HS-SPME-GC-MS Combined with Orthogonal Partial Least Squares Identification to Analyze the Effect of LPL on Yak Milk’s Flavor under Different Storage Temperatures and Times
Abstract
1. Introduction
2. Materials and Methods
2.1. Experimental Design
2.2. Analysis of TG Changes
2.3. Fatty Acid Content Analysis
2.4. LPL Isolation and Purification
2.5. LPL Enzyme Activity Assay
2.6. LPL Protein Content Analysis
2.7. LPL Molecular Weight Measurement
2.8. HS-SPME-GC-MS Analysis
2.9. Sensory Evaluation
2.10. Data Processing
3. Results
3.1. LPL Analytical Purification and Characterization
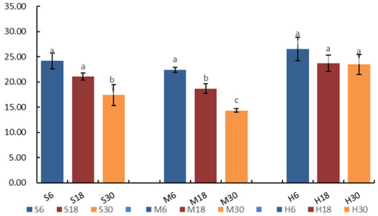
3.2. Analysis of Changes in LPL Activity in Yak Milk under Different Storage Conditions
3.3. Analysis of the Effect of LPL on TG in Yak Milk
3.4. Effect of LPL on the Fatty Acid Content in Yak Milk
3.5. Effect of LPL on the Characteristic Flavor Substances of Yak Milk
3.6. Correlation between Fatty Acid Composition and the Volatile Components of Yak Milk
3.7. Flavor Contribution Analysis
3.8. Sensory Evaluation
4. Discussion
5. Conclusions
Author Contributions
Funding
Institutional Review Board Statement
Informed Consent Statement
Data Availability Statement
Conflicts of Interest
References
- Yu, S.; Huang, X.; Wang, L.; Ren, Y.; Zhang, X.; Wang, Y. Characterization of selected Chinese soybean paste based on flavor profiles using HS-SPME-GC/MS, E-nose and E-tongue combined with chemometrics. Food Chem. 2021, 375, 131840. [Google Scholar] [CrossRef]
- Wang, T.T.; Guo, Z.W.; Liu, Z.P.; Wang, X.Y. The aggregation behavior and interactions of yak milk protein under thermal treatment. J. Dairy Sci. 2016, 99, 6137–6143. [Google Scholar] [CrossRef] [PubMed]
- Yang, G.W.; Zhang, J.X.; Dai, R.F.; Ma, X.Y.; Huang, C.; Ren, W.W.; Ma, X.M.; Lu, J.W.; Zhao, X.; Ji, Q. Comparative Study on Nutritional Characteristics and Volatile Flavor Substances of Yak Milk in Different Regions of Gannan. Foods 2023, 12, 2172. [Google Scholar] [CrossRef] [PubMed]
- Ahmed, M.Z.; He, R.R.; Wu, M.T. Free fatty acids quantification in dairy products. Int. J. Dairy Technol. 2016, 69, 1–12. [Google Scholar] [CrossRef]
- Lu, N.Y.; Wang, J.Y.; Chen, Z.; Zhang, X.; Chen, C.; Wang, S.S. The effect of adding phospholipids before homogenization on the properties of milk fat globules. LWT-Food Sci. Technol. 2021, 146, 111659. [Google Scholar] [CrossRef]
- Ziyaina, M.; Govindan, B.N.; Rasco, B.; Coffey, T.; Sablani, S.S. Monitoring shelf life of pasteurized whole milk under refrigerated storage conditions: Predictive models for quality loss. J. Food Sci. 2018, 83, 409–418. [Google Scholar] [CrossRef]
- He, J.; Yu, Z.; Wu, X. Microwave pretreatment of camellia (Camellia oleifera Abel.) seeds: Effect on oil flavor. Food Chem. 2021, 364, 130388. [Google Scholar] [CrossRef]
- Jia, W.; Dong, X.Y.; Shi, L.; Dai, C.J.; Chu, X.G. A strategy for the determination of flavor substances in goat milk by liquid chromatography-high resolution mass spectrometry. J. Chromatogr. B Anal. Technol. Biomed. Life Sci. 2020, 1152, 122274. [Google Scholar] [CrossRef]
