Abstract
The 6.45 μm mid-infrared laser is highly promising for medical applications due to its efficient tissue ablation with minimal collateral damage. In this work, we demonstrate a stable and compact 10W-level, all-solid-state nanosecond laser source at 6.45 μm based on a Ho:YAG MOPA pumped ring-cavity ZnGeP2 optical parametric oscillator (ZGP OPO). The influence of spot size, phase-matching scheme, and crystal length on the output performance was systematically investigated. Using a 30 mm long Type I ZGP crystal, the system achieved optimal performance: a record-high average output power of 14.6 W at 6.45 μm with an optical-to-optical conversion efficiency of 17.57%, a peak power of 51.7 kW, and excellent power stability (1.45% fluctuation over 120 min at 11.7 W). To our knowledge, this represents the highest reported output power and conversion efficiency for an OPO in this spectral region, surpassing previous sources by an order of magnitude in average power and showing nearly double efficiency. This work provides a stable and reliable laser source tool for application research for techniques such as laser ablation.
1. Introduction
Laser irradiation of biological tissue can induce thermal, mechanical, and photochemical effects and has been widely used for disease diagnosis and treatment [1,2]. The mid-infrared (mid-IR) spectral region covers the principal absorption bands of key tissue constituents, including water, proteins, and hydroxyapatite [3,4], making it particularly attractive for tissue ablation. Currently, mid-IR lasers operating at 2–3 μm and 10.6 μm exploit the strong absorption of water to achieve photothermal ablation and have been applied in tumor removal [5,6]. However, ablation at these wavelengths relies primarily on a single water-mediated thermal mechanism and often results in significant collateral thermal damage [7,8]. In contrast, laser radiation at 6.45 μm overlaps with the amide II absorption band of proteins while maintaining moderate water absorption. The combined effects of protein denaturation and water absorption enable efficient tissue ablation with reduced collateral damage, making 6.45 μm lasers particularly suitable for high-precision medical applications [8,9,10,11].
Common sources of 6.45 μm radiation include free-electron lasers (FELs), strontium vapor lasers, gas Raman lasers, and solid-state systems based on optical parametric oscillation (OPO), optical parametric amplification (OPA), and difference-frequency generation (DFG). FELs offer broad wavelength tunability and can deliver both high average and peak powers, making them early sources for 6.45 μm mid-IR laser ablation studies [12,13]. However, their high cost, large size, and structural complexity severely limit practical applications [14]. Although strontium vapor and gas Raman lasers provide multiple spectral lines, high output power, and compact size, they suffer from complex setups, low overall efficiency, poor output stability, and demanding maintenance, which hinder their suitability for clinical use [15,16].
For the generation of 6.45 μm radiation, solid-state sources based on OPO, OPA, and DFG architectures are highly regarded for their portability and operational stability. The OPO scheme features a simple structure, with no requirement for seed injection or an additional intense pump beam, while still delivering high conversion efficiency. This makes it an ideal choice for obtaining high-power lasers. To date, OPOs based on AgGaS2 [17], AgGaSe2 [18], BaGa4S7 [19], and BaGa4Se7 [20,21] crystals have achieved 6.45 μm radiation with millijoule-level pulse energies. Nevertheless, their inherent low thermal conductivity limits high-average-power pumping, typically capping output power below 100 mW. While CdSiP2 (CSP) and ZnGeP2 (ZGP) crystals present a viable alternative with their superior thermal and nonlinear properties for high-power 6.45 μm generation, the development of CSP-based OPO is limited by difficult growth processes, material quality and a restrictive absorption edge (near 6.5 μm). Consequently, the reported output power at 6.45 μm for CSP systems has peaked at a mere 105 mW [22].
