Correlation between Physico-Chemical Characteristics of Particulated β-Lactoglobulin and Its Behavior at Air/Water and Oil/Water Interfaces
Abstract
1. Introduction
2. Materials and Methods
2.1. Materials
2.2. Production of β-Lactoglobulin Particles by Thermal Treatment and Particle Concentration
2.3. Quantification of Protein Thiols and Disulfide Bonds
2.4. Particle Size and Zeta Potential Measurements
2.5. Viscosity Measurements
2.6. Surface and Interfacial Tension
2.7. Foaming and Characterization of Foam Stability
2.8. Emulsification and Measurement of Oil Droplet Size
3. Results and Discussion
3.1. Preparation and Structural Characterization of β-Lg Particles
3.2. β-Lg Particles at the Air/Water Interface: Interfacial Properties and Foam Structure Dynamics
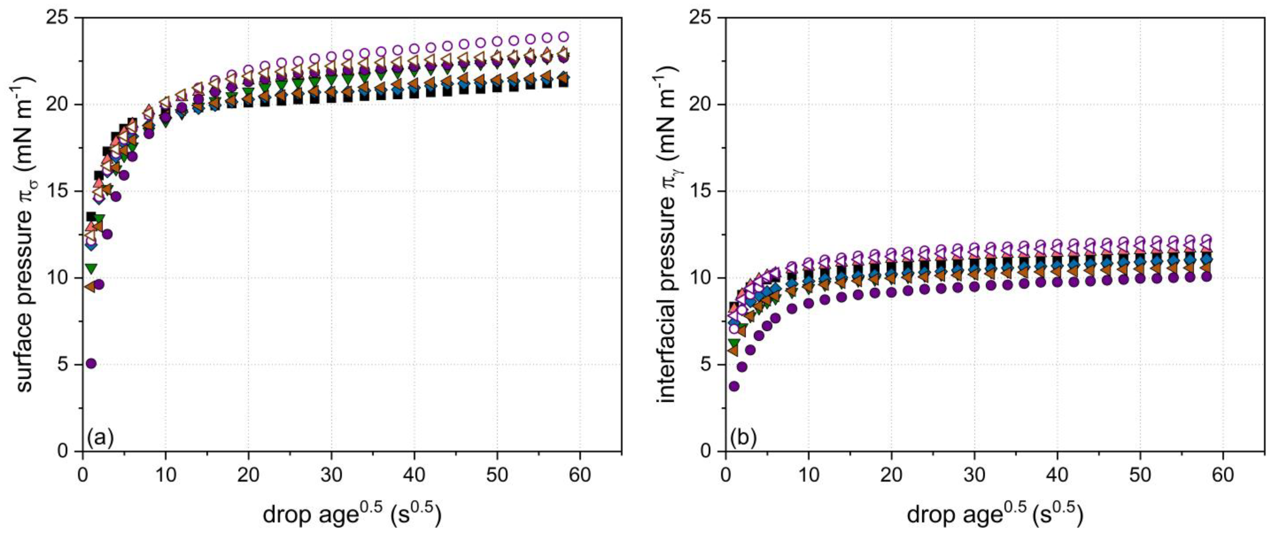
3.2.1. Interfacial Properties
- (a)
- Surface tension as a function of degree of cross-linking
- (b)
- Surface tension as a function of zeta potential and particle size
- (c)
- Surface tension as a function of particle size and degree of cross-linking
3.2.2. Foam Stability
- (a)
- Mean bubble area as a function of degree of cross-linking
- (b)
- Mean bubble area as a function of zeta potential
- (c)
- Mean bubble area as a function of particle size and degree of cross-linking
3.3. β-Lg Particles at the Oil/Water Interface: Interfacial Properties and Emulsion Stabilization
3.3.1. Interfacial Properties
- (a)
- Interfacial tension as a function of degree of cross-linking
- (b)
- Interfacial tension as a function of zeta potential and particle size
- (c)
- Surface tension as a function of particle size and degree of cross-linking
3.3.2. Emulsion Stability
3.4. Comparison of the Properties of β-Lg Particles at the Air/Water and the Oil/Water Interfaces
4. Conclusions
Author Contributions
Funding
Institutional Review Board Statement
Informed Consent Statement
Data Availability Statement
Acknowledgments
Conflicts of Interest
Appendix A


References
- Amagliani, L.; Schmitt, C. Globular plant protein aggregates for stabilization of food foams and emulsions. Trends Food Sci. Technol. 2017, 67, 248–259. [Google Scholar] [CrossRef]
- Sarkar, A.; Dickinson, E. Sustainable food-grade Pickering emulsions stabilized by plant-based particles. Curr. Opin. Colloid Interface Sci. 2020, 49, 69–81. [Google Scholar] [CrossRef]
- Dickinson, E. Biopolymer-based particles as stabilizing agents for emulsions and foams. Food Hydrocoll. 2017, 68, 219–231. [Google Scholar] [CrossRef]
- Dickinson, E. Microgels—An alternative colloidal ingredient for stabilization of food emulsions. Trends Food Sci. Technol. 2015, 43, 178–188. [Google Scholar] [CrossRef]
- Pickering, S.U. CXCVI.—Emulsions. J. Chem. Soc. Trans. 1907, 91, 2001–2021. [Google Scholar] [CrossRef]
- Schmidt, S.; Liu, T.; Rutten, S.; Phan, K.-H.; Moller, M.; Richtering, W. Influence of microgel architecture and oil polarity on stabilization of emulsions by stimuli-sensitive core-shell poly(N-isopropylacrylamide-co-methacrylic acid) microgels: Mickering versus Pickering behavior? Langmuir 2011, 27, 9801–9806. [Google Scholar] [CrossRef]
- Shi, A.; Feng, X.; Wang, Q.; Adhikari, B. Pickering and high internal phase Pickering emulsions stabilized by protein-based particles: A review of synthesis, application and prospective. Food Hydrocoll. 2020, 109, 106117. [Google Scholar] [CrossRef]
- Dombrowski, J.; Johler, F.; Warncke, M.; Kulozik, U. Correlation between bulk characteristics of aggregated β-lactoglobulin and its surface and foaming properties. Food Hydrocoll. 2016, 61, 318–328. [Google Scholar] [CrossRef]
- Rullier, B.; Novales, B.; Axelos, M.A.V. Effect of protein aggregates on foaming properties of β-lactoglobulin. Colloids Surf. A Physicochem. Eng. Asp. 2008, 330, 96–102. [Google Scholar] [CrossRef]
- Dhayal, S.K.; Delahaije, R.J.B.M.; de Vries, R.J.; Gruppen, H.; Wierenga, P.A. Enzymatic cross-linking of α-lactalbumin to produce nanoparticles with increased foam stability. Soft Matter 2015, 11, 7888–7898. [Google Scholar] [CrossRef] [PubMed]
- Dombrowski, J.; Gschwendtner, M.; Kulozik, U. Evaluation of structural characteristics determining surface and foaming properties of β-lactoglobulin aggregates. Colloids Surf. A Physicochem. Eng. Asp. 2017, 516, 286–295. [Google Scholar] [CrossRef]
- Schmitt, C.; Bovay, C.; Rouvet, M.; Shojaei-Rami, S.; Kolodziejczyk, E. Whey protein soluble aggregates from heating with NaCl: Physicochemical, interfacial, and foaming properties. Langmuir 2007, 23, 4155–4166. [Google Scholar] [CrossRef]
- Schmitt, C.; Bovay, C.; Rouvet, M. Bulk self-aggregation drives foam stabilization properties of whey protein microgels. Food Hydrocoll. 2014, 42, 139–148. [Google Scholar] [CrossRef]
- Moro, A.; Báez, G.D.; Busti, P.A.; Ballerini, G.A.; Delorenzi, N.J. Effects of heat-treated β-lactoglobulin and its aggregates on foaming properties. Food Hydrocoll. 2011, 25, 1009–1015. [Google Scholar] [CrossRef]
- Lazidis, A.; Hancocks, R.D.; Spyropoulos, F.; Kreuß, M.; Berrocal, R.; Norton, I.T. Whey protein fluid gels for the stabilisation of foams. Food Hydrocoll. 2016, 53, 209–217. [Google Scholar] [CrossRef]
- Kim, D.A.; Cornec, M.; Narsimhan, G. Effect of thermal treatment on interfacial properties of beta-lactoglobulin. J. Colloid Interface Sci. 2005, 285, 100–109. [Google Scholar] [CrossRef]
- Dhayal, S.K.; Gruppen, H.; de Vries, R.; Wierenga, P.A. Controlled formation of protein nanoparticles by enzymatic cross-linking of α-lactalbumin with horseradish peroxidase. Food Hydrocoll. 2014, 36, 53–59. [Google Scholar] [CrossRef]
- Destribats, M.; Rouvet, M.; Gehin-Delval, C.; Schmitt, C.; Binks, B.P. Emulsions stabilised by whey protein microgel particles: Towards food-grade Pickering emulsions. Soft Matter 2014, 10, 6941–6954. [Google Scholar] [CrossRef]
- Moro, A.; Báez, G.D.; Ballerini, G.A.; Busti, P.A.; Delorenzi, N.J. Emulsifying and foaming properties of β-lactoglobulin modified by heat treatment. Food Res. Int. 2013, 51, 1–7. [Google Scholar] [CrossRef]
- Murphy, R.W.; Farkas, B.E.; Jones, O.G. Dynamic and viscoelastic interfacial behavior of β-lactoglobulin microgels of varying sizes at fluid interfaces. J. Colloid Interface Sci. 2016, 466, 12–19. [Google Scholar] [CrossRef]
- Murphy, R.W.; Zhu, L.; Narsimhan, G.; Jones, O.G. Impacts of Size and Deformability of β-Lactoglobulin Microgels on the Colloidal Stability and Volatile Flavor Release of Microgel-Stabilized Emulsions. Gels 2018, 4, 79. [Google Scholar] [CrossRef]
- Sobhaninia, M.; Nasirpour, A.; Shahedi, M.; Golkar, A. Oil-in-water emulsions stabilized by whey protein aggregates: Effect of aggregate size, pH of aggregation and emulsion pH. J. Dispers. Sci. Technol. 2017, 38, 1366–1373. [Google Scholar] [CrossRef]
- Wu, J.; Shi, M.; Li, W.; Zhao, L.; Wang, Z.; Yan, X.; Norde, W.; Li, Y. Pickering emulsions stabilized by whey protein nanoparticles prepared by thermal cross-linking. Colloids Surf. B Biointerfaces 2015, 127, 96–104. [Google Scholar] [CrossRef]
- Zhou, X.; Sala, G.; Sagis, L.M.C. Bulk and interfacial properties of milk fat emulsions stabilized by whey protein isolate and whey protein aggregates. Food Hydrocoll. 2020, 109, 106100. [Google Scholar] [CrossRef]
- Nicolai, T.; Britten, M.; Schmitt, C. β-Lactoglobulin and WPI aggregates: Formation, structure and applications. Food Hydrocoll. 2011, 25, 1945–1962. [Google Scholar] [CrossRef]
- Nicolai, T.; Durand, D. Controlled food protein aggregation for new functionality. Curr. Opin. Colloid Interface Sci. 2013, 18, 249–256. [Google Scholar] [CrossRef]
- Tolkach, A.; Kulozik, U. Reaction kinetic pathway of reversible and irreversible thermal denaturation of β-lactoglobulin. Lait 2007, 87, 301–315. [Google Scholar] [CrossRef]
- Toro-Sierra, J.; Tolkach, A.; Kulozik, U. Fractionation of α-Lactalbumin and β-Lactoglobulin from Whey Protein Isolate Using Selective Thermal Aggregation, an Optimized Membrane Separation Procedure and Resolubilization Techniques at Pilot Plant Scale. Food Bioprocess Technol. 2013, 6, 1032–1043. [Google Scholar] [CrossRef]
- Dumpler, J.; Wohlschläger, H.; Kulozik, U. Dissociation and coagulation of caseins and whey proteins in concentrated skim milk heated by direct steam injection. Dairy Sci. Technol. 2017, 96, 807–826. [Google Scholar] [CrossRef]
- Dannenberg, F.; Kessler, H.-G. Reaction Kinetics of the Denaturation of Whey Proteins in Milk. J. Food Sci. 1988, 53, 258–263. [Google Scholar] [CrossRef]
- Kurz, F.; Hengst, C.; Kulozik, U. RP-HPLC method for simultaneous quantification of free and total thiol groups in native and heat aggregated whey proteins. MethodsX 2020, 7, 101112. [Google Scholar] [CrossRef] [PubMed]
- Oetjen, K.; Bilke-Krause, C.; Madani, M.; Willers, T. Temperature effect on foamability, foam stability, and foam structure of milk. Colloids Surf. A Physicochem. Eng. Asp. 2014, 460, 280–285. [Google Scholar] [CrossRef]
- Engelhardt, K.; Lexis, M.; Gochev, G.; Konnerth, C.; Miller, R.; Willenbacher, N.; Peukert, W.; Braunschweig, B. pH effects on the molecular structure of β-lactoglobulin modified air-water interfaces and its impact on foam rheology. Langmuir 2013, 29, 11646–11655. [Google Scholar] [CrossRef] [PubMed]
- Tolkach, A.; Kulozik, U. Effect of pH and temperature on the reaction kinetic parameters of the thermal denaturation of β-lactoglobulin. Milchwissenschaft 2005, 60, 249–252. [Google Scholar]
- Leeb, E.; Haller, N.; Kulozik, U. Effect of pH on the reaction mechanism of thermal denaturation and aggregation of bovine β-lactoglobulin. Int. Dairy J. 2018, 78, 103–111. [Google Scholar] [CrossRef]
- Hoffmann, M.A.M.; van Mil, P.J.J.M. Heat-Induced Aggregation of β-Lactoglobulin as a Function of pH. J. Agric. Food Chem. 1999, 47, 1898–1905. [Google Scholar] [CrossRef]
- Wierenga, P.A.; Meinders, M.B.J.; Egmond, M.R.; Voragen, A.G.J.; de Jongh, H.H. Quantitative description of the relation between protein net charge and protein adsorption to air-water interfaces. J. Phys. Chem. B 2005, 109, 16946–16952. [Google Scholar] [CrossRef]
- Ulaganathan, V.; Retzlaff, I.; Won, J.Y.; Gochev, G.; Gehin-Delval, C.; Leser, M.; Noskov, B.A.; Miller, R. β-Lactoglobulin adsorption layers at the water/air surface: 1. Adsorption kinetics and surface pressure isotherm: Effect of pH and ionic strength. Colloids Surf. A Physicochem. Eng. Asp. 2017, 519, 153–160. [Google Scholar] [CrossRef]
- Destribats, M.; Eyharts, M.; Lapeyre, V.; Sellier, E.; Varga, I.; Ravaine, V.; Schmitt, V. Impact of pNIPAM microgel size on its ability to stabilize Pickering emulsions. Langmuir 2014, 30, 1768–1777. [Google Scholar] [CrossRef]
- Destribats, M.; Lapeyre, V.; Wolfs, M.; Sellier, E.; Leal-Calderon, F.; Ravaine, V.; Schmitt, V. Soft microgels as Pickering emulsion stabilisers: Role of particle deformability. Soft Matter 2011, 7, 7689. [Google Scholar] [CrossRef]
- Picard, C.; Garrigue, P.; Tatry, M.-C.; Lapeyre, V.; Ravaine, S.; Schmitt, V.; Ravaine, V. Organization of Microgels at the Air-Water Interface under Compression: Role of Electrostatics and Cross-Linking Density. Langmuir 2017, 33, 7968–7981. [Google Scholar] [CrossRef]
- Pinaud, F.; Geisel, K.; Massé, P.; Catargi, B.; Isa, L.; Richtering, W.; Ravaine, V.; Schmitt, V. Adsorption of microgels at an oil-water interface: Correlation between packing and 2D elasticity. Soft Matter 2014, 10, 6963–6974. [Google Scholar] [CrossRef]
