Next Article in Journal
Prospects for Plant-Based Meat: Current Standing, Consumer Perceptions, and Shifting Trends
Previous Article in Journal
Inhibiting Effects of Ginger and Rosemary on the Formation of Heterocyclic Amines, Polycyclic Aromatic Hydrocarbons, and Trans Fatty Acids in Fried Pork Balls
 
 
Font Type:
Arial Georgia Verdana
Font Size:
Aa Aa Aa
Line Spacing:
Column Width:
Background:
Article

Effects of Tea Polyphenol and Its Combination with Other Antioxidants Added during the Extraction Process on Oxidative Stability of Antarctic Krill (Euphausia superba) Oil

1
School of Food Science and Technology, Dalian Polytechnic University, Dalian 116034, China
2
Liao Fishing Group Limited Company, Dalian 116000, China
3
National Engineering Research Center of Seafood, Dalian Polytechnic University, Dalian 116034, China
4
Collaborative Innovation Center of Seafood Deep Processing, Dalian 116034, China
*
Author to whom correspondence should be addressed.
Foods 2022, 11(23), 3768; https://doi.org/10.3390/foods11233768
Submission received: 21 October 2022 / Revised: 13 November 2022 / Accepted: 21 November 2022 / Published: 23 November 2022

Abstract

Antarctic krill (Euphausia superba) oil contains high levels of marine omega-3 long-chain polyunsaturated fatty acids (n-3 LC-PUFA), including eicosapentaenoic acid (EPA) and docosahexaenoic acid (DHA). In industrial production, krill oil is usually extracted from krill meals by using ethanol as a solvent. Water in the krill meal can be easily extracted by using ethanol as an extraction solvent. During the extraction process, the EPA and DHA are more easily oxidized and degraded when water exists in the ethanol extract of krill oil. Based on the analysis of peroxide value (POV), thiobarbituric acid-reactive substances (TBARS), fatty acid composition, and lipid class composition, the present study indicated that the composite antioxidants (TP-TPP) consist of tea polyphenol (TP) and tea polyphenol palmitate (TPP) had an excellent antioxidant effect. By contrast, adding TP-TPP into ethanol solvent during the extraction process is more effective than adding TP-TPP into krill oil after the extraction process.

Graphical Abstract

1. Introduction

Antarctic krill (Euphausia superba, E. superba) is a plentiful source of high-quality protein, with a protein level that is believed to be between 60–65% of its dry weight [1]. The protein in krill is a complete protein, which includes all nine essential amino acids that humans need [1]. In addition to protein, oil is another essential nutritional component of krill. Krill oil is a growing source of marine omega-3 long-chain polyunsaturated fatty acids (n-3 LC-PUFAs), including eicosapentaenoic acid (EPA) and docosahexaenoic acid (DHA). Ulven et al. reported that most of the n-3 LC-PUFA in fish oil are integrated into triglycerides [2]. By contrast, n-3 LC-PUFA in krill oil is mainly incorporated into phospholipids (PL). Owing to structural differences, it was expected that krill oil would have a higher bioavailability of n-3 LC-PUFA than fish oil [3]. Moreover, krill oil contains a lot of naturally occurring antioxidants, such as astaxanthin, which may be the cause of its biological properties [4]. So far, numerous reports have confirmed the health benefits of krill oil, including lowering hepatic steatosis and preventing hyperglycemia [5], enhancing memory and cognitive performance [6], reducing inflammation and oxidative stress [7], and heart protection [8].
It is widely known that during the heat processing or storage of oils, lipid oxidation can be accelerated and can produce specific odors and flavors [9]. Numerous aldehydes and ketones affect the quality and safety of oils in addition to their sensory characteristics [10]. It was discovered that aldehydes and ketones were produced by the breakdown of PUFAs in oils [11]. Therefore, krill oil is very vulnerable to oxidation due to its high PUFA content (particularly EPA and DHA). For example, Yin et al. reported that after 8 weeks of storage at 40 °C in light without oxygen, a decrease was observed in the relative percentage of PUFA [12]. There was a 2.2% drop in the value, which went from 29.82 to 27.62%. Moreover, Thomsen et al. reported that following 21 days of storage at 40 °C, the content of a few secondary volatile lipid oxidation products increased significantly (octanal, 107 to 345 ng/g; benzaldehyde, 153,792 to 324,042 ng/g) [13].
Antioxidants are compounds capable of slowing down the oxidation rate of lipids [14], which can effectively prolong the shelf life of edible oils. According to Choe and Min, the antioxidant mechanism of antioxidant has been reported to include scavenging free radicals, chelating metal ions, and quenching singlet oxygen [14]. To improve the stability, oil products are usually added with mixed antioxidants with different antioxidant mechanisms. These antioxidants usually have complementary and synergistic effects [15,16]. For example, Omar et al. reported that higher antioxidant activity in flaxseed oil was found when 100 mg/kg TBHQ and 200 mg/kg polyphenols were combined [17]. Moreover, Rudnik and Winiarska revealed that the antioxidant stability of microalgal DHA-rich oil could be improved by a combination of rosemary extract (RE), vitamin E (VE), and ascorbyl palmitate (AP) [18].
Currently, krill oil is extracted by organic solvents in industrial production [19]. Obviously, oils are easily oxidized and degraded in the procedures of settling (contact with air) and evaporation (relatively high temperature). By contrast, the extraction solvent of vegetable oil is No. 6 solvent (n-hexane), while the extraction solvent of krill oil is ethanol [20]. Water in the krill meal can be easily extracted by using ethanol as an extraction solvent. During the extraction process, the EPA and DHA are more easily oxidized and degraded when water exists in the ethanol extract of krill oil. Therefore, adding antioxidants to the extraction solvent during the oil extraction process may possibly inhibit oil oxidation.
Given this, this study aimed to select the most effective single antioxidant and composite antioxidant among vitamin C (VC), tea polyphenol (TP), ascorbyl palmitate (AP), vitamin E (VE), antioxidant of bamboo leaves (AOB), tea polyphenol palmitate (TPP), rosemary extract (RE) and their binary mixtures, as well as compare the accelerated oxidative stability of krill oils added with antioxidants at different time points (during or after the extraction process). Especially the composite antioxidant consists of the selected single antioxidant (the best antioxidation effect) with other commonly used antioxidants (AP, VC, VE, AOB, RE, and TPP). This study will provide a better understanding of protecting Antarctic krill oil from oxidation and afford the basis for extending the shelf-life of krill oil products.

2. Materials and Methods

2.1. Materials and Chemicals

Krill meal was purchased from Liao Fishing Group Limited Company (Dalian, China). Food-grade vitamin C (VC) and tea polyphenol (TP) were purchased from Jianming Technologies Co., Ltd. (Zhuhai, China). Food-grade vitamin E (VE) and ascorbyl palmitate (AP) were purchased from Aladdin Reagent Co., Ltd. (Beijing, China). Food grade antioxidant of bamboo leaves (AOB) was purchased from Aikon Biopharmaceutical R&D Co., Ltd. (Nanjing, China). Food-grade tea polyphenol palmitate (TPP) was purchased from Guangzhou shengtong trading Co., Ltd. (Guangzhou, China). Food-grade rosemary extract (RE) was purchased from Henan Yuzhong biology science and technology Co., Ltd. (Zhengzhou, China). Ethanol was purchased from Tianjin Damao Chemical Reagent Co., Ltd. (Tianjin, China).

