Evaluation of the Phenolic Composition and Biological Activities of Six Aqueous Date (Phoenix dactylifera L.) Seed Extracts Originating from Different Countries: A Comparative Analysis
Abstract
1. Introduction
2. Materials and Methods
2.1. Chemicals and Reagents
2.2. Date Seed Sample Preparation
2.3. Solid–Liquid Extraction (SLE)
2.4. Lyophilization of Date Seed Extracts
2.5. Determination of Total Phenolic Content (TPC)
2.6. Determination of Phenolic Compounds in Date Seed Extracts
2.6.1. Sample Preparation
2.6.2. High-Performance Liquid Chromatography (HPLC-DAD-ESI-MS) Analysis
2.7. Antioxidant Activity of Date Seed Extracts
2.7.1. ABTS Assay
2.7.2. DPPH Assay
2.8. Antibacterial Activity of Date Seed Extracts
2.8.1. Sample Preparation
2.8.2. Inoculum Standardization
2.8.3. Antibacterial Screening: Disk Diffusion Method
2.8.4. Determination of Minimum Inhibitory Concentration (MIC)
2.9. Anti-Tumor Activity of Date Seed Extracts
2.9.1. Cell Lines
2.9.2. Seeding and Treatment
2.9.3. MTT Assay
2.10. Extraction of Date Seed Oil
2.11. Determination of Fatty Acid Compounds in Date Seed Oil
2.12. Statistical Analysis
3. Results and Discussion
3.1. Total Phenolic Content (TPC) of Date Seeds
3.2. Phenolic Profile of Date Seeds
3.3. Antioxidant Activity of Date Seed Extracts
3.4. Antibacterial Activity of Date Seed Extracts
3.4.1. Disk Diffusion Assay
3.4.2. Minimum Inhibitory Concentration (MIC)
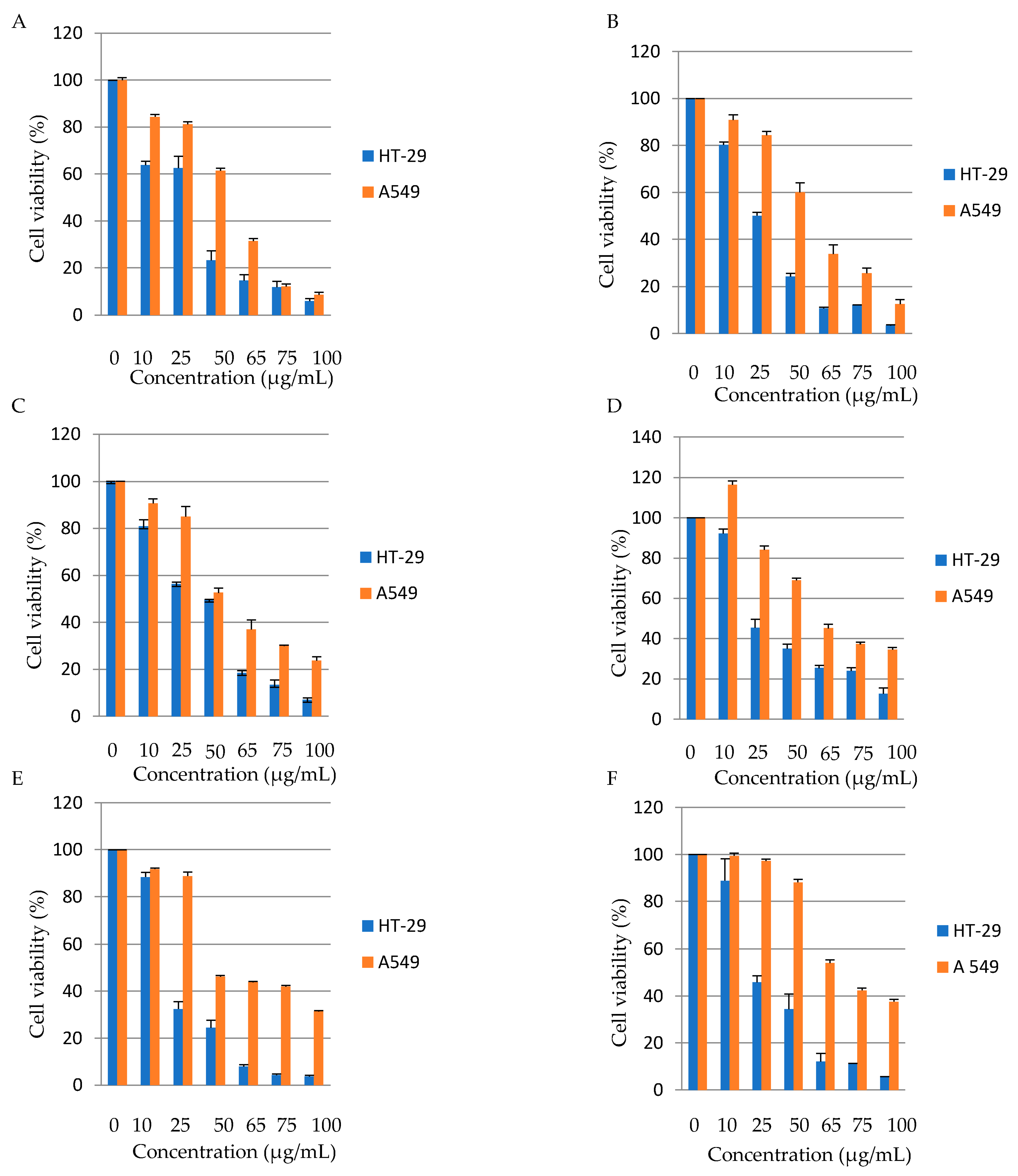
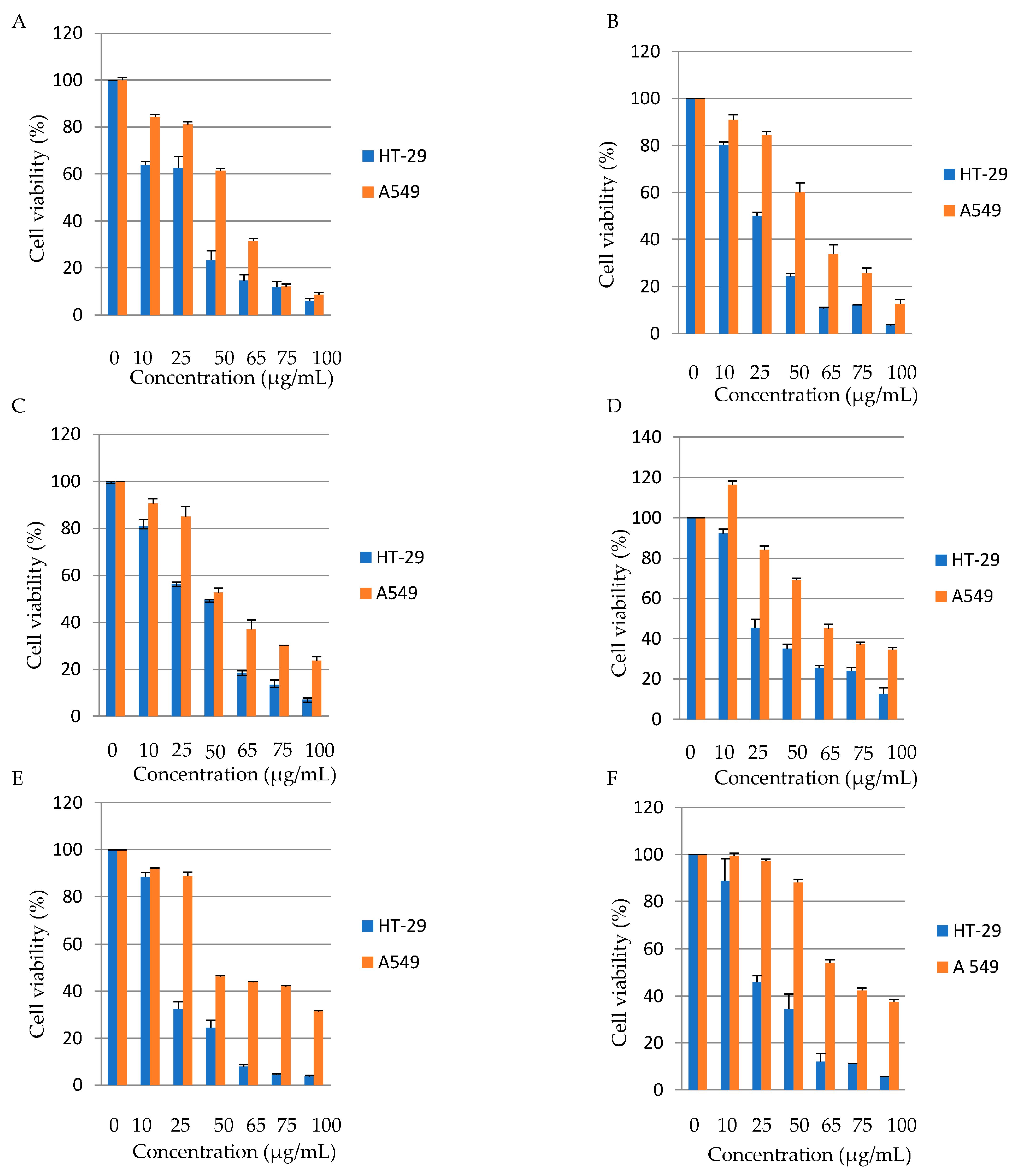
3.5. Anti-tumor Activity of Date Seeds
3.6. Date Seed Oil Yield and Fatty Acids Content
4. Conclusions
Supplementary Materials
Author Contributions
Funding
Institutional Review Board Statement
Informed Consent Statement
Data Availability Statement
Conflicts of Interest
References
- Hamad, I.; Abdelgawad, H.; Al Jaouni, S.; Zinta, G.; Asard, H.; Hassan, S.; Hegab, M.; Hagagy, N.; Selim, S. Metabolic Analysis of Various Date Palm Fruit (Phoenix dactylifera L.) Cultivars from Saudi Arabia to Assess Their Nutritional Quality. Molecules 2015, 20, 13620. [Google Scholar] [CrossRef] [PubMed]
- FAO. FAO Publications Catalogue 2022; FAO: Rome, Italy, 2022. [Google Scholar] [CrossRef]
- Nehdi, I.; Omri, S.; Khalil, M.I.; Al-Resayes, S.I. Characteristics and chemical composition of date palm (Phoenix canariensis) seeds and seed oil. Ind. Crop. Prod. 2010, 32, 360–365. [Google Scholar] [CrossRef]
- Chandrasekaran, M.; Bahkali, A.H. Valorization of date palm (Phoenix dactylifera) fruit processing by-products and wastes using bioprocess technology—Review. Saudi J. Biol. Sci. 2013, 20, 105–120. [Google Scholar] [CrossRef] [PubMed]
- Rahman, M.S.; Kasapis, S.; Al-Kharusi, N.S.Z.; Al-Marhubi, I.M.; Khan, A.J. Composition characterisation and thermal transition of date pits powders. J. Food Eng. 2007, 80, 1–10. [Google Scholar] [CrossRef]
- Maqsood, S.; Adiamo, O.; Ahmad, M.; Mudgil, P. Bioactive compounds from date fruit and seed as potential nutraceutical and functional food ingredients. Food Chem. 2020, 308, 125522. [Google Scholar] [CrossRef] [PubMed]
- Al-Farsi, M.; Alasalvar, C.; Al-Abid, M.; Al-Shoaily, K.; Al-Amry, M.; Al-Rawahy, F. Compositional and functional characteristics of dates, syrups, and their by-products. Food Chem. 2007, 104, 943–947. [Google Scholar] [CrossRef]
- Platat, C.; Habib, H.M.; Al Maqbali, F.D.; Jaber, N.N.; Ibrahim, W.H. Identification of Date Seeds Varieties Patterns to Optimize Nutritional Benefits of Date Seeds. J. Nutr. Food Sci. 2014, s8, 8. [Google Scholar] [CrossRef]
- Khurana, S.; Venkataraman, K.; Hollingsworth, A.; Piche, M.; Tai, T.C. Polyphenols: Benefits to the Cardiovascular System in Health and in Aging. Nutrients 2013, 5, 3779. [Google Scholar] [CrossRef]
- Aljazy, N.A.S.; Al-Mossawi, A.E.-B.H.J.; Al-Rikabi, A.K. Study of Antibacterial Activity of some Date Seed Extracts. Basrah J. Agric. Sci. 2019, 32, 247–257. [Google Scholar] [CrossRef]
- Selim, S.; Abdel-Mawgoud, M.; Al-sharary, T.; Almuhayawi, M.S.; Alruhaili, M.H.; Al Jaouni, S.K.; Warrad, M.; Mohamed, H.S.; Akhtar, N.; AbdElgawad, H. Pits of Date Palm: Bioactive Composition, Antibacterial Activity and Antimutagenicity Potentials. Agronomy 2021, 12, 54. [Google Scholar] [CrossRef]
- Habib, H.M.; Platat, C.; Meudec, E.; Cheynier, V.; Ibrahim, W.H. Polyphenolic compounds in date fruit seed (Phoenix dactylifera): Characterisation and quantification by using UPLC-DAD-ESI-MS. J. Sci. Food Agric. 2014, 94, 1084–1089. [Google Scholar] [CrossRef] [PubMed]
- Habib, H.M.; El-Fakharany, E.M.; Souka, U.D.; Elsebaee, F.M.; El-Ziney, M.G.; Ibrahim, W.H. Polyphenol-Rich Date Palm Fruit Seed (Phoenix Dactylifera L.) Extract Inhibits Labile Iron, Enzyme, and Cancer Cell Activities, and DNA and Protein Damage. Nutrients 2022, 14, 3536. [Google Scholar] [CrossRef] [PubMed]
- Hilary, S.; Kizhakkayil, J.; Souka, U.; Al-Meqbaali, F.; Ibrahim, W.; Platat, C. In-vitro Investigation of Polyphenol-Rich Date (Phoenix dactylifera L.) Seed Extract Bioactivity. Front. Nutr. 2021, 8, 571. [Google Scholar] [CrossRef] [PubMed]
- Besbes, S.; Blecker, C.; Deroanne, C.; Drira, N.E.; Attia, H. Date seeds: Chemical composition and characteristic profiles of the lipid fraction. Food Chem. 2004, 84, 577–584. [Google Scholar] [CrossRef]
- Biglar, M.; Khanavi, M.; Hajimahmoodi, M.; Hassani, S.; Moghaddam, G.; Sadeghi, N.; Oveisi, M.R. Tocopherol Content and Fatty acid Profile of Different Iranian Date Seed Oils. Iran. J. Pharm. Res. IJPR 2012, 11, 873. [Google Scholar] [PubMed]
- Saleh, F.A.; El-Darra, N.; Raafat, K. Hypoglycemic effects of Prunus cerasus L. pulp and seed extracts on Alloxan-Induced Diabetic Mice with histopathological evaluation. Biomed. Pharmacother. 2017, 88, 870–877. [Google Scholar] [CrossRef] [PubMed]
- Raafat, K.; El-Darra, N.; Saleh, F.A. Gastroprotective and anti-inflammatory effects of Prunus cerasus phytochemicals and their possible mechanisms of action. J. Tradit. Complement. Med. 2020, 10, 345–353. [Google Scholar] [CrossRef]
- Raafat, K.; El-Darra, N.; Saleh, F.; Rajha, H.; Louka, N. Optimization of infrared-assisted extraction of bioactive lactones from Saussurea lappa L. and their effects against gestational diabetes. Pharmacogn. Mag. 2019, 15, 208. [Google Scholar] [CrossRef]
- Cheaib, D.; El Darra, N.; Rajha, H.N.; Ghazzawi, I.E.; Maroun, R.G.; Louka, N. Biological activity of apricot byproducts polyphenols using solid–liquid and infrared-assisted technology. J. Food Biochem. 2018, 42, e12552. [Google Scholar] [CrossRef]
- Hammoud, M.; Chokr, A.; Rajha, H.N.; Safi, C.; Walsem, M.V.; Broek, L.A.M.; Debs, E.; Maroun, R.G.; Louka, N.; Rammal, H. Intensification of Polyphenols Extraction from Eryngium creticum Leaves Using Ired-Irrad® and Evaluation of Antibiofilm and Antibacterial Activities. Plants 2022, 11, 2458. [Google Scholar] [CrossRef]
- Neugart, S.; Rohn, S.; Schreiner, M. Identification of complex, naturally occurring flavonoid glycosides in Vicia faba and Pisum sativum leaves by HPLC-DAD-ESI-MSn and the genotypic effect on their flavonoid profile. Food Res. Int. 2015, 76, 114–121. [Google Scholar] [CrossRef]
- Engelhardt, L.; Pöhnl, T.; Neugart, S. Edible Wild Vegetables Urtica dioica L. and Aegopodium podagraria L.-Antioxidants Affected by Processing. Plants 2022, 11, 2710. [Google Scholar] [CrossRef] [PubMed]
- Engelhardt, L.; Pöhnl, T.; Neugart, S. Interactions of Ascorbic Acid, 5-Caffeoylquinic Acid, and Quercetin-3-Rutinoside in the Presence and Absence of Iron during Thermal Processing and the Influence on Antioxidant Activity. Molecules 2021, 26, 7698. [Google Scholar] [CrossRef] [PubMed]
- Jung, B.; Hoilat, G.J.; MacConkey Medium. StatPearls, 26 September 2022. Available online: https://www.ncbi.nlm.nih.gov/books/NBK557394/ (accessed on 18 December 2023).
- The Origin of MacConkey Agar. Available online: https://asm.org/articles/2019/october/the-origin-of-macconkey-agar (accessed on 18 December 2023).
- Kirby-Bauer Disk Diffusion Susceptibility Test Protocol. 2009. Available online: www.atcc.org (accessed on 12 May 2023).
- Shahbaz, K.; Asif, J.A.; Liszen, T.; Nurul, A.A.; Alam, M.K. Cytotoxic and Antioxidant Effects of Phoenix dactylifera L. (Ajwa Date Extract) on Oral Squamous Cell Carcinoma Cell Line. Biomed Res. Int. 2022, 2022, 5792830. [Google Scholar] [CrossRef] [PubMed]
- de Souza, R.d.C.; Souza Machado, B.A.; de Abreu Barreto, G.; Leal, I.L.; dos Anjos, J.P.; Umsza-Guez, M.A. Effect of Experimental Parameters on the Extraction of Grape Seed Oil Obtained by Low Pressure and Supercritical Fluid Extraction. Molecules 2020, 25, 1634. [Google Scholar] [CrossRef] [PubMed]
- Mohamed Lemine, F.M.; Mohamed Ahmed, M.V.O.; Ben Mohamed Maoulainine, L.; Bouna, Z.e.A.O.; Samb, A.; Ali, A.O.M.S. Antioxidant activity of various Mauritanian date palm (Phoenix dactylifera L.) fruits at two edible ripening stages. Food Sci. Nutr. 2014, 2, 700–705. [Google Scholar] [CrossRef] [PubMed]
- Molan, A.-L.; Saleh Mahdy, A. Total Phenolics, Antioxidant Activity and Anti-Diabetic Capacities of Selected Iraqi Medicinal Plants. Am. J. Life Sci. Res. 2016, 4, 47–59. [Google Scholar] [CrossRef][Green Version]
- Ardekani, M.R.S.; Khanavi, M.; Hajimahmoodi, M.; Jahangiri, M.; Hadjiakhoondi, A. Comparison of Antioxidant Activity and Total Phenol Contents of some Date Seed Varieties from Iran. Iran. J. Pharm. Res. IJPR 2010, 9, 141. [Google Scholar][Green Version]
- Sirisena, S.; Ng, K.; Ajlouni, S. Antioxidant activities and inhibitory effects of free and bound polyphenols from date (Phoenix dactylifera L.) seeds on starch digestive enzymes. Int. J. Food Stud. 2016, 5, 212–223. [Google Scholar] [CrossRef]
- Bentrad, N.; Gaceb-Terrak, R. Evaluation of the level of biomolecules isolated from date palm seeds (Phoenix dactylifera) and in vitro Antioxidant property. BioMedicine 2020, 10, 23. [Google Scholar] [CrossRef]
- Abd El-Rahman, S.N.; Al-Mulhem, S.I. Characteristic Analysis, Antioxidant Components and Antioxidant Activity of Date Fruits, Date Seeds and Palm Shell. Clin. Med. Case Rep. 2017, 1, 101. [Google Scholar]
- Bouhlali, E.T.; Alem, C.; Ennassir, J.; Benlyas, M.; Mbark, A.N.; Zegzouti, Y.F. Phytochemical compositions and antioxidant capacity of three date (Phoenix dactylifera L.) seeds varieties grown in the South East Morocco. J. Saudi Soc. Agric. Sci. 2017, 16, 350–357. [Google Scholar] [CrossRef]
- Majid, A.; Naz, F.; Bhatti, S.; Phull, A.-R. Phenolic Profile and Antioxidant Activities of Three Date Seeds Varieties (Phoenix Dactylifera L.) of Pakistan. Explor. Res. Hypothesis Med. 2023, 8, 195–201. [Google Scholar] [CrossRef]
- Ahmed, J.; Abdu, A.; Mitiku, H.; Ataro, Z. In vitro Antibacterial Activities of Selected Medicinal Plants Used by Traditional Healers for Treating Urinary Tract Infection in Haramaya District, Eastern Ethiopia. Infect. Drug Resist. 2023, 16, 1327–1338. [Google Scholar] [CrossRef] [PubMed]
- Al-daihan, S.; Bhat, R.S. Antibacterial activities of extracts of leaf, fruit, seed and bark of Phoenix dactylifera. Afric. J. Biotechnol. 2012, 11, 10021–10025. [Google Scholar] [CrossRef]
- Hussain, M.I.; Semreen, M.H.; Shanableh, A.; Khattak, M.N.K.; Saadoun, I.; Ahmady, I.M.; Mousa, M.; Darwish, N.; Radeef, W.; Soliman, S.S.M. Phenolic Composition and Antimicrobial Activity of Different Emirati Date (Phoenix dactylifera L.) Pits: A Comparative Study. Plants 2019, 8, 497. [Google Scholar] [CrossRef] [PubMed]
- Radfar, R.; Farhoodi, M.; Ghasemi, I.; Khaneghah, A.M.; Shahraz, F.; Hosseini, H. Assessment of Phenolic Contents and Antioxidant and Antibacterial Activities of Extracts from Four Varieties of Iranian Date Palm (Phoenix dactylifera L.) Seeds. Appl. Food Biotechnol. 2019, 6, 173–184. [Google Scholar] [CrossRef]
- Papuc, C.; Goran, G.V.; Predescu, C.N.; Nicorescu, V.; Stefan, G. Plant Polyphenols as Antioxidant and Antibacterial Agents for Shelf-Life Extension of Meat and Meat Products: Classification, Structures, Sources, and Action Mechanisms. Compr. Rev. Food Sci. Food Saf. 2017, 16, 1243–1268. [Google Scholar] [CrossRef]
- Liston, D.R.; Davis, M. Clinically relevant concentrations of anticancer drugs: A guide for nonclinical studies. Clin. Cancer Res. 2017, 23, 3489. [Google Scholar] [CrossRef]
- Habib, H.; Platat, C.; AlMaqbali, F.; Ibrahim, W. Date seed (Phoenix dactylifera) extract reduces the proliferation of pancreatic cancer cells, DNA damage and superoxide-dependent iron release from ferritin in vitro (829.20). FASEB J. 2014, 28, 829.20. [Google Scholar] [CrossRef]
- Xi, Y.; Xu, P. Global colorectal cancer burden in 2020 and projections to 2040. Transl. Oncol. 2021, 14, 101174. [Google Scholar] [CrossRef] [PubMed]
- Rejhová, A.; Opattová, A.; Čumová, A.; Slíva, D.; Vodička, P. Natural compounds and combination therapy in colorectal cancer treatment. Eur. J. Med. Chem. 2018, 144, 582–594. [Google Scholar] [CrossRef] [PubMed]
- Bernatoniene, J.; Kopustinskiene, D.M. The Role of Catechins in Cellular Responses to Oxidative Stress. Molecules 2018, 23, 965. [Google Scholar] [CrossRef] [PubMed]
- Anandh Babu, P.; Liu, D. Green tea catechins and cardiovascular health: An update. Curr. Med. Chem. 2008, 15, 1840–1850. [Google Scholar] [CrossRef]
- Nain, C.W.; Mignolet, E.; Herent, M.F.; Quetin-Leclercq, J.; Debier, C.; Page, M.M.; Larondelle, Y. The Catechins Profile of Green Tea Extracts Affects the Antioxidant Activity and Degradation of Catechins in DHA-Rich Oil. Antioxidants 2022, 11, 1844. [Google Scholar] [CrossRef]
- Grzesik, M.; Naparło, K.; Bartosz, G.; Sadowska-Bartosz, I. Antioxidant properties of catechins: Comparison with other antioxidants. Food Chem. 2018, 241, 480–492. [Google Scholar] [CrossRef]
- Benmeddour, Z.; Mehinagic, E.; Meurlay, D.L.; Louaileche, H. Phenolic composition and antioxidant capacities of ten Algerian date (Phoenix dactylifera L.) cultivars: A comparative study. J. Funct. Foods 2013, 5, 346–354. [Google Scholar] [CrossRef]
- Chen, C. Sinapic acid and its derivatives as medicine in oxidative stress-induced diseases and aging. Oxid. Med. Cell. Longev. 2016, 2016, 3571614. [Google Scholar] [CrossRef]
- Saleem, A.; Akhtar, M.F.; Sharif, A.; Akhtar, B.; Siddique, R.; Ashraf, G.M.; Alghamdi, B.S.; Alharthy, S.A. Anticancer, Cardio-Protective and Anti-Inflammatory Potential of Natural-Sources-Derived Phenolic Acids. Molecules 2022, 27, 7286. [Google Scholar] [CrossRef]
- Mrabet, A.; Jiménez-Araujo, A.; Guillén-Bejarano, R.; Rodríguez-Arcos, R.; Sindic, M. Date Seeds: A Promising Source of Oil with Functional Properties. Foods 2020, 9, 787. [Google Scholar] [CrossRef]
- Deepika Cherukuri, N.; Kirthy Reddy, M.; Durga Rani, H.; Naga Deepika, C.; Samrawat, S.; Akshara, V.; Rajesh, K. Study on Physico-chemical Properties of Oil and Powder of Date Palm Seeds (Phoenix dactylifera). Artic. Int. J. Curr. Microbiol. Appl. Sci. 2017, 6, 486–492. [Google Scholar] [CrossRef]