- Buchcic, C.; Tromp, R.H.; Meinders, M.B.J.; Cohen Stuart, M.A. Harnessing the advantages of hard and soft colloids by the use of core-shell particles as interfacial stabilizers. Soft Matter 2017, 13, 1326–1334. [Google Scholar] [CrossRef] [PubMed]
- Jung, J.-M.; Gunes, D.Z.; Mezzenga, R. Interfacial activity and interfacial shear rheology of native β-lactoglobulin monomers and their heat-induced fibers. Langmuir 2010, 26, 15366–15375. [Google Scholar] [CrossRef]
- Demetriades, K.; Julian McClements, D. Influence of sodium dodecyl sulfate on the physicochemical properties of whey protein-stabilized emulsions. Colloids Surf. A: Physicochem. Eng. Asp. 2000, 161, 391–400. [Google Scholar] [CrossRef]
- Hebishy, E.; Zamora, A.; Buffa, M.; Blasco-Moreno, A.; Trujillo, A.-J. Characterization of Whey Protein Oil-In-Water Emulsions with Different Oil Concentrations Stabilized by Ultra-High Pressure Homogenization. Processes 2017, 5, 6. [Google Scholar] [CrossRef]
- Hinderink, E.B.A.; Sagis, L.; Schroën, K.; Berton-Carabin, C.C. Behavior of plant-dairy protein blends at air-water and oil-water interfaces. Colloids Surf. B Biointerfaces 2020, 192, 111015. [Google Scholar] [CrossRef]
- Krägel, J.; O’Neill, M.; Makievski, A.V.; Michel, M.; Leser, M.E.; Miller, R. Dynamics of mixed protein–surfactant layers adsorbed at the water/air and water/oil interface. Colloids Surf. B Biointerfaces 2003, 31, 107–114. [Google Scholar] [CrossRef]
- Bergfreund, J.; Bertsch, P.; Kuster, S.; Fischer, P. Effect of Oil Hydrophobicity on the Adsorption and Rheology of β-Lactoglobulin at Oil-Water Interfaces. Langmuir 2018, 34, 4929–4936. [Google Scholar] [CrossRef]
- Hebishy, E.; Buffa, M.; Guamis, B.; Blasco-Moreno, A.; Trujillo, A.-J. Physical and oxidative stability of whey protein oil-in-water emulsions produced by conventional and ultra high-pressure homogenization: Effects of pressure and protein concentration on emulsion characteristics. Innov. Food Sci. Emerg. Technol. 2015, 32, 79–90. [Google Scholar] [CrossRef]
- Bals, A.; Kulozik, U. Effect of pre-heating on the foaming properties of whey protein isolate using a membrane foaming apparatus. Int. Dairy J. 2003, 13, 903–908. [Google Scholar] [CrossRef]
- Fuhrmann, P.L.; Sala, G.; Stieger, M.; Scholten, E. Clustering of oil droplets in o/w emulsions: Controlling cluster size and interaction strength. Food Res. Int. 2019, 122, 537–547. [Google Scholar] [CrossRef] [PubMed]







| pH | NaCl | d50.3 | DD |
|---|---|---|---|
| (-) | (mM) | (nm) | (%) |
| 5.8 | 0 | 80 ± 3 | 88 ± 1 |
| 6.2 | 0 | 41 ± 9 | 82 ± 1 |
| 6.8 | 0 | 20 ± 1 | 81 ± 1 |
| 7.6 | 0 | n.d. | n.d. |
| 8.5 | 0 | 3 ± 1 | 69 ± 4 |
| 5.8 | 20 | 495 ± 72 | 96 ± 1 |
| 6.8 | 20 | 23 ± 1 | 96 ± 1 |
| 8.5 | 20 | 6 ± 1 | 83 ± 1 |
| 5.8 | 60 | >1000 | n.d. |
| 6.2 | 60 | 189 ± 19 | >96 |
| 6.8 | 60 | 28 ± 4 | >96 |
| 7.6 | 60 | 28 ± 1 | >96 |
| 8.5 | 60 | 25 ± 1 | 96 ± 1 |
