.; Picchi, M.; Millarini, V.; Domizio, P.; Scozzafava, G.; Zanoni, B.; Canuti, V. A Methodological Approach to Assess the Effect of Organic, Biodynamic, and Conventional Production Processes on the Intrinsic and Perceived Quality of a Typical Wine: The Case Study of Chianti DOCG. Foods 2021, 10, 1894. [Google Scholar] [CrossRef]
- Chaves López, C.; Boselli, E.; Piva, A.; Ndaghijimana, M.; Paparella, A.; Suzzi, G.; Mastrocola, D. Influence of Quinoxyfen Residues on Saccharomyces cerevisiae Fermentation of Grape Musts. Food Technol. Biotechnol. 2004, 42, 89–97. [Google Scholar]
- Covarelli, L.; Beccari, G.; Marini, A.; Tosi, L. A review on the occurrence and control of ochratoxigenic fungal species and ochratoxin A in dehydrated grapes, non-fortified dessert wines and dried vine fruit in the Mediterranean area. Food Control 2012, 26, 347–356. [Google Scholar] [CrossRef]
- Pedrotti, C.; Ribeiro, R.T.S.; Schwambach, J. Control of postharvest fungal rots on grapes using essential oil of Foeniculum vulgare Mill. J. Agric. Sci. 2017, 9, 205–216. [Google Scholar] [CrossRef][Green Version]
- Gava, A.; Davi Emer, C.; Ficagna, F.; Fernandes de Andrade, S.; Meneghello Fuentefria, A. Occurrence and impact of fungicides residues on fermentation during wine production—A review. Food Addit. Contam. Part A 2021, 38, 943–961. [Google Scholar] [CrossRef]
- Crump, A.; Farrar, J.; Fournier, A.J.; Ellsworth, P. Employing California Pesticide Use Data for Evaluating Integrated Pest Management Programs and Informing Pesticide Policy and Regulation. In Managing and Analysing Pesticide Use Data for Pest Management, Environmental Monitoring, Public Health and Public Policy; American Chemical Society: New York, NY, USA, 2018; Chapter 11; pp. 225–237. [Google Scholar] [CrossRef]
- Urkude, R.; Dhurvey, V.; Kochhar, S. Chapter 15 Pesticide residues in beverages. In Quality Control in the Beverage Industry; Academic Press: Cambridge, MA, USA, 2019; pp. 529–560. [Google Scholar] [CrossRef]
- Noguerol-Pato, R.; Torrado-Agrasar, A.; González-Barreiro, C.; Cancho-Grande, B.; Simal-Gándara, J. Dissipation of Fungicide Residues during Winemaking and Their Effects on Fermentation and the Volatile Composition of Wines. J. Agric. Food Chem. 2016, 64, 1344–1354. [Google Scholar] [CrossRef]
- Noguerol-Pato, R.; Torrado-Agrasar, A.; González-Barreiro, C.; Cancho-Grande, B.; Simal-Gándara, J. Influence of new generation fungicides on Saccharomyces cerevisiae growth, grape must fermentation and aroma biosynthesis. Food Chem. 2014, 146, 234–241. [Google Scholar] [CrossRef] [PubMed]
- Scariot, F.J.; Jahn, L.M.; Delamare, A.P.L.; Echeverrigaray, S. The effect of the fungicide captan on Saccharomyces cerevisiae and wine fermentation. In BIO Web of Conferences; EDP Sciences: Les Ulis, France, 2016; p. 02027. [Google Scholar] [CrossRef]
- Escribano-Viana, R.; Alfaro, I.; Lopez, R.; Santamaría, P.; Gutierrez, A.; Arenzana, L. Impact of Chemical and Biological Fungicides Applied to Grapevine on Grape Biofilm, Must, and Wine Microbial Diversity. Front. Microbiol. 2018, 9, 59. [Google Scholar] [CrossRef] [PubMed]
- Bizaj, E.; Curtin, C.; Raspor, P. Interactions Between Industrial Yeasts and Chemical Contaminants in Grape Juice Affect Wine Composition Profile. Food Technol. Biotechnol. 2014, 52, 222–231. [Google Scholar]
- Russo, P.; Berbegal, C.; De Ceglie, C.; Grieco, F.; Spano, G.; Capozzi, V. Pesticide Residues and Stuck Fermentation in Wine: New Evidences Indicate the Urgent Need of Tailored Regulations. Fermentation 2019, 5, 23. [Google Scholar] [CrossRef]