In contrast, ZGP crystals stand out as an ideal nonlinear medium for 6.45 μm generation, as they synergistically combine a broad transparency range and high damage threshold with superior thermal conductivity and nonlinear coefficients. However, due to the lack of pump sources with wavelengths > 1.8 μm required for ZGP crystals, early ZGP OPO studies [23,24,25,26] achieved wide wavelength tuning ranges but delivered low average output powers of only tens of milliwatts in the 6–7 μm band. Representative examples include the following: In 1997, a ZGP OPO pumped by a 2.79 μm Cr, Er:YSGG laser was reported with peak output power of ~24 mW at 6.9 μm [23]. In 2003, a cascaded PPLN-OPO-pumped ZGP OPO employing a double-pass singly resonant linear cavity was reported, generating tunable mid-infrared output from 3.7 to 10.2 μm with peak output power of ~12 mW at 6.6 μm [25]. In 2012, a ZGP OPO pumped by a PPKTP MOPA system was reported, delivering a maximum 6.45 μm output power of 91 mW with a peak power of 193 kW and a pump-to-idler conversion efficiency of 4.7% [26].
With breakthroughs in output power and beam quality of Tm- and Ho-doped lasers, ZGP OPOs have achieved significant improvements in output power and efficiency near 6.45 μm. In 2012, a ZGP OPO pumped by a high-energy 2.05 μm Ho3+:LLF MOPA nanosecond laser was demonstrated [27]. By adopting a nonplanar ring cavity, the system achieved 0.95 W output at 6.45 μm with a peak power of 150 kW, an average beam quality factor M2 of 2.5, and a conversion efficiency of 10.8% at a repetition rate of 200 Hz. More recently, in 2022, a linear-cavity ZGP OPO pumped by a 2.09 μm Ho:YAG oscillator produced 1.53 W of 6.45 μm output at 10 kHz. However, the peak power and conversion efficiency remained relatively low, with a peak power of only 3.69 kW and an efficiency of 8.2% [28].
Previous studies underscore that simultaneous optimization of average and peak power is paramount for effective tissue ablation [29,30]; high average power accelerates ablation rates for hard tissues, while elevated peak power effectively lowers the ablation threshold. Consequently, engineering a compact, stable 6.45 μm source that harmonizes these two metrics is essential for advancing clinical surgical efficiency.
In this work, we demonstrate a robust, high-power 6.45 μm ZGP OPO pumped by a high-power Ho:YAG MOPA system. By employing an optimized four-mirror ring cavity, we achieved efficient generation of 10 W-class 6.45 μm radiation. A systematic investigation into pump spot size, phase-matching configurations, and crystal dimensions was conducted to pinpoint the optimal operational regime. Utilizing a 30 mm-long Type I ZGP crystal, the system delivered a record-breaking maximum average power of 14.5 W with a pump-to-idler conversion efficiency of 17.57% and a peak power of 51.4 kW. Notably, this performance represents a tenfold increase in average power and nearly a twofold enhancement in efficiency compared to previously reported 6.45 μm sources.
2. Experimental Setup and Methods
The experimental setup of the high-power 6.45 μm optical parametric oscillator is shown in Figure 1. The system consists of a pump source, a beam delivery and shaping stage, and a singly resonant ring OPO cavity. The pump source is a self-developed Ho:YAG master oscillator power amplifier (MOPA), comprising an acousto-optically Q-switched Ho:YAG oscillator and a double-end-pumped single-stage amplifier. It delivers radiation at 2.09 μm with a repetition rate of 10 kHz, a maximum average output power of 90 W, a minimum pulse duration of 28 ns, and an average beam quality factor of M2 = 1.53. In the beam delivery and shaping stage, a half-wave plate (HWP1) combined with a polarization beam splitter (PBS) is used to obtain linearly polarized pump light with adjustable power. Lenses L1 and L2 form a telescope to control the pump beam size and divergence, while a second half-wave plate (HWP2) is employed to obtain horizontally polarized pump light.
Figure 1.
Experimental setup of a 10 W-class 6.45 μm ZGP optical parametric oscillator.
The singly resonant ring OPO adopts a four-mirror ring configuration composed of M1, M2, and two diagonally arranged M3 mirrors, with a total cavity length of 160 mm. M1 is the input coupler, highly transmissive for the 2.09 μm pump (T > 98%) and highly reflective for the 2.88–3.3 μm signal (Rs > 99.5%). M2 serves as the signal output coupler, with high pump transmission (T > 98%) for 2.09 μm pump light and partial transmission (Ts ≈ 50%) for 2.88–3.3 μm signal light. M3 functions as the idler output coupler, highly reflective for the pump and signal (R > 99.5%) and highly transmissive for the 5.7–7.6 μm idler (Ti ≈ 97%). To reduce idler loss, the two M3 mirrors are placed diagonally, enabling direct extraction of a clean idler beam without additional splitting. The signal and residual pump are separated outside the cavity, and the output powers of the signal and idler are measured with an OPHIR power meter, while the idler wavelength is monitored using an Arcoptix FT-IR spectrometer (Manufactured by ARCoptix, Neuchâtel, Switzerland).
