Abstract
The solid-state fermentation process of strongly flavored Baijiu is complicated by the co-fermentation of many different microorganisms in the fermentation pools. The traditional fermentation pools of strong flavor Baijiu are sealed with mud, and this sealed-pit mud is not easy to maintain; therefore, the pit cap is prone to cracks and to caving in. The destruction of the sealed-pit mud may lead to instability in the composition and an abundance of microorganisms in the fermentation process that results in fluctuations of product quality. Thus, the production method of replacing the mud cap with a new steel cap is gradually attracting the attention of scientific and technical workers in the industry. However, so far, there have been relatively few reports on the use of steel lids for sealing pits for fermentation and brewing. In this study, the volatile flavor components of 270 Baijiu samples from mud-sealing and steel-sealing pits of a Chinese Baijiu distillery were studied qualitatively and quantitatively using Gas Chromatography–Mass Spectrometry (Abbreviated as GC-MS). Our statistical methods included Hierarchical Cluster Analysis (Abbreviated as HCA), Principal Component Analysis (Abbreviated as PCA), and Discriminant Analysis (Abbreviated as DA). A statistical analysis was carried out on the yield of strongly flavored Baijiu, and we made a comprehensive evaluation of the Baijiu produced under the two pit-sealing modes with regard to flavor and economic efficiency. The yield of strong flavored Baijiu was 6.7% higher with steel-sealing pits compared with mud-sealing pits. Cluster analysis categorized the strongly flavored Baijiu samples into two categories initially: (1) samples produced using mud-sealing pits and (2) samples using steel-sealing pits. Our analysis also indicated that the 28 compounds used for quantification were selected correctly. Surprising to the experimental staff, the overall score for the steel-sealing pits was greater than that of the mud-sealing pits based on PCA. Using DA, the prediction results were 100% accurate. In summary, through a comparative analysis of the flavor and yield, which are the two main factors that affect the quality of Baijiu in a distillery, and systematic combination at both experimental and theoretical levels, the differences between the Baijiu production by steel-sealing and the traditional mud-sealing were clear. Regardless of the impact of age, the detectable flavor components of Baijiu from the mud-steeling pits were very consistent with those of the steel-sealing pits in terms of richness or concentration. However, steel-sealing pits were significantly superior to mud-sealing pits with respect to output, consistency in quality, and cost (human and economic) savings.
1. Introduction
By the end of 2022, the cumulative export value of alcoholic beverages in China was approximately 21.53 billion RMB, an increase of 25.1% year-on-year (China Industrial Economic Information Network). Topping the list of alcoholic beverages in China was Chinese Baijiu, which includes strong flavor, Maotai flavor, light flavor, and others [1,2,3,4]. The unique brewing process, which involves mixed steaming and boiling, and continuous ingredients for fermented grains of Chinese Baijiu endow itself with characteristic flavor [3]. Chinese Baijiu is highly sought after by consumers and is also renowned overseas. The fermentation of Baijiu is the result of the joint action of microbial clusters. Good fermentation technology will lead to the production of a large number of flavor substances and metabolites, which not only have rich nutritional value but also have certain medicinal value, such as cyclic dipeptide, prochemic acid, etc. [5,6].
Strongly flavored Baijiu is produced from grains with medium-high temperature, with Daqu being the flavor-producing agent, and involves continuous distillation of grain ingredients, mixed steaming and mixed burning, solid-state fermentation, distillation, aging, and blending [7]. Aromatic compounds in Baijiu mainly come from protein or amino acid metabolism. It has a strong aromatic odor and has a significant fragrance forming effect [8,9,10]. In fact, the aromatic compounds in Baijiu come from fermentation during the brewing process and decomposition or synthesis during distillation. Among them, esters, aldehydes, and ketones produced during fermentation have aromatic properties and are the main source of aromatic compounds in Baijiu. In the distillation process, with the evaporation of alcohol, some volatile aromatic compounds will also be distilled out and become the aromatic substances in Baijiu. Their aromatic compounds are dominated by ethyl caproate and are produced without the addition of edible alcohols, nonfermented aromatic compounds, or taste-producing substances [11,12]. The fermentation of strongly flavored Baijiu is carried out in mud pits (usually called “NiJiao” in Chinese) [13], which have an important influence on the formation of flavor compounds in strongly flavored Baijiu. With the increase in demand for Baijiu, the number and scale of Baijiu enterprises has expanded. In the face of growing market demand, traditional manual production is unable to meet the production demands for Baijiu products; the intelligent production and automation in distilleries is gradually being put on the agenda by researchers in the industry. Traditional strongly flavored Baijiu is brewed by sealing the pit with mud [14] (Figure 1). This process isolates oxygen in the early stage of production and prevents the microbial flora in the environment from invading the fermentation system. However, as fermentation time passes, this method of sealing the pits has shortcomings, such as cracks in the pit cap, maintenance of the pits, and contamination with environmental bacteria [15,16]. These factors affect the quality and taste of strongly flavored Baijiu, which causes some unnecessary, but significant, economic losses.
Figure 1.
Profile of traditional fermentation device (pit cap: mud) for producing strongly flavored Baijiu in China. (1—mud-sealing cap; 2—Grains of Baijiu; 3—Brewing pit; 4—Sealing the pit opening; 5—Included angle of prism clamp, Modified from Figure 1 in Lu et al., 2012 [14]).
The sealing technology of pit is one of the key points in the production of Chinese Baijiu possessing varied and diversified flavors (12 types including Maotai flavor, strong flavor, Qingxiang flavor, etc.). The key fermentation elements concerned such as the types of fermentation microorganisms and the corresponding fermentation time are all related to the sealing of the pit. Poor sealing technology can lead to a series of devastating consequences such as fermentation rancidity, heavy odor, and low alcohol production rate. However, better sealing technology can make the aroma of the Baijiu stronger and more unique.
In response to these problems, different forms of pit sealing have been developed by Baijiu practitioners. For example, steel-sealing methods have been improved from the simple steel-sealing lid (Figure 2) to those that are detectable from the outside (Figure 3) [17], and plastic film sealing has also started to be applied in the fermentation sealing process of strongly flavored Baijiu. The plastic film sealing pit has disadvantages, such as difficult operation, poor insulation, and easy breakage. On the other hand, the steel-sealing pit solves the problems of entering and exiting the traditional pit fermented grains, high labor intensity, poor control of the internal temperature and humidity of the pit, and the problems of automating the production of the solid fermentation type of strongly flavored Baijiu. It also allows real-time monitoring of the physical and chemical indicators related to fermentation in the pit. Therefore, the production method of replacing the mud-sealing cap with a new steel-sealing cap has gradually received the attention of scientific and technical workers in the industry, but relatively little research has been reported on the fermentation and brewing method of steel-sealing caps.
Figure 2.
Profile of pit cap improved fermentation device A(pit cap: steel) for producing strongly flavored Baijiu in China. (1—steel-sealing cap; 2—Lifting ring; 3—Fixing brackets; 4—Pit mud board; 5—Cover top; 6—Lower box; 7—Pit mud; 8—Grains of Baijiu; 9—Brewing pit, Modified from Figure 2 in Zhang, 2015 [11]).
Figure 3.
Profile of pit cap improved fermentation device B(pit cap: steel) for producing strongly flavored Baijiu in China. (1—Lower box; 2—Upper cover body; 3—Lifting ring; 4—Lower box side reinforcements; 5—Pressure Gauges; 6—Material handling ports; 7—Outer side wall of the lower box; 8-Brewing pit; 9—Grains of Baijiu, Modified from Figure 3 in Zhang and Zhao et al., 2015 [17]).
The quality of Baijiu products is closely related to the composition of flavor substances. For Chinese Baijiu with large export volume, the method of steel-sealing pits can be dynamically monitored from the outside, which can not only reduce a series of problems caused by mud-sealing pits but also reduce the production of harmful substances through monitoring. At present, the research on the flavor substances of strongly flavored Baijiu mainly focuses on volatile substances, which play an important role in Baijiu aroma. Compared with other analytical techniques, Gas Chromatography–Mass Spectrometry (GC-MS) has obvious advantages in flavor analysis [18,19,20,21,22,23,24,25]. GC-MS can be used to analyze qualitatively and quantitatively most of the volatile flavor components in strongly flavored Baijiu; for this reason, GC-MS has become one of the most powerful tools for the separation and detection of the larger number of flavor compounds in Baijiu [26,27].
To identify the differences between the quality of Baijiu products produced in mud-sealing and steel-sealing pits systematically, we collected strongly flavored Baijiu samples from mud-sealing and steel-sealing pits from a distillery using GC-MS to analyze flavor, studied the volatile flavor components using Hierarchical Cluster Analysis (Abbreviated as HCA), Principal Component Analysis (Abbreviated as PCA), and Discriminant Analysis (Abbreviated as DA), and analyzed the results statistically. The ultimate goal was to find a way to achieve both artificial intelligence and intensive production to save time, effort, and money. We hoped to determine whether the quality and taste of the product (Baijiu) was affected, compared with the traditional method of production, to solve the increasingly serious challenge between supply and demand faced by the Baijiu industry.
2. Materials and Methods
2.1. Materials
Materials: Baijiu samples were taken from the same vintage and same fermentation pits at a famous Baijiu enterprise in southern Sichuan. Samples were collected from steel-sealing and traditional mud-sealing pits.
Distillation: For ease of operation, this facility distilled Baijiu in upper, middle, and lower layers of grain.
Strongly flavored Baijiu picking: Because Chinese traditional Baijiu uses solid-state, retort barrel distillation technology, the quality and alcohol concentration of distilled Baijiu from different time periods are different, and the Baijiu is usually picked and stored separately in stages during the production process. In this study, the distilled strongly flavored Baijiu (i.e., first segment Baijiu, second segment Baijiu, and third segment Baijiu) in the corresponding Baijiu period was picked by a Baijiu picker.
Sample collection time: The brewing workshop for the strong flavor Baijiu distillery was divided into five times every year: the first time was in September; the second time was in November; the third time was in February of the next year; the fourth time was in April of the next year; and the fifth time was in June of the next year.
2.2. Instruments and Equipment
We used a TSQ8000 triple quadrupole GC-MS, an AI1310 multifunctional autosampler (Thermo Fisher Scientific, Waltham, MA, USA), a pipette gun (1000 μL, Dalong Xingchuang Experimental (Instruments) Co., Ltd., Beijing, China), a volumetric flask (100 mL), an injection bottle (2 mL), a TG-WAX column (30 m × 0.25 mm × 0.25 μm, Aglient Corporation, Santa Clara, CA, USA), an ultrasonic cleaner, and a microinjector 1 μL.
2.3. Chemicals
Flavor substance standards were chromatographic grade or above. n-propanol, ethyl valerate, n-butanol, isobutanol, acetic acid, hexyl butyrate, isoamyl alcohol, n-amyl alcohol, ethyl butyrate, n-hexanol, hexanoic acid, ethyl formate, ethyl acetate, ethyl caproate, ethyl heptanoate, butyl caproate, ethyl octanoate, propionic acid, butanoic acid, heptanoic acid, octanoic acid, and tert-amyl alcohol were purchased from Tianjin Guangfu Chemical Reagent Co., Tianjin, China. Isoamyl acetate, n-amyl acetate, and anhydrous ethanol were purchased from Beijing Tanmo Quality Control Standard Material Centre., Beijing, China. Ethyl phenylacetate, ethyl tetradecanoate, and ethyl hexadecanoate were purchased from Bailingway Technology Co., Ltd., Beijing, China. Propyl hexanoate and ethyl linoleate were purchased from Aladdin Reagent (Shanghai) Co., Ltd., Shanghai, China. Anhydrous ethanol was purchased from Shanghai Aladdin Biochemical Technology Co., Ltd., Shanghai, China. Methanol was purchased from Adamas-beta Co., Shanghai, China.