- Da Silva, G.D.; Bernardi, T.L.; Carvalho Schaker, P.D.; Agustini, B.C.; De Mello, L.V.; Valente, P. Impact of Fungicide Residues on Polymerase Chain Reaction and on Yeast Metabolism. Braz. Arch. Biol. Technol. 2016, 59, e16160241. [Google Scholar] [CrossRef]
- Briz-Cid, N.; Rial-Otero, R.A.; Cámara, M.; Oliva, J.; Simal-Gandara, J. Dissipation of Three Fungicides and Their Effects on Anthocyanins and Color of Monastrell Red Wines. Int. J. Mol. Sci. 2019, 20, 1447. [Google Scholar] [CrossRef]
- Mira, H.; Catarino, S.; Ricardo-da-Silva, J.M.; Curvelo-Garcia, A.S. Metal reduction in wine using PVI-PVP copolymer and its effects on chemical and sensory characters. Vitis 2007, 46, 138–147. [Google Scholar]
- Li, H.; Guo, A.; Wang, H. Mechanisms of oxidative browning of wine. Food Chem. 2008, 108, 1–13. [Google Scholar] [CrossRef]
- Capece, A.; Romaniello, R.; Scarno, L.; Siesto, G.; Romano, P. Yeast Starter as a Biotechnological Tool for Reducing Copper Content in Wine. Front. Microbiol. 2018, 8, 2632. [Google Scholar] [CrossRef]
- Shao, W.; Zhao, Y.; Ma, Z. Advances in understanding fungicide resistance in B. cinerea in China. Phytopathology 2021, 111, 455–463. [Google Scholar] [CrossRef]
- Bishop, C.D.; Thornton, I.B. Evaluation of the antifungal activity and the essentials oils of Monarda citriodora var. citriodora and Malaleuca alternifolia on the post-harvest pathogens. J. Essent. Oils Res. 1997, 9, 77–82. [Google Scholar] [CrossRef]
- Maksimović, M.; Vidic, D.; Miloš, M.; Šolić, M.E.; Abadžić, S.; Siljak-Yakovlev, S. Effect of the environmental conditions on essential oil profile in two Dinaric Salvia species: S. brachyodon Vandas and S. officinalis L. Biochem. Syst. Ecol. 2007, 35, 473–478. [Google Scholar] [CrossRef]
- Lee, M.Y. Essential oils as repellents against arthropods. BioMed Res. Int. 2018, 1, 6860271. [Google Scholar] [CrossRef] [PubMed]
- Pedrotti, C.; Marcon, Â.R.; Delamare, A.P.L.; Echeverrigaray, S.; da Silva Ribeiro, R.T.; Schwambach, J. Alternative control of grape rots by essential oils of two Eucalyptus species. J. Sci. Food Agric. 2019, 99, 6552–6561. [Google Scholar] [CrossRef] [PubMed]
- Burt, S. Essential oils: Their antibacterial properties and potential applications in foods—A review. Int. J. Food Microbiol. 2004, 94, 223–253. [Google Scholar] [CrossRef] [PubMed]
- Grella, M.; Miranda-Fuentes, A.; Marucco, P.; Balsari, P. Field assessment of a newly-designed pneumatic spout to contain spray drift in vineyards: Evaluation of canopy distribution and off-target losses. Pest Manag. Sci. 2020, 76, 4173–4191. [Google Scholar] [CrossRef]
- Garcera, C.; Doruchowski, G.; Chueca, P. Harmonization of plant protection products dose expression and dose adjustment for high growing 3D crops: A review. Crop Prot. 2021, 140, 105417. [Google Scholar] [CrossRef]
- Mozzanini, E.; Grella, M.; Bondesan, D.; Marucco, P.; Rizzi, C.; Ioriatti, C.; Balsari, P.; Gioelli, F. Preliminary evaluation of irrigator emitters for pesticide application through solid set canopy delivering system in apple orchard and vineyard. In Proceedings of the XXXI International Horticultural Congress (IHC2022): International Symposium on Sustainable Control of Pests and Diseases, Angers, France, 14–20 August 2022; pp. 227–236. [Google Scholar] [CrossRef]
- Resolution OIV-OENO 370-2012; Guidelines for the Characterization of Wine Yeasts of the Genus Saccharomyces Isolated from Vitivinicultural Environments. International Organisation of Vine and Wine: Paris, France, 2012.