To compare the OPO performance of ZGP crystals under type I and type II phase matching and to explore the crystal length and beam size required for higher-power 6.45 μm output at a fixed pump power, comparative experiments were carried out using four ZGP crystals with different phase-matching schemes and lengths. These crystals were supplied by Chengdu Dien Photoelectric Technology Co., Ltd., Chengdu, China, and grown using the horizontal ultralow-gradient growth method, exhibiting good uniformity and low absorption loss with an absorption coefficient < 0.02 cm−1 at 2.09 μm pump wavelength.
The detailed parameters of the four ZGP crystals used in the experiments are listed in Table 1. Crystals #1 and #2, both with cutting angles of θ = 75° and φ = 45°, are Type II phase-matching crystals. Crystal #3 has cutting angles of θ = 54.3° and φ = 0°, while crystal #4 has θ = 52.05° and φ = 0°; both are Type I phase-matching crystals. All ZGP crystals were polished on both end faces and coated with high-transmission (T > 99%) antireflection coatings at 2.09 μm, 3.09 μm, and 6.45 μm. The crystals were wrapped in indium foil, mounted in copper heat sinks, and temperature-stabilized at 16 °C using a water-cooled chiller, with a control precision of ±0.5 °C.
Table 1.
Statistical parameters of ZGP crystals used in the experiment.
3. Results and Analysis
According to the optical parametric oscillator (OPO) theory, the pump spot size is a critical factor affecting the output performance of ZGP OPO, as it determines both the peak power density and the spatial walk-off effect. Finding an optimal spot size is essential for balancing conversion efficiency and crystal damage prevention. In this study, the impact of pump spot diameter on OPO performance was investigated using a Type II phase-matched crystal (#1). To ensure comparability, parameters such as pump divergence angle, mirror coupling, and environmental conditions were kept constant. Figure 2 shows the output power and conversion efficiency of the 6.45 μm idler as a function of pump power under different spot sizes. As the spot diameter decreased from 2.50 mm to 1.95 mm, the oscillation threshold dropped, while the output power and efficiency initially increased and then stabilized. At a maximum pump power of 86.8 W, for pump diameters of 2.50 mm, 2.30 mm, 2.10 mm, and 1.95 mm, the corresponding peak power densities were 5.71, 6.7, 8.1, and 8.7 MW/cm2, respectively. Under these conditions, the 6.45 μm idler output powers were 9.47, 10.58, 12.94, and 12.70 W, with corresponding optical-to-optical conversion efficiencies of 10.9%, 12.2%, 14.9%, and 14.7%. Further reduction to 1.95 mm yielded no noticeable improvement, owing to enhanced back-conversion and increased spatial walk-off at higher peak intensities. Further decreasing the pump diameter would reduce efficiency and significantly increase the risk of crystal damage. Therefore, a pump beam diameter of 2.10 mm was selected for subsequent experiments.
Figure 2.
Effect of pump beam diameter on the output performance of the ZGP OPO. Blue solid line: 6.45 μm idler output power; red dashed line: conversion efficiency.
Using the four ZGP crystals listed in Table 1, we compared the effects of phase-matching type and crystal length on the OPO output. Due to slight differences in cutting angles, the crystal orientation was adjusted so that all crystals produced idler radiation at 6.45 μm. At 77 W pump power, we measured the idler output spectra of 30 mm long Type II ZGP (1#) and Type I ZGP (3#) crystals using a mid-infrared Fourier transform spectrometer (Arcoptix, FT-IR, 2–12 μm), as shown in Figure 3. The Type II crystal exhibited lower spectral noise, sharper peaks, and no center wavelength drift during extended operation. The inset shows a magnified view near 6.45 μm, revealing a center wavelength of 6451.6 nm for both Type I and Type II ZGP crystals. The spectral widths were ~30 nm for Type I and 23 nm for Type II ZGP OPOs. While the Type II output spectrum appears only slightly narrower than Type I, this result may be limited by the relatively low resolution (~8 nm) of the spectrometer (Arcoptix, FT-IR, 2–12 μm). According to empirical guidelines, accurate measurement of spectral linewidth requires widths 3 to 5 times the instrument resolution (8 nm), corresponding to 24–40 nm, indicating that our measurements are near this limit.