- Chi, X.L.; Shao, Y.W.; Pan, M.H.; Yang, Q.Y.; Yang, Y.; Zhang, X.M.; Ai, N.S.; Sun, B.G. Distinction of volatile flavor profiles in various skim milk products via HS-SPME-GC-MS and E-nose. Eur. Food Res. Technol. 2021, 247, 1539–1551. [Google Scholar] [CrossRef]
- Liu, W.H.; Pu, X.L.; Sun, J.K.; Shi, X.W.; Cheng, W.D.; Wang, B. Effect of Lactobacillus plantarum on functional characteristics and flavor profile of fermented walnut milk. Food Sci. Technol. 2022, 160, 113254. [Google Scholar] [CrossRef]
- Li, A.; Li, C.; Li, L.; Kuang, M.Q.; Shafiq, M.; Wang, Y.R.; Yang, M.; Wang, G.L. Effect of acetate, beta-hydroxybutyrate and their interaction on lipogenic gene expression, triglyceride contents and lipid droplet formation in dairy cow mammary epithelial cells, In Vitro Cellular and Developmental Biology. Anim. J. Tissues Cult. Assoc. 2021, 57, 66–75. [Google Scholar] [CrossRef]
- GB/T 5009.168-2016; National Food Safety Standard: Determination of Fatty Acid in Foods. NHFPC/PRC: Beijing, China, 2016.
- Wither, I.; Sattler, W.; Ibovnik, A.; Kostner, G.M.; Zechner, R.; Malle, E. Quantification of lipoprotein lipase (LPL) by dissociation-enhanced lanthanide fluorescence immunoassay comparison of immunoreactivity of LPL mass and enzyme activity of LPL. J. Immunol. Methods 1996, 192, 1–11. [Google Scholar] [CrossRef]
- Zhang, J.; Duley, J.A.; Cowley, D.M.; Shaw, P.N.; Bansal, N. Adaption of a commercial lipase kit to measure bile salt-stimulated lipase in human milk. Food Biosci. 2022, 50, 101993. [Google Scholar] [CrossRef]
- Jayasena, S.L.; Koppelman, S.J.; Nayak, B.; Taylor, S.L.; Baumert, J.L. Comparison of recovery and immunochemical detection of peanut proteins from differentially roasted peanut flour using ELISA. Food Chem. 2019, 292, 32–38. [Google Scholar] [CrossRef] [PubMed]
- Kwiatkowska-Semra, K.; Wojciechowski, M.; Gabriel, I.; Crucho, S.; Milewski, S. Modification of quaternary structure of candida albicans GlcN-6-P synthase and its desensitization to inhibition by UDP-GlcNAc by site-directed mutagenesis. Biochim. Biophys. Acta-Proteins Proteom. 2018, 1861, 1181–1189. [Google Scholar] [CrossRef] [PubMed]
- Fang, X.; Guo, L.W.; Chen, H.; Ke, W.C.; Guo, W.; Guo, X.S.; Zhang, Y. Characteristics of volatile flavor components in traditional fermented yak milk produced in different ecoregions of the Qinghai-Tibetan plateau. J. Dairy Sci. 2020, 103, 191–200. [Google Scholar] [CrossRef]
- ISO 11035:1994; Sensory Analysis-Identification and Selection of Descriptors for Establishing a Sensory Profile by a Multidimensional Approach. International Organization for Standardization: Geneva, Switzerland, 1994.
- GB/T 16291.1-2012; Sensory Analysis. General Guidance for the Selection, Training and Monitoring of Assessors. Part 1: Selected Assessors. AQSIQ: Beijing, China, 2012.