- Portaro, L.; Maioli, F.; Canuti, V.; Picchi, M.; Lencioni, L.; Mannazzu, I.; Domizio, P. Schizosaccharomyces japonicus/Saccharomyces cerevisiae mixed starter cultures: New perspectives for the improvement of Sangiovese aroma, taste and color stability. LWT Food Sci. Technol. 2022, 156, 113009. [Google Scholar] [CrossRef]
- Bertuccioli, M. Direct gas chromatographic determination of some volatile compounds in wine. Vini Ital. 1982, 138, 149–156. [Google Scholar]
- Canuti, V.; Conversano, M.; Li Calzi, M.; Heymann, H.; Matthews, M.A.; Ebeler, S.E. Headspace solid-phase microextraction-gaschromatography-mass spectrometry for profiling free volatile compounds in Cabernet Sauvignon grapes and wines. J. Chrom. A 2009, 1216, 3012–3022. [Google Scholar] [CrossRef]
- Lawless, H.T.; Heymann, H. Sensory Evaluation of Food: Principles and Practices; Springer Science & Business Media: New York, NY, USA, 2010. [Google Scholar] [CrossRef]
- Romano, P.; Suzzi, G. Acetoin production in Saccharomyces cerevisiae wine yeasts. FEMS Microbiol. Lett. 1993, 108, 23–26. [Google Scholar] [CrossRef] [PubMed]
- Romano, P.; Suzzi, G. Origin and production of acetoin during wine yeast fermentation. Appl. Environ. Microbiol. 1996, 62, 309–315. [Google Scholar] [CrossRef] [PubMed]
- Thiviya, P.; Gunawardena, N.; Gamage, A.; Madhujith, T.; Merah, O. Apiaceae family as a valuable source of biocidal components and their potential uses in agriculture. Horticulturae 2022, 8, 614. [Google Scholar] [CrossRef]
- Karpiński, T.M. Essential oils of Lamiaceae family plants as antifungals. Biomolecules 2020, 10, 103. [Google Scholar] [CrossRef]
- Lis-Balchin, M.; Hart, S.L.; Deans, S.G.; Eaglesham, E. Potential agrochemical and medicinal usage of essential oils of Pelargonium species. J. Herbs Spices Med. Plants 1996, 3, 11–22. [Google Scholar] [CrossRef]



| Product | Code | Manufacturer Company | MRLs 1 (mg/kg) | Recommended Dose (mL/hL) | Residual Dose in Synthetic Grape Juice (mL/L) |
|---|---|---|---|---|---|
| P1 | P1A | Institute for Environmental Solutions | 270 | 0.027 | |
| P1B | No limit | 330 | 0.033 | ||
| P1C | 390 | 0.039 | |||
| P2 | P2A | Institute for Environmental Solutions | 200 | 0.020 | |
| P2B | No limit | 400 | 0.040 | ||
| P2C | 800 | 0.080 | |||
| P3 | P3 | Syngenta | Limit | 80 2 | 0.008 3 |
| P4 | P4 | Sipcam Italia | No limit | 400 | 0.040 |
| CTR | CTR | - | - | - | - |
| Sample | Ethanol 1 | Glycerol 2 | Tartaric Acid 2 | Citric Acid 2 | Succinic Acid 2 | Fructose 2 | Glucose 2 |
|---|---|---|---|---|---|---|---|
| P1A | 15.90 abc | 7.95 abc | 1.24 a | 0.50 a | 1.00 ab | 0.84 a | nd |
| P1B | 16.33 c | 8.31 bc | 1.13 a | 0.54 ab | 0.63 a | 1.48 a | nd |