Figure 3.
Spectrum of the 6.45 μm idler output. The inset indicated by the arrow is an enlarged view of the spectrum around 6.45 µm.
According to the theory of birefringent phase matching, the crystal gain bandwidth is determined by the phase mismatch Δk, crystal length L, the central wavelength of the parametric wave, and the group refractive indices. By applying the ZGP crystal parameters and setting the phase mismatch to Δk = 2π/L, we calculated the gain bandwidths of Type I and Type II ZGP crystals as a function of central wavelength, as shown in Figure 4. The results indicate that near 6.45 μm, both crystals exhibit relatively narrow gain bandwidths, with values of ~80 nm for type I and ~26 nm for type II, with the latter being approximately one third of the former. Considering pump intensity and intracavity mode competition, the output linewidth of a ZGP OPO is typically significantly narrower than its gain bandwidth. Based on the linewidth narrowing factor observed for the Type I ZGP OPO (30 nm output linewidth versus 80 nm gain bandwidth), the output linewidth of the Type II ZGP OPO is estimated to be below 10 nm.
Figure 4.
Theoretical gain bandwidths of Type I and Type II ZGP crystals.
Figure 5 shows the 6.45 μm idler output power and conversion efficiency for type II and type I ZGP OPOs with different crystal lengths. At a pump power of 77 W, the output powers for samples #1 to #4 are 11.23, 10.05, 13.51, and 12.54 W, corresponding to conversion efficiencies of 14.58%, 13.05%, 17.54%, and 16.18%, respectively. For crystals of the same length, the oscillation thresholds are similar: ~17 W for 30 mm crystals and ~21.5 W for 25 mm crystals. As the pump power increases, the type I OPOs outperform the type II OPOs in both output power and efficiency, exhibiting higher slope efficiency. For the same phase-matching type, the 30 mm crystals yield lower thresholds and higher output power and efficiency than the 25 mm crystals. Notably, the slope efficiency is almost independent of crystal length, being ~23% for type I and ~18% for type II, because although a longer crystal provides higher single-pass gain and lower threshold, it also suffers more walk-off and absorption loss. At a maximum pump power of 83 W (incident pump power on the OPO crystal), the type II ZGP crystal (#1, 30 mm) produced a maximum 6.45 μm idler power of 12.32 W with a conversion efficiency of 14.82%. The type I ZGP crystal (30 mm) achieved a maximum idler power of 14.60 W and a conversion efficiency of 17.57%, corresponding to a quantum efficiency of 54.2%.
Figure 5.
Effect of phase matching and crystal length on ZGP OPO output power (blue solid) and efficiency (red dashed).
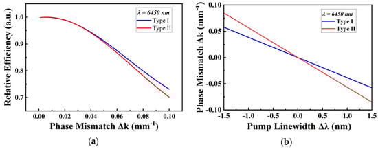
Considering the nearly identical pump conditions, environmental variables, crystal lengths, and nonlinear coefficients for Type I and Type II crystals in our experiments, along with analysis of the primary factors influencing OPO phase mismatch Δk, we attribute the superior output performance of Type I ZGP crystals to their smaller phase mismatch under equivalent pump conditions. While pump spectral width and beam divergence both affect the phase mismatch Δk, the near-collimated pump beam with small divergence allows us to focus primarily on phase mismatch induced by pump linewidth. Based on OPO theory, we calculated the relationship between pump linewidth and phase mismatch for Type I and Type II phase matching, as well as the relative conversion efficiency versus phase mismatch, shown in Figure 6a and 6b, respectively. It is evident that the phase mismatch increases with the pump spectral width. For a given pump linewidth, Type I phase matching exhibits significantly smaller phase mismatch than Type II. Additionally, conversion efficiency decreases rapidly with increasing phase mismatch for both crystal types, dropping to ~70% of maximum efficiency at Δk = 0.1 mm−1. At 6.45 μm, Type I phase-matched ZGP OPO has broader pump acceptance bandwidth and smaller phase mismatch, resulting in higher output power and efficiency.