2.2. The Preparation of Krill Oil Samples Added with Antioxidants during the Extraction Process

A total of 18 g of krill meal was weighed, and the lipid was extracted using 90 mL of solvent (ethanol) added with the single antioxidant or the composite antioxidant at 25 °C for 30 min. Sitting in the dark for 10 min, the mixture was filtered using a Buchner funnel. Subsequently, the filtrate was collected, and the ethanol in filtrate was removed through rotary evaporation at 30 °C. Thus, the krill oil samples added with the single antioxidants or the composite antioxidants during the extraction process were obtained.
Especially based on the oil extraction rate, the single antioxidant (VC, TP, AP, VE, AOB, TPP, or RE) was added to the ethanol at its maximum allowable quantity (maq) allowed by Chinese Standard GB 2760-2014 [21]. The maq values of VC, TP, AP, VE, AOB, TPP, and RE were 0.2, 0.6, 0.2, 0.4, 0.5, 0.6, and 0.7 g/kg oil, respectively. As for the composite antioxidant (TP-VC, TP-AP, TP-VE, TP-AOB, TP-TPP or TP-RE) comprised of TP and the other antioxidant (VC, AP, VE, AOB, TPP or RE), the TP, VC, AP, VE, AOB, TPP or RE was added to the ethanol at its one half of maq allowed by Chinese Standard GB 2760-2014 [21].

2.3. The Preparation of Krill Oil Samples Added with Antioxidants after the Extraction Process

According to the above extraction steps, krill oil was extracted from krill meal by using ethanol without adding any antioxidant as extraction solvent. In order to investigate the antioxidant effect of the antioxidants added at different time points, the single antioxidants or the composite antioxidants were added directly to krill oils, respectively.
Especially according to Chinese Standard GB 2760-2014 [21], the TP and the TP-TPP were added to the oil at their maximum allowable quantity: TP (400 mg/kg), TP-TPP (TP, 200 mg/kg; TPP, 300 mg/kg). Thus, the krill oil samples added with the single antioxidants or the composite antioxidants after the extraction process were obtained.

2.4. Accelerated Storage Experiment

The krill oil samples added with antioxidants during or after the extraction process were taken at regular intervals of 2 days until 8 days during an accelerated storage experiment at 60 °C.

2.5. Peroxide Value

The peroxide value (POV) of krill oil samples was measured according to a previous method [22]. In short, krill oils (0.01 g) were dissolved in 1.5 mL of dichloromethane: 95% ethanol (3:2, v/v). Then 5 mM aqueous ferrous ammonium sulfate (100 μL), 1 M methanolic XO (200 μL), and 0.25 M methanolic H2SO4 (200 μL) were added. One mL of distilled water was added to the reaction after it had been left at room temperature and in the dark for 30 min. Then centrifuged at 4000× g for 5 min. Took 200 uL of the mixture’s upper layer and measured the absorbance at 560 nm. The POV was determined using a CHP calibration curve.

2.6. Thiobarbituric Acid Reactive Substances

Using the method in [23], the Thiobarbituric acid reactive substances (TBARS) of krill oil samples were performed. Briefly, krill oil (0.1 g) was mixed equally with mixed liquor (2.5 mL), which included distilled water (196 mL), concentrated hydrochloric acid solution (4.17 mL), thiobarbituric acid (0.75 g) and trichloroacetic acid (30 g). The above mixture was heated for ten minutes in a bath of boiling water. After cooling and centrifuging at 3000× g for 10 min, took 200 uL of the mixture’s upper layer and measured the absorbance at 532 nm. The malondialdehyde concentration was converted to TBARS number as follows: TBARS (ppm) = sample A532 × 2.77.

2.7. Fatty Acid Composition

According to our previous method [24], fatty acid methyl esters (FAMEs) were prepared by methylation. In short, lipid sample (5 mg) was mixed with an internal standard solution (200 µL) of 1 mg/mL tridecanoyl glyceride dissolved in chloroform. Then 0.5 M NaOH-CH3OH (2 mL) was added. Next, refluxed in a water bath at 80 °C for 5 min, and then BF3-methanol solution (2 mL; 14%, w/w) was added for 2 min through a condenser. Subsequently, the mixture was cooled and extracted with hexane (1.5 mL). Before undergoing gas chromatographic (GC) analysis, hexane containing FAMEs was put through a 0.22 μm filter. FAME separation was performed by using a Supelco SP 2560 capillary column (100 m × 0.25 mm, 0.2 μm). The injection volume was 1 μL with a split ratio of 20:1, and the injector temperature was set as 220 °C. The FID temperature was set as 260 °C, and the constant carrier gas (N2) flow was set as 2.0 mL/min. The heating procedure is as follows: 120 °C for 9 min; increasing (20 °C/min) to 200 °C and held for 5 min; increasing (3 °C/min) to 230 °C and held for 10 min. All fatty acids were identified by comparing their retention times with those of the standards [25].

2.8. Lipid Class Composition

According to the previous study [26], the lipid class composition of krill oil samples was determined by using the Iatro-scan MK-6S thin layer chromatography-flame ionization detection (TLC-FID) Analyzer (Iatron Inc., Tokyo, Japan). Krill oil (0.02 g) was dissolved in chloroform (2 mL). The above lipid sample (1 μL) was spotted onto a quartz rod (SIII Chromarods, Iatron Inc., Tokyo, Japan), and the elution was performed with formic acid/diethyl ether/n-heptane (v/v/v, 0.3:28:42) for 20 min. Before scanning each Chromarod with FID, Chromarods were dried at 60 °C. After data collection and processing, comparison of migration distance with reliable standards was used to identify the lipid. By dividing the peak area of the separated lipid by the sum of the peak areas of all the separated lipids, the lipid class compositions of triglyceride (TG), free fatty acid (FFA), diglyceride (DG), cholesterol (Cho), monoglyceride (MG) and phospholipid (PL) were obtained.

2.9. Statistical Analysis

The experiments mentioned above were carried out three times, and the results were provided as mean ± standard deviation (SD). The data were analyzed by SPSS (version 26, IBM Corp., Armonk, NY, USA), then one-way analysis of differences was used to assess the difference between means (p < 0.05).

3. Results

3.1. Selection of the Most Effective Single Antioxidant Added during the Extraction Process

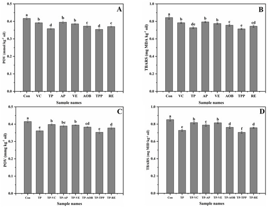
POV was chosen to determine the amounts of hydroperoxides formed during the extraction process of krill oils (Figure 1A). The POV values of krill oils added with single antioxidants (vitamin C (VC), vitamin E (VE), tea polyphenol (TP), ascorbyl palmitate (AP), tea polyphenol palmitate (TPP), rosemary extract (RE), and antioxidant of bamboo leaves (AOB)) were significantly lower than that of the control group (Con) without adding any antioxidants, showing that these antioxidants could significantly retard the primary oxidation of krill oils (p < 0.05). Apparently, based on the POV, the antioxidant efficiency of TP and TPP was greater than that of the other antioxidants. The order of inhibitory ability was: TP, TPP > RE > AOB > VE > VC > AP > Con (p < 0.05).
TBARS was used to measure the formation of secondary oxidation products during the extraction process of krill oils (Figure 1B). The TBARS values of krill oils added with single antioxidants were significantly lower than that of the control group, showing that these antioxidants could significantly retard the secondary oxidation of krill oils (p < 0.05). Obviously, based on the TBARS, the antioxidant efficiency of TP and TPP was greater than that of the other antioxidants. The order of inhibitory ability was: TPP, TP > RE > AOB > VE > VC > AP > Con (p < 0.05).
The fresh krill oils contained 23.04% of PUFA, 27.22% of MUFA, and 49.73% of SFA (Table 1). Furthermore, the main PUFA, DHA, and EPA make up 4.60% and 10.60% of all fatty acids, respectively. In order to further confirm the above-mentioned results, the changing trends in the fatty acid composition of krill oils added with single antioxidants were measured. The PUFA values of krill oils added with single antioxidants were significantly higher than that of the control group, while SFA and MUFA were lower than those of the control group (p < 0.05). Obviously, all the added single antioxidants could significantly inhibit the decrease in PUFA levels during the extraction process (p < 0.05). Similarly, TP and TPP exerted a higher ability to inhibit the oxidation loss of PUFA than others during the extraction process. The order of inhibitory ability was: TPP > TP > RE > AOB > VE > VC > AP > Con (p < 0.05).
The above results clearly indicated that, during the extraction process of krill oils, TP and TPP exerted the best antioxidant effectiveness among the seven single antioxidants. Compared with TPP, as a kind of natural antioxidant, TP has been extensively used in the food and feed industry. Thus, TP was selected to combine with VC, AOB, VE, AP, TPP, and RE, respectively, to form composite antioxidants to further enhance the oxidative stability of krill oils during the extraction process.