2.4. Methods
2.4.1. Calculations of Yield of Strongly Flavored Baijiu
Yield rate = brewing strong flavor Baijiu yield/amount of grain × 100%. The mud-sealing pit contained 130 kg of grain per retort, and the steel-sealing pit contained 225 kg of grain per retort.
2.4.2. Identification of Volatile Flavor Compounds Using GC-MS
Qualitative analysis was carried out by combining the retention index (RI) of the flavor substances with a NIST 12 mass spectrometry library. The method for the quantitative analysis of flavor components in strong flavor Baijiu was based on the national standard GB/T 10345-2007 [28] “Methods for the analysis of Baijiu”. The specific processing steps of the sample were as follows: We measured the standard substance of flavor components and used 60% (v/v) ethanol solution to volume with a 100 mL volumetric flask. The measured value of all flavor components was 0.02% v/v. Before the samples were analyzed, the mixed standard solutions were analyzed, and the correction factors for each flavor compound were calculated using the peak areas and the concentration of the standard substances. Amyl acetate, 2-ethylbutyrate, and tert-pentyl alcohol were used as internal standards for esters, acids, and alcohols of flavor components, respectively.
2.4.3. Statistical Analysis
HCA, PCA, and DA were applied to extract and to analyze the data. Wherein, the specific methods for PCA are as follows:
The formula for each principal component score is Fi = wi1×1 + wi2X2 + … + winXn
Among them, , which denotes the weight of each variable in the principal component. is the coefficient that corresponds to each variable in the component matrix, and is the open root value of the eigenvalue that corresponds to the i-th principal component.
We calculated the comprehensive score by using the contribution rate of the Baijiu on seven main components in different pit sealing methods as the weight coefficient of the comprehensive score; the formula was F = α1F1 + α2F2 + … + αnFn, where αi denotes the percentage of variance of the ith principal component.
ChemPattern software V2017.3 (Comayne Beijing Technology Co., Ltd., Beijing, China) and SPSS 24.0 were also used to analyze the data chemometrically. Excel 2016 and Origin 2018 software were used to collate statistics and to draw graphs for analysis of the assay data.
3. Results and Discussion
3.1. Sample Collection
According to the principle of parallel sampling, three pits were selected for mud and steel sealing, and samples were taken from each of the three pits selected. We sampled the upper, middle, and lower layers of fermented grains from each pit, and the 1st, 2nd, and 3rd segment samples of strong flavor Baijiu were obtained from distillation of each layer of fermented grains, for a total of 270 samples. For example, we use mud-sealing pits for sampling: 3 pits × 3 (upper, middle, and lower layers of fermented grains) × 3 (each layer has 1st, 2nd, and 3rd segment) × 5 (a total of five samples were taken) = 135.
3.2. Yield of Strongly Flavored Baijiu
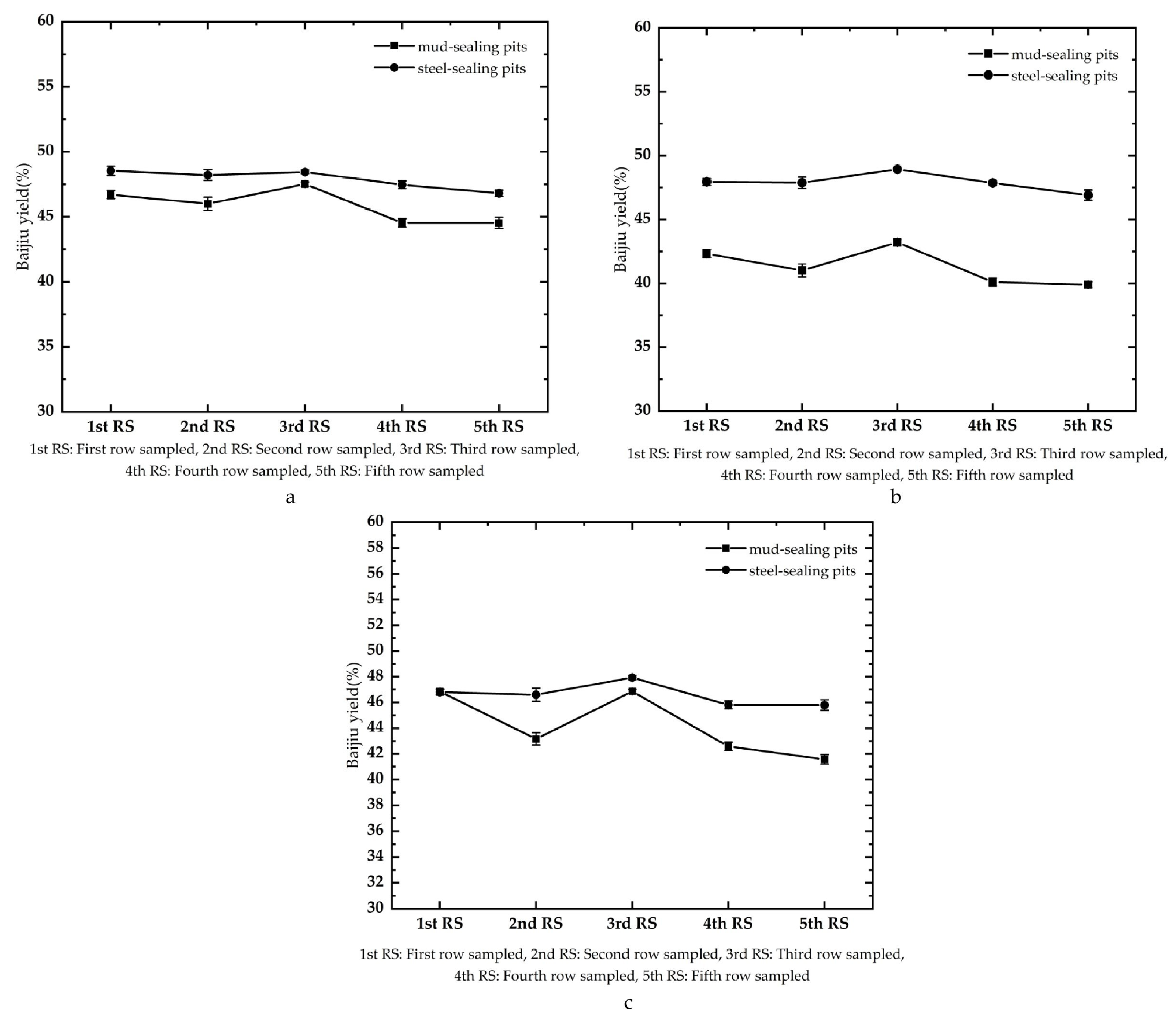
The yield in strongly flavored Baijiu from the same pit at different sampling times showed that the yield decreased from spring to autumn to winter to summer when we used either traditional or new sealed pits (Figure 4). The steel-sealing pit cap exhibited less variation in yield than the mud-sealing cap, which provided preliminary evidence of the stability of sealing with steel. In a fast-moving society, the more stable the Baijiu yield is for roughly the same quality of Baijiu, the better this is. This result indicated that the environment had little influence on the outcome. The greater stability of sealing with steel should improve the economy of the distillery operation, and this provides more theoretical relevant data for the intelligent operation of the distillery.
Figure 4.
Variation in the yield of strongly flavored Baijiu from the same pit using mud sealing or steel sealing under five sampling batches. ((a)—Pit No. 1; (b)—Pit No. 2; (c)—Pit No. 3).
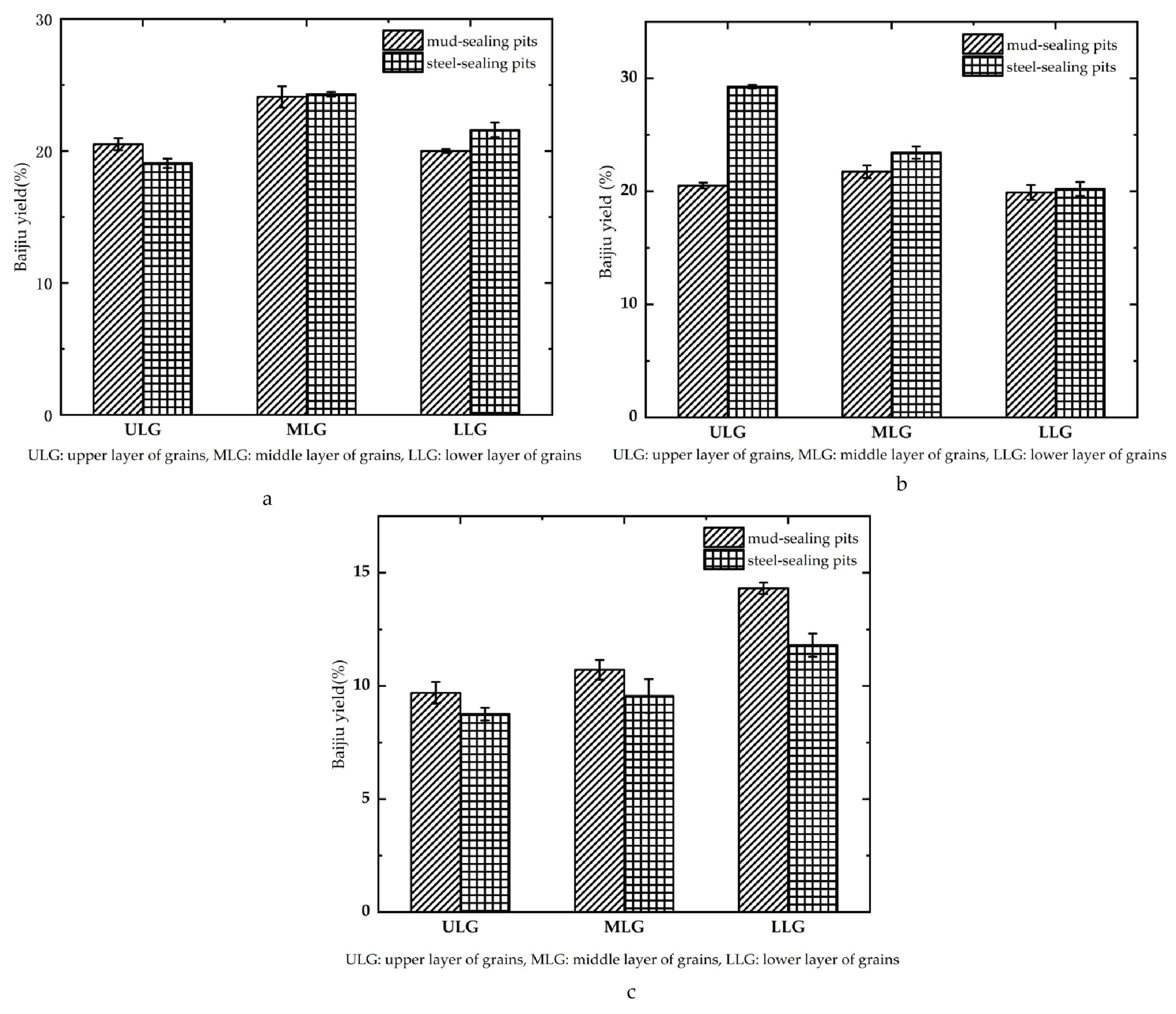
The yield from the two different forms of pit sealing (Figure 5) showed that for the first segment of Baijiu, the upper, middle, and lower lees yielded 20.00–24.10% (average 21.31%) in the mud-sealing pit, while the steel-sealing pit yielded 19.07–24.3% (average 21.61%). For the second segment, yield was 19.90–21.74% (average 20.72%) at each level of the lees in the mud-sealing pits, while 20.22–29.27% (average 24.31%) was produced in the steel-sealing pits. For the third segment, the yield of each layer of lees in the mud-sealed pit was 9.70–14.31% (average 11.58%), while the steel-sealing pit yielded 8.76–11.81% (average 10.04%). For the pits as a whole, the rate of strongly flavored Baijiu yield from the upper, middle, and lower lees in the mud-sealing pits was 37.03–45.21% (average 41.42%), while the rate of strong flavor Baijiu yield in the steel-sealing pits was 44.35–51.23% (average 48.12%).