Figure 6.
Theoretical simulation results of phase matching comparison: (a) effect of phase mismatch on ZGP OPO conversion efficiency; (b) relationship between pump linewidth and phase mismatch.
This represents the highest reported output power and conversion efficiency for ZGP OPOs in this wavelength range. The pump and idler pulse profiles were measured using an HgCdTe detector (Model PDAVJ10, Thorlabs, Newton, NJ, USA) and recorded by a 1 GHz digital oscilloscope (Model MOD34, Tektronix, Beaverton, OR, USA). As shown in Figure 7, the pump pulse width was 30.8 ns, while the idler pulse width was 28.2 ns. The idler pulse exhibits a steeper leading edge and slight narrowing compared with the pump, indicating pulse narrowing. The inset shows a stable idler pulse train at 10 kHz. Based on the measured idler pulse width, the calculated peak power of the 6.45 μm laser is approximately 51.7 kW, which is 14 times higher than that reported in Ref. [28].
Figure 7.
Temporal pulse profiles of the pump and idler from the ZGP OPO. The inset shows the idler pulse train, indicating a repetition rate of 10 kHz.
At a pump power of 80 W, the beam quality of both the pump light and the 6.45 μm idler light was measured using a mid-infrared beam profiler (Spiricon: Pyrocam III HR with a pixel size of 75 μm × 75 μm). The results are shown in Figure 8a and b, respectively. The beam quality factors (M2) of the pump light were measured to be 1.49 (horizontal direction) and 1.57 (vertical direction). Under this condition, the output idler power from the ZGP OPO was 13.5 W, and its M2 factors were measured to be 5.27 and 5.76 in the horizontal and vertical directions, respectively. The insets in the figures show the near-field two-dimensional beam profiles of both the pump and idler beams, which exhibit good circularity.
Figure 8.
Beam quality measurement results: (a) pump beam; (b) idler beam. The inset depicts the near-field 2D beam profile.
Compared to the beam quality of the pump light, that of the output idler light significantly deteriorated. The primary reasons for this are likely twofold. First, under high-power pumping, heat deposition within the ZGP crystal exacerbates the thermal lensing effect, which in turn increases the divergence angles of both the resonating signal light and the output idler light. At 80 W pump power, the divergence angle of the idler light directly output from the ZGP OPO was measured to be ~10 mrad, significantly larger than that of the incident pump light, indicating pronounced thermal lensing effects in the ZGP crystal under high-power pumping. Additionally, the increased nonlinear gain in the crystal promotes the oscillation of higher-order modes. These two factors collectively lead to the degradation of the output beam quality. To improve beam quality, the ZGP OPO cavity should have stronger mode selection and compensation for thermal lensing under high-power pumping. Common approaches include increasing cavity length and inserting intracavity apertures or diffractive elements, but these significantly reduce output power. More viable alternatives include using intracavity lenses to compensate divergence and employing low Fresnel number cavity designs, such as three-mirror ring cavities [31] and nonplanar image-rotating resonators [32], which enhance mode selectivity while avoiding substantial power loss. Additionally, since the OPO cavity Fresnel number is inversely proportional to the resonant wavelength, an idler singly resonant oscillator (Idler-SRO) configuration can leverage the longer wavelength (6.45 μm) to reduce the cavity Fresnel number, fundamentally improving beam quality.
Considering the risk of crystal damage under prolonged operation at maximum power, we selected an operating point near 11 W of 6.45 μm idler output to measure the power stability. To evaluate long-term system stability, we conducted 2 h power stability monitoring, with results shown in Figure 9. Over this period, the average idler output power was 11.71 W with maximum and minimum values of 12.2 W and 11.2 W, respectively, yielding a power instability of 1.45% (RMS). This demonstrates excellent power stability and reliability of the high-power 6.45 μm ZGP OPO system, which is critical for practical applications such as laser ablation.
Figure 9.
Long-term output power stability of the high-power 6.45 μm ZGP OPO.