3.2. Selection of the Most Effective Composite Antioxidant Added during the Extraction Process

The POV values of krill oils added with TP-VC, TP-AP, TP-VE, TP-AOB, TP-TPP, TP-RE (the binary mixtures comprised of TP and one of the other six antioxidants (VC, AP, VE, AOB, TPP, and RE)) and TP, were significantly lower than that of the control group without adding any antioxidants (p < 0.05) (Figure 1C). The result indicated that TP-TPP and single TP had the most excellent antioxidant effect. The order of inhibitory ability was: TP-TPP, TP > TP-RE > TP-AOB > TP-AP > TP-VE > TP-VC > Con (p < 0.05).
The TBARS values of krill oils added with TP-VC, TP-AP, TP-VE, TP-AOB, TP-TPP, TP-RE, and TP were significantly lower than that of the control group (p < 0.05) (Figure 1D). The result indicated that TP-TPP had the most excellent antioxidant effect, then the single TP. The order of inhibitory ability was: TP-TPP > TP > TP-RE > TP-AOB > TP-AP > TP-VE > TP-VC > Con (p < 0.05).
In order to further confirm the above-mentioned results, the changing trends in the fatty acid composition of krill oils added with composite antioxidants were measured (Table 2). The SFA and MUFA values of krill oils added with antioxidants were lower than that of the control group, while PUFA were significantly higher than those of the control group (p < 0.05). Similar to the results of POV and TBARS, all the added antioxidants, especially TP-TPP and TP, could significantly inhibit the decline of PUFA during the extraction process. The order of inhibitory ability was: TP-TPP > TP > TP-RE > TP-AOB > TP-AP > TP-VE > TP-VC > Con (p < 0.05).
The above results clearly indicated that, during the extraction process of krill oils, TP and TP-TPP were the most effective single and composite antioxidants, respectively. However, adding the antioxidants at different time points of processing and storage may influence the oxidative stability of oil products. Given this, the effects of TP and TP-TPP added during or after the extraction process on the oxidative stability of krill oils were evaluated.

3.3. Comparison of the Accelerated Oxidative Stability of Krill Oils Added with Antioxidants at Different Time Points

The POV values of all krill oils went up significantly, accompanied by the increase in storage time at 60 °C (Figure 2A), showing that all the oils were progressively oxidized (p < 0.05). Post to 2, 4, 6, and 8 days of storage, the POV values of TP-D (added with TP during the extraction process), TP-TPP-D (added with TP-TPP during the extraction process), TP-A (added with TP after the extraction process) and TP-TPP-A (added with TP-TPP after the extraction process) were significantly lower than that of the control group without adding any antioxidants, indicating that these antioxidants could significantly retard the primary oxidation of krill oils (p < 0.05). Importantly, adding antioxidants during the extraction process is more effective than adding antioxidants after the extraction process. For example, after 4 days of storage, the POV values of the control, TP-D, TP-TPP-D, TP-A, and TP-TPP-A groups were 0.46, 0.42, 0.40, 0.44, and 0.42 mmol/kg, respectively. Apparently, the order of inhibitory ability was: TP-TPP-D > TP-TPP-A > TP-D, TP-A > Con (p < 0.05).
The TBARS values of all krill oils went up significantly, accompanied by the increase in storage time at 60 °C (Figure 2B), showing that the generation of secondary oxidation products during accelerated storage (p < 0.05). Post to 2, 4, 6, and 8 days of storage, the TBARS values of TP-D, TP-TPP-D, TP-A, and TP-TPP-A were significantly lower than that of the control group, indicating that these antioxidants could significantly retard the secondary oxidation of krill oils (p < 0.05). Importantly, adding antioxidants during the extraction process is more effective than adding antioxidants after the extraction process. For example, after 6 days of storage, the TBARS values of the control, TP-D, TP-TPP-D, TP-A, and TP-TPP-A groups were 1.58, 1.34, 1.28, 1.44, and 1.43 mg MDA/kg, respectively. Apparently, the order of inhibitory ability was: TP-TPP-D >TP-D >TP-TPP-A, TP-A > Con (p < 0.05).
In order to further confirm the above-mentioned results, the changing trends in the fatty acid composition of krill oils added with antioxidants were measured (Table 3). After 8 days of storage, the PUFA values of the control, TP-D, TP-TPP-D, TP-A, and TP-TPP-A groups were 18.89, 23.49, 25.66, 22.73, and 24.11%, respectively. Apparently, the PUFA values of all krill oils went up significantly, accompanied by the increase in storage time at 60 °C (p < 0.05). By contrast, the PUFA values of krill oils added with antioxidants were significantly higher than that of the control group, while SFA and MUFA were lower than those of the control group (p < 0.05). Importantly, adding antioxidants during the extraction process is more effective than adding antioxidants after the extraction process. Meanwhile, TP-TPP-D exerted the best antioxidant effect.
The lipid composition was selected to measure the changing trends of free fatty acid (FFA) of krill oils added with antioxidants (Table 4). After 8 days of storage, the FFA values of the control, TP-D, TP-TPP-D, TP-A, and TP-TPP-A groups were 0.85, 0.73, 0.68, 0.77, and 0.76%, respectively. Apparently, the FFA values of all krill oils went up significantly, accompanied by the increase in storage time at 60 °C (p < 0.05). By contrast, the FFA values of krill oils added with antioxidants were significantly lower than that of the control group (p < 0.05). Importantly, adding antioxidants during the extraction process is more effective than adding antioxidants after the extraction process. Similar to the results of POV, TBARS, and the fatty acids composition, TP-TPP-D exerted the best antioxidant effect.
The above results clearly showed that adding the antioxidants at different time points of processing and storage could influence the oxidative stability of krill oils. By contrast, adding antioxidants during the extraction process is more effective than adding antioxidants after the extraction process. Obviously, TP-TPP-D exerted the best antioxidant effect.