- De Roos, N.M.; Schouten, E.G.; Katan, M.B. Consumption of a solid fat rich in lauric acid results in a more favorable serum lipid profile in healthy men and women than consumption of a solid fat rich in trans-fatty acids. J. Nutr. 2001, 131, 242–245. [Google Scholar] [CrossRef] [PubMed][Green Version]
- Veeresh Babu, S.V.; Veeresh, B.; Patil, A.A.; Warke, Y.B. Lauric acid and myristic acid prevent testosterone induced prostatic hyperplasia in rats. Eur. J. Pharmacol. 2010, 626, 262–265. [Google Scholar] [CrossRef] [PubMed]
- Desbois, P.A. Potential applications of antimicrobial fatty acids in medicine, agriculture and other industries. Recent Pat. Antiinfect. Drug Discov. 2012, 7, 111–122. [Google Scholar] [CrossRef]


| Phenolic Compounds | Retention Time (Minutes) | Date Seed Variety | ||||||
|---|---|---|---|---|---|---|---|---|
| Khudari | Sakai | Safawi | Majdool | Zahdi | Kabkab | Average | ||
| Proanthocyanidin dimer 1 | 6.85 | 0.07 ± 0.00 | 0.07 ± 0.00 | 0.02 ± 0.00 | 0.02 ± 0.00 | 0.11 ± 0.02 | 0.08 ± 0.00 | 0.06 ± 0.00 |
| Proanthocyanidin dimer 2 | 7.17 | 0.05 ± 0.00 | 0.07 ± 0.00 | 0.11 ± 0.00 | 0.07 ± 0.00 | 0.06 ± 0.00 | 0.05 ± 0.00 | 0.06 ± 0.00 |
| Total Proanthocyanidin dimers | _ | 0.12 ± 0.00 e | 0.14 ± 0.00 b | 0.13 ± 0.00 cd | 0.09 ± 0.00 f | 0.17 ± 0.02 a | 0.13 ± 0.00c | 0.13 ± 0.00 c |
| Proanthocyanidin trimer 1 | 7.73 | 0.11 ± 0.00 | 0.1 ± 0.00 | 0.1 ± 0.00 | 0.07 ± 0.00 | 0.09 ± 0.00 | 0.07 ± 0.00 | 0.09 ± 0.00 |
| Proanthocyanidin trimer 2 | 8.08 | 0.07 ± 0.00 | 0.11 ± 0.00 | 0.09 ± 0.00 | 0.06 ± 0.00 | 0.11 ± 0.00 | 0.11 ± 0.01 | 0.09 ± 0.00 |
| Proanthocyanidin trimer 3 | 8.77 | 0.09 ± 0.00 | 0.10 ± 0.00 | 0.09 ± 0.00 | 0.06 ± 0.00 | 0.10 ± 0.00 | 0.09 ± 0.01 | 0.08 ± 0.00 |
| Proanthocyanidin trimer 4 | 10.71 | 0.03 ± 0.00 | 0.03 ± 0.00 | 0.06 ± 0.00 | 0.03 ± 0.00 | 0.07 ± 0.00 | 0.05 ± 0.00 | 0.04 ± 0.00 |
| Proanthocyanidin trimer 5 | 10.98 | 0.03 ± 0.00 | 0.03 ± 0.00 | 0.04 ± 0.00 | 0.02 ± 0.00 | 0.04 ± 0.00 | 0.03 ± 0.00 | 0.03 ± 0.00 |
| Total Proanthocyanidin trimers | _ | 0.33 ± 0.00 e | 0.37 ± 0.01 b | 0.38 ± 0.00 bc | 0.24 ± 0.00 f | 0.41 ± 0.00 a | 0.35 ± 0.02 d | 0.34 ± 0.00 b |
| Proanthocyanidin tetramer 1 | 11.89 | 0.02 ± 0.00 | 0.03 ± 0.00 | 0.04 ± 0.00 | 0.03 ± 0.00 | 0.05 ± 0.00 | 0.03 ± 0.00 | 0.03 ± 0.00 |
| Proanthocyanidin tetramer 2 | 12.61 | 0.03 ± 0.01 | 0.03 ± 0.00 | 0.04 ± 0.00 | 0.03 ± 0.00 | 0.04 ± 0.00 | 0.03 ± 0.00 | 0.03 ± 0.00 |
| Proanthocyanidin tetramer 3 | 14.05 | 0.02 ± 0.00 | 0.03 ± 0.00 | 0.04 ± 0.00 | 0.03 ± 0.00 | 0.03 ± 0.00 | 0.03 ± 0.00 | 0.03 ± 0.00 |
| Total Proanthocyanidin tetramers | _ | 0.08 ± 0.01 ef | 0.08 ± 0.00 e | 0.12 ± 0.00 a | 0.09 ± 0.01 c | 0.12 ± 0.00 ab | 0.09 ± 0.00 cd | 0.09 ± 0.00 d |
| Catechin | 7.47 | 0.05 ± 0.00 e | 0.06 ± 0.00 c | 0.06 ± 0.00 cd | 0.04 ± 0.00 f | 0.07 ± 0.00 a | 0.07 ± 0.00 ab | 0.06 ± 0.00 e |
| Caffeic acid derivative 1 | 8.93 | 0.11 ± 0.00 | 0.12 ± 0.00 | 0.13 ± 0.00 | 0.12 ± 0.00 | 0.12 ± 0.00 | 0.11 ± 0.00 | 0.12 ± 0.00 |
| Caffeic acid derivative 2 | 9.10 | 0.1 ± 0.00 | 0.11 ± 0.00 | 0.14 ± 0.00 | 0.14 ± 0.00 | 0.13 ± 0.00 | 0.12 ± 0.00 | 0.12 ± 0.00 |
| Caffeic acid derivative 3 | 9.49 | ND | 0.09 ± 0.00 | 0.12 ± 0.00 | 0.13 ± 0.00 | 0.12 ± 0.00 | ND | 0.11 ± 0.00 |
| Caffeic acid derivative 4 | 9.95 | ND | ND | 0.01 ± 0.00 | ND | ND | ND | 0.01 ± 0.00 |
| Caffeic acid derivative 5 | 11.30 | ND | ND | ND | ND | ND | ND | ND |
| Caffeic acid derivative 6 | 11.60 | ND | ND | ND | ND | ND | ND | ND |
| Total caffeic acids | _ | 0.21 ± 0.00 f | 0.32 ± 0.00 d | 0.4 ± 0.00 a | 0.39 ± 0.00 b | 0.37 ± 0.00 c | 0.23 ± 0.00 e | 0.36 ± 0.00 a |
| Quercetin | 15.50 | 0.03 ± 0.00 bc | 0.05 ± 0.00 a | ND | 0.03 ± 0.00 bcd | ND | 0.03 ± 0.00 b | 0.04 ± 0.00 f |
| Total Phenolic Content | _ | 77.1 ± 0.3 e | 203.2 ± 2.3 c | 90.6 ± 1.3 d | 63.2 ± 0.1 f | 211.1 ± 2.3 b | 211.1 ± 2.3 b | 154.2 ± 1.3 |
| Date Seed Variety | ABTS | DPPH | |
|---|---|---|---|
| TEACABTS | TEACDPPH | %DPPH Inhibition | |
| Khudari | 0.21 ± 0.01 d | 0.20 ± 0.00 e | 22.16 ± 0.11 e |
| Sakai | 0.31 ± 0.00 c | 0.29 ± 0.01 c | 33.68 ± 1.53 c |
| Safawi | 0.20 ± 0.01 de | 0.22 ± 0.01 d | 24.72 ± 1.53 d |
| Majdool | 0.19 ± 0.01 f | 0.18 ± 0.03 f | 19.76 ± 3.38 f |
| Zahdi | 0.32 ± 0.07 b | 0.33 ± 0.01 b | 37.66 ± 0.98 b |
| Kabkab | 0.44 ± 0.04 a | 0.42 ± 0.02 a | 48.42 ± 2.3 a |
| Average | 0.28 ± 0.02 | 0.27 ± 0.01 | 31.06 ± 1.64 |
| Date Seed Variety | Diameter of Inhibition Zone (mm) | |||
|---|---|---|---|---|
| Staphylococcus aureus | Bacillus cereus | Salmonella typhi | Escherichia coli | |
| Khudari | 9 ± 0.35 | 12 ± 0.56 | NI | NI |
| Sakai | 11 ± 0.75 | 13 ± 0.94 | NI | NI |
| Safawi | NI | 8.5 ± 1.03 | NI | NI |
| Majdool | NI | NI | NI | NI |
| Zahdi | 8 ± 0.87 | 9 ± 0.43 | NI | NI |
| Kabkab | NI | NI | NI | NI |
| Gentamycin (50 μg) | 31 ± 1.47 | 29 ± 0.59 | 30 ± 1.05 | 30 ± 0.95 |
| Date Seed Variety | Minimum Inhibitory Concentration (MIC) (mg/mL) | |||
|---|---|---|---|---|
| Staphylococcus aureus | Bacillus cereus | Salmonella typhi | Escherichia coli | |
| Khudari | 41.6 | 20.8 | NI | NI |
| Sakai | 41.6 | 20.8 | NI | NI |
| Date Seed Variety | HT-29 | A549 |
|---|---|---|
| Khudari | 36.65 ± 1.38 | 57.8 ± 1.02 |
| Sakai | 29.86 ± 1.17 | 55.05 ± 1.02 |
| Safawi | 46.85 ± 3.63 | 48.3 ± 1.01 |
| Majdool | 29.68 ± 2.04 | 70.13 ± 4.70 |
| Zahdi | 18.9 ± 2.63 | 54 ± 1.17 |
| Kabkab | 28.64 ± 1.58 | 59 ± 1.01 |
| Date Seed Variety | Amount of Fat (g) | Oil Yield (%) | Fatty Acids (g/100 g) | ||||||
|---|---|---|---|---|---|---|---|---|---|
| Capric Acid | Lauric Acid | Mystric Acid | Palmitic Acid | Stearic Acid | Oleic Acid | Average | |||
| Khudari | 0.37 ± 0.06 c | 3.79 ± 0.42 c | 0.004 ± 0.01 | 0.07 ± 0.01 f | 0.08 ± 0.01 b | 0.05 ± 0.01 a | 0.05 ± 0.01 a | 0.12 ± 0.02 c | 0.37 ± 0.06 b |
| Sakai | 0.42 ± 0.04 a | 4.89 ± 0.11 a | 0.005 ± 0.00 | 0.1 ± 0.01 bc | 0.08 ± 0.01 a | 0.05 ± 0.01 ab | 0.04 ± 0.00 b | 0.13 ± 0.01 a | 0.4 ± 0.04 a |
| Safawi | 0.36 ± 0.03 cde | 3.6 ± 0.29 e | 0.005 ± 0.00 | 0.11 ± 0.01 b | 0.07 ± 0.01 cd | 0.04 ± 0.00 cd | 0.03 ± 0.00 cd | 0.11 ± 0.01 d | 0.36 ± 0.03 cd |
| Majdool | 0.38 ± 0.01 b | 4.32 ± 0.26 b | 0.007 ± 0.00 | 0.12 ± 0.00 a | 0.07 ± 0.00 bc | 0.04 ± 0.00 c | 0.03 ± 0.00 cde | 0.1 ± 0.00 de | 0.37 ± 0.00 c |
| Zahdi | 0.26 ± 0.00 f | 2.59 ± 0.03 f | 0.005 ± 0.00 | 0.08 ± 0.00 e | 0.05 ± 0.00 f | 0.03 ± 0.00 f | 0.02 ± 0.00 f | 0.08 ± 0.00 f | 0.27 ± 0.00 f |
| Kabkab | 0.36 ± 0.06 cd | 3.65 ± 0.59 d | 0.005 ± 0.00 | 0.1 ± 0.02 d | 0.06 ± 0.01 de | 0.04 ± 0.01 cde | 0.03 ± 0.01 c | 0.12 ± 0.02 b | 0.35 ± 0.00 f |
| Average | 0.36 ± 0.03 | 3.81 ± 0.26 | 0.005 ± 0.00 f | 0.1 ± 0.01 ab | 0.07 ± 0.01 c | 0.04 ± 0.00 d | 0.03 ± 0.00 de | 0.11 ± 0.01 a | _ |
Disclaimer/Publisher’s Note: The statements, opinions and data contained in all publications are solely those of the individual author(s) and contributor(s) and not of MDPI and/or the editor(s). MDPI and/or the editor(s) disclaim responsibility for any injury to people or property resulting from any ideas, methods, instructions or products referred to in the content. |
© 2023 by the authors. Licensee MDPI, Basel, Switzerland. This article is an open access article distributed under the terms and conditions of the Creative Commons Attribution (CC BY) license (https://creativecommons.org/licenses/by/4.0/).
Share and Cite
Swaidan, A.; Azakir, B.; Neugart, S.; Kattour, N.; Sokhn, E.S.; Osaili, T.M.; Darra, N.E. Evaluation of the Phenolic Composition and Biological Activities of Six Aqueous Date (Phoenix dactylifera L.) Seed Extracts Originating from Different Countries: A Comparative Analysis. Foods 2024, 13, 126. https://doi.org/10.3390/foods13010126
Swaidan A, Azakir B, Neugart S, Kattour N, Sokhn ES, Osaili TM, Darra NE. Evaluation of the Phenolic Composition and Biological Activities of Six Aqueous Date (Phoenix dactylifera L.) Seed Extracts Originating from Different Countries: A Comparative Analysis. Foods. 2024; 13(1):126. https://doi.org/10.3390/foods13010126
Chicago/Turabian StyleSwaidan, Aseel, Bilal Azakir, Susanne Neugart, Naim Kattour, Elie Salem Sokhn, Tareq M. Osaili, and Nada El Darra. 2024. "Evaluation of the Phenolic Composition and Biological Activities of Six Aqueous Date (Phoenix dactylifera L.) Seed Extracts Originating from Different Countries: A Comparative Analysis" Foods 13, no. 1: 126. https://doi.org/10.3390/foods13010126
APA StyleSwaidan, A., Azakir, B., Neugart, S., Kattour, N., Sokhn, E. S., Osaili, T. M., & Darra, N. E. (2024). Evaluation of the Phenolic Composition and Biological Activities of Six Aqueous Date (Phoenix dactylifera L.) Seed Extracts Originating from Different Countries: A Comparative Analysis. Foods, 13(1), 126. https://doi.org/10.3390/foods13010126