| Formation | Purified Particle Characteristics | Interfacial Properties | |||||||||
|---|---|---|---|---|---|---|---|---|---|---|---|
| pH | NaCl | Icon | pH | d50.3 | PDI | DC | ZP | π σ 5 s | π σ 3550 s | π γ 5 s | π γ 3550 s |
| (-) | (mV) | (-) | (nm) | (-) | (%) | (mV) | (mN m−1) | (mN m−1) | (mN m−1) | (mN m−1) | |
| 5.8 | 0 | ● | 6.8 | 120 ± 14 | 0.19 ± 0.02 | 104 ± 0.1 | −38 ± 1.1 | 10.4 ± 0.3 | 22.8 ± 0.2 | 5.2 ± 0.1 | 10.4 ± 0.4 |
| 5.8 | 0 | ○ | 6.2 | 119 ± 10 | 0.19 ± 0.01 | 104 ± 0.1 | −30 ± 0.7 | 15.8 ± 1.3 | 24.3 ± 0.5 | 8.4 ± 0.4 | 12.2 ± 0.5 |
| 6.2 | 0 | ◀ | 6.8 | 44 ± 9 | 0.19 ± 0.02 | 106 ± 4.3 | −35 ± 1.7 | 13.7 ± 0.9 | 21.6 ± 0.3 | 7.2 ± 0.1 | 10.6 ± 0.1 |
| 6.2 | 0 | ◁ | 6.3 | 40 ± 7 | 0.19 ± 0.02 | 106 ± 4.3 | −29 ± 0.4 | 15.4 ± 0.1 | 23.0 ± 0.4 | 8.8 ± 0.8 | 11.8 ± 0.5 |
| 6.8 | 0 | ◆ | 6.8 | 20 ± 1 | 0.26 ± 0.00 | 109 ± 1.0 | −31 ± 0.2 | 15.0 ± 0.1 | 21.6 ± 0.1 | 8.3 ± 0.1 | 11.1 ± 0.1 |
| 8.5 | 0 | ■ | 6.8 | 3 ± 1 | 0.64 ± 0.11 | 120 ± 6.5 | −30 ± 0.5 | 16.2 ± 0.2 | 21.4 ± 0.2 | 9.3 ± 0.3 | 11.5 ± 0.3 |
| 6.8 | 20 | ▼ | 6.8 | 22 ± 1 | 0.47 ± 0.02 | 85 ± 1.1 | −29 ± 1.3 | 14.1 ± 0.6 | 22.9 ± 0.9 | 7.3 ± 0.2 | 10.9 ± 0.1 |
| 8.5 | 60 | ▲ | 6.8 | 22 ± 2 | 0.41 ± 0.04 | 92 ± 3.2 | −29 ± 2.2 | 15.9 ± 1.0 | 23.1 ± 0.6 | 9.3 ± 0.1 | 11.7 ± 0.1 |
Publisher’s Note: MDPI stays neutral with regard to jurisdictional claims in published maps and institutional affiliations. |
© 2021 by the authors. Licensee MDPI, Basel, Switzerland. This article is an open access article distributed under the terms and conditions of the Creative Commons Attribution (CC BY) license (https://creativecommons.org/licenses/by/4.0/).
Share and Cite
Kurz, F.; Reitberger, V.; Hengst, C.; Bilke-Krause, C.; Kulozik, U.; Dombrowski, J. Correlation between Physico-Chemical Characteristics of Particulated β-Lactoglobulin and Its Behavior at Air/Water and Oil/Water Interfaces. Foods 2021, 10, 1426. https://doi.org/10.3390/foods10061426
Kurz F, Reitberger V, Hengst C, Bilke-Krause C, Kulozik U, Dombrowski J. Correlation between Physico-Chemical Characteristics of Particulated β-Lactoglobulin and Its Behavior at Air/Water and Oil/Water Interfaces. Foods. 2021; 10(6):1426. https://doi.org/10.3390/foods10061426
Chicago/Turabian StyleKurz, Franziska, Vera Reitberger, Claudia Hengst, Christine Bilke-Krause, Ulrich Kulozik, and Jannika Dombrowski. 2021. "Correlation between Physico-Chemical Characteristics of Particulated β-Lactoglobulin and Its Behavior at Air/Water and Oil/Water Interfaces" Foods 10, no. 6: 1426. https://doi.org/10.3390/foods10061426
APA StyleKurz, F., Reitberger, V., Hengst, C., Bilke-Krause, C., Kulozik, U., & Dombrowski, J. (2021). Correlation between Physico-Chemical Characteristics of Particulated β-Lactoglobulin and Its Behavior at Air/Water and Oil/Water Interfaces. Foods, 10(6), 1426. https://doi.org/10.3390/foods10061426