4. Discussion

The formation of primary and secondary oxidation products occurs throughout the complicated process of lipid oxidation [27]. The POV was determined in order to monitor the primary oxidation products in this research. With the method [22], Fe (II) ions are oxidized to Fe (III) ions by oil hydroperoxides. Next, xylenol orange combines with Fe (III) ions to form a complex compound that has a peak absorbance of 560 nm. In this investigation, TBARS was taken into consideration to detect secondary oxidation products. Ketones, hydroxy compounds, aldehydes, epoxides, polymers, and oligomers are the byproducts of lipid secondary oxidation. Among them, the most commonly used labeling compound is MDA. After the reaction of MDA, colored trimethadione was formed, and the maximum absorption peak was at 532 nm [28].
PUFAs such as EPA and DHA can combine with oxygen to trigger the oxidation of lipids, which is carried out by a series of free radical reactions [11]. PUFAs lose an atom of hydrogen and produce lipid free radicals when they are exposed to initiators such as metal ions, light/ionizing radiation, heat, and metalloproteins. The lipid then reacts with the ground oxygen molecules to form peroxyl radicals, which form hydroperoxides and new lipid radicals. This process, a free radical chain reaction, can be repeated several times to generate lipid autoxidation [11,29]. Thus, ketones and aldehydes are produced as a result of the decomposition of PUFAs.
In this study, POV, TBARS, fatty acid composition, and lipid composition were used to evaluate the oxidative stability of krill oils added with single antioxidants or composite antioxidants. Our results indicated that the POV, TBARS, and FFA values of krill oils added with antioxidants were significantly lower than those of the control group without adding any antioxidants, while the PUFA contents of krill oils added with antioxidants were significantly higher than those of the control group without adding any antioxidants. Apparently, these antioxidants could significantly retard the oxidation of krill oils during extraction and storage. By contrast, TP and TP-TPP exerted the best antioxidant effect. Similar results have also been reported by other researchers. For example, Bai et al. reported that among the several novel natural single antioxidants (dihydromyricetin (DMY), phytic acid (PA), paeonol (PAE), propolis (PR), AOB, RE, TP, VE), TP significantly prevented tree peony seed oil from oxidation at the concentration of 0.04% (w/w) [30]. Moreover, Pei et al. reported that the sample of walnut oil with 100 mg/kg TP and 450 mg/kg TPP demonstrated the highest level of stability [31]. These results showed that among all the composite antioxidant mixtures, the TP-TPP demonstrated the strongest antioxidant ability. This is likely due to the fact that lipid oxidation in oils also produces several minor components, such as polar compounds and free fatty acids [32]. There is a ton of evidence that these components can interact with the tiny amounts of water in oils to form physical structures, which may be the location of lipid oxidation [33,34]. TP is more hydrophilic than TPP, and as a result, it has a stronger affinity for the interface of association colloids [33].
Our results indicated that the POV, TBARS, and FFA values of krill oils added with antioxidants during the extraction process were significantly lower than those of the krill oils added with antioxidants after the extraction process, while the PUFA contents of the former krill oil samples added with antioxidants during the extraction process were significantly higher than those of the latter krill oil samples added with antioxidants after the extraction process. Apparently, antioxidants added during the extraction process are more effective than those added after the extraction process. As is known, the oils, including soybean oil, colleseed oil, and Antarctic krill oil, are extracted by organic solvents. Obviously, oils are easily oxidized and degraded in the procedures of settling (contact with air) and evaporation (relatively high temperature). In addition, the extraction solvent of vegetable oil is No. 6 solvent (n-hexane), while the extraction solvent of krill oil is ethanol. Water in the krill meal can be easily extracted by using ethanol as an extraction solvent. During the extraction process, the EPA and DHA are more easily oxidized and degraded when water exists in the ethanol extract of krill oil. Therefore, adding antioxidants to the extraction solvent during the oil extraction process may possibly inhibit oil oxidation.
It is widely known that some vegetable oils, such as sesame oil and hemp seed oil, contain abundant amounts of natural antioxidant components. Many pieces of research have shown that these natural antioxidant components could effectively protect oils from oxidation. For example, Shen et al. suggested that in the seed oil extracted from seeds of three Chenopodium (red, white, and black) with hexane, black quinoa seed oil contained the highest content of PUFA [35]. On the one hand, there are inherent differences between the oils and fats of the raw seeds of different species. On the other hand, the natural antioxidant components synergistically extracted during the oil extraction process also directly affect the oil quality. Indeed, the tocopherol and phytosterols content of black quinoa seed oil was significantly high those of white quinoa seed oil and red quinoa seed oil. Moreover, Nehdi et al. reported that compared to the stripped seed oils, the nonstripped seed oils exhibited greater stability at about 60 °C [36]. This is mainly due to stripped seed oils being devoid of any tocopherols. Stripped seed oils remove minor components that act as antioxidants to prevent the oxidation of unsaturated fatty acids [37]. Surely, single antioxidants or composite antioxidants added during the extraction are more effective in inhibiting oil oxidation than those added after the extraction.

5. Conclusions

The results of the accelerated storage experiment at 60 °C showed that the composite antioxidants (TP-TPP) consisting of tea polyphenol (TP) and tea polyphenol palmitate (TPP) had an excellent antioxidant effect on Antarctic krill (Euphausia superba) oil. Importantly, adding TP-TPP into ethanol solvent during the extraction process is more effective than adding it to krill oil after the extraction process.

Author Contributions

Conceptualization, Z.W.; methodology, G.Z. and X.P.; software, Z.W.; validation, G.Z. and D.Z.; formal analysis, Z.W., Y.L. and F.Y.; investigation, X.Z. and M.Z.; resources, Y.L. and F.L.; data curation, Z.W.; writing—original draft preparation, Z.W. and F.L.; writing—review and editing, F.Y.; visualization, D.Z.; supervision, F.Y.; project administration, D.Z.; funding acquisition, D.Z. All authors have read and agreed to the published version of the manuscript.

Funding

This research was financially supported by “The National Natural Science Foundation of China (32230080; 31871759; U1808203)”, Dalian Science and Technology Innovation Fund Program (2022JJ11CG008), “National Key R&D Program of China (2018YFD0901002)”, “Dalian Science and Technology Innovation Fund Project (2022JJ11CG008; 2019J11CY005)”, and “Central Funds Guiding the Local Science and Technology Development (2020JH6/10500002)”.

Institutional Review Board Statement

Not applicable.

Informed Consent Statement

Not applicable.

Data Availability Statement

Data are contained within the article.

Acknowledgments

We like to express our thanks to all the participants in the present research.

Conflicts of Interest

Author Fujun Liu was employed by the Liao Fishing Group Limited Company. The remaining authors declare that the research was conducted in the absence of any commercial or financial relationships that could be construed as a potential conflict of interest.