4. Discussion
This work demonstrates a record-high 14.6 W output at 6.45 μm with 17.57% optical-to-optical efficiency from a ring-cavity ZGP OPO pumped by a Ho:YAG MOPA—an order-of-magnitude power increase and near-doubled efficiency relative to prior ZGP OPOs [25]. The implications are discussed below regarding phase-matching, repetition-rate scalability, stability, and limitations.
Phase-matching comparison. For the first time, Type I and Type II ZGP OPOs were systematically compared under identical pumping conditions. At 30 mm crystal length, the Type I OPO delivers superior performance (14.6 W, 17.57%) over its Type II counterpart (12.32 W, 14.82%). This contrasts with earlier Type II results (RISTRA [24], linear cavity [25]), where no direct Type I benchmark existed. Theoretical analysis identifies the origin of this advantage: Type I phase matching provides a broader pump acceptance bandwidth and, consequently, a substantially smaller phase mismatch, leading to higher conversion efficiency.
Repetition rate scalability. The system operates at 10 kHz, a trade-off among pulse energy, average power, and damage risk. Benefiting from Ho:YAG’s long upper-level lifetime (~7 ms), pump extraction efficiency remains nearly constant above 3 kHz. Lower repetition rates increase pulse energy and peak power, elevating damage risk and back-conversion; larger beam diameters are then required. Higher rates (e.g., 20 kHz) sustain higher average power but reduce pulse energy, demanding careful beam-size optimization to maintain OPO efficiency.
Power stability. At 11.71 W, an RMS instability of 1.45% over 2 h is achieved—enabled by (i) intrinsically stable Ho:YAG MOPA (RMS < 0.5%), (ii) ring cavity elimination of spatial hole burning, and (iii) 16 °C water cooling (ΔT < ±0.5 °C). As emphasized by Edwards et al. [26] and Hutson et al. [27], preclinical studies of 6.45 μm lasers demand sources that simultaneously deliver high average power and excellent stability—criteria that the present laser source fully satisfies.
Despite the advances reported above, several limitations remain. First, the beam quality (M2 ≈ 5.5) remains insufficient for applications demanding high transverse-mode purity—such as fiber-coupled delivery of 6.45 μm radiation for interventional ablation—where poor beam quality incurs substantial coupling and transmission losses. Second, the spectral resolution of the FT-IR spectrometer (~8 nm at 6.45 μm) precludes precise discrimination of the output linewidth difference between Type I and Type II crystals. Our theoretical analysis predicts a sub-10 nm linewidth for the Type II OPO, which requires validation using a high-resolution spectrometer (<0.5 cm−1).
Biomedical validation, including tissue ablation, has yet to be performed. Future work will focus on collaborative ex vivo and in vivo ablation studies with medical institutions, systematically benchmarking ablation efficiency and thermal damage zones against existing 6.45 μm free-electron laser sources—thereby advancing the clinical translation of all-solid-state 6.45 μm lasers.
5. Conclusions
In this work, we demonstrate a high-power, high-efficiency 6.45 μm mid-infrared ZGP optical parametric oscillator (OPO) pumped by a 2.09 μm Ho:YAG MOPA laser. The effects of spot size, phase-matching scheme, and crystal length on the output performance were investigated. Results show that a Type I phase-matched crystal of the same length yields higher output power and conversion efficiency compared to Type II, and a 30 mm crystal exhibits a lower threshold than a 25 mm one while maintaining similar slope efficiency. With a 30 mm Type I ZGP crystal, the OPO achieved a maximum output power of 14.6 W at 6.45 μm, corresponding to an optical-to-optical conversion efficiency of 17.57%, a peak power of 51.7 kW, a pulse width of 28.2 ns, and an average beam quality factor M2 of 5.54. Operating at a high power of 11.7 W, the system exhibited excellent stability, with a power instability of only 1.45% (RMS) over 2 h, satisfying the robustness requirements of practical applications. This work provides a stable, compact, high-power all-solid-state 6.45 μm laser source, achieving an order-of-magnitude increase in average power and nearly doubled conversion efficiency compared to existing sources at this wavelength. It offers a promising tool for applications such as laser ablation, mid-infrared photonics, and nonlinear frequency conversion and is expected to facilitate the practical deployment of 6.45 μm lasers in high-precision medical procedures.