- Skelton, M.; Miller, R.; Prusa, K. Sensory Evaluation of Food. Cornell Hosp. Q. 2010, 24, 51–57. [Google Scholar] [CrossRef]
- Egelrud, T.; Olivecrona, T. Purified bovine milk (lipoprotein) lipase: Activity against lipid substrates in the absence of exogenous serum factors. Biochim. Biophys. Acta 1973, 306, 115–127. [Google Scholar] [CrossRef]
- Eric, K.; Raymond, L.V.; Abbas, S.; Song, S.; Zhang, Y.; Masamba, K.; Zhang, X. Temperature and cysteine addition effect on formation of sunflower hydrolysate Maillard reaction products and corresponding influence on sensory characteristics assessed by partial least square regression. Food Res. Int. 2014, 57, 242–258. [Google Scholar] [CrossRef]
- Wang, S.; Chen, H.; Sun, B. Recent progress in food flavor analysis using gas chromatography–ion mobility spectrometry (GC–IMS). Food Chem. 2020, 315, 126158. [Google Scholar] [CrossRef]
- Afzal, M.I.; Ariceaga, C.C.G.; Boulahya, K.A.; Jacquot, M.; Delaunay, S.; Cailliez-Grimal, C. Biosynthesis and role of 3-methylbutanal in cheese by lactic acid bacteria: Major metabolic pathways, enzymes involved, and strategies for control. Crit. Rev. Food Sci. Nutr. 2017, 57, 399–406. [Google Scholar] [CrossRef] [PubMed]
- Zhang, L.; Mi, S.; Liu, R.B.; Sang, Y.X.; Wang, X.H. Evaluation of Volatile Compounds during the Fermentation Process of Yogurts by Streptococcus thermophilus Based on Odor Activity Value and Heat Map Analysis. Int. J. Anal. Chem. 2020, 2020, 3242854. [Google Scholar] [CrossRef] [PubMed]
- Singh, T.K.; Drake, M.A.; Cadwallader, K.R. Flavor of Cheddar cheese: A chemical and sensory perspective. Compr. Rev. Food Sci. Food Saf. 2003, 2, 139–162. [Google Scholar] [CrossRef] [PubMed]
- Khattab, A.R.; Guirguis, H.A.; Tawfik, S.M.; Farag, M.A. Cheese ripening: A review on modern technologies towards flavor enhancement, process acceleration and improved quality assessment. Trends Food Sci. Technol. 2019, 88, 343–360. [Google Scholar] [CrossRef]
- Milek, J. The Activation Energies and Optimum Temperatures of Olive Oil Hydrolysis By Lipase Porcine Pancreas. Ecol. Chem. Eng. S 2021, 28, 389–398. [Google Scholar] [CrossRef]
- Cui, N.; Wen, P.C.; Liang, Q.; Liu, H.N.; Zhang, W.B.; Wang, P.J.; Guo, H.Y.; Ren, F.Z. Chemical composition of yak colostrum and transient milk. J. Anim. Physiol. Anim. Nutr. 2015, 99, 825–833. [Google Scholar] [CrossRef]
- Li, N.; Sun, B.G.; Zheng, F.P.; Chen, H.T.; Liu, S.Y.; Gu, C.; Song, Z.Y. Identification of volatile components in yak butter using SAFE, SDE and HS-SPME-GC/MS. Nat. Prod. Res. 2012, 26, 778–784. [Google Scholar] [CrossRef] [PubMed]
- Ardo, Y. Flavour formation by amino acid catabolism. Biotechnol. Adv. 2006, 24, 238–242. [Google Scholar] [CrossRef]
- Licón, C.C.; Mendoza, J.H.D.; Maggi, L.; Berruga, M.I.; Aranda, R.M.M.; Carmona, M. Optimization of headspace sorptive extraction for the analysis of volatiles in pressed ewes’ milk cheese. Int. Dairy J. 2012, 23, 53–61. [Google Scholar] [CrossRef]
- Cheng, H.F. Volatile Flavor Compounds in Yogurt: A Review. Crit. Rev. Food Sci. Nutr. 2010, 50, 938–950. [Google Scholar] [CrossRef] [PubMed]









| Fragrant Substance | Sensory Description | Score |
|---|---|---|
| 2-Nonanone | sweet aroma | (0–1, none; 2–3, weak; 4–5, slightly weak; 6–7, average; 8–9, slightly strong; 10, strong) |
| heptanal | fat waxy flavor | (0–1, none; 2–3, weak; 4–5, slightly weak; 6–7, average; 8–9, slightly strong; 10, strong) |
| Ethyl octanoate | sweetness | (0–1, none; 2–3, weak; 4–5, slightly weak; 6–7, average; 8–9, slightly strong; 10, strong) |
| 4-Octanone | nutty flavor | (0–1, none; 2–3, weak; 4–5, slightly weak; 6–7, average; 8–9, slightly strong; 10, strong) |
| 2-Heptanone | milky flavor | (0–1, none; 2–3, weak; 4–5, slightly weak; 6–7, average; 8–9, slightly strong; 10, strong) |
| Volume | Enzyme Activity (U/L) | Total Activity (U) | Protein Concentrations (g/L) | Activity (U/g) | Recovery Rate | Purification Fold | |
|---|---|---|---|---|---|---|---|
| Yak milk | 1000 mL | 62 | 48 | 50.21 | 1.23 | 100 | 1 |
| Purified LPL | 300 mL | 181 | 54.3 | 0.044 | 4113.6 | 30 | 3344 |
| Fatty Acid (g/100 g) | S6 | S18 | S30 | M6 | M18 | M30 | H6 | H18 | H30 |
|---|---|---|---|---|---|---|---|---|---|
| C6:0 | 0.66 ± 0.08 b | 1.43 ± 0.34 a | 1.91 ± 0.45 a | 1.49 ± 0.56 b | 2.34 ± 0.34 b | 3.31 ± 0.40 a | 0.62 ± 0.01 a | 0.70 ± 0.10 a | 0.72 ± 0.03 a |
| C8:0 | 0.44 ± 0.11 b | 0.76 ± 0.08 a | 0.76 ± 0.03 a | 0.85 ± 0.06 b | 1.41 ± 0.38 a,b | 1.90 ± 0.40 a | 0.44 ± 0.06 a | 0.46 ± 0.03 a | 0.50 ± 0.05 a |
| C10:0 | 1.33 ± 0.23 b | 2.42 ± 0.43 b | 3.06 ± 0.22 a | 2.98 ± 0.10 b | 3.41 ± 0.62 b | 4.21 ± 0.17 a | 1.58 ± 0.06 b | 1.68 ± 0.05 a | 1.72 ± 0.03 a |
| C12:0 | 4.39 ± 1.69 a | 2.96 ± 0.26 a | 2.95 ± 0.03 a | 2.65 ± 0.06 b | 2.69 ± 0.21 b | 3.14 ± 0.11 a | 2.33 ± 0.09 a | 2.54 ± 0.10 a | 2.57 ± 0.16 a |
| C13:0 | 0.06 ± 0.07 a | 0.05 ± 0.08 a | 0.03 ± 0.06 a | 0.07 ± 0.12 a | 0.00 ± 0.00 a | 0.00 ± 0.00 a | 0.00 ± 0.00 a | 0.07 ± 0.07 a | 0.00 ± 0.00 a |
| C14:0 | 7.02 ± 0.26 a | 6.73 ± 0.29 a | 4.49 ± 0.40 b | 6.07 ± 0.44 a | 5.03 ± 0.35 b | 3.69 ± 0.18 c | 4.87 ± 0.29 b | 5.88 ± 0.96 a | 5.90 ± 0.55 a |
| C15:0 | 0.06 ± 0.10 a | 0.67 ± 0.10 b | 0.23 ± 0.20 b | 0.59 ± 0.06 a | 0.25 ± 0.08 b | 0.24 ± 0.21 b | 0.00 ± 0.00 a | 0.92 ± 0.80 a | 0.02 ± 0.03 a |
| C16:0 | 18.83 ± 1.16 a | 16.84 ± 0.27 b | 15.79 ± 0.55 b | 17.92 ± 0.31 a | 15.93 ± 0.31 b | 12.69 ± 0.58 c | 17.21 ± 1.03 a | 18.54 ± 0.52 a | 16.95 ± 1.71 a |
| C16:1 | 0.00 ± 0.00 b | 0.54 ± 0.02 a | 0.00 ± 0.00 b | 0.49 ± 0.05 a | 0.11 ± 0.18 b | 0.21 ± 0.19 a,b | 0.00 ± 0.00 a | 0.60 ± 0.52 a | 0.01 ± 0.02 a |
| C17:0 | 1.83 ± 1.23 a | 0.24 ± 0.22 b | 0.00 ± 0.00 b | 0.19 ± 0.06 a | 0.00 ± 0.00 b | 0.02 ± 0.03 b | 0.1 ± 0.18 a | 0.19 ± 0.16 a | 0.00 ± 0.00 a |
| C18:0 | 5.70 ± 0.63 a | 5.48 ± 0.28 a | 5.51 ± 0.72 a | 6.45 ± 0.18 a | 5.53 ± 0.21 b | 4.96 ± 0.63 b | 5.76 ± 1.86 a | 5.36 ± 0.60 a | 5.18 ± 0.71 a |
| Name of Compound | RI | Content (μg/L) | ||||||||
|---|---|---|---|---|---|---|---|---|---|---|
| S6 | S18 | S30 | M6 | M18 | M30 | H6 | H18 | H30 | ||
| Butyric acid | 775 | 2.06 ± 0.36 c | 3.49 ± 0.13 a | 6.37 ± 0.40 a | 3.82 ± 0.26 c | 5.59 ± 0.25 a | 8.21 ± 0.56 a | 5.22 ± 0.10 a | 5.1 ± 0.09 a | 4.87 ± 0.13 a |
| Octanoic acid | 1005 | 10.4 ± 1.18 c | 16.38 ± 2.23 a | 28.94 ± 2.31 a | 10.46 ± 2.14 c | 22.55 ± 4.41 a | 49.57 ± 0.89 a | 20.13 ± 0.72 a | 19.55 ± 0.12 a | 18.94 ± 0.70 a |
| Hexanoic acid | 984 | 4.47 ± 0.15 c | 9.64 ± 1.57 a | 14.61 ± 0.99 a | 21.29 ± 1.61 c | 40.52 ± 3.23 a | 59.4 ± 4.54 a | 11.6 ± 2.42 a | 11.03 ± 0.99 a | 9.43 ± 0.78 a |
| Decanoic acid | 1365 | 3.16 ± 0.74 a | 8.71 ± 1.15 a | 10.2 ± 1.42 a | 8.1 ± 0.34 c | 10.2 ± 0.77 a | 12.67 ± 1.28 a | 6.3 ± 0.35 a | 5.74 ± 0.33 a | 5.19 ± 0.15 a |
| Total acid | 20.10 | 38.22 | 60.13 | 43.67 | 78.86 | 129.85 | 43.26 | 41.43 | 38.44 | |
| Decanal | 1204 | 3.05 ± 0.14 c | 4.98 ± 0.21 a | 10.31 ± 0.89 a | 7.44 ± 0.33 c | 11.07 ± 0.55 a | 14.85 ± 1.21 a | 11.96 ± 0.71 a | 13.32 ± 0.39 a | 13.91 ± 0.54 a |
| Benzaldehyde | 982 | 5.1 ± 0.40 c | 11.72 ± 0.70 a | 15.91 ± 0.62 a | 7.99 ± 0.56 c | 18.14 ± 0.8 a | 27.09 ± 0.64 a | 19.39 ± 0.81 a | 20.15 ± 0.44 a | 23.13 ± 0.95 a |
| Nonanal | 1104 | 6.42 ± 0.75 a | 14.22 ± 0.43 a | 15.43 ± 1.52 a | 19.47 ± 6.89 a | 14.47 ± 3.09 a | 13.22 ± 5.12 a | 18.22 ± 8.72 a | 16.63 ± 4.27 a | 20.16 ± 9.03 a |
| Hexanal | 806 | 3.94 ± 0.29 c | 4.74 ± 0.04 a | 6.16 ± 0.51 a | 5.35 ± 0.30 a | 6.46 ± 0.16 a | 7.45 ± 2.35 a | 6.87 ± 0.12 a | 7.07 ± 0.05 a | 7.24 ± 0.16 a |
| Furfural | 1463 | 0.34 ± 0.01 c | 0.57 ± 0.05 a | 0.84 ± 0.06 a | 0.57 ± 0.02 c | 0.81 ± 0.02 a | 1.15 ± 0.10 a | 0.65 ± 0.03 c | 0.80 ± 0.02 a | 0.90 ± 0.04 a |
| Heptanal | 905 | 2.44 ± 0.23 a | 5.21 ± 2.13 a | 5.24 ± 0.72 a | 3.34 ± 0.78 c | 9.03 ± 0.88 a | 11.78 ± 0.76 a | 11.1 ± 1.39 a | 12.41 ± 0.49 a | 14.82 ± 0.73 a |
| Total aldehyde | 21.29 | 41.44 | 53.88 | 44.17 | 59.97 | 75.55 | 68.20 | 70.38 | 80.16 | |
| Furfuryl alcohol | 861 | 4.27 ± 0.13 a | 4.73 ± 0.08 a | 7.31 ± 0.61 a | 8.22 ± 0.62 c | 11.37 ± 0.50 a | 13.77 ± 0.63 a | 14.06 ± 0.37 c | 15.16 ± 0.56 a | 17.39 ± 0.36 a |
| 1-Pentanol | 761 | 0.72 ± 0.03 c | 1.51 ± 0.02 a | 1.67 ± 0.13 a | 0.63 ± 0.17 c | 1.26 ± 0.12 a | 4.58 ± 0.17 a | 3.17 ± 0.31 c | 3.61 ± 0.16 a | 4.16 ± 0.05 a |
| Total alcohol | 4.98 | 6.24 | 8.98 | 8.85 | 12.64 | 18.35 | 17.235 | 18.77 | 21.56 | |
| Cyclohexanone | 891 | 0.63 ± 0.02 c | 0.88 ± 0.04 a | 1.62 ± 0.16 a | 1.15 ± 0.06 c | 3.22 ± 0.52 a | 4.61 ± 0.30 a | 2.03 ± 0.08 c | 2.06 ± 0.05 a | 2.33 ± 0.10 a |
| 2-heptanone | 853 | 3.06 ± 0.38 c | 15.49 ± 1.30 a | 31.3 ± 4.22 a | 31.57 ± 2.63 c | 66.77 ± 2.00 a | 85.08 ± 1.19 a | 53.21 ± 2.17 c | 65.32 ± 2.70 a | 76.7 ± 2.11 a |
| 4-Octanone | 1937 | 2.29 ± 0.18 c | 3.16 ± 0.44 b | 8.69 ± 0.10 a | 7.25 ± 0.23 c | 9.43 ± 0.31 b | 11.33 ± 0.31 a | 10.5 ± 0.69 c | 11.98 ± 0.57 b | 13.79 ± 0.88 a |
| 2-nonanone | 1052 | 3.73 ± 0.43 c | 11.27 ± 2.05 b | 21.68 ± 1.06 a | 10.92 ± 3.07 c | 31.51 ± 0.67 b | 51.22 ± 1.9 a | 39.66 ± 0.69 c | 45.03 ± 1 b | 48.37 ± 1.00 a |
| 2-Undecanone | 1294 | 3.43 ± 0.47 c | 8.70 ± 1.10 b | 10.87 ± 1.42 a | 9.23 ± 2.80 c | 15.87 ± 0.86 b | 23.39 ± 0.44 a | 16.6 ± 0.32 b | 17.74 ± 1.18 a,b | 18.89 ± 0.13 a |
| Total ketones | 13.14 | 39.49 | 74.16 | 60.13 | 126.81 | 175.63 | 121.99 | 142.13 | 160.07 | |
| Ethyl butyrate | 785 | 8.16 ± 1.43 c | 14.36 ± 1.31 b | 18.26 ± 0.64 a | 9.67 ± 0.61 c | 16.51 ± 3.18 b | 30.37 ± 1.02 a | 20.2 ± 1.08 c | 22.66 ± 0.63 b | 24.63 ± 0.42 a |
| Ethyl octanoate | 1220 | 2.03 ± 0.85 b | 3.32 ± 1.27 b | 8.12 ± 0.32 a | 9.32 ± 1.29 c | 12.44 ± 1.34 b | 15.03 ± 1.17 a | 9.87 ± 1.30 | 11.22 ± 0.96 | 12.57 ± 0.43 |
| Ethyl caproate | 984 | 4.32 ± 0.32 b | 5.97 ± 2.45 b | 11.67 ± 1.14 a | 6.15 ± 0.66 c | 10.93 ± 1.33 b | 15.99 ± 1.32 a | 8.22 ± 0.10 b | 8.35 ± 0.06 a,b | 8.45 ± 0.08 a |
| Ethyl decanoate | 1391 | 1.55 ± 0.32 c | 4.51 ± 0.68 b | 7.25 ± 0.69 a | 5.09 ± 1.60 c | 12.99 ± 0.51 b | 22.32 ± 1.92 a | 15.99 ± 0.41 c | 18.54 ± 0.56 b | 20.88 ± 0.40 a |
| Total esters | 16.05 | 28.16 | 45.30 | 30.23 | 52.87 | 83.70 | 54.28 | 60.78 | 66.54 | |
| Undecane | 1150 | 2.6 ± 0.14 c | 3.19 ± 0.12 b | 3.65 ± 0.14 a | 3.7 ± 0.08 c | 4.25 ± 0.03 b | 4.55 ± 0.07 a | 3.36 ± 0.01 c | 3.51 ± 0.08 b | 3.68 ± 0.05 a |
| Tetradecane | 1483 | 3.52 ± 0.18 b | 3.99 ± 0.28 a,b | 4.54 ± 0.46 a | 3.71 ± 0.19 c | 4.87 ± 0.31 b | 7.58 ± 0.42 a | 3.44 ± 0.17 b | 3.85 ± 0.25 a | 4.09 ± 0.07 a |
| Total alkanes | 6.12 | 7.18 | 8.19 | 7.42 | 9.12 | 12.13 | 6.80 | 7.35 | 7.77 | |
| Total | 81.68 | 160.72 | 250.63 | 194.46 | 340.26 | 495.21 | 311.77 | 340.85 | 374.54 | |
| Name of Compound | Threshold Value (μg/L) | OAV | ||||||||
|---|---|---|---|---|---|---|---|---|---|---|
| S6 | S18 | S30 | M6 | M18 | M30 | H6 | H18 | H30 | ||
| Hexanoic acid | 2517 | 0.002 | 0.004 | 0.006 | 0.008 | 0.016 | 0.024 | 0.005 | 0.004 | 0.004 |
| Decanoic acid | 3000 | 0.001 | 0.003 | 0.003 | 0.003 | 0.003 | 0.004 | 0.002 | 0.002 | 0.002 |
| Furfuryl alcohol | 2000 | 0.002 | 0.002 | 0.004 | 0.004 | 0.006 | 0.007 | 0.007 | 0.008 | 0.009 |
| Heptanal | 3 | 0.812 | 1.737 | 1.746 | 1.113 | 3.010 | 3.928 | 3.701 | 4.138 | 4.941 |
| Ethyl octanoate | 12 | 0.158 | 0.258 | 0.631 | 0.724 | 0.967 | 1.168 | 0.767 | 0.872 | 0.977 |
| 4-Octanone | 100 | 0.023 | 0.032 | 0.087 | 0.073 | 0.094 | 0.113 | 0.105 | 0.120 | 0.138 |
| 2-heptanone | 140 | 0.022 | 0.111 | 0.224 | 0.226 | 0.477 | 0.608 | 0.380 | 0.467 | 0.548 |
| Cyclohexanone | 240 | 0.003 | 0.004 | 0.007 | 0.005 | 0.013 | 0.019 | 0.008 | 0.009 | 0.010 |
| Ethyl decanoate | 1122 | 0.001 | 0.004 | 0.006 | 0.005 | 0.012 | 0.020 | 0.014 | 0.017 | 0.019 |
| 2-nonanone | 5 | 0.745 | 2.253 | 4.336 | 2.185 | 6.303 | 10.244 | 7.932 | 9.006 | 9.673 |
Disclaimer/Publisher’s Note: The statements, opinions and data contained in all publications are solely those of the individual author(s) and contributor(s) and not of MDPI and/or the editor(s). MDPI and/or the editor(s) disclaim responsibility for any injury to people or property resulting from any ideas, methods, instructions or products referred to in the content. |
© 2024 by the authors. Licensee MDPI, Basel, Switzerland. This article is an open access article distributed under the terms and conditions of the Creative Commons Attribution (CC BY) license (https://creativecommons.org/licenses/by/4.0/).
Share and Cite
Zhang, J.; Zhong, L.; Wang, P.; Song, J.; Shi, C.; Li, Y.; Oyom, W.; Zhang, H.; Zhu, Y.; Wen, P. HS-SPME-GC-MS Combined with Orthogonal Partial Least Squares Identification to Analyze the Effect of LPL on Yak Milk’s Flavor under Different Storage Temperatures and Times. Foods 2024, 13, 342. https://doi.org/10.3390/foods13020342
Zhang J, Zhong L, Wang P, Song J, Shi C, Li Y, Oyom W, Zhang H, Zhu Y, Wen P. HS-SPME-GC-MS Combined with Orthogonal Partial Least Squares Identification to Analyze the Effect of LPL on Yak Milk’s Flavor under Different Storage Temperatures and Times. Foods. 2024; 13(2):342. https://doi.org/10.3390/foods13020342
Chicago/Turabian StyleZhang, Jinliang, Liwen Zhong, Pengjie Wang, Juan Song, Chengrui Shi, Yiheng Li, William Oyom, Hao Zhang, Yanli Zhu, and Pengcheng Wen. 2024. "HS-SPME-GC-MS Combined with Orthogonal Partial Least Squares Identification to Analyze the Effect of LPL on Yak Milk’s Flavor under Different Storage Temperatures and Times" Foods 13, no. 2: 342. https://doi.org/10.3390/foods13020342
APA StyleZhang, J., Zhong, L., Wang, P., Song, J., Shi, C., Li, Y., Oyom, W., Zhang, H., Zhu, Y., & Wen, P. (2024). HS-SPME-GC-MS Combined with Orthogonal Partial Least Squares Identification to Analyze the Effect of LPL on Yak Milk’s Flavor under Different Storage Temperatures and Times. Foods, 13(2), 342. https://doi.org/10.3390/foods13020342