References

  1. Tou, J.C.; Jaczynski, J.; Chen, Y.C. Krill for human consumption: Nutritional value and potential health benefits. Nutr. Rev. 2007, 65, 63–77. [Google Scholar] [CrossRef] [PubMed]
  2. Ulven, S.M.; Kirkhus, B.; Lamglait, A.; Basu, S.; Elind, E.; Haider, T.; Berge, K.; Vik, H.; Pedersen, J.I.J. Metabolic effects of krill oil are essentially similar to those of fish oil but at lower dose of EPA and DHA, in healthy volunteers. Lipids 2011, 46, 37–46. [Google Scholar] [CrossRef] [PubMed]
  3. Ramprasath, V.R.; Eyal, I.; Zchut, S.; Jones, P. Enhanced increase of omega-3 index in healthy individuals with response to 4-week n-3 fatty acid supplementation from krill oil versus fish oil. Lipids Health Dis. 2013, 12, 178. [Google Scholar] [CrossRef] [PubMed]
  4. Zhou, D.Y.; Liu, Y.X.; Xu, Z.L.; Yin, F.W.; Song, L.; Wan, X.L.; Song, Y.K.; Zhu, B.W. Effects of long-term intake of Antarctic krill oils on artery blood pressure in spontaneously hypertensive rats. J. Sci. Food Agric. 2016, 97, 1143–1148. [Google Scholar] [CrossRef] [PubMed]
  5. Tandy, S.; Chung, R.W.S.; Wat, E.; Kamili, A.; Berge, K.; Griinari, M.; Cohn, J.S. Dietary krill oil supplementation reduces hepatic steatosis, glycemia, and hypercholesterolemia in high-fat-fed mice. J. Agric. Food Chem. 2009, 57, 9339–9345. [Google Scholar] [CrossRef]
  6. Konagai, C.; Yanagimoto, H.; Li, T.; Aging, K. Effects of krill oil containing n-3 polyunsaturated fatty acids in phospholipid form on human brain function: A randomized controlled trial in healthy elderly volunteers. Clin. Interv. Aging 2013, 8, 1247–1257. [Google Scholar] [CrossRef]
  7. Grimstad, T.; Bjørndal, B.; Cacabelos, D.; Aasprong, O.G.; Janssen, E.A.M.; Omdal, R.; Svardal, A.; Hausken, T.; Bohov, P.; Porterootin, M.; et al. Dietary supplementation of krill oil attenuates inflammation and oxidative stress in experimental ulcerative colitis in rats. Scand. J. Gastroenterol. 2012, 47, 49–58. [Google Scholar] [CrossRef]
  8. Fosshaug, L.E.; Berge, R.K.; Beitnes, J.O.; Berge, K.; Vik, H.; Aukrust, P.; Gullestad, L.; Vinge, L.E.; Øie, E. Krill oil attenuates left ventricular dilatation after myocardial infarction in rats. Lipids Health Dis. 2011, 10, 245. [Google Scholar] [CrossRef]
  9. Zhao, G.H.; Hu, Y.Y.; Liu, Z.Y.; Xie, H.K.; Zhang, M.; Zheng, R.; Qin, L.; Yin, F.W.; Zhou, D.Y. Simultaneous quantification of 24 aldehydes and ketones in oysters (Crassostrea gigas) with different thermal processing procedures by HPLC-electrospray tandem mass spectrometry. Food Res. Int. 2021, 147, 110559. [Google Scholar] [CrossRef] [PubMed]
  10. Lise Halvorsen, B.; Blomhoff, R.J. Determination of lipid oxidation products in vegetable oils and marine omega-3 supplements. Food Nutr. Res. 2011, 55, 5792. [Google Scholar] [CrossRef]
  11. Kazuo, M. Prevention of fish oil oxidation. J. Oleo Sci. 2019, 68, 1–11. [Google Scholar] [CrossRef] [PubMed]
  12. Yin, F.W.; Zhou, D.Y.; Xi, M.; Zhao, Q.; Liu, Z.; Li, D.Y.; Dong, X.; Zhu, B.W. Influence of storage conditions on the stability of phospholipids-rich krill (Euphausia superba) oil. J. Food Process. Preserv. 2016, 40, 1247–1255. [Google Scholar] [CrossRef]
  13. Thomsen, B.R.; Haugsgjerd, B.O.; Griinari, M.; Lu, H.F.S.; Bruheim, I.; Vogt, G.; Oterhals, Å.; Jacobsen, C. Investigation of oxidative degradation and non-enzymatic browning reactions in krill and fish oils. Eur. J. Lipid Sci. Technol. 2013, 115, 1357–1366. [Google Scholar] [CrossRef]
  14. Choe, E.; Min, D.B. Mechanisms and factors for edible oil oxidation. Compr. Rev. Food Sci. Food Saf. 2006, 5, 169–186. [Google Scholar] [CrossRef]
  15. Hraš, A.R.; Hadolin, M.; Knez, Ž.; Bauman, D. Comparison of antioxidative and synergistic effects of rosemary extract with α-tocopherol, ascorbyl palmitate and citric acid in sunflower oil. Food Chem. 2000, 71, 229–233. [Google Scholar] [CrossRef]
  16. Im, S.; Nam, T.G.; Lee, S.G.; Kim, Y.J.; Chun, O.K.; Kim, D.O. Additive antioxidant capacity of vitamin C and tocopherols in combination. Food Sci. Biotechnol. 2014, 23, 693–699. [Google Scholar] [CrossRef]
  17. Omar, K.A.; Shan, L.; Wang, Y.L.; Wang, X. Stabilizing flaxseed oil with individual antioxidants and their mixtures. Eur. J. Lipid Sci. Technol. 2010, 112, 1003–1011. [Google Scholar] [CrossRef]
  18. Rudnik, E.; Szczucinska, A.; Gwardiak, H.; Szulc, A.; Winiarska, A. Comparative studies of oxidative stability of linseed oil. Thermochim. Acta 2001, 370, 135–140. [Google Scholar] [CrossRef]
  19. Xie, D.; Gong, M.; Wei, W.; Jin, J.; Wang, X.; Wang, X.; Jin, Q. Antarctic krill (Euphausia superba) oil: A comprehensive review of chemical composition, extraction technologies, health benefits, and current applications. Compr. Rev. Food Sci. Food Saf. 2019, 18, 514–534. [Google Scholar] [CrossRef]
  20. Gigliotti, J.C.; Davenport, M.P.; Beamer, S.K.; Tou, J.C.; Jaczynski, J. Extraction and characterisation of lipids from Antarctic krill (Euphausia superba). Food Chem. 2011, 125, 1028–1036. [Google Scholar] [CrossRef]
  21. Chinese Standard GB 2760-2014; Food Safety National Standards-Standards for Uses of Food Additive. China Standards Press of China: Beijing, China, 2014.
  22. Abuzaytoun, R.; Budge, S.; Hansen, L.T.; MacKinnon, S. Modification of the ferrous oxidation-xylenol orange method for determination of peroxide value in highly pigmented sea cucumber viscera lipid. J. Am. Oil Chem. Soc. 2020, 97, 509–516. [Google Scholar] [CrossRef]
  23. John, L.; Cornforth, D.; Carpenter, C.E.; Sorheim, O.; Pettee, B.C.; Whittier, D.R. Color and thiobarbituric acid values of cooked top sirloin steaks packaged in modified atmospheres of 80% oxygen, or 0.4% carbon monoxide, or vacuum. Meat Sci. 2005, 69, 441–449. [Google Scholar] [CrossRef]
  24. Xie, H.K.; Yin, F.W.; Liu, Z.; Hu, Y.Y.; Yu, M.M.; Zhou, D.Y.; Zhu, B.W. Oxidation kinetics of polyunsaturated fatty acids esterified into triacylglycerols and phospholipids in dried scallop (Argopecten irradians) adductor muscles during storage. Food Funct. 2020, 11, 2349–2357. [Google Scholar] [CrossRef]
  25. Czerniak, A.; Kubiak, P.; Białas, W.; Jankowski, T. Improvement of oxidative stability of menhaden fish oil by microencapsulation within biocapsules formed of yeast cells. J. Food Eng. 2015, 167, 2–11. [Google Scholar] [CrossRef]
  26. Yin, F.W.; Liu, X.Y.; Fan, X.R.; Zhou, D.Y.; Xu, W.S.; Zhu, B.W.; Murata, Y.Y. Extrusion of Antarctic krill (Euphausia superba) meal and its effect on oil extraction. Int. J. Food Sci. Technol. 2015, 50, 633–639. [Google Scholar] [CrossRef]
  27. Lu, T.; Shen, Y.; Wang, J.H.; Xie, H.K.; Wang, Y.F.; Zhao, Q.; Zhou, D.Y.; Shahidi, F. Improving oxidative stability of flaxseed oil with a mixture of antioxidants. J. Food Process. Preserv. 2019, 44, 14355. [Google Scholar] [CrossRef]
  28. Ohkawa, H.; Ohishi, N.; Yagi, K. Assay for lipid peroxides in animal tissues by thiobarbituric acid reaction. Anal. Biochem. 1979, 95, 351–358. [Google Scholar] [CrossRef] [PubMed]
  29. Shahidi, F.; Zhong, Y. Lipid oxidation and improving the oxidative stability. Chem. Soc. Rev. 2010, 39, 4067–4079. [Google Scholar] [CrossRef]
  30. Bai, Z.; Yu, R.; Li, J.; Wang, N.; Wang, Y.; Niu, L.; Zhang, Y. Application of several novel natural antioxidants to inhibit oxidation of tree peony seed oil. Cyta J. Food 2018, 16, 1071–1078. [Google Scholar] [CrossRef]
  31. Pei, X.C.; Yin, F.W.; Zhong, X.; Liu, H.L.; Song, L.; Zhao, G.H.; Wang, Y.F.; Zhou, D.Y. Effects of different antioxidants and their combinations on the oxidative stability of DHA algae oil and walnut oil. Food Sci. Nutr. 2022, 10, 2804–2812. [Google Scholar] [CrossRef] [PubMed]
  32. Chen, B.; McClements, D.J.; Decker, E.A. Minor components in food oils: A critical review of their roles on lipid oxidation chemistry in bulk oils and emulsions. Crit. Rev. Food Sci. Nutr. 2011, 51, 901–916. [Google Scholar] [CrossRef]
  33. Laguerre, M.; Bayrasy, C.; Panya, A.; Weiss, J.; McClements, D.J.; Lecomte, J.; Decker, E.A.; Villeneuve, P. What makes good antioxidants in lipid-based systems? the next theories beyond the polar paradox. Crit. Rev. Food Sci. Nutr. 2015, 55, 183–201. [Google Scholar] [CrossRef]
  34. Villeneuve, P.; BourlieuLacanal, C.; Durand, E.; Lecomte, J.; McClements, D.J.; Decker, E.A. Lipid oxidation in emulsions and bulk oils: A review of the importance of micelles. Crit. Rev. Food Sci. Nutr. 2021, 99, 1–41. [Google Scholar] [CrossRef]
  35. Shen, Y.; Zheng, L.; Peng, Y.; Zhu, X.; Liu, F.; Yang, X.; Li, H. Physicochemical, antioxidant and anticancer characteristics of seed oil from three Chenopodium quinoa Genotypes. Molecules 2022, 27, 2453. [Google Scholar] [CrossRef]
  36. Nehdi, I.A.; Sbihi, H.M.; Tan, C.P.; Al-Resayes, S.I.; Rashid, U.; Al-Misned, F.A.; El-Serehy, H.A. Chemical composition, oxidative stability, and antioxidant activity of allium Ampeloprasum L. (wild leek) seed oil. J. Oleo Sci. 2020, 69, 413–421. [Google Scholar] [CrossRef]
  37. Li, Q.; Wang, J.; Shahidi, F. Chemical characteristics of cold-pressed blackberry, black raspberry, and blueberry seed oils and the role of the minor components in their oxidative stability. J. Agric. Food Chem. 2016, 64, 5410–5416. [Google Scholar] [CrossRef]
Figure 1. Changes of POV and TBARS of krill oils added with different single antioxidants (A,B) and composite antioxidants (C,D) during the extraction process. Con was the control krill oil without adding any antioxidants; VC, TP, AP, VE, AOB, TPP and RE were the krill oils added with vitamin C (VC), tea polyphenol (TP), ascorbyl palmitate (AP), vitamin E (VE), antioxidant of bamboo leaves (AOB), tea polyphenol palmitate (TPP) and rosemary extract (RE), respectively; TP-VC, TP-AP, TP-VE, TP-AOB, TP-TPP and TP-RE were the krill oils added with the binary mixtures comprised of TP and one of the other six antioxidants (VC, AP, VE, AOB, TPP and RE), respectively. All experiments were repeated three times. Different letters (a–f) indicate significant differences from each other (p < 0.05).
Figure 1. Changes of POV and TBARS of krill oils added with different single antioxidants (A,B) and composite antioxidants (C,D) during the extraction process. Con was the control krill oil without adding any antioxidants; VC, TP, AP, VE, AOB, TPP and RE were the krill oils added with vitamin C (VC), tea polyphenol (TP), ascorbyl palmitate (AP), vitamin E (VE), antioxidant of bamboo leaves (AOB), tea polyphenol palmitate (TPP) and rosemary extract (RE), respectively; TP-VC, TP-AP, TP-VE, TP-AOB, TP-TPP and TP-RE were the krill oils added with the binary mixtures comprised of TP and one of the other six antioxidants (VC, AP, VE, AOB, TPP and RE), respectively. All experiments were repeated three times. Different letters (a–f) indicate significant differences from each other (p < 0.05).
Foods 11 03768 g001
Figure 2. Changes of POV (A) and TBARS (B) of krill oils added with different antioxidants in the accelerated storage at 60 °C. Con was the control krill oil without adding any antioxidants; TP-D and TP-TPP-D were the krill oils added with the tea polyphenol (TP) and the binary mixtures of TP with tea polyphenol palmitate (TPP) during the extraction process, respectively; TP-A and TP-TPP-A were the krill oils added with the TP and the binary mixtures of TP with TPP after the extraction process, respectively. All experiments were repeated three times. Different letters (a–d) indicate significant differences from each other at same storage time (p < 0.05).
Figure 2. Changes of POV (A) and TBARS (B) of krill oils added with different antioxidants in the accelerated storage at 60 °C. Con was the control krill oil without adding any antioxidants; TP-D and TP-TPP-D were the krill oils added with the tea polyphenol (TP) and the binary mixtures of TP with tea polyphenol palmitate (TPP) during the extraction process, respectively; TP-A and TP-TPP-A were the krill oils added with the TP and the binary mixtures of TP with TPP after the extraction process, respectively. All experiments were repeated three times. Different letters (a–d) indicate significant differences from each other at same storage time (p < 0.05).
Foods 11 03768 g002
Table 1. The FA composition (relative content, %) of krill oils added with different single antioxidants during the extraction process.
Table 1. The FA composition (relative content, %) of krill oils added with different single antioxidants during the extraction process.
FAConVCTPAPVEAOBTPPRE
C14:013.61 ± 0.03a13.68 ± 0.12a13.42 ± 0.29a13.62 ± 0.28a13.41 ± 0.11a13.65 ± 0.28a13.68 ± 0.18a13.38 ± 0.14a
C16:028.75 ± 0.06a27.96 ± 0.31a26.31 ± 0.10a28.37 ± 0.31a27.34 ± 0.09a27.25 ± 0.23a27.14 ± 0.23a27.13 ± 0.16a
C16:15.10 ± 0.10a5.11 ± 0.12c5.12 ± 0.09e5.01 ± 0.04b5.22 ± 0.20d5.11 ± 0.09d5.08 ± 0.09d5.20 ± 0.09d
C17:03.43 ± 0.10ab3.52 ± 0.08a3.19 ± 0.10c3.34 ± 0.09abc3.42 ± 0.02a3.30 ± 0.04bc3.22 ± 0.12c3.31 ± 0.11bc
C18:02.43 ± 0.13a2.29 ± 0.04a2.35 ± 0.11a2.58 ± 0.24a2.39 ± 0.15a2.43 ± 0.11a2.47 ± 0.18a2.36 ± 0.02a
C18:2 n-6c5.27 ± 0.17a5.31 ± 0.17a5.72 ± 0.19b5.50 ± 0.01ab5.51 ± 0.09ab5.63 ± 0.24b5.56 ± 0.16ab5.64 ± 0.18b
C18:1 n-9c20.85 ± 0.12a20.47 ± 0.18abc20.15 ± 0.12c20.43 ± 0.35bc20.62 ± 0.13ab20.51 ± 0.21abc18.22 ± 0.20d20.26 ± 0.19bc
C20:01.52 ± 0.07ab1.51 ± 0.04ab1.60 ± 0.01ab1.47 ± 0.12a1.49 ± 0.04ab1.56 ± 0.16ab1.78 ± 0.06c1.66 ± 0.06bc
C20:11.27 ± 0.08a1.31 ± 0.10a1.30 ± 0.05a1.21 ± 0.12a1.39 ± 0.09a1.36 ± 0.04a1.31 ± 0.01a1.25 ± 0.05a
C18:3 n-31.32 ± 0.04a1.42 ± 0.06ab1.53 ± 0.09c1.40 ± 0.02ab1.49 ± 0.06bc1.53 ± 0.06c1.46 ± 0.04bc1.40 ± 0.05ab
C20:21.25 ± 0.04a1.46 ± 0.09b1.56 ± 0.11b1.41 ± 0.11ab1.41 ± 0.06ab1.40 ± 0.06ab1.48 ± 0.15b1.40 ± 0.14ab
C20:5 n-310.60 ± 0.25a11.05 ± 0.16abc11.78 ± 0.46c10.84 ± 0.02ab10.99 ± 0.21abc11.29 ± 0.16bc13.24 ± 0.38d11.37 ± 0.26c
C22:6 n-34.60 ± 0.08a4.92 ± 0.15ab5.97 ± 0.23d4.79 ± 0.10a5.33 ± 0.18bc5.38 ± 0.39c5.36 ± 0.15c5.64 ± 0.31cd
SFA49.73 ± 0.20a48.95 ± 0.41abc47.04 ± 0.17b49.38 ± 0.19b48.05 ± 0.21ab48.19 ± 0.70abc48.29 ± 0.29d47.84 ± 0.46bc
MUFA27.22 ± 0.15a26.90 ± 0.06abc26.60 ± 0.11c26.66 ± 0.27c27.23 ± 0.16ab26.98 ± 0.26abc24.61 ± 0.17d26.71 ± 0.16bc
PUFA23.04 ± 0.30a24.15 ± 0.38bc26.36 ± 0.28g23.96 ± 0.11b24.73 ± 0.35cd25.23 ± 0.32de27.11 ± 0.41h25.45 ± 0.38f
Con was the control krill oil without adding any antioxidants; VC, TP, AP, VE, AOB, TPP and RE were the krill oils added with vitamin C (VC), tea polyphenol (TP), ascorbyl palmitate (AP), vitamin E (VE), antioxidant of bamboo leaves (AOB), tea polyphenol palmitate (TPP) and rosemary extract (RE) during the extraction process, respectively. All experiments were repeated three times. Different letters (a–h) in the same row indicate significant differences from each other (p < 0.05). Abbreviations: FA, fatty acid; SFA, saturated fatty acid; MUFA, monounsaturated fatty acid; PUFA, polyunsaturated fatty acid.
Table 2. The FA composition (relative content, %) of krill oils added with different composite antioxidants during the extraction process.
Table 2. The FA composition (relative content, %) of krill oils added with different composite antioxidants during the extraction process.
FAConTPTP-VCTP-APTP-VETP-AOBTP-TPPTP-RE
C14:013.65 ± 0.08a13.25 ± 0.14b13.65 ± 0.11a13.39 ± 0.06ab13.54 ± 0.13ab13.51 ± 0.25ab13.46 ± 0.22ab13.45 ± 0.15ab
C16:028.64 ± 0.17a26.87 ± 0.17de27.78 ± 0.11b27.25 ± 0.25cd27.53 ± 0.21bc27.23 ± 0.24cd26.74 ± 0.23e27.23 ± 0.23cd
C16:15.22 ± 0.21ab4.98 ± 0.05c5.27 ± 0.06a5.26 ± 0.08a5.27 ± 0.14a5.17 ± 0.11abc5.04 ± 0.03bc5.11 ± 0.07abc
C17:03.36 ± 0.13ab3.19 ± 0.08cd3.38 ± 0.07ab3.39 ± 0.07ab3.47 ± 0.13a3.30 ± 0.07abc3.06 ± 0.07d3.22 ± 0.05bc
C18:02.37 ± 0.20a2.34 ± 0.07ab2.38 ± 0.07a2.37 ± 0.03a2.34 ± 0.10ab2.35 ± 0.04a2.15 ± 0.12b2.38 ± 0.10a
C18:2 n-6c5.30 ± 0.20a5.91 ± 0.17e5.41 ± 0.08ab5.64 ± 0.09bcd5.49 ± 0.03abc5.73 ± 0.15cde5.56 ± 0.12abc5.82 ± 0.16de
C18:1 n-9c20.80 ± 0.21a19.95 ± 0.11c20.67 ± 0.24a20.78 ± 0.10a20.67 ± 0.20a20.32 ± 0.22b18.39 ± 0.20d20.05 ± 0.08bc
C20:01.54 ± 0.05a1.54 ± 0.04a1.51 ± 0.10a1.50 ± 0.05a1.47 ± 0.06a1.50 ± 0.09a1.81 ± 0.14b1.50 ± 0.10a
C20:11.32 ± 0.03b1.37 ± 0.09ab1.41 ± 0.06ab1.33 ± 0.04b1.46 ± 0.09a1.33 ± 0.03b1.16 ± 0.06c1.32 ± 0.06b
C18:3 n-31.37 ± 0.05b1.44 ± 0.01ab1.40 ± 0.04ab1.51 ± 0.06a1.40 ± 0.04ab1.45 ± 0.01ab1.08 ± 0.03c1.47 ± 0.14ab
C20:21.28 ± 0.05a1.55 ± 0.10d1.43 ± 0.09bcd1.36 ± 0.03abc1.39 ± 0.01bc1.50 ± 0.11cd1.33 ± 0.05a1.41 ± 0.11bcd
C20:5 n-310.55 ± 0.30a11.74 ± 0.31c10.94 ± 0.17ab11.08 ± 0.18b11.06 ± 0.10b11.28 ± 0.24bc14.26 ± 0.49d11.29 ± 0.24bc
C22:6 n-34.60 ± 0.14a5.87 ± 0.24d4.77 ± 0.09ab5.13 ± 0.16bc4.91 ± 0.16ab5.33 ± 0.33c6.06 ± 0.16d5.74 ± 0.28d
SFA49.56 ± 0.31a47.18 ± 0.38d48.70 ± 0.14b47.90 ± 0.19c48.35 ± 0.22bc47.89 ± 0.37c47.22 ± 0.57d47.79 ± 0.50cd
MUFA27.34 ± 0.15a26.30 ± 0.25c27.35 ± 0.22a27.37 ± 0.08a27.40 ± 0.18a26.82 ± 0.14b24.59 ± 0.27d26.48 ± 0.16c
PUFA23.10 ± 0.32a26.51 ± 0.51e23.95 ± 0.31b24.73 ± 0.26bc24.26 ± 0.21b25.29 ± 0.48cd28.19 ± 0.70f25.73 ± 0.50d
Con was the control krill oil without adding any antioxidants; TP was the krill oil added with tea polyphenol (TP) during the extraction process; TP-VC, TP-AP, TP-VE, TP-AOB, TP-TPP and TP-RE were the krill oils added with the binary mixtures comprised of TP and one of the other six antioxidants (vitamin C (VC), ascorbyl palmitate (AP), vitamin E (VE), antioxidant of bamboo leaves (AOB), tea polyphenol palmitate (TPP) and rosemary extract (RE)) during the extraction process, respectively. All experiments were repeated three times. Different letters (a–f) in the same row indicate significant differences from each other (p < 0.05). Abbreviations: FA, fatty acid; SFA, saturated fatty acid; MUFA, monounsaturated fatty acid; PUFA, polyunsaturated fatty acid.
Table 3. The FA composition (relative content, %) of krill oils added with different antioxidants in the accelerated storage at 60 °C.
Table 3. The FA composition (relative content, %) of krill oils added with different antioxidants in the accelerated storage at 60 °C.
FA0-Day8-Day
ConTP-DTP-TPP-DTP-ATP-TPP-AConTP-DTP-TPP-DTP-ATP-TPP-A
C14:013.78 ± 0.28A14.29 ± 1.09A13.46 ± 0.55A14.21 ± 0.59A13.20 ± 0.49A14.53 ± 0.05a14.46 ± 0.47a14.56 ± 0.30a14.33 ± 0.28a14.73 ± 0.38a
C16:028.89 ± 0.26A25.64 ± 0.91C26.61 ± 0.32BC27.06 ± 0.93B27.28 ± 0.26B29.40 ± 0.33a28.11 ± 0.41b26.05 ± 0.10d29.06 ± 0.55a27.13 ± 0.22c
C16:15.18 ± 0.09A5.85 ± 0.24B5.09 ± 0.52A5.40 ± 0.29AB5.42 ± 0.12AB5.67 ± 0.08a5.40 ± 0.46a5.63 ± 0.10a5.41 ± 0.32a5.18 ± 0.22a
C17:03.26 ± 0.11AB3.05 ± 0.41A3.01 ± 0.18A3.61 ± 0.23B3.11 ± 0.04A3.75 ± 0.18a3.48 ± 0.06b3.87 ± 0.04a3.66 ± 0.11ab3.48 ± 0.15b
C18:02.46 ± 0.15A2.21 ± 0.12BC2.17 ± 0.06C2.37 ± 0.08AB2.28 ± 0.07ABC2.89 ± 0.06a2.40 ± 0.16b2.47 ± 0.05b2.36 ± 0.25b2.63 ± 0.12ab
C18:2 n-6c5.43 ± 0.01A5.72 ± 0.20AB5.66 ± 0.10AB5.85 ± 0.25B5.75 ± 0.30AB4.97 ± 0.08a5.56 ± 0.12bc6.08 ± 0.29d5.36 ± 0.31ab5.96 ± 0.25cd
C18:1 n-9c20.47 ± 0.44A19.04 ± 0.46BC18.39 ± 0.46C19.14 ± 0.63BC19.56 ± 0.34B20.73 ± 0.22a19.58 ± 1.29b18.45 ± 0.09b19.32 ± 0.39b19.48 ± 0.32b
C20:01.51 ± 0.11A1.92 ± 0.31B1.73 ± 0.07AB1.56 ± 0.12A1.77 ± 0.02AB1.97 ± 0.05a1.84 ± 0.37a1.96 ± 0.10a1.79 ± 0.09a1.83 ± 0.11a
C20:11.32 ± 0.01A1.25 ± 0.13A1.11 ± 0.08B1.33 ± 0.05A1.34 ± 0.05A2.17 ± 0.10a1.25 ± 0.09b1.35 ± 0.02b1.34 ± 0.20b1.44 ± 0.01b
C18:3 n-31.25 ± 0.12A1.07 ± 0.11A1.09 ± 0.16A1.05 ± 0.05A1.16 ± 0.16A0.91 ± 0.08a1.19 ± 0.12b1.00 ± 0.05a0.99 ± 0.06a1.01 ± 0.06a
C20:21.25 ± 0.04AB1.32 ± 0.19AB1.17 ± 0.10A1.16 ± 0.17A1.47 ± 0.18B1.00 ± 0.06a1.20 ± 0.03b1.05 ± 0.09a1.38 ± 0.09c1.29 ± 0.09bc
C20:5 n-310.63 ± 0.26A12.36 ± 0.19B14.08 ± 0.13C12.40 ± 0.46B12.14 ± 0.50B8.23 ± 0.25a11.02 ± 0.04b12.63 ± 0.91c10.04 ± 0.78b10.98 ± 0.52b
C22:6 n-34.57 ± 0.01A6.28 ± 0.66B6.46 ± 0.77B4.87 ± 0.28A5.53 ± 0.44AB3.78 ± 0.24a4.52 ± 0.47b4.91 ± 0.25b4.96 ± 0.58b4.88 ± 0.29b
SFA49.90 ± 0.70A47.11 ± 0.84B46.96 ± 0.12B48.94 ± 0.06A47.64 ± 0.67B52.54 ± 0.36a50.29 ± 0.83bc48.91 ± 0.41d51.20 ± 0.59b49.79 ± 0.71cd
MUFA26.97 ± 0.35A26.14 ± 0.38AB24.59 ± 0.99C25.86 ± 0.36B26.31 ± 0.29AB28.57 ± 0.17a26.23 ± 0.96b25.43 ± 0.20b26.07 ± 0.25b26.10 ± 0.19b
PUFA23.13 ± 0.35A26.75 ± 0.71C28.45 ± 1.01D25.20 ± 0.42B26.05 ± 0.79BC18.89 ± 0.38a23.49 ± 0.44bc25.66 ± 0.53d22.73 ± 0.76b24.11 ± 0.89c
Con was the control krill oil without adding any antioxidants; TP-D and TP-TPP-D were the krill oils added with the tea polyphenol (TP) and the binary mixtures of TP with tea polyphenol palmitate (TPP) during the extraction process, respectively; TP-A and TP-TPP-A were the krill oils added with the TP and the binary mixtures of TP with TPP after the extraction process, respectively. All experiments were repeated three times. Different upper case letters (A–D) and lower case letters (a–d) in the same row indicate significant differences from each other at same storage time (p < 0.05). Abbreviations: FA, fatty acid; SFA, saturated fatty acid; MUFA, monounsaturated fatty acid; PUFA, polyunsaturated fatty acid.
Table 4. The lipid composition (relative content, %) of krill oils added with different antioxidants in the accelerated storage at 60 °C.
Table 4. The lipid composition (relative content, %) of krill oils added with different antioxidants in the accelerated storage at 60 °C.
TimeSample NamesTGFFADGChoMGPL
0-dayCon44.21 ± 0.24A0.66 ± 0.01D2.24 ± 0.18A1.68 ± 0.07A0.31 ± 0.02A50.90 ± 0.36B
TP-D44.59 ± 0.18AB0.60 ± 0.01B2.48 ± 0.20A1.78 ± 0.06A0.32 ± 0.04A50.23 ± 0.08A
TP-TPP-D44.47 ± 0.24AB0.53 ± 0.01A2.48 ± 0.06A1.84 ± 0.14A0.35 ± 0.02A50.32 ± 0.38A
TP-A44.66 ± 0.13B0.62 ± 0.01C2.22 ± 0.27A1.83 ± 0.12A0.35 ± 0.01A50.32 ± 0.31A
TP-TPP-A44.44 ± 0.18AB0.61 ± 0.02BC2.23 ± 0.26A1.85 ± 0.14A0.32 ± 0.02A50.54 ± 0.18AB
8-dayCon44.47 ± 0.42a0.85 ± 0.01d2.73 ± 0.24b1.82 ± 0.16a0.34 ± 0.01a49.80 ± 0.40a
TP-D44.72 ± 0.15a0.73 ± 0.01b2.58 ± 0.21ab1.95 ± 0.06a0.34 ± 0.01a49.68 ± 0.03a
TP-TPP-D44.53 ± 0.08a0.68 ± 0.02a2.71 ± 0.08b1.80 ± 0.23a0.34 ± 0.01a49.94 ± 0.23a
TP-A44.54 ± 0.36a0.77 ± 0.02c2.35 ± 0.05a1.80 ± 0.13a0.36 ± 0.03a50.18 ± 0.29a
TP-TPP-A44.52 ± 0.10a0.76 ± 0.01bc2.39 ± 0.11a1.94 ± 0.09a0.35 ± 0.01a50.04 ± 0.26a
Con was the control krill oil without adding any antioxidants; TP-D and TP-TPP-D were the krill oils added with the tea polyphenol (TP) and the binary mixtures of TP with tea polyphenol palmitate (TPP) during the extraction process, respectively; TP-A and TP-TPP-A were the krill oils added with the TP and the binary mixtures of TP with TPP after the extraction process, respectively. All experiments were repeated three times. Different upper case letters (A–D) and lower case letters (a–d) in the same column indicate significant differences from each other with the same storage time (p < 0.05). Abbreviations: TG, triglyceride; FFA, free fatty acid; DG, diglyceride; Cho, cholesterol; MG, monoglyceride; PL, phospholipid.
Publisher’s Note: MDPI stays neutral with regard to jurisdictional claims in published maps and institutional affiliations.

Share and Cite

MDPI and ACS Style

Wang, Z.; Liu, F.; Luo, Y.; Zeng, X.; Pei, X.; Zhao, G.; Zhang, M.; Zhou, D.; Yin, F. Effects of Tea Polyphenol and Its Combination with Other Antioxidants Added during the Extraction Process on Oxidative Stability of Antarctic Krill (Euphausia superba) Oil. Foods 2022, 11, 3768. https://doi.org/10.3390/foods11233768

AMA Style

Wang Z, Liu F, Luo Y, Zeng X, Pei X, Zhao G, Zhang M, Zhou D, Yin F. Effects of Tea Polyphenol and Its Combination with Other Antioxidants Added during the Extraction Process on Oxidative Stability of Antarctic Krill (Euphausia superba) Oil. Foods. 2022; 11(23):3768. https://doi.org/10.3390/foods11233768

Chicago/Turabian Style

Wang, Ziwei, Fujun Liu, Ying Luo, Xiangbo Zeng, Xuechen Pei, Guanhua Zhao, Min Zhang, Dayong Zhou, and Fawen Yin. 2022. "Effects of Tea Polyphenol and Its Combination with Other Antioxidants Added during the Extraction Process on Oxidative Stability of Antarctic Krill (Euphausia superba) Oil" Foods 11, no. 23: 3768. https://doi.org/10.3390/foods11233768

APA Style

Wang, Z., Liu, F., Luo, Y., Zeng, X., Pei, X., Zhao, G., Zhang, M., Zhou, D., & Yin, F. (2022). Effects of Tea Polyphenol and Its Combination with Other Antioxidants Added during the Extraction Process on Oxidative Stability of Antarctic Krill (Euphausia superba) Oil. Foods, 11(23), 3768. https://doi.org/10.3390/foods11233768

Note that from the first issue of 2016, this journal uses article numbers instead of page numbers. See further details here.

Article Metrics

Back to TopTop