Author Contributions
Conceptualization, Y.F. and Y.S.; software, Y.F. and G.L.; methodology, Y.F., Y.S. and E.W.; validation, Y.S., Y.W., E.W., G.L., S.Z., Z.C., Y.B. and Q.P.; formal analysis, Y.F., Y.S. and Y.W.; investigation, Y.F., Y.S. and E.W.; resources, Y.L.; data curation, Y.S., Y.F. and E.W.; manuscript preparation, Y.F. and Y.S.; writing—review and editing, Y.S. and Z.C.; visualization, Y.S. and G.L.; supervision, S.Z., Z.C., Y.B., Q.P. and X.G.; project administration, Y.S., S.Z. and X.G.; funding acquisition, Y.S., Q.P. and X.G. All authors have read and agreed to the published version of the manuscript.
Funding
This work was supported by the Beijing Natural Science Foundation (No. L252219); the Key Research and Development Program of Shandong Province (No. 2024CXPT043); and the “Haierou Project” Leading Talent Program in Industry.
Institutional Review Board Statement
Not applicable.
Informed Consent Statement
Not applicable.
Data Availability Statement
The data presented in this study are available from the corresponding authors upon reasonable request.
Acknowledgments
We gratefully acknowledge Li Wenlong from Chengdu Dien Photoelectric Technology Co., Ltd., for providing the high-quality ZGP crystals and coating services. Furthermore, we acknowledge the support of all members of the Laser Physics and Technology Center at the Technical Institute of Physics and Chemistry, Chinese Academy of Sciences. Finally, we sincerely appreciate the reviewers for their valuable comments and insightful suggestions.
Conflicts of Interest
Author Yiming Li was employed by the company Guoke Photon (Jinan) Laser Technology Co., Ltd. The remaining authors declare that the research was conducted in the absence of any commercial or financial relationships that could be construed as a potential conflict of interest.
References
- Gu, Y.; Niu, J.; Yang, J.; Xu, H. Application of laser in the medical field. Chin. Opt. 2023, 16, 283–295. [Google Scholar] [CrossRef]
- Fried, N.M. Recent advances in infrared laser lithotripsy. Biomed. Opt. Express 2018, 9, 4552–4568. [Google Scholar] [CrossRef] [PubMed]
- Niemz, M.H. Laser-Tissue Interactions: Fundamentals and Applications; Springer: Berlin/Heidelberg, Germany, 2019. [Google Scholar]
- Camacho, N.P.; West, P.; Torzilli, P.A.; Mendelsohn, R. FTIR microscopic imaging of collagen and proteoglycan in bovine cartilage. Biopolymers 2001, 62, 1–8. [Google Scholar] [CrossRef] [PubMed]
- Larson, E.; Hines, M.; Tanas, M.; Miller, B.; Coleman, M.; Toor, F. Mid-infrared absorption by soft tissue sarcoma and cell ablation utilizing a mid-infrared interband cascade laser. J. Biomed. Opt. 2021, 26, 043012. [Google Scholar] [CrossRef] [PubMed]
- Sierra, H.; Damanpour, S.; Hibler, B.; Nehal, K.; Rossi, A.; Rajadhyaksha, M. Confocal imaging of carbon dioxide laser-ablated basal cell carcinomas: An ex-vivo study on the uptake of contrast agent and ablation parameters. Lasers Surg. Med. 2016, 48, 133–139. [Google Scholar] [CrossRef]
- Mackanos, M.A.; Simanovskii, D.M.; Contag, C.H.; Kozub, J.A.; Jansen, E.D. Comparing an optical parametric oscillator (OPO) as a viable alternative for mid-infrared tissue ablation with a free electron laser (FEL). Lasers Med. Sci. 2012, 27, 1213–1223. [Google Scholar] [CrossRef]