| P1C | 15.57 abc | 7.62 a | 1.20 a | 0.52 ab | 0.86 ab | 2.27 a | nd |
| P2A | 16.28 c | 8.42 c | 1.15 a | 0.69 c | 1.12 ab | 0.90 a | nd |
| P2B | 16.02 bc | 7.81 abc | 1.19 a | 0.51 ab | 0.78 ab | 1.19 a | nd |
| P2C | 15.13 a | 7.74 ab | 1.17 a | 0.58 abc | 0.97 ab | 1.65 a | nd |
| P3 | 15.19 a | 10.31 d | 1.10 a | 0.56 a | 1.07 ab | 2.27 a | nd |
| P4 | 15.27 ab | 7.95 abc | 1.10 a | 0.55 ab | 1.00 ab | 0.85 a | nd |
| CTR | 15.84 abc | 8.23 abc | 1.20 a | 0.64 bc | 1.25 b | 1.10 a | nd |
| Compound | CTR | P1A | P1B | P1C | P2A | P2B | P2C | P3 | P4 | p-Value |
|---|---|---|---|---|---|---|---|---|---|---|
| isoamyl acetate 1 | 57.326 bc | 27.774 a | 42.071 abc | 34.647 ab | 36.247 ab | 31.035 a | 47.105 abc | 60.649 c | 36.552 ab | ns |
| ethyl caproate 1 | 81.024 cd | 77.605 cd | 65.956 ab | 73.667 bc | 79.384 cd | 79.082 cd | 83.295 d | 62.045 a | 72.983 bc | 0.005 |
| ethyl acetate 5 | 29.197 ab | 26.439 ab | 28.316 ab | 25.658 a | 29.928 ab | 26.699 ab | 28.865 ab | 31.465 ab | 34.157 b | ns |
| ethyl octanonate 1 | 120.292 c | 133.609 d | 75.591 a | 119.702 c | 75.474 a | 109.384 bc | 100.016 b | 100.357 b | 109.777 bc | 0.000 |
| ethyl decanoate 2 | 69.893 bc | 75.251 bcde | 71.676 bcd | 90.241 e | 38.897 a | 85.300 cde | 80.682 bcde | 80.682 de | 65.414 b | 0.002 |
| ethyl undecanoate 2 | 5.074 b | 5.991 c | 6.336 c | 12.786 e | 4.115 a | 4.991 b | 5.101 b | 6.212 c | 8.353 d | 0.000 |
| isoamyl octanoate 3 | 9.538 c | 6.668 abc | 6.082 ab | 7.795 abc | 4.917 a | 8.894 bc | 9.277 bc | 14.298 d | 8.756 bc | 0.007 |
| diethylsuccinate 1 | 48.882 b | 40.628 a | 48.966 b | 49.564 b | 39.543 a | 44.014 ab | 43.728 ab | 46.423 ab | 45.862 ab | ns |
| Total esters 1 | 29,588.550 ab | 26,806.745 a | 28,632.570 ab | 26,046.572 a | 30,206.832 abc | 27,061.919 a | 29,163.173 ab | 31,836.034 bc | 34,503.872 c | 0.023 |
| octanoic acid 4 | 34.991 ab | 40.763 bc | 38.371 bc | 48.968 d | 29.458 a | 50.230 d | 49.268 d | 42.896 c | 43.103 c | 0.000 |
| nonanoic acid 4 | 20.872 ab | 24.007 bc | 23.977 bc | 37.252 e | 15.138 a | 29.612 cd | 32.863 de | 36.006 e | 25.100 bc | 0.000 |
| decanoic acid 4 | 1.373 b | nd | nd | nd | nd | nd | nd | 2.093 c | 2.469 d | 0.000 |
| Total fatty acids 4 | 57.237 b | 64.769 c | 62.348 bc | 86.220 f | 44.596 a | 79.841 e | 82.131 ef | 80.994 ef | 70.671 d | 0.000 |
| 1-propanol 5 | 27.260 ab | 23.995 a | 30.662 ab | 22.830 a | 28.032 ab | 25.003 ab | 26.275 ab | 32.819 b | 26.355 ab | ns |
| 2-methyl-1-propanol 5 | 35.737 ab | 29.141 ab | 37.386 b | 26.758 a | 37.935 b | 29.295 ab | 28.919 ab | 33.093 ab | 29.482 ab | ns |
| 2-methyl-1-butanol 5 | 22.511 abc | 20.052 ab | 22.670 bc | 19.222 a | 22.971 bc | 19.731 ab | 20.199 ab | 23.829 c | 21.398 abc | ns |
| 3-methyl-1-butanol 5 | 74.262 b | 59.444 ab | 75.016 b | 54.272 a | 76.836 b | 64.968 ab | 63.822 ab | 67.494 ab | 66.511 ab | ns |
| 1-octanol 5 | 0.001 c | 0.002 f | 0.002 d | 0.002 e | 0.001 c | 0.001 c | 0.001 b | 0.001 a | 0.001 b | 0.0000 |
| Total aliphatic alcohols 5 | 159.771 b | 132.633 ab | 165.736 b | 123.085 a | 165.775 b | 138.998 ab | 139.215 ab | 157.236 ab | 143.748 ab | ns |
| 2-phenylethanol 5 | 33.650 e | 27.556 a | 30.817 cd | 30.822 cd | 27.891 ab | 31.562 cde | 33.485 e | 30.065 bc | 33.164 de | 0.0003 |
| Total aromatic alcohols 5 | 33.650 e | 27.556 a | 30.817 cd | 30.822 cd | 27.891 ab | 31.562 cde | 33.485 e | 30.065 bc | 33.164 de | 0.0003 |
| Acetoin 5 | 7.109 a | 8.494 ab | 8.632 ab | 9.540 b | 8.472 ab | 8.346 ab | 8.879 ab | 12.367 c | 8.574 ab | 0.005 |
| Total ketones 5 | 7.109 a | 8.494 ab | 8.632 ab | 9.540 b | 8.472 ab | 8.346 ab | 8.879 ab | 12.367 c | 8.574 ab | 0.005 |
| Total phytosanitary product residual (essential oils) 1 | nd | 1637.037 b | 1803.497 c | 2675.900 e | 643.082 a | 1906.286 d | 3485.375 f | nd | 1593.398 b |
Disclaimer/Publisher’s Note: The statements, opinions and data contained in all publications are solely those of the individual author(s) and contributor(s) and not of MDPI and/or the editor(s). MDPI and/or the editor(s) disclaim responsibility for any injury to people or property resulting from any ideas, methods, instructions or products referred to in the content. |
© 2024 by the authors. Licensee MDPI, Basel, Switzerland. This article is an open access article distributed under the terms and conditions of the Creative Commons Attribution (CC BY) license (https://creativecommons.org/licenses/by/4.0/).
Share and Cite
Bartolozzi, N.; Maioli, F.; Picchi, M.; Civa, V.; Canuti, V.; Domizio, P. Impact of Natural Phytosanitary Product Residuals on Yeast Fermentation Performance and Wine Composition. Foods 2024, 13, 3484. https://doi.org/10.3390/foods13213484
Bartolozzi N, Maioli F, Picchi M, Civa V, Canuti V, Domizio P. Impact of Natural Phytosanitary Product Residuals on Yeast Fermentation Performance and Wine Composition. Foods. 2024; 13(21):3484. https://doi.org/10.3390/foods13213484
Chicago/Turabian StyleBartolozzi, Natascia, Francesco Maioli, Monica Picchi, Valentina Civa, Valentina Canuti, and Paola Domizio. 2024. "Impact of Natural Phytosanitary Product Residuals on Yeast Fermentation Performance and Wine Composition" Foods 13, no. 21: 3484. https://doi.org/10.3390/foods13213484
APA StyleBartolozzi, N., Maioli, F., Picchi, M., Civa, V., Canuti, V., & Domizio, P. (2024). Impact of Natural Phytosanitary Product Residuals on Yeast Fermentation Performance and Wine Composition. Foods, 13(21), 3484. https://doi.org/10.3390/foods13213484