Figure 5.
Yield of strongly flavored Baijiu from two different pit sealing methods. ((a)—1 segment of strong flavor Baijiu; (b)—2 segment of strong flavor Baijiu; (c)—3 segment of strong flavor Baijiu).
The second segment Baijiu was characterized by its high alcohol concentration and high ester concentration, and their aromas were rich, pure, and harmonious [29]. In addition, the quality of the second segment Baijiu was excellent, and for the corresponding pits with a small difference between the first segment Baijiu (0.30% difference between mud-sealing and steel-sealing pits) and the third segment Baijiu (1.54% difference), the yield of the second segment Baijiu in the steel-sealing pits (24.31%) increased compared with the second segment in the mud-sealing pits (20.72%). Overall, Baijiu quality improved.
From a comprehensive point of view, the rate of strongly flavored Baijiu production in steel-sealing pits increased in the upper and middle tiers of lees. The application of steel lids improved both quality and production of Baijiu significantly.
3.3. Analysis of Volatile Flavor Components in Strongly Flavored Baijiu Produced under Two Types of Pit Sealing Methods
3.3.1. Qualitative Analysis
The 270 strongly flavored Baijiu samples were studied qualitatively and quantitatively using GC-MS with a direct injection method. A total of 112 compounds were detected within 32 min, which included fifty-eight esters, fourteen acids, twenty-two alcohols, six aldehydes, seven ketones, and other compounds (Table 1). The analysis of the flavor compounds in the steel-sealing and the mud-sealing pits showed that there were 104 volatile flavor compounds in the mud-sealing pit and 102 volatile flavor compounds in the steel-sealing pit.
Further collation of the common and characteristic volatile compounds in the upper, middle, and lower lees in mud and steel sealing pits (Table 1) showed that the types of volatile compounds in the strongly flavored Baijiu of the mud cap pit increased from top to bottom with the fermented grain layers, and the lower layer of fermented grains had more types of compounds (Figure 6). The lower layer of fermented grains was in contact with the pit wall and the bottom of the fermentation pit. The surface of the mud pit of the cellar had more microorganisms, and more metabolites were produced in this complex microbial system. In addition, the lower layer of fermented grains was immersed under the yellow water line, and the composition of the yellow water was very complex. This composition consisted mainly of starch, polysaccharides, dextrins, proteins, some minerals, alcohols, aldehydes, acids, and esters, which can provide reasonable nutritional and material conditions for the growth of microorganisms, thus, causing the lower layer of grains to contain more flavor substances. There was no significant difference in the types and quantities of flavor compounds from different layers of fermented grains in the steel-sealing pit, probably due to the steel-sealing method, which allowed controlled internal fermentation that we observed through external monitoring.
Figure 6.
Amount of volatile flavor compounds in the different layers of fermented grains in the process of making strongly flavored Baijiu in China.
In addition, the following volatile compounds with antibacterial, analgesic, and anti-inflammatory activity were found in the middle fermented layer of grains in the steel-sealing pit: L-pyroglutamic acid methyl ester, and Cyclo (Phe-Pro) [30]. These compounds are beneficial when consumed and provide a basis for the direction of subsequent research on beneficial flavor compounds in this brand of Chinese Baijiu.
3.3.2. Further Analysis of Esters, Acids, and Alcohols in the Volatile Flavor Compounds
Esters are the main aromatic substances in strongly flavored Baijiu, with a pleasant fruity aroma, and they were dominated by ethyl caproate, ethyl acetate, ethyl lactate, and ethyl butyrate in our samples [31,32]. Esters are important substances that affect the flavor of Baijiu. Esters included ethyl acetate, ethyl caproate, ethyl lactate, ethyl butyrate, ethyl palmitate, ethyl anti oleate, ethyl valerate, ethyl heptanoate, and ethyl caproate in descending order of percentage, which conforms to the basic characteristics of strongly flavored Baijiu. The area percentage of ethyl acetate was the highest (3.66–18.53%), followed by ethyl caproate (4.34–16.57%), ethyl lactate (1.52–8.79%), ethyl butyrate (0.59–4.65%), ethyl palmitate (0.29–7.07%), ethyl trans oleate (0.03–5.73%), ethyl valerate (0.25–1.57%), ethyl heptanoate (0.11–0.96%), and ethyl octanoate (0.10–1.26%).
The following four types of alcohols were detected in all samples and accounted for a large proportion of all alcohols in this test: ethanol, n-butanol, propanol, and isobutanol. As the main component of Baijiu, ethanol concentration has an important impact on the yield of Baijiu. The following acids were detected at high levels: acetic acid, caproic acid, and butyric acid. Lactic acid, which is the precursor of ethyl lactate, was detected in a small amount in this test. It may be related to the weak volatility of lactic acid through analysis. In a future study, appropriate pretreatment methods can be selected to treat the samples to enrich the substances with weak volatility to obtain a more comprehensive detection of the flavor compounds of Baijiu.
3.3.3. Quantitative Analysis
Compared with the samples with more quantitative substances and considering that the Chinese Baijiu distillery uses single grain brewing, the volatile flavor components from single grain brewing contained fewer total esters compared with multi-grain brewing. We screened a total of 28 flavor components with higher concentration for quantitative analysis after determining the ethanol peaks; a total of 28 flavor components with a peak height >0.5% were selected for quantitative analysis, of which sixteen were esters, six were alcohols, and six were acids. The concentrations of flavor compounds in the steel-sealing pits were compared with the corresponding stratified (upper, middle, and lower) and segmented (1st, 2nd, and 3rd segments) pits in mud-sealing pits (Table 2, Table 3 and Table 4).
Alcohols are produced under aerobic conditions through the deamination of amino acids or the decarboxylation of sugars [33,34,35], most of which display a distinctive fruity flavor. In this study, six alcohols, which included n-propanol, isobutanol, n-butanol, isoamyl alcohol, n-amyl alcohol, and n-hexanol, were analyzed quantitatively in all samples. The quantitative situation is detailed in Table 2, Table 3 and Table 4.
Organic acids are the important flavor substances of strongly flavored Baijiu, and they are also the precursors of the flavor components of Baijiu. An appropriate amount of organic acids can make the Baijiu plump, harmonious, and with a long aftertaste. Among them, caproic acid, butyric acid, and acetic acid are the chromatographic skeletal components, which have obvious flavor-fixing effects in Baijiu. The corresponding esters generated by the interaction of different kinds of organic acids and alcohols constitute the main flavor substances of strongly flavored Baijiu [34]. When the concentration of these esters in all Baijiu samples was low, they exhibited a certain cheesy aroma, which increased the complexity of the aroma of strong flavor Baijiu.
Table 1.
Identification of flavor components of strongly flavored Baijiu under two pit sealing methods.
Table 1.
Identification of flavor components of strongly flavored Baijiu under two pit sealing methods.
| No. | Compounds Specific to Mud-Sealing Pits, Steel-Sealing Pits | Volatile Flavor Compounds | Descriptions [36] | |
|---|---|---|---|---|
| 1 | Acetaldehyde | Pungent, ether-like odor, fruity, coffee, wine and green aromas when diluted | ||
| 2 | 2-Propanone | Pungent, sweet and slightly aromatic | ||
| 3 | Ethyl methanoate | Fruity aroma | ||
| 4 | Ethyl acetate | Pineapple scent | ||
| 5 | Methanol | Pungent odor | ||
| 6 | 2-Methylbutyraldehyde | Asphyxiating odor | ||
| 7 | Isovaleraldehyde | Aroma of apple at high dilution, peach at concentration below 10 ppm | ||
| 8 | 2-Hydroxy-3-pentanone | |||
| 9 | Ethyl 2-methylpropanoate | |||
| 10 | Propane,1,1-diethoxy-2-methyl- | |||
| 11 | 1,1-Diethoxy-pentan | |||
| 12 | 2-Butanol | The smell of wine | ||
| 13 | Ethyl butyrate | Sweet and fruity, with notes of pineapple, banana and apple | ||
| 14 | 1-Propanol | Strong aromas of meat at low concentrations | ||
| 15 | Acetaldehyde butyl ethyl acetal | |||
| 16 | Ethyl isovalerate | Apple, mulberry aroma | ||
| 17 | Isovaleraldehyde diethyl acetal | |||
| 18 | Butyl acetate | Fruity aroma, diluted with a pineapple, banana-like aroma | ||
| 19 | Isobutanol | Alcoholic, irritating odor | ||
| 20 | Isoamyl acetate | |||
| 21 | 2-Butanol, 3-methyl | |||
| 22 | Ethyl valerate | Fruity, sourness | ||
| 23 | 1-Butanol | Jasmine, spicy flavor | ||
| 24 | Amyl acetate | Fruity scent | ||
| 25 | Methyl hexanoate | Volatile, etheric aroma, pineapple-like | ||
| 26 | 3-Methyl-1-butanol | Mixed alcoholic and spicy notes with mellow, etheric and banana aromas. | ||
| 27 | Butyl butyrate | Apple scent | ||
| 28 | 2-Hexanol | |||
| 29 | Ethyl caproate | Fruity aroma | ||
| 30 | 1-Pentanol | |||
| 31 | Isoamyl isobutyrate | |||
| 32 | 3-Hydroxy-2-butanone | Sweet, dairy aroma with a fatty, oily note | ||
| 33 | Imidazole-4-acetic acid | |||
| 34 | 1,1,3-Triethoxypropane | |||
| 35 | Pentanoic acid, butyl ester | Sweet fruity, green aromas | ||
| 36 | Caproic acid propyl ester | Elegant aromas of pineapple and blackberry undertones | ||
| 37 | (S)-(+)-2-Heptanol | |||
| 38 | Ethyl heptanoate | Fruity, green, waxy, Cornish | ||
| 39 | Ethyl L(-)-lactate | Sweet, tart and fruity aroma | ||
| 40 | 1-Hexanol | |||
| 41 | Methyl 2-hydroxyisobutyrate | |||
| 42 | Hexanoic acid butyl ester | Elegant aromas of pineapple and apple | ||
| 43 | Hexyl butyrate | Green, waxy, and fruity, with a characteristic aroma of almond fruit | ||
| 44 | 3-Methyl-2-butanol | |||
| 45 | Ethyl caprylate | Waxy aroma, musty aroma, fruity apricot-like aroma, creamy aroma, milk aroma, sweet wine aroma | ||
| 46 | Hexyl acetate | Green, sweet and fruity aromas with hints of appleand banana peel | ||
| 47 | Ethylidene diacetate | |||
| 48 | 1-Hydroxy | Fresh, light, oily aroma with wine notes and a spicy flavor | ||
| 49 | Acetic acid glacial | Irritating odor | ||
| 50 | Furfural | Special scent | ||
| 51 | DL leucine ethyl ester | |||
| 52 | Butyl lactate | Slightly smelly | ||
| 53 | Ethyl nonanoate | Fruity, waxy, estery and green aromas | ||
| 54 | Isoamyl lactate | |||
| 55 | Isobutyric acid | Pungent odor | ||
| 56 | (S)-(+)-1,2-Propanediol | |||
| 57 | Hexyl hexanoate | Green, waxy, herbal and tropical fruit and berry aromas. | ||
| 58 | Octanoic acid, butylester | |||
| 59 | Propionic acid | Irritating odor | ||
| 60 | Butyric acid | Putrid sour smell | ||
| 61 | Ethyl caprate | Aromas of grapes, Cornish wine | ||
| 62 | Phenylacetaldehyde | Hyacinth aroma | ||
| 63 | Furfuryl alcohol | Special smell and bitter spicy taste | ||
| 64 | Isovaleric acid | Pungent sour odor, with the aroma of cheese, dairy products and fruits after dilution | ||
| 65 | Heptyl formate | Floral and fruity aromas | ||
| 66 | (2,2-Diethoxyethyl)-Benzene | |||
| 67 | 2-Ethylbutyric acid | Sour, musty odor | ||
| 68 | Ethyl phenylacetate | Floral, fruity, powdery, woody, animal, cocoa | ||
| 69 | Hexyl caprylate | Fruity, green, waxy, ester | ||
| 70 | Phenethyl acetate | Rose aroma with dense sweet undertones | ||
| 71 | Ethyl dodecanoate | Gentle fragrance | ||
| 72 | Hexanoic acid | Sweat, cheese, sourness | ||
| 73 | Heptanoic acid | Fermented, waxy and fruity aromas | ||
| 74 | Octanoic acid | Sweat odor | ||
| 75 | Valeric acid | Sweat, cheese, sourness | ||
| 76 | Cyclopentadecanolide | |||
| 77 | 9-Ethyl oxynicotinate | |||
| 78 | Pentadecanoic acid,ethyl ester | |||
| 79 | 2-Pentadecanone,6,10,14-trimethyl | |||
| 80 | 9-Hexadecenoic acid,ethyl ester | |||
| 81 | 9,9-Diethoxynonanoic acid ethyl ester | |||
| 82 | Hexadecanoic acid ethyl ester | |||
| 83 | Ethyl 3-phenylpropionate | |||
| 84 | Ethyl 12-oxododecanoate | |||
| 85 | 2-Phenylethanol | Rose fragrance | ||
| 86 | 9-Hexadecenoic acid | |||
| 87 | 2-[[(9Z,12Z)-9,12-Octadecadienyl]oxy]ethanol | |||
| 88 | Heptadecanoic acid,ethyl ester | |||
| 89 | Methyl (7Z)-7-hexadecenoate | |||
| 90 | Ethyl myristate | |||
| 91 | Octadecanoic acid,ethyl ester | |||
| 92 | Ethyl oleate | Floral, fruity and oily aromas | ||
| 93 | Ethyl linoleate | |||
| 94 | 5,8,11,14-Eicosatetraenoicacid | |||
| 95 | Ethyl alpha-linolenate | |||
| 96 | Methyl linolenate | |||
| 97 | Hexadecanoic acid | |||
| 98 | 2-Butanol | |||
| 99 | 2-Heptanol | |||
| 100 | Heptyl heptanoate | |||
| 101 | Methyl L-pyroglutamate | |||
| 102 | 3-Isobutyl-2,3,6,7,8,8a-hexahydrOpyrrolopyrazine-1,4-dione | |||
| 103 | Diethyl succinate | |||
| 104 | Isobutyl hexanoate | Sweet fruity, green and waxy aromas | ||
| 105 | Heptanol | Fresh, lightly oily aroma with hints of wine and a spicy flavor | ||
| 106 | 2-Hexadecanol | |||
| 107 | 2-Thiapropane | |||
| 108 | Hexadecanoic acid, butyl ester | |||
| 109 | Cyclo(Phe-Pro) | |||
| 110 | 5-Methyl-2-heptanone | |||
| 111 | Methyl trans linoleic acid ester | |||
| 112 | L(+)-Lactic acid | |||
The compounds in the table are sorted in the order of peak appearance. The colors in the table above each represent the following: Blue: Specific compounds of mud-sealing pit in the upper layer of fermented grains. Green: Specific compounds of steel-sealing pit in the upper layer of fermented grains. Brown: Specific compounds of mud-sealing pit in the middle layer of fermented grains. Grey: Specific compounds of steel-sealing pit in the middle layer of fermented grains. Purple: Specific compounds of mud-sealing pit in the lower layer of fermented grains. Orange: Specific compounds of steel-sealing pit in the lower layer of fermented grains. White: The compounds contained in the upper, middle, and lower fermented grains that corresponded to the mud-sealing pit and the steel-sealing pit.
Table 2.
The concentration of flavor compounds in the upper, middle, and lower layers of the first segment of strongly flavored Baijiu in the pit under two pit sealing methods.
Table 2.
The concentration of flavor compounds in the upper, middle, and lower layers of the first segment of strongly flavored Baijiu in the pit under two pit sealing methods.
| Flavor Substances | Flavor Substance Concentration/(mg·L−1) | |||||
|---|---|---|---|---|---|---|
| Upper Fermented Layers of Grain | Middle Fermented Layers of Grain | Lower Fermented Layers of Grain | ||||
| MSP-U | SSP-U | MSP-M | SSP-M | MSP-L | SSP-L | |
| Ethyl methanoate | 235.08 ± 94.66 b | 459.76 ± 160.27 a | 210.18 ± 114.29 a | 402.28 ± 157.81 a | 207.08 ± 122.88 a | 224.87 ± 108.87 a |
| Ethyl acetate | 1812.1 ± 223.84 b | 2460.59 ± 223.35 a | 2682.33 ± 1107.97b | 2840.74 ± 295.97 a | 2774.64 ± 1005.81 a | 2795.56 ± 585.39 a |
| Ethyl butyrate | 487.92 ± 262.35 a | 593.7 ± 154.07 a | 530.99 ± 440.44 a | 614.29 ± 228.29 a | 620.86 ± 531.88 a | 685.86 ± 251.58 a |
| 1-Propanol | 487.67 ± 255.75 a | 695.46 ± 330.64 a | 467.59 ± 284.17 a | 1232.77 ± 559.95 a | 612.69 ± 300.90 a | 1482.69 ± 720.01 a |
| Isobutanol | 184.2 ± 123.96 a | 175.86 ± 94.34 a | 166.15 ± 121.18 a | 206.52 ± 94.86 a | 179.86 ± 111.97 a | 185.29 ± 72.20 a |
| Isoamyl acetate | 15.9 ± 13.64 a | 16.73 ± 15.12 a | 19.91 ± 14.79 a | 23.79 ± 14.68 a | 20.51 ± 13.93 a | 19.25 ± 17.82 a |
| Ethyl valerate | 179.43 ± 89.42 a | 235.58 ± 80.32 a | 215.82 ± 136.95 a | 297.52 ± 114.66 a | 333.7 ± 280.75 b | 408.28 ± 143.84 a |
| 1-Butanol | 496.08 ± 365.32 a | 387.54 ± 250.84 a | 443.94 ± 252.79 a | 647.92 ± 193.42 a | 528.92 ± 194.01 a | 970.99 ± 429.79 a |
| 3-Methyl-1-butanol | 457.33 ± 230.13 a | 301.37 ± 20.68 a | 418.17 ± 179.38 a | 457.01 ± 109.57 a | 459.55 ± 178.81 a | 451.23 ± 236.07 b |
| Ethyl caproate | 2806.73 ± 790.85 a | 2091.37 ± 678.98 a | 2311.41 ± 826.22 a | 2230.49 ± 537.40 a | 2250.15 ± 1245.53 a | 3350.5 ± 706.54 a |
| 1-Pentanol | 26.92 ± 22.77 a | 14.7 ± 11.53 a | 24.78 ± 15.11 b | 28.79 ± 10.15 a | 30.3 ± 12.57 a | 57.9 ± 23.43 a |
| Caproic acid propyl ester | 4.49 ± 3.25 a | 2.72 ± 2.07 a | 4.37 ± 3.27 a | 6.45 ± 3.64 a | 6.88 ± 5.68 a | 11.66 ± 4.72 a |
| Ethyl heptanoate | 133.01 ± 70.94 a | 104.32 ± 37.16 a | 106.9 ± 35.15 a | 129.11 ± 49.92 a | 166.33 ± 127.38 a | 250.86 ± 63.04 a |
| Ethyl L(-)-lactate | 698.37 ± 166.02 b | 889.84 ± 262.05 a | 821.9 ± 270.35 a | 1041.07 ± 240.47 a | 800.14 ± 262.51 a | 1159.62 ± 572.36 a |
| 1-Hexanol | 115.9 ± 92.00 a | 48.07 ± 27.13 a | 102.79 ± 66.56 a | 109.19 ± 27.98 a | 117.42 ± 57.81 a | 222.91 ± 32.37 a |
| Hexanoic acid butyl ester | 46.65 ± 43.72 a | 13.05 ± 7.96 a | 33.22 ± 19.95 a | 34.55 ± 18.97 a | 55.29 ± 60.12 a | 72.08 ± 27.32 a |
| Hexyl butyrate | 20.86 ± 51.43 a | 2.26 ± 2.13 a | 13 ± 30.19 a | 6.12 ± 4.24 a | 10.52 ± 27.23 a | 9.38 ± 4.15 a |
| Ethyl caprylate | 70.19 ± 50.17 a | 46.78 ± 24.12 a | 49.82 ± 16.21 b | 65.58 ± 26.25 a | 56.82 ± 19.46 a | 101.9 ± 30.50 a |
| Acetic acid glacial | 613.8 ± 253.58 a | 393.59 ± 133.25 a | 569.14 ± 260.46 a | 514.43 ± 140.11 a | 574.06 ± 209.52 a | 723.9 ± 333.80 a |
| Propionic acid | 3.61 ± 6.46 a | 2.01 ± 5.01 a | 4.57 ± 5.43 a | 7.83 ± 11.86 a | 6.79 ± 6.36 a | 11.28 ± 16.79 a |
| Butyric acid | 197.26 ± 137.90 a | 94.28 ± 48.82 a | 238.03 ± 229.72 a | 166.7 ± 144.17 a | 227.31 ± 180.59 a | 538.13 ± 315.81 a |
| Ethyl phenylacetate | 2.66 ± 7.69 a | 0.25 ± 0.32 a | 5.09 ± 16.06 a | 0.22 ± 0.59 a | 1.63 ± 3.07 a | 1.1 ± 1.11 a |
| Hexanoic acid | 121.47 ± 76.72 a | 69.2 ± 54.61 a | 115.84 ± 86.22 a | 116.15 ± 115.78 a | 118.64 ± 76.84 a | 508.84 ± 298.93 a |
| Heptanoic acid | 3.77 ± 7.54 a | 1.43 ± 2.70 a | 1.79 ± 2.30 a | 2.63 ± 4.66 a | 2.09 ± 2.20 a | 10.35 ± 11.70 a |
| Ethyl myristate | 62.89 ± 127.36 a | 8.72 ± 7.65 a | 114.87 ± 301.70 a | 12.06 ± 9.52 a | 64.62 ± 130.19 a | 7.32 ± 6.27 a |
| Octanoic acid | 14.36 ± 24.04 a | 6.73 ± 11.15 a | 4.9 ± 6.65 b | 10.62 ± 15.82 a | 5.89 ± 5.70 a | 14.63 ± 15.21 a |
| Ethyl hexadecanoate | 94.04 ± 135.03 a | 100.18 ± 103.25 a | 72.32 ± 117.70 a | 291.71 ± 324.12 a | 74.6 ± 109.84 a | 122.58 ± 178.81 a |
| Ethyl linoleate | 282.67 ± 219.41 a | 322.93 ± 238.47 a | 255.41 ± 222.77 a | 637.44 ± 467.96 a | 359.73 ± 324.58 a | 312.84 ± 238.30 a |
Values are means ± SD. Within the same fermented layers of grain, the different letters (a,b) in the same row indicate the values are significantly different (p ≤ 0.05) (MSP-U and SSP-U; MSP-M and SSP-M; MSP-L and SSP-L). MSP: mud-sealing pits, SSP: steel-sealing pits; U: upper layer of fermentation grains, M: middle layer of fermentation grains, L: lower layer of fermentation grains.
Table 3.
The concentration of flavor compounds in the upper, middle, and lower layers of the second segment of strongly flavored Baijiu in the pit under two pit sealing methods.
Table 3.
The concentration of flavor compounds in the upper, middle, and lower layers of the second segment of strongly flavored Baijiu in the pit under two pit sealing methods.
| Flavor Substances | Flavor Substance Concentration (mg·L−1) | |||||
|---|---|---|---|---|---|---|
| Upper Fermented Layers of Grain | Middle Fermented Layers of Grain | Lower Fermented Layers of Grain | ||||
| MSP-U | SSP-U | MSP-M | SSP-M | MSP-L | SSP-L | |
| Ethyl methanoate | 71.03 ± 36.90 a | 153.65 ± 78.64 a | 70.44 ± 33.68 a | 114.28 ± 26.39 a | 71.23 ± 29.80 a | 123.05 ± 35.46 a |
| Ethyl acetate | 999.44 ± 375.79 b | 2330.36 ± 399.78 a | 1410.46 ± 268.49 a | 1711.45 ± 163.05 a | 1625.14 ± 391.32 a | 2082.55 ± 287.88 a |
| Ethyl butyrate | 153.53 ± 108.87 a | 241.96 ± 105.75 a | 151.85 ± 68.44 a | 243 ± 87.13 a | 196.89 ± 93.52 a | 402.86 ± 112.21 a |
| 1-Propanol | 341.22 ± 193.66 a | 659.21 ± 369.21 a | 340.63 ± 191.69 b | 1016.33 ± 481.07 a | 469.38 ± 177.48 a | 1202.15 ± 432.57 a |
| Isobutanol | 96.5 ± 75.83 a | 97.4 ± 51.01 a | 80.28 ± 55.70 a | 111.07 ± 51.01 a | 99.41 ± 61.61 a | 127.57 ± 50.69 a |
| Isoamyl acetate | 8.21 ± 6.81 a | 10.46 ± 7.14 a | 7.79 ± 6.11 a | 6.71 ± 4.37 a | 11.69 ± 12.40 a | 7.62 ± 5.19 a |
| Ethyl valerate | 74.92 ± 57.86 b | 139.75 ± 60.19 a | 88.31 ± 47.28 a | 144.5 ± 63.79 a | 134.61 ± 64.47 a | 286.59 ± 92.00 a |
| 1-Butanol | 400.72 ± 320.88 a | 382.45 ± 206.92 a | 387.6 ± 286.48 a | 579.2 ± 155.23 a | 483.57 ± 247.42 a | 855.96 ± 238.19 a |
| 3-Methyl-1-butanol | 362.9 ± 205.83 a | 312.22 ± 157.90 a | 340.95 ± 192.15 a | 376.7 ± 93.57 a | 368.99 ± 181.08 a | 413.29 ± 136.30 a |
| Ethyl caproate | 1666.63 ± 551.24 a | 1345.67 ± 662.87 a | 1875.86 ± 681.75 a | 1269.1 ± 319.82 a | 2231.09 ± 1083.01 a | 2651.09 ± 649.99 a |
| 1-Pentanol | 21.35 ± 16.66 a | 14.92 ± 10.17 a | 21.18 ± 14.72 a | 29.27 ± 10.18 a | 28.99 ± 13.60 a | 51.33 ± 9.22 a |
| Caproic acid propyl ester | 1.51 ± 1.73 a | 1.39 ± 1.12 a | 1.61 ± 1.35 a | 3.73 ± 3.22 a | 3.44 ± 2.56 a | 7.71 ± 2.37 a |
| Ethyl heptanoate | 57.95 ± 47.71 a | 56.22 ± 24.48 a | 51.82 ± 21.13 a | 65.99 ± 31.50 a | 92.61 ± 64.03 a | 183.83 ± 72.35 a |
| Ethyl L(-)-lactate | 1359.5 ± 452.66b | 1462.16 ± 490.25 a | 1495.8 ± 410.03 a | 1844.52 ± 338.16 a | 1504.32 ± 489.43 b | 2008.2 ± 256.74 a |
| 1-Hexanol | 117.51 ± 103.84 a | 73.23 ± 43.14 a | 117.26 ± 93.38 a | 144.95 ± 52.89 a | 139.59 ± 94.40 a | 244.64 ± 39.02 a |
| Hexanoic acid butyl ester | 15.19 ± 14.05 a | 6.4 ± 3.21 a | 14.02 ± 8.89 a | 16.62 ± 11.87 a | 30.89 ± 31.05 a | 57.74 ± 21.92 a |
| Hexyl butyrate | 7.79 ± 15.21 a | 0.57 ± 0.35 a | 5.93 ± 2.31 a | 2.95 ± 2.61 a | 4.76 ± 10.67 a | 3.4 ± 3.29 a |
| Ethyl caprylate | 27.34 ± 14.92 a | 24.26 ± 10.92 a | 27.16 ± 16.75 a | 31.31 ± 18.78 a | 43.78 ± 30.29 a | 74.38 ± 28.54 a |
| Acetic acid glacial | 554.36 ± 165.33 a | 459.66 ± 149.95 a | 572.94 ± 153.13 b | 650.8 ± 132.11 a | 573.73 ± 114.71 a | 789.84 ± 206.79 a |
| Propionic acid | 15.04 ± 16.58 a | 4.65 ± 3.11 a | 19.63 ± 18.06 a | 12.57 ± 15.23 a | 22.35 ± 18.44 a | 10.16 ± 10.78 a |
| Butyric acid | 171.91 ± 127.64 a | 70.78 ± 35.55 a | 210.31 ± 166.83 a | 246.54 ± 214.47 a | 335.86 ± 252.56 a | 606.57 ± 211.58 a |
| Ethyl phenylacetate | 0.86 ± 1.34 a | 1.06 ± 2.01 a | 1.09 ± 1.65 a | 0.67 ± 1.19 a | 1.3 ± 1.70 a | 0.88 ± 1.30 a |
| Hexanoic acid | 131.32 ± 137.83 a | 27.86 ± 36.37 a | 118.3 ± 86.30 a | 166.11 ± 142.20 a | 225.5 ± 213.02 a | 546.31 ± 160.21 a |
| Heptanoic acid | 1.94 ± 3.19 a | 0.15 ± 0.52 a | 1.4 ± 1.21 a | 1.91 ± 3.20 a | 4.11 ± 2.65 a | 8.91 ± 7.78 a |
| Ethyl myristate | 5.14 ± 3.21 a | 1.8 ± 1.18 a | 6.12 ± 11.60 a | 1.38 ± 1.02 a | 5.03 ± 3.25 a | 1.05 ± 1.16 a |
| Octanoic acid | 4.4 ± 63.22 a | 0.74 ± 1.28 a | 2.92 ± 3.27 a | 2.79 ± 3.36 a | 5.04 ± 2.22 a | 10.39 ± 9.08 a |
| Ethyl hexadecanoate | 15.65 ± 22.58 a | 25.64 ± 25.66 a | 14.19 ± 18.79 a | 23.22 ± 22.10 a | 16.18 ± 22.82 b | 17.29 ± 18.80 a |
| Ethyl linoleate | 37.32 ± 24.67 a | 41.37 ± 23.08 a | 31.42 ± 21.40 a | 45.15 ± 16.51 a | 35.46 ± 23.85 a | 40.24 ± 16.88 a |
Values are means ± SD. Within the same fermented layers of grain, the different letters (a,b) in the same row indicate the values are significantly different (p ≤ 0.05) (MSP-U and SSP-U; MSP-M and SSP-M; MSP-L and SSP-L). MSP: mud-sealing pits, SSP: steel-sealing pits; U: upper layer of fermentation grains, M: middle layer of fermentation grains, L: lower layer of fermentation grains.
Table 4.
The concentration of flavor compounds in the upper, middle, and lower layers of the third segment of strongly flavored Baijiu in the pit under two pit sealing methods.
Table 4.
The concentration of flavor compounds in the upper, middle, and lower layers of the third segment of strongly flavored Baijiu in the pit under two pit sealing methods.
| Flavor Substances | Flavor Substance Concentration (mg·L−1) | |||||
|---|---|---|---|---|---|---|
| Upper Fermented Layers of Grain | Middle Fermented Layers of Grain | Lower Fermented Layers of Grain | ||||
| MSP-U | SSP-U | MSP-M | SSP-M | MSP-L | SSP-L | |
| Ethyl methanoate | 16.09 ± 16.37 a | 15.73 ± 12.02 a | 16.75 ± 12.32 a | 21.62 ± 19.52 a | 19.31 ± 16.24 a | 23.79 ± 21.03 a |
| Ethyl acetate | 226.64 ± 99.49 b | 421.03 ± 139.23 a | 522 ± 193.52 a | 481.92 ± 96.07 a | 645.09 ± 202.73 a | 672.14 ± 131.17 a |
| Ethyl butyrate | 48.52 ± 28.48 a | 42.49 ± 27.37 a | 55 ± 26.82 a | 77.64 ± 41.53 a | 75.72 ± 37.57 a | 156.69 ± 64.26 a |
| 1-Propanol | 213.58 ± 113.31 a | 404.09 ± 193.22 a | 193.76 ± 115.14 a | 635.73 ± 320.90 a | 285.78 ± 117.20 a | 877.9 ± 404.97 a |
| Isobutanol | 39.38 ± 35.98 a | 35.55 ± 22.26 a | 26.29 ± 9.03 a | 40.5 ± 22.06 a | 43.27 ± 34.75 a | 59.81 ± 30.84 a |
| Isoamyl acetate | 2.65 ± 2.81 a | 2.77 ± 3.22 a | 2.62 ± 1.32 b | 3.94 ± 3.00 a | 3.04 ± 2.65 a | 4.38 ± 3.44 a |
| Ethyl valerate | 32.36 ± 24.54 a | 38.41 ± 24.32 a | 44.17 ± 26.56 a | 55.62 ± 27.94 a | 60.19 ± 30.55 b | 122.29 ± 47.98 a |
| 1-Butanol | 249.67 ± 209.21 a | 250.4 ± 130.12 a | 238.58 ± 190.40 a | 356.75 ± 113.81 a | 306.03 ± 188.72 a | 541.3 ± 184.70 a |
| 3-Methyl-1-butanol | 199.22 ± 125.42 a | 195.4 ± 57.62 a | 190.19 ± 128.97 a | 208.92 ± 63.11 a | 214.53 ± 125.64 a | 247.12 ± 73.97 a |
| Ethyl caproate | 905.53 ± 346.18 a | 484.1 ± 149.54 a | 1012.77 ± 281.10 a | 648.4 ± 220.26 a | 1265.07 ± 541.02 a | 1570.82 ± 365.85 a |
| 1-Pentanol | 13.74 ± 10.48 a | 13.18 ± 5.02 a | 13.79 ± 10.08 b | 19.28 ± 6.20 a | 19.5 ± 10.88 a | 37.15 ± 7.31 a |
| Caproic acid propyl ester | 0.73 ± 1.08 a | 0.53 ± 0.24 a | 0.74 ± 0.54 a | 1.49 ± 1.33 a | 1.66 ± 1.33 a | 4.17 ± 1.75 a |
| Ethyl heptanoate | 32.51 ± 27.14 a | 26.38 ± 11.54 a | 30.95 ± 13.82 a | 34.45 ± 12.33 a | 59.17 ± 45.12 a | 115.49 ± 47.20 a |
| Ethyl L(-)-lactate | 2648.81 ± 1229.76 a | 2940.37 ± 628.09 a | 2842.17 ± 933.37 a | 2920.39 ± 552.66 a | 2521.66 ± 864.35 a | 2616.47 ± 383.57 a |
| 1-Hexanol | 92.78 ± 81.72 a | 91.24 ± 33.48 b | 93.33 ± 77.25 b | 116.73 ± 31.10 a | 117.48 ± 92.38 a | 192.08 ± 65.62 a |
| Hexanoic acid butyl ester | 13.12 ± 13.55 a | 4.32 ± 2.46 a | 11.95 ± 7.32 a | 11.38 ± 5.00 a | 22.94 ± 20.95 a | 41.43 ± 12.75 a |
| Hexyl butyrate | 23.36 ± 16.25 a | 0 ± 0.00 a | 19.11 ± 8.65 a | 0.43 ± 1.15 a | 17.32 ± 10.25 a | 1.82 ± 1.58 a |
| Ethyl caprylate | 29.04 ± 26.32 a | 17.01 ± 6.20 a | 27.73 ± 21.94 a | 20.69 ± 8.05 a | 56.31 ± 36.21 a | 55.46 ± 20.42 a |
| Acetic acid glacial | 734.36 ± 241.57 a | 693.69 ± 142.03 a | 808.87 ± 257.65 a | 899.4 ± 228.82 a | 745.66 ± 218.01 a | 958.74 ± 222.63 a |
| Propionic acid | 24.52 ± 12.32 a | 11.03 ± 25.44 a | 24.99 ± 20.21 a | 17.77 ± 35.31 a | 26.54 ± 21.02 a | 24.74 ± 19.67 a |
| Butyric acid | 347.55 ± 272.00 a | 172.21 ± 59.24 a | 454.97 ± 437.84 a | 401.59 ± 319.99 a | 625.4 ± 236.27 a | 848.57 ± 237.99 a |
| Ethyl phenylacetate | 2.3 ± 2.95 a | 1.51 ± 1.20 a | 2.51 ± 1.35 a | 1.29 ± 1.02 a | 2.31 ± 2.01 a | 1.67 ± 1.06 a |
| Hexanoic acid | 235.35 ± 210.98 a | 112.99 ± 41.17 a | 253.99 ± 175.17 a | 259.1 ± 177.62 a | 345.06 ± 269.05 a | 779.06 ± 172.83 a |
| Heptanoic acid | 4.85 ± 4.25 a | 1.35 ± 1.20 a | 3.84 ± 3.59 a | 2.89 ± 2.70 a | 7.51 ± 11.84 a | 13.04 ± 9.55 a |
| Ethyl myristate | 6.88 ± 2.52 a | 2.32 ± 2.01 a | 8.38 ± 2.68 a | 2.32 ± 1.12 a | 6.95 ± 2.68 a | 1.74 ± 0.89 a |
| Octanoic acid | 9.12 ± 5.21 a | 1.63 ± 1.00 a | 7.02 ± 7.28 a | 3.59 ± 2.21 a | 9.91 ± 8.47 a | 15.97 ± 12.25 a |
| Ethyl hexadecanoate | 22.01 ± 2.23 b | 30.1 ± 25.61 a | 28.14 ± 33.73 a | 29.49 ± 25.03 a | 25.69 ± 19.66 b | 33.51 ± 30.27 a |
| Ethyl linoleate | 37.18 ± 21.02 a | 42.76 ± 6.72 a | 42.7 ± 30.88 a | 44.43 ± 7.46 a | 40.53 ± 28.81 a | 47.06 ± 17.54 a |
Values are means ± SD. Within the same fermented layers of grain, the different letters (a,b) in the same row indicate the values are significantly different (p ≤ 0.05) (MSP-U and SSP-U; MSP-M and SSP-M; MSP-L and SSP-L). MSP: mud-sealing pits, SSP: steel-sealing pits; U: upper layer of fermentation grains, M: middle layer of fermentation grains, L: lower layer of fermentation grains.
The comparison of the four major esters and three major acids of Baijiu in the 1st, 2nd, and 3rd segment of the upper, middle, and lower layers of fermented grains (Table 5 and Table 6) is as follows:
Table 5.
Concentration of four major esters in different fermented layers of grain under two pit sealing methods.
Table 6.
Concentration of three major acids in different layers of fermented grain under two pit sealing methods.
For the distilling segment of the upper layer of fermented grains, the concentration of each of hexanoic acid, butyric acid, and acetic acid in the traditional mud pit sealing method was higher than that under the steel pit sealing method. Except for ethyl hexanoate, the total concentration of each of ethyl lactate, ethyl butyrate, and ethyl acetate was lower than that of the strongly flavored Baijiu under the steel pit sealing method. The possible reason for these results was that the upper layer of fermented grains had greater contact with the sealing mud under the mud sealing method, which resulted in a higher concentration of acid substances required for the later synthesis of esters compared with the steel sealing method.
For the middle layer of fermented grains, the concentration of caproic acid and acetic acid under the steel pit sealing method was higher than that under the traditional mud pit sealing method, and the total concentration of ethyl lactate, ethyl caproate, ethyl butyrate, and ethyl acetate was higher than that under the traditional pit sealing method. The fermentation of the middle layer of fermented grains in the pit was better than that of the upper layer of fermented grains, which may have been due to the better sealing performance under the steel pit sealing method.
For the distilling segment of the lower fermented grains, the concentration of acetic acid, butyric acid, caproic acid, ethyl acetate, ethyl caproate, ethyl lactate, and ethyl butyrate under the steel pit sealing method was each higher than those under the traditional mud pit sealing method. Over time, the advantages of the steel pit sealing method became apparent because it had better sealing performance inside the pit and was less prone to pollution, which resulted in a relatively higher concentration of esters.
3.4. Differentiation of Strongly Flavored Baijiu with Two Different Pit Sealing Methods by HCA
HCA is a technique for natural aggregation of research objects by similarity, an unsupervised pattern recognition method, and a statistical analysis technique for classifying research objects into relatively homogeneous groups [37,38]. In this experiment, 28 volatile compounds with an area percentage > 0.5% were selected, and their concentrations were used as a variable to standardize the data. The strongly flavored Baijiu with the 1st, 2nd, and 3rd segment of the two sealing methods in the upper, middle, and lower strong flavor Baijiu were clustered into two categories, with the mud-sealing Baijiu samples divided into one category and the steel-sealing Baijiu samples clustered into another category (Figure 7). The differences between the sealing methods indicated that the clustering analysis differentiated the strongly flavored Baijiu produced by the different sealing methods and that the 28 quantitative substances selected were correct. However, the HCA method did not fully cluster the same batch of Baijiu together. For example, MGT 141, MGT 241, and MGT 341 were divided into two clusters in the top lees of the Baijiu sample. A possible reason for this is that the mud-sealing pit was not stable due to external influences during the brewing process.
Figure 7.
Clustering analysis of strongly flavored Baijiu with different pit sealing methods. ((a)—1 segment strong flavor Baijiu; (b)—2 segment strong flavor Baijiu; (c)—3 segment strong flavor Baijiu; The names of the letters in the above picture mean: initial “M” for mud-sealing pit, initial “S” for steel-sealing pit).
3.5. Analysis of PCA Scores for Two Types of Pit Sealing Methods
PCA is a multivariate statistical analysis method in which multiple variables are transformed linearly in an unsupervised mode to select a smaller number of significant variables [39,40]. Using SPSS 23.0, PCA was performed on 28 volatile compounds of strong flavor Baijiu to extract data with eigenvalues > 1, and the original information was reduced to seven principal components. The variance contributions of F1, F2, F3, F4, F5, F6, and F7 were 30.433%, 15.441%, 11.520%, 5.452%, 4.984%, 4.413%, and 3.737%, respectively, with a cumulative variance contribution of 75.979% (Table 7). This indicated that these seven principal components explained 75.979% of the 28 variables. Taking the first seven principal components for analysis was feasible due to the large sample size and the cumulative contribution that was close to 80%, which ensured that the condensed composite variables were representative of most of the data. The 28 original variables of strong flavor base Baijiu with different pit sealing methods (ethyl valerate, ethyl heptate, propyl caproate… ethyl lactate, and propionic acid are denoted as X1, X2, X3 … X27, X28, respectively) had a linear relationship with each principal component. Table 8 shows the coefficients of the relationships between each variable and the principal components, and the linear equations for the seven principal components and variables are as follows:
| F1 = 0.299X1 + 0.293X2 + 0.287X3 + 0.282X4 + 0.268X5 + 0.237X6 + 0.234X7 + 0.234X8 + 0.233X9 + 0.226X10 + 0.215X11 + 0.212X12 + 0.202X13 + 0.202X14 + 0.190X15 + 0.086X16 − 0.006X17 + 0.123X18 − 0.052X19 − 0.044X20 + 0.087X21 − 0.022X22 + 0.137X23 + 0.119X24 + 0.161X25 + 0.068X26 − 0.090X27 − 0.060X28 |
| F2 = 0.009X1 + 0.092X2 + 0.147X3 − 0.077X4 − 0.194X5 − 0.220X6 + 0.167X7 − 0.022X8 + 0.120X9 + 0.206X10 + 0.049X11 − 0.197X12 + 0.083X13 − 0.195X14 − 0.172X15 + 0.399X16 + 0.314X17 + 0.293X18 + 0.283X19 + 0.096X20 + 0.023X21 + 0.028X22 + 0.261X23 − 0.095X24 − 0.169X25 + 0.227X26 + 0.236X27 + 0.175X28 |
| F3 = 0.145X1 + 0.097X2 + 0.051X3 + 0.143X4 + 0.070X5 + 0.096X6 + 0.213X7 + 0.132X8 − 0.238X9 − 0.203X10 − 0.108X11 − 0.050X12 − 0.007X13 + 0.041X14 − 0.261X15 − 0.063X16 + 0.140X17 + 0.051X18 − 0.021X19 + 0.445X20 + 0.430X21 + 0.382X22 − 0.309X23 − 0.142X24 − 0.066X25 − 0.100X26 + 0.038X27 + 0.017X28 |
| F4 = −0.138X1 − 0.007X2 − 0.040X3 − 0.174X4 − 0.070X5 + 0.008X6 + 0.037X7 + 0.133X8 + 0.018X9 − 0.029X10 + 0.018X11 − 0.345X12 + 0.096X13 − 0.126X14 − 0.079X15 − 0.059X16 + 0.121X17 − 0.030X18 − 0.227X19 + 0.088X20 + 0.030X21 + 0.202X22 + 0.040X23 + 0.584X24 + 0.431X25 + 0.284X26 − 0.200X27 + 0.073X28 |
| F5 = −0.005X1 + 0.030X2 − 0.005X3 − 0.132X4 − 0.074X5 − 0.113X6 + 0.127X7 − 0.169X8 + 0.321X9 + 0.253X10 + 0.060X11 − 0.085X12 + 0.131X13 − 0.090X14 + 0.188X15 − 0.229X16 − 0.001X17 − 0.267X18 − 0.313X19 + 0.154X20 + 0.103X21 + 0.293X22 + 0.252X23 + 0.054X24 − 0.226X25 − 0.42X26 + 0.203X27 + 0.007X28 |
| F6 = 0.065X1 + 0.006X2 + 0.002X3 + 0.012X4 + 0.066X5 + 0.019X6 − 0.058X7 − 0.275X8 − 0.060X9 − 0.072X10 + 0.078X11 + 0.001X12 − 0.154X13 + 0.273X14 + 0.087X15 − 0.009X16 − 0.174X17 + 0.186X18 + 0.120X19 + 0.030X20 + 0.077X21 − 0.040X22 − 0.063X23 + 0.280X24 + 0.266X25 − 0.160X26 + 0.514X27 + 0.511X28 |
| F7 = 0.001X1 − 0.141X2 − 0.014X3 + 0.157X4 − 0.005X5 + 0.098X6 − 0.229X7 + 0.084X8 + 0.040X9 + 0.067X10 + 0.297X11 + 0.181X12 + 0.168X13 − 0.032X14 − 0.066X15 − 0.066X16 + 0.368X17 − 0.354X18 + 0.376X19 + 0.082X20 − 0.383X21 + 0.312X22 − 0.145X23 − 0.011X24 + 0.154X25 − 0.071X26 + 0.094X27 + 0.095X28 |
Table 7.
Eigenvalues and variance contribution of principal components for the analysis of the scores of two pit sealing methods.
Table 8.
Composition matrix of 28 volatile compounds in strong flavor Baijiu based on principal component analysis.
The scoring model was F = 30.433F1 + 15.441F2 + 11.52F3 + 5.452F4 + 4.984F5 + 4.413F6 + 3.737F7, which we used to calculate the comprehensive score of strongly flavored Baijiu for different pit sealing methods (Table 9). In general, the average score of steel-sealing pits was higher than that of mud-sealing pits. The higher score of the strong flavor Baijiu with the steel cap pits may be attributed to the improvement in the sealing of the steel caps, which ensured the anaerobic environment in the pit to enhance the anaerobic respiration of microorganisms and metabolism of more flavor substances.
Table 9.
Composition matrix of 28 volatile compounds in strongly flavored Baijiu based on principal component analysis.
The PCA method can be applied to the discriminant function of product type and variety. We selected the samples of strongly flavored Baijiu produced from the upper, middle, and lower levels of fermented grains as the scatter diagram (Figure 8), and the results are as follows:
Figure 8.
Scatter plot of the main components of the flavor substances of Baijiu. ((a)—three-dimensional scatter plot of PC1, PC2, and PC3; (b)—plan view of PC1 and PC2).
From the figure, the strongly flavored Baijiu produced from different pit sealing forms overlapped and could not be separated clearly. The reason may be that the sample size was too large and the fermentation process was not significantly different, which resulted in incomplete separation. Among them, the scatter diagram of the first segment Baijiu of the upper, middle, and lower levels of fermented grains was relatively scattered, which may be because the distillery usually relied on the experience of the master when picking Baijiu, and there was the possibility of picking Baijiu too early or too later. However, each layer of segmented Baijiu was obviously gathered together, which was consistent with the results obtained by HCA. This indicated that PCA and HCA were consistent with each other when classifying and identifying strongly flavored Baijiu with different pit sealing methods.
3.6. Discriminant Analysis
Five typical discriminant functions were obtained by discriminant analysis for each of the different layers of grains. The upper layer of grains with eigenvalues of 25.19, 11.00, 2.70, 1.37, and 0.44 explained 61.90%, 27.00%, 6.60%, 3.40%, and 1.10%, respectively, of the variation in the model. The first two typical discriminant analysis functions explained 88.90% of the variance. The middle layer of grains with eigenvalues of 18.03, 7.32, 5.04, 2.20, and 0.67 explained 54.20%, 22.00%, 15.10%, 6.60%, and 2.00%, respectively, of the variation in the model. The first two typical discriminant analysis functions explained 76.20% of the variation. The lower layer of grains with eigenvalues of 12.03, 5.32, 2.38, 1.91, and 0.29 explained 54.90%, 24.20%, 10.90%, 8.70%, and 1.30%, respectively, of the variation in the model. The first two typical discriminant analysis functions explained 79.10% of the variance.
It is possible to describe the differences and links between the flavor components in the top lees 1st, 2nd, and 3rd segments of strongly flavored Baijiu in mud-sealing pits and steel-sealing pits. The first two typical discriminant functions were used to make scatter plots for the different segment distillations of the same layer of fermented grains (Figure 9). For the corresponding 1st, 2nd, and 3rd segments Baijiu of the upper, middle, and lower layers of fermented grains, the centroids of the six types of Baijiu samples were separated from each other without any overlap. The group mass centers of the 1st, 2nd, and 3rd segments of the mud-sealing pits and steel-sealing pits were closer together, and the samples were more similar. However, the mud-sealing pit samples were separated approximately from the steel-sealing pit samples, but this result was in general agreement with the results of the principal component analysis, which indicated that both principal component analysis and discriminant analysis were very effective tools for the two different sealing methods. These statistical methods were useful for classification and prediction.
Figure 9.
Scatter diagram of a typical discriminant analysis of the two sealing methods for strongly flavored Baijiu. ((a)—upper layer of grain; (b)—middle layer of grain; (c)—lower layer of grain; The names of the letters in the above picture mean: MSP for mud-sealing pits, SSP for steel-sealing pits; 1—1 segment strong flavor Baijiu; 2—2 segment strong flavor Baijiu; 3—3 segment strong flavor Baijiu).
We analyzed 108 strongly flavored Baijiu samples from the upper, middle, and lower layers of fermented grains using DA. We randomly selected one sample from the 1st, 2nd, and 3rd segments of steel and mud sealing pit brewing as a “test sample”, which totaled six samples. We used the remaining 102 samples as “training samples” to establish a discriminant function and then discriminated the test samples to determine their classification to compare them with the actual classification of the samples. In this study, six typical variables were obtained, and a discriminant function was established based on these variables to classify two different types of strongly flavored Baijiu with different pit sealing methods, with an accurate discrimination rate of 100.0% (Table 10, Table 11 and Table 12).
Table 10.
Predicted results of the typical discriminant analysis of the strongly flavored Baijiu of the upper layer of grains for the two methods for sealing the pits.
Table 11.
Predicted results of the typical discriminant analysis of the strongly flavored Baijiu of the middle layer of grains for the two methods for sealing the pits.
Table 12.
Predicted results of the typical discriminant analysis of the strongly flavored Baijiu of the lower layer of grains for the two methods of sealing the pits.
Based on the predicted results of the discriminant analysis, we used the GC-MS analysis of the total ion flow chromatogram of strongly flavored Baijiu combined with the discriminant analysis to classify and to identify the model for the two different types of strongly flavored Baijiu with different pit sealing methods. The correct identification rate of the samples was 100.0%.
4. Conclusions
The types and the number of flavor substances produced by fermentation in mud-sealing and steel-sealing pit were relatively similar. In the PCA experiment, steel-sealing pits were more significant than traditional mud-sealing pits. HCA can divide samples into two categories, and using DA can also separate samples without aggregation. At the same time, two types of samples (one is mud-sealing and the other is steel-sealing) were successfully identified. At first, the relationship between the two methods is mutually verified. By this way, it can result in a more robust conclusion. Economically, the results of statistical analysis showed that the method of steel-sealing the pits increased the yield of Baijiu by 6.7% compared with the mud-sealing pit in the brewing process, with no significant difference in taste quality. Based on flavor and yield, both at the experimental and theoretical levels, we found no significant difference between the steel-sealing and the traditional mud-sealing final product (Baijiu) for Chinese Baijiu brewing. Compared with the disadvantages of the mud-sealing pits, where the yield was greatly influenced by the environment and was unstable, the process of steel sealing pits exhibited better controllability and stability, and it was more resistant to adverse conditions. In the future, the selection of pits cap sealing for intensive solid state fermentation process based on artificial intelligence and mechanization will present the trend of gradually replacing mud sealing with steel sealing.
Author Contributions
L.L., M.F., S.Y., Y.Q., Y.T. and J.L. (Jun Liu): Conceptualization, documentation, and data curation. M.F., S.Y., J.L. (Jun Liu), J.Z. and L.L.: writing—original draft preparation, M.F., Y.X., L.Z. and J.L. (Jun Liu): writing—review and editing. S.Y. and J.L. (Jun Liu): supervision. Y.X., L.Z. and J.L. (Jun Liu): project administration and funding acquisition. All authors have read and agreed to the published version of the manuscript.
Funding
This research was funded by the Postdoctoral Research Funding of joint station of Jiangnan University and Luzhou Laojiao Group Co. Ltd. (grant no. 206644), Key Research and Development Program of Sichuan Province (grant no. 2021YFS0341, 2020YJ0155), Key Program of Key Laboratory of Brewing Biotechnology and Application of Sichuan Province (grant no. NJ2017-01), Industry-University-Research Collaboration project of Wuliangye Co., Ltd. (grant no. CXY2020ZR02) and Talent introduction Program of SUSE (grant no. 2017RCL25).
Data Availability Statement
Data is contained within the article.
Acknowledgments
We would like to thank Thomas A. Gavin, Emeritus, Cornell University, for help with editing this paper.
Conflicts of Interest
Liang Zhang, Yongqing Tang, Jinsong Li were employed by the company Luzhou Laojiao Group Co. Ltd. Authors Jinsong Zhao was employed by the company Sichuan Liquor Group. The authors declare that this study received funding from Postdoctoral Research Funding of Luzhou Laojiao Group Co. Ltd. (grant no.206644). The funder had the following involvement with the study: This company provides materials and equipment for this project. Three authors from this company participated in program and experimental design, field experiment guidance and data analysis. We declare that we have no financial and personal relationships with other people or organizations that can inappropriately influence our work, there is no professional or other personal interest of any nature or kind in any product, service and/or company that could be construed as influencing the position presented in this article.
References
- Cheng, P.; Fan, W.; Xu, Y. Determination of Chinese Baijiu from different geographic origins by combination of mass spectrometry and chemometric technique. Food Control. 2014, 35, 153–158. [Google Scholar] [CrossRef]
- McGovern, P.E.; Zhang, J.; Tang, J.; Zhang, Z.; Hall, G.R.; Moreau, R.A.; Nũnez, A.; Butrym, E.D.; Richards, M.P.; Wang, C.; et al. Fermented beverages of pre- and proto-historic China. Proc. Natl. Acad. Sci. USA 2004, 101, 17593–17598. [Google Scholar] [CrossRef] [PubMed]
- Zheng, X.W.; Han, B.Z. Baijiu, Chinese liquor: History, classification and manufacture. J. Ethn. Foods 2016, 3, 19–25. [Google Scholar] [CrossRef]
- Fan, W.; Qian, M.C. Identification of aroma compounds in Chinese ‘Yanghe Daqu’ Baijiu by normal phase chromatography fractionation followed by gas chromatography olfactometry. Flavor Fragr. J. 2006, 21, 333–342. [Google Scholar] [CrossRef]
- He, G.; Huang, J.; Wu, C.; Jin, Y.; Zhou, R. Bioturbation effect of fortified Daqu on microbial community and flavor metabolite in Chinese strong-flavor liquor brewing microecosystem. Food Res. Int. 2019, 129, 108851. [Google Scholar] [CrossRef]
- Avalos, J.L.; Fink, G.R.; Stephanopoulos, G. Compartmentalization of metabolic pathways in yeast mitochondria improves the production of branched-chain alcohols. Nat. Biotechnol. 2013, 31, 335–341. [Google Scholar] [CrossRef]
- Guo, M.; Hou, C.; Bian, M.; Shen, C.; Zhang, S.; Huo, D.; Ma, Y. Characterization of microbial community profiles associated with quality of Chinese strong-aromatic liquor through metagenomics. J. Appl. Microbiol. 2020, 127, 750–762. [Google Scholar] [CrossRef]
- Belitz, H.D.; Grosch, W.; Schieberle, P. Food Chemistry; Springer: Berlin/Heidelberg, Germany, 2009. [Google Scholar]
- Marilley, L.; Casey, M.G. Flavours of cheese prod-ucts: Metabolic pathways, analytical tools and identification of producing strains. Int. J. Food Microbiol. 2004, 90, 139–159. [Google Scholar] [CrossRef]
- Wu, J.; Liu, P.; Fan, Y.; Bao, H.; Du, G.; Zhou, J.; Chen, J. Multivariate modular metabolic engineering of Escherichia colito produce resveratrol from L-tyrosine. J. Bio-Technol. 2013, 167, 404–411. [Google Scholar]
- Liu, S. Spatial heterogeneity of prokaryotic microorganism communities in Luzhou- flavour liquor pit mud. In Food Science; Xihua University: Chengdu, China, 2013; p. 41. [Google Scholar]
- Shi, S.; Zhang, L.; Wu, Z.Y.; Zhang, W.X.; Deng, Y.; Zhong, F.D.; Li, J.M. Analysis of the fungi community in multiple-and single grains Zaopei from a Luzhou-flavor liquor distillery in western China. World J. Microbiol. Biotechnol. 2011, 27, 1869–1874. [Google Scholar] [CrossRef]
- He, G.; Huang, J.; Zhou, R.; Wu, C.; Jin, Y. Effect of fortified Daqu on the microbial community and flavor in Chinese strong flavor Baijiu brewing process. Front. Microbiol. 2019, 10, 56. [Google Scholar] [CrossRef]
- Lu, Z.; Liu, X.; Tu, F.; Wu, X.; Chen, Y.; Ren, J. A Method of Sealing Cellar with Solid Brewing with Sealing Clay. CN 102757877A, 31 October 2012. (In Chinese). [Google Scholar]
- Wang, W.; Fan, G.; Li, X.; Fu, Z.; Liang, X.; Sun, B. Application of wickerhamomyces anomalus in simulated solid-state fermentation for Baijiu production: Changes of microbial community structure and flavor metabolism. Front. Microbiol. 2020, 11, 598758. [Google Scholar] [CrossRef]
- Wang, H.; Li, G.; Chen, X.; Chu, H. A Multi-Layer Composite Sealing Device for Northern Cellars. CN 210458116U, 5 May 2020. (In Chinese). [Google Scholar]
- Zhang, L. Sealed Fermentation Device and Sealing Method for Cubic Cellar. Luzhou Pinchuang Technology, Co.: Luzhou, China, 2015. (In Chinese) [Google Scholar]
- He, F.; Duan, J.; Zhao, J.; Li, H.; Sun, J.; Huang, M.; Sun, B. Different distillation stages Baijiu classification by temperature-programmed headspace-gas chromatography-ion mobility spectrometry and gas chromatography-olfactometrymass spectrometry combined with chemometric strategies. Food Chem. 2021, 365, 130430. [Google Scholar] [CrossRef] [PubMed]
- Jia, W.; Fan, Z.; Du, A.; Li, Y.; Zhang, R.; Shi, Q.; Shi, L.; Chu, X. Recent advances in Baijiu analysis by chromatography based technology—A review. Food Chem. 2020, 324, 126899. [Google Scholar] [CrossRef]
- Li, H.; Qin, D.; Wu, Z.; Sun, B.; Sun, X.; Huang, M.; Sun, J.; Zheng, F. Characterization of key aroma compounds in Chinese Guojing sesame-flavor Baijiu by means of molecular sensory science. Food Chem. 2019, 284, 100–107. [Google Scholar] [CrossRef]
- Song, X.; Zhu, L.; Wang, X.; Zheng, F.; Zhao, M.; Liu, Y.; Li, H.; Zhang, F.; Zhang, Y.; Chen, F. Characterization of key aroma-active sulfur-containing compounds in Chinese Laobaigan Baijiu by gas chromatography-olfactometry and comprehensive twodimensional gas chromatography coupled with sulfur chemiluminescence detection. Food Chem. 2019, 297, 124959. [Google Scholar] [CrossRef] [PubMed]
- Song, X.; Jing, S.; Zhu, L.; Ma, C.; Song, T.; Wu, J.; Zhao, Q.; Zheng, F.; Zhao, M.; Chen, F. Untargeted and targeted metabolomics strategy for the classification of strong aroma-type baijiu (liquor) according to geographical origin using comprehensive two-dimensional gas chromatography-time-of-flight mass spectrometry. Food Chem. 2020, 314, 126098. [Google Scholar] [CrossRef] [PubMed]
- Song, X.; Wang, G.; Zhu, L.; Zheng, F.; Ji, J.; Sun, J.; Li, H.; Huang, M.; Zhao, Q.; Zhao, M.; et al. Comparison of two cooked vegetable aroma compounds, dimethyl disulfide and methional, in Chinese Baijiu by a sensory-guided approach and chemometrics. LWT 2021, 146, 111427. [Google Scholar] [CrossRef]
- Wu, Z.; Qin, D.; Duan, J.; Li, H.; Sun, J.; Huang, M.; Sun, B. Characterization of benzenemethanethiol in sesame-flavor baijiu by high-performance liquid chromatography-mass spectrometry and sensory science. Food Chem. 2021, 364, 130345. [Google Scholar] [CrossRef] [PubMed]
- Zhu, L.; Wang, X.; Song, X.; Zheng, F.; Li, H.; Chen, F.; Zhang, Y.; Zhang, F. Evolution of the key odorants and aroma profiles in traditional Laowuzeng baijiu during its oneyear ageing. Food Chem. 2020, 310, 125898. [Google Scholar] [CrossRef]
- Fan, Q.; Wang, X.; Zhao, Y.; Zheng, F.; Li, H.; Zhang, F.; Chen, F. Characterization of key aroma compounds in Laobaigan Chinese Baijiu by GC× GC-TOF/MS and means of molecular sensory science. Flavor Fragr. J. 2019, 34, 514–525. [Google Scholar] [CrossRef]
- Liu, H.; Sun, B. Effect of fermentation processing on the flavor of Baijiu. J. Agric. Food Chem. 2018, 66, 5425–5432. [Google Scholar] [CrossRef]
- China Foods Limited Fermentation Industry Research Institute; Luzhou Laojiao Group Co., Ltd. Method of Analysis for Chinese Spirits, 2nd ed.; General Administration of Quality Supervision, Inspection and Quarantine: Beijing, China, 2007; pp. 1–34.
- Chemicalbook. Available online: https://www.chemicalbook.com/ProductIndex.aspx (accessed on 6 May 2023).
- Xiao, X.; Xu, K.; Gao, Z.-H.; Zhu, Z.-H.; Ye, C.; Zhao, B. Kuiling Ding Biomimetic asymmetric catalysis. Sci. China Chem. 2023, 66, 1553–1633. [Google Scholar] [CrossRef]
- Mo, X.; Xu, Y.; Fan, W. Characterization of aroma compounds in Chinese rice wine Qu by solvent-assisted flavor evaporation and headspace solid-phase microextraction. J. Agric. Food Chem. 2010, 58, 2462–2469. [Google Scholar] [CrossRef]
- Xu, M.L.; Yu, Y.; Ramaswamy, H.S.; Zhu, S.M. Characterization of Chinese liquor aroma components during aging process and liquor age discrimination using gas chromatography combined with multivariable statistics. Sci. Rep. 2017, 7, 1–9. [Google Scholar] [CrossRef]
- Cabaroglu, T.; Yilmaztekin, M. Methanol and major volatile compounds of Turkish Raki and effect of distillate source. J. Inst. Brew. 2011, 117, 98–105. [Google Scholar] [CrossRef]
- Garde-Cerdán, T.; Ancín-Azpilicueta, C. Effect of the addition of different quantities of amino acids to nitrogen-deficient must on the formation of esters, alcohols, and acids during wine alcoholic fermentation. LWT-Food Sci. Technol. 2008, 41, 501–510. [Google Scholar] [CrossRef]
- Zhuang, M. The production mechanism of the fragrance in the Chinese spirit & the operation of the spirit brewing. Liquor. Mak. 2007, 34, 109–113. [Google Scholar]
- Niu, Y.; Wang, P.; Xiao, Z.; Zhu, J.; Sun, X.; Wang, R. Evaluation of the perceptual interaction among ester aroma compounds in cherry wines by GC-MS, GC-O, odor threshold and sensory analysis: An insight at the molecular level. Food Chem. 2019, 275, 143–153. [Google Scholar] [CrossRef]
- Li, J.; Song, C.; Hou, C.; Huo, D.; Shen, C.; Luo, X.; Yang, M.; Fa, H. Development of a colorimetric sensor array for the discrimination of Chinese Baijiu based on selected volatile markers determined by GC-MS. J. Agric. Food Chem. 2014, 62, 10422–10430. [Google Scholar] [CrossRef]
- Versari, A.; Laurie, V.F.; Ricci, A.; Laghi, L.; Parpinello, G.P. Progress in authentication, typification and traceability of grapes and wines by chemometric approaches. Food Res. Int. 2014, 60, 2–18. [Google Scholar] [CrossRef]
- Ma, Y.; Huo, D.Q.; Qin, H.; Shen, C.H.; Hou, C.J. Classification of aroma styles and geographic origins of Chinese Baijiu using chemometrics based on fluorescence spectroscopy. J. Appl. Spectrosc. 2017, 84, 361–368. [Google Scholar] [CrossRef]
- Zheng, J.; Liang, R.; Zhang, L.Q. Characterization of microbial communities in strong aromatic liquor fermentation pit muds of different ages assessed by combined DGGE and PLFA analyzes. Food Res. Int. 2013, 54, 660–666. [Google Scholar] [CrossRef]
Disclaimer/Publisher’s Note: The statements, opinions and data contained in all publications are solely those of the individual author(s) and contributor(s) and not of MDPI and/or the editor(s). MDPI and/or the editor(s) disclaim responsibility for any injury to people or property resulting from any ideas, methods, instructions or products referred to in the content. |
© 2023 by the authors. Licensee MDPI, Basel, Switzerland. This article is an open access article distributed under the terms and conditions of the Creative Commons Attribution (CC BY) license (https://creativecommons.org/licenses/by/4.0/).