- Edwards, G.; Logan, R.; Copeland, M.; Reinisch, L.; Davidson, J.; Johnson, B.; Maciunas, R.; Mendenhall, M.; Ossoff, R.; Tribble, J.; et al. Tissue ablation by a free-electron laser tuned to the amide II band. Nature 1994, 371, 416–419. [Google Scholar] [CrossRef]
- Edwards, G.S.; Austin, R.H.; Carroll, F.E.; Copeland, M.L.; Couprie, M.E.; Gabella, W.E.; Haglund, R.F.; Hooper, B.A.; Hutson, M.S.; Jansen, E.D.; et al. Free-electron-laser-based biophysical and biomedical instrumentation. Rev. Sci. Instrum. 2003, 74, 3207–3245. [Google Scholar] [CrossRef]
- Youn, J.I.; Sweet, P.; Peavy, G.M. A comparison of mass removal, thermal injury, and crater morphology of cortical bone ablation using wavelengths 2.79, 2.9, 6.1, and 6.45 microm. Lasers Surg. Med. 2007, 39, 332–340. [Google Scholar] [CrossRef]
- Tian, K.; Xiang, M.; Wen, X.; Guo, J.; He, L.; Yu, P.; Han, J.; Peng, X.; Wang, F.; Zhang, L.; et al. Tissue Ablation with Multi-Millimeter Depth and Cellular-Scale Collateral Damage by a Femtosecond Mid-Infrared Laser Tuned to the Amide-I Vibration. Laser Photonics Rev. 2023, 18, 2300421. [Google Scholar] [CrossRef]
- Edwards, G.S.; Allen, S.J.; Haglund, R.F.; Nemanich, R.J.; Redlich, B.; Simon, J.D.; Yang, W.C. Applications of free-electron lasers in the biological and material sciences. Photochem. Photobiol. 2005, 81, 711–735. [Google Scholar] [CrossRef] [PubMed]
- Peavy, G.M.; Reinisch, L.; Payne, J.T.; Venugopalan, V. Comparison of cortical bone ablations by using infrared laser wavelengths 2.9 to 9.2 µm. Lasers Surg. Med. 1999, 25, 421–434. [Google Scholar] [CrossRef]
- Couprie, M.E.; Ortéga, J.M. Free-electron lasers sources for scientific applications. Analusis 2000, 28, 725–736. [Google Scholar] [CrossRef]
- Kostadinov, I.K.; Temelkov, K.A.; Yankov, G.P.; Ivanov, B.L. High-beam-quality sealed-off laser system oscillating in middle infrared spectral range on strontium atomic transitions. Opt. Quantum Electron. 2020, 52, 94. [Google Scholar] [CrossRef]
- Kozub, J.; Ivanov, B.; Jayasinghe, A.; Prasad, R.; Shen, J.; Klosner, M.; Heller, D.; Mendenhall, M.; Piston, D.W.; Joos, K.; et al. Raman-shifted alexandrite laser for soft tissue ablation in the 6- to 7-µm wavelength range. Biomed. Opt. Express 2011, 2, 1275–1281. [Google Scholar] [CrossRef]
- Hendaoui, N.; Peremans, A.; Schunemann, P.; Zawilski, K.; Petrov, V. Synchronously pumped OPO for picosecond pulse generation in the mid-infrared near 6.45 μm using AgGaS2 and CdSiP2: A comparative study. Laser Phys. 2013, 23, 085401. [Google Scholar] [CrossRef]
- Boyko, A.; Marchev, G.; Petrov, V.; Pasiskevicius, V.; Kolker, D.; Zukauskas, A.; Kostyukova, N. Intracavity-pumped, cascaded AgGaSe2 optical parametric oscillator tunable from 5.8 to 18 µm. Opt. Express 2015, 23, 33460–33465. [Google Scholar] [CrossRef]
- Tyazhev, A.; Marchev, G.; Badikov, V.; Badikov, D.; Shevyrdyaeva, G.; Panyutin, V.; Petrov, V. Mid-infrared optical parametric oscillation in the wide-bandgap BaGa4S7 nonlinear crystal. In Proceedings of the Conference on Lasers and Electro-Optics (CLEO), San Jose, CA, USA, 6–11 May 2012. [Google Scholar] [CrossRef]
- Kostyukova, N.Y.; Boyko, A.A.; Badikov, V.; Badikov, D.; Shevyrdyaeva, G.; Panyutin, V.; Marchev, G.M.; Kolker, D.B.; Petrov, V. Widely tunable in the mid-IR BaGa4Se7 optical parametric oscillator pumped at 1064 nm. Opt. Lett. 2016, 41, 3667–3670. [Google Scholar] [CrossRef]
- Wen, N.; Shen, Y.; