Improving the Properties of Gelatin-Based Films by Incorporation of “Pitanga” Leaf Extract and Crystalline Nanocellulose
Abstract
1. Introduction
2. Material and Methods
2.1. Material
2.2. Production of the “Pitanga” Leaf Extract
2.3. Production of the Crystalline Nanocelluloses
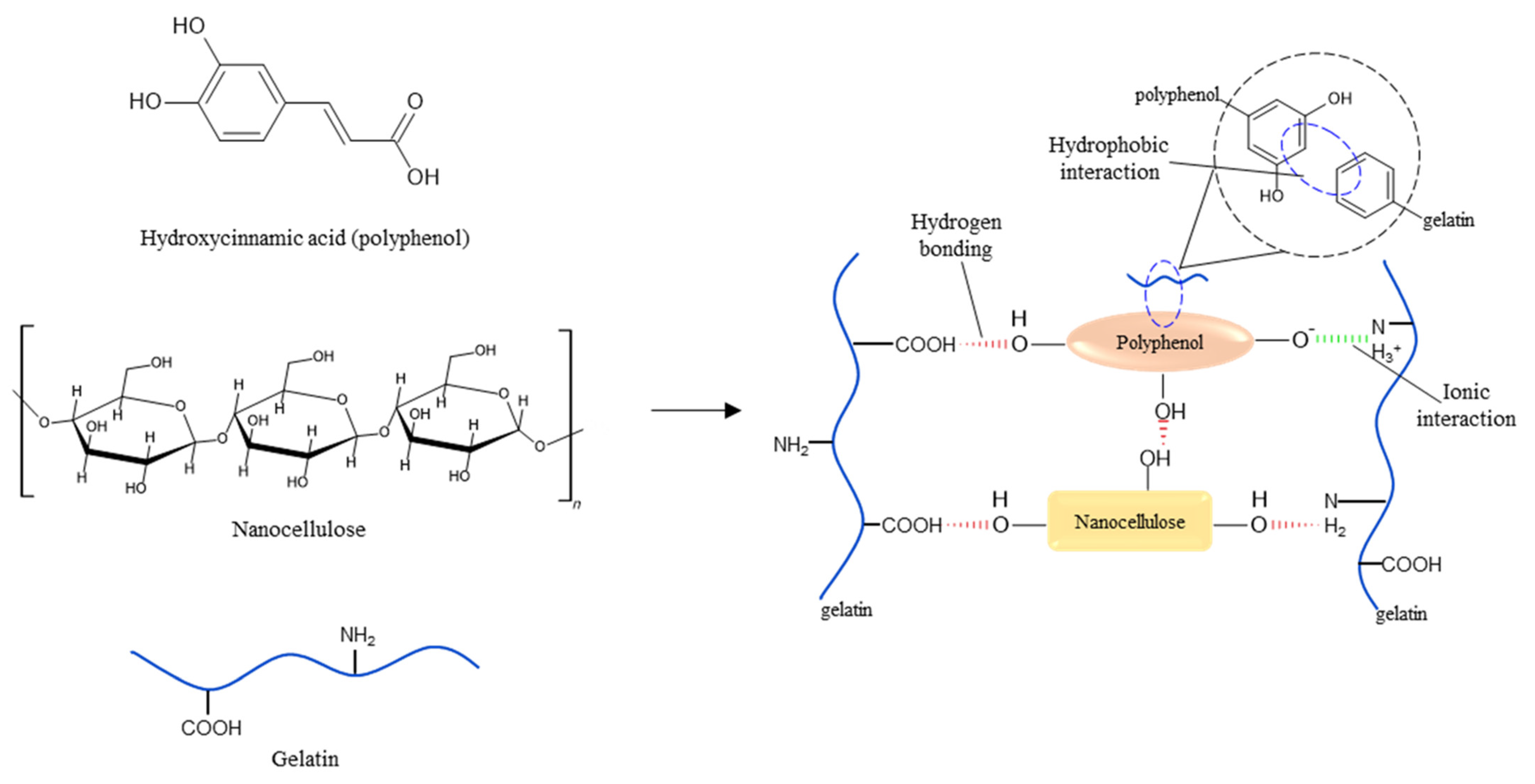
2.4. Production of Gelatin-Based Films
2.5. Characterization of the Gelatin-Based Films and Nanocomposite Films
2.5.1. Visual Aspect and Thickness
2.5.2. Moisture Content
2.5.3. Solubility in Water
2.5.4. Water Vapor Permeability
2.5.5. Water Contact Angle
2.5.6. Scanning Electron Microscopy (SEM)
2.5.7. Atomic Force Microscopy (AFM)
2.5.8. Gloss
2.5.9. Color and Opacity
2.5.10. UV/Vis Light Barrier
2.5.11. Fourier Transformed Infrared Spectroscopy
2.5.12. Thermal Properties
2.5.13. Mechanical Properties
2.5.14. Folin-Ciocalteu Reagent Reducing Compounds and Antioxidant Activities
2.6. Statistical Analysis
3. Results and Discussion
3.1. Visual Aspect and Thickness
3.2. Moisture Content
3.3. Solubility in Water (SW)
3.4. Water Vapor Permeability (WVP)
3.5. Water Contact Angle (WCA)
3.6. Scanning Electron Microscopy (SEM)
3.7. Atomic Force Microscopy (AFM)
3.8. Gloss
3.9. Color and Opacity
3.10. UV/Vis Light Barrier
3.11. Fourier-Transform Infrared Spectroscopy (FTIR)
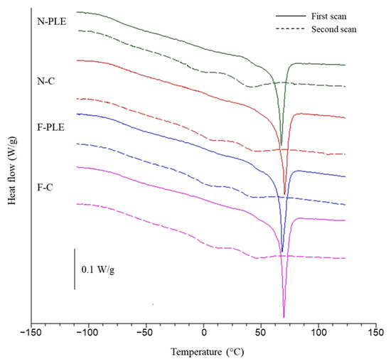
3.12. Thermal Properties
3.13. Mechanical Properties
3.14. Folin-Ciocalteu Reducing Capacity (FCRC) and Antioxidant Activity (AA)
4. Conclusions
Author Contributions
Funding
Data Availability Statement
Conflicts of Interest
References
- Rodríguez-Félix, F.; Corte-Tarazón, J.A.; Rochín-Wong, S.; Fernández-Quiroz, J.D.; Garzón-García, A.M.; Santos-Sauceda, I.; Plascencia-Martínez, D.F.; Chan-Chan, L.H.; Vásquez-López, C.; Barreras-Urbina, C.G.; et al. Physicochemical, structural, mechanical and antioxidant properties of zein films incorporated with no-ultrafiltered and ultrafiltered Betalains extract from the Beetroot (Beta Vulgaris) bagasse with potential application as active food packaging. J. Food Eng. 2022, 334, 111153. [Google Scholar] [CrossRef]
- Almeida, T.; Karamysheva, A.; Valente, B.F.A.; Silva, J.M.; Braz, M.; Almeida, A.; Silvestre, A.J.D. Biobased ternary films of thermoplastic starch, bacterial nanocellulose and gallic acid for active food packaging. Food Hydrocoll. 2023, 144, 108934. [Google Scholar] [CrossRef]
- Liu, S.; Qiao, S.; Zhu, J.; Yang, Y.; Chen, H.; Dai, H.; Zhu, H.; Yu, Y.; Ma, L.; Zhang, Y.; et al. Enhanced barrier and antioxidant properties of gelatin films by structural-colored bioactive materials for food packaging. Food Hydrocoll. 2024, 150, 109744. [Google Scholar] [CrossRef]
- Vargas-Torrico, M.F.; Aguilar-Méndez, M.A.; Ronquillo-de-Jesús, E.; Jaime-Fonseca, M.R.; von Borries-Medrano, E. Preparation and characterization of gelatin-carboxymethylcellulose active film incorporated with pomegranate (Punica granatum L.) peel extract for the preservation of raspberry fruit. Food Hydrocoll. 2023, 150, 109677. [Google Scholar] [CrossRef]
- Liu, J.; Yong, H.; Liu, Y.; Qin, Y.; Kan, J.; Liu, J. Preparation and characterization of active and intelligent films based on fish gelatin and haskap berries (Lonicera caerulea L.) extract. Food Packag. Shelf Life 2019, 22, 100417. [Google Scholar] [CrossRef]
- Luciano, C.G.; Rodrigues, M.M.; Lourenço, V.R.; Bittante, A.M.Q.B.; Fernandes, A.M.; Sobral, P.J.A. Bi-layer gelatin film: Activating film by incorporation of “Pitanga” leaf hydroethanolic extract and/or nisin in the second layer. Food Bioprocess. Technol. 2021, 14, 106–119. [Google Scholar] [CrossRef]
- Pelissari, F.M.; Andrade-Mahecha, M.M.; Sobral, P.J.A.; Menegalli, F.C. Nanocomposites based on banana starch reinforced with cellulose nanofibers isolated from banana peels. J. Colloid Interface Sci. 2017, 505, 154–167. [Google Scholar] [CrossRef]
- Figueroa-Enriquez, C.E.; Rodríguez-Félix, F.; Plascencia-Jatomea, M.; Sánchez-Escalante, A.; Vargas-López, J.M.; Tapia-Hernández, J.A.; Canizales-Rodríguez, D.F.; Castro-Enriquez, D.D.; Ruiz-Cruz, S.; San-tos-Sauceda, I.; et al. Nanoparticles of Betalain-gelatin with antioxidant properties by coaxial electrospraying: Preparation and characterization. ACS Omega 2023, 8, 41156–41168. [Google Scholar] [CrossRef] [PubMed]
- Yan, J.; Cui, R.; Tang, Z.; Wang, Y.; Wang, H.; Qin, Y.; Yuan, M. Development of pH-sensitive films based on gelatin/chitosan/nanocellulose and anthocyanins from hawthorn (Crataegus scabrifolia) fruit. J. Food Meas. Charact. 2021, 15, 3901–3911. [Google Scholar] [CrossRef]
- Nikoukheslat, H.D.; Alizadeh, A.; Roufegarinejad, L.; Hanifian, S. Characterization of physicochemical and antibacterial properties of gelatin and inulin nanobiocomposite films containing crystalline nanocellulose and Malva sylvestris extract. J. Polym. Environ. 2022, 30, 3078–3090. [Google Scholar] [CrossRef]
- Tessaro, L.; Lourenço, V.R.; Martelli-Tosi, M.; Sobral, P.J.A. Gelatin/chitosan based film loaded with nanocellulose from soybean straw and activated with “Pitanga” (Eugenia uniflora L.) leaf hydroethanolic extract in W/O/W emulsion. Int. J. Biol. Macromol. 2021, 186, 328–340. [Google Scholar] [CrossRef] [PubMed]
- Tessaro, L.; Luciano, C.G.; Bittante, A.M.Q.B.; Lourenço, V.R.; Martelli-Tosi, M.; Sobral, P.J.A. Gelatin and/or chitosan-based films activated with “Pitanga” (Eugenia uniflora L.) leaf hydroethanolic extract encapsulated in double emulsion. Food Hydrocoll. 2021, 113, 106–523. [Google Scholar] [CrossRef]
- Quan, T.T.H.; Benjakul, S.; Sae-leaw, T.; Balangw, A.K. Protein-polyphenol conjugates: Antioxidant property, functionalities and their applications. Trends Food Sci. Technol. 2019, 91, 507–517. [Google Scholar] [CrossRef]
- Fidelis, E.M.; Savall, A.S.P.; Pereira, F.O.; Quines, C.B.; Ávila, D.S.; Pinton, S. Pitanga (Eugenia uniflora L.) as a source of bioactive compounds for health benefits: A review. Arab. J. Chem. 2022, 15, 103691. [Google Scholar] [CrossRef]
- Garmus, T.T.; Paviani, L.C.; Queiroga, C.L.; Magalhães, P.M.; Cabral, F.A. Extraction of phenolic compounds from Pitanga (Eugenia Uniflora L.) leaves by sequential extraction in fixed bed extractor using supercritical CO2, ethanol and water as solvents. J. Supercrit. Fluids 2014, 86, 4–14. [Google Scholar] [CrossRef]
- Luciano, C.G.; Tessaro, L.; Bonilla, J.; Balieiro, J.C.C.; Trindade, M.A.; Sobral, P.J.A. Application of bi-layers active gelatin films for sliced dried-cured Coppa conservation. Meat Sci. 2022, 189, 108821. [Google Scholar] [CrossRef] [PubMed]
- Martelli-Tosi, M.; Masson, M.M.; Silva, N.C.; Esposto, B.S.; Barros, T.T.; Assis, O.B.G.; Tapia-Blácido, D.R. Soybean straw nanocellulose produced by enzymatic or acid treatment as a reinforcing filler in soy protein isolate films. Carbohydr. Polym. 2018, 198, 61–68. [Google Scholar] [CrossRef] [PubMed]
- Alzate-Arbeláez, A.F.; Dorta, E.; López-Alarcón, C.; Cortés, F.B.; Rojano, B.A. Immobilization of Andean berry (Vaccinium meridionale) polyphenols on nanocellulose isolated from banana residues: A natural food additive with antioxidant properties. Food Chem. 2019, 294, 503–517. [Google Scholar] [CrossRef] [PubMed]
- Gontard, N.; Guilbert, S.; Cuq, J.-L. Edible wheat gluten films: Influence of the main process variables on film properties using response surface methodology. J. Food Sci. 1992, 57, 190–195. [Google Scholar] [CrossRef]
- ASTM—American Society for Testing and Materials E96-E80. Standard test methods for water vapor transmission of materials. In Annual Book of ASTM Standards; ASTM: West Conshohocken, PA, USA, 1989. [Google Scholar]
- ASTM—American Society for Testing and Materials D523. Standard test method for specular gloss. In Annual Book of ASTM Standards; ASTM: West Conshohocken, PA, USA, 1999. [Google Scholar]
- ASTM—American Society for Testing and Materials D882/12. Standard test method for tensile properties of thin sheeting. In Annual Book of ASTM Standards; ASTM: West Conshohocken, PA, USA, 2001. [Google Scholar]
- Singleton, V.L.; Orthofer, R.; Lamuela-Raventós, R.M. Analysis of total phenols and other oxidation substrates and antioxidants by means of Folin-Ciocalteu reagent. Methods Enzymol. 1999, 299, 152–178. [Google Scholar] [CrossRef]
- Re, R.; Pellegrini, N.; Proteggente, A.; Pannala, A.; Yang, M.; Rice-Evans, C. Antioidant activity applying an improved ABTS radical cation decolorization assay. Free Radioc. Biol. Med. 1999, 26, 1231–1237. [Google Scholar] [CrossRef] [PubMed]
- Benzie, I.F.F.; Strain, J.J. The ferric reducing ability of plasma (FRAP) as a measure of “antioxidant power”: The FRAP assay. Anal. Biochem. 1996, 239, 70–76. [Google Scholar] [CrossRef] [PubMed]
- Pulido, R.; Bravo, L.; Saura-Calixto, F. Antioxidant activity of dietary polyphenols as determined by a modified ferric reducing/antioxidant power assay. J. Agric. Food Chem. 2000, 48, 3396–3402. [Google Scholar] [CrossRef]
- Tyuftin, A.A.; Kerry, J.P. Gelatin films: Study review of barrier properties and implications for future studies employing biopolymer films. Food Packag. Shelf Life 2021, 29, 100688. [Google Scholar] [CrossRef]
- Kaya, M.; Ravikumar, P.; Ilk, S.; Mujtaba, M.; Akyuz, L.; Labidi, J.; Salaberria, A.M.; Cakmak, Y.S.; Erkul, S.K. Production and characterization of chitosan based edible films from Berberis Crataegina’s fruit extract and seed oil. Innov. Food Sci. Emerg. Technol. 2018, 45, 287–297. [Google Scholar] [CrossRef]
- Pereda, M.; Amica, G.; Rácz, I.; Marcovich, N.E. Structure and properties of nanocomposite films based on sodium caseinate and nanocellulose fibers. J. Food Eng. 2011, 103, 76–83. [Google Scholar] [CrossRef]
- Ali Al-Maqtari, Q.; Ali Saeed Al-Gheethi, A.; Ghaleb, A.D.; Ali Mahdi, A.; Al-Ansi, W.; Essam Noman, A.; Al-Adeeb, A.; Kabirou Olatoundé Odjo, A.; Du, Y.; Wei, M.; et al. Fabrication and characterization of chitosan/gelatin films loaded with microcapsules of Pulicaria Jaubertii extract. Food Hydrocoll. 2022, 129, 107624. [Google Scholar] [CrossRef]
- Hosseini, S.F.; Gómez-Guillén, M.C. A state-of-the-art review on the elaboration of fish gelatin as bioactive packaging: Special emphasis on nanotechnology-based approaches. Trends Food Sci. Technol. 2018, 79, 125–135. [Google Scholar] [CrossRef]
- Tibolla, H.; Pelissari, F.M.; Martins, J.T.; Lanzoni, E.M.; Vicente, A.A.; Menegalli, F.C.; Cunha, R.L. Banana starch nanocomposite with cellulose nanofibers isolated from banana peel by enzymatic treatment: In vitro cytotoxicity assessment. Carbohydr. Polym. 2019, 207, 169–179. [Google Scholar] [CrossRef]
- Ramalho, R.R.F.; Barbosa, J.M.G.; Ferri, P.H.; da Costa Santos, S. Variability of polyphenols and volatiles during fruit development of three Pitanga (Eugenia Uniflora L.) biotypes. Food Res. Int. 2019, 119, 850–858. [Google Scholar] [CrossRef]
- Gupta, D. Methods for determination of antioxidant capacity: A Review. Int. J. Pharm. Sci. Res. 2015, 6, 546–566. [Google Scholar] [CrossRef]
- Gulcin, İ. Antioxidants and antioxidant methods: An updated overview. Arch. Toxicol. 2020, 94, 651–715. [Google Scholar] [CrossRef] [PubMed]
- Gómez-Estaca, J.; Bravo, L.; Gómez-Guillén, M.C.; Alemán, A.; Montero, P. Antioxidant properties of tuna-skin and bovine-hide gelatin films induced by the addition of oregano and rosemary extracts. Food Chem. 2009, 112, 18–25. [Google Scholar] [CrossRef]






| Properties | Treatments | C | Active (PLE) |
|---|---|---|---|
| Thickness (mm) | F | 0.083 ± 0.002 aA | 0.077 ± 0.004 aA |
| N | 0.084 ± 0.006 aA | 0.077 ± 0.005 aA | |
| Moisture content (%) | F | 13.5 ± 0.3 bA | 14.4 ± 0.4 aA |
| N | 13.7 ± 0.2 aA | 12.2 ± 0.7 bB | |
| Solubility in water (%) | F | 43.4 ± 0.4 bA | 48.9 ± 0.8 aA |
| N | 42.9 ± 0.7 aA | 44.1 ± 1.0 aB | |
| WVP (×101 mm·g/m2·h·kPa) | F | 3.2 ± 0.3 aA | 3.0 ± 0.1 aA |
| N | 3.6 ± 0.2 aA | 3.2 ± 0.1 aA |
| Properties | Treatments | C | Active (PLE) |
|---|---|---|---|
| Water contact angle (°) | F | 80.9 ± 0.3 aA | 71.3 ± 0.9 bA |
| N | 72.7 ± 0.3 aB | 72.1 ± 0.3 aA | |
| Average roughness (nm) | F | 3.5 ± 0.3 bB | 5.2 ± 0.7 aB |
| N | (10.6 ± 0.8) × 104 aA | (10.2 ± 1.1) × 104 aA | |
| Gloss (GU) | F | 148 ± 3 aA | 142 ± 8 aA |
| N | 49 ± 7 aB | 41 ± 1 aB | |
| L* | F | 90.2 ± 0.1 aA | 88.8 ± 0.2 bA |
| N | 88.7 ± 0.2 aB | 87.4 ± 0.1 bB | |
| a* | F | −1.3 ± 0.0 aA | −0.9 ± 0.0 bA |
| N | −0.6 ± 0.0 aB | −0.4 ± 0.0 bB | |
| b* | F | 3.5 ± 0.1 bB | 4.0 ± 0.1 aB |
| N | 6.9 ± 0.2 aA | 7.3 ± 0.3 aA | |
| ΔE* | F | 4.1 ± 0.1 bB | 5.5 ± 0.2 aB |
| N | 7.2 ± 0.1 bA | 8.5 ± 0.3 aA | |
| Opacity (%) | F | 0.8 ± 0.1 aB | 0.8 ± 0.1 aB |
| N | 2.0 ± 0.3 aA | 1.9 ± 0.2 aA |
| Scan | Properties | Treatments | C | Active (PLE) |
|---|---|---|---|---|
| 1st | Tg1 (°C) | F | −75.7 ± 3.3 aB | −70.9 ± 3.4 aA |
| N | −68.1 ± 1.2 aA | −67.4 ± 1.6 aA | ||
| Tg2 (°C) | F | 44.4 ± 0.2 aA | 44.2 ± 1.4 aA | |
| N | 48.0 ± 3.1 aA | 44.1 ± 3.2 aA | ||
| Tm (°C) | F | 69.6 ± 2.1 aA | 69.3 ± 1.0 aA | |
| N | 70.6 ± 0.5 aA | 69.4 ± 1.6 aA | ||
| ΔH (J/g) | F | 18.3 ± 0.4 aA | 16.7 ± 1.2 aA | |
| N | 16.4 ± 1.5 aA | 17.3 ± 1.1 aA | ||
| 2nd | Tg1 (°C) | F | −73.3 ± 3.7 aA | −74.3 ± 4.0 aA |
| N | −72.4 ± 1.3 aA | −73.8 ± 3.3 aA | ||
| Tg2 (°C) | F | 36.3 ± 1.9 aA | 34.8 ± 0.9 aA | |
| N | 35.5 ± 3.0 aA | 34.4 ± 3.3 aA |
| Properties | Treatments | C | Active (PLE) |
|---|---|---|---|
| Tensile strength (MPa) | F | 30.2 ± 1.9 bB | 40.6 ± 5.3 aB |
| N | 53.6 ± 2.6 bA | 59.5 ± 1.4 aA | |
| Elongation at break (%) | F | 23.0 ± 1.3 aA | 26.7 ± 3.4 aA |
| N | 12.7 ± 2.9 aB | 12.0 ± 1.2 aB | |
| Elastic modulus (MPa) | F | 9.3 ± 0.9 bA | 11.3 ± 0.4 aB |
| N | 10.9 ± 0.8 bA | 15.1 ± 0.4 aA |
| Properties | Treatments | C | Active (PLE) |
|---|---|---|---|
| FCRC (mg GAE/g sample) | F | 0.0 ± 0.0 bA | 0.7 ± 0.0 aA |
| N | 0.0 ± 0.0 bA | 0.7 ± 0.0 aA | |
| ABTS•+ (mg TE/g sample) | F | 0.0 ± 0.0 bA | 3.2 ± 0.2 aA |
| N | 0.0 ± 0.0 bA | 2.7 ± 0.2 aB | |
| FRAP (mg TE/g sample) | F | 3.6 ± 0.3 bA | 10.6 ± 0.6 aA |
| N | 3.2 ± 0.4 bA | 9.3 ± 0.4 aB |
Disclaimer/Publisher’s Note: The statements, opinions and data contained in all publications are solely those of the individual author(s) and contributor(s) and not of MDPI and/or the editor(s). MDPI and/or the editor(s) disclaim responsibility for any injury to people or property resulting from any ideas, methods, instructions or products referred to in the content. |
© 2024 by the authors. Licensee MDPI, Basel, Switzerland. This article is an open access article distributed under the terms and conditions of the Creative Commons Attribution (CC BY) license (https://creativecommons.org/licenses/by/4.0/).
Share and Cite
Tessaro, L.; Pereira, A.G.R.; Martelli-Tosi, M.; Sobral, P.J.d.A. Improving the Properties of Gelatin-Based Films by Incorporation of “Pitanga” Leaf Extract and Crystalline Nanocellulose. Foods 2024, 13, 1480. https://doi.org/10.3390/foods13101480
Tessaro L, Pereira AGR, Martelli-Tosi M, Sobral PJdA. Improving the Properties of Gelatin-Based Films by Incorporation of “Pitanga” Leaf Extract and Crystalline Nanocellulose. Foods. 2024; 13(10):1480. https://doi.org/10.3390/foods13101480
Chicago/Turabian StyleTessaro, Larissa, Ana Gabrielle R. Pereira, Milena Martelli-Tosi, and Paulo José do Amaral Sobral. 2024. "Improving the Properties of Gelatin-Based Films by Incorporation of “Pitanga” Leaf Extract and Crystalline Nanocellulose" Foods 13, no. 10: 1480. https://doi.org/10.3390/foods13101480
APA StyleTessaro, L., Pereira, A. G. R., Martelli-Tosi, M., & Sobral, P. J. d. A. (2024). Improving the Properties of Gelatin-Based Films by Incorporation of “Pitanga” Leaf Extract and Crystalline Nanocellulose. Foods, 13(10), 1480. https://doi.org/10.3390/foods13101480

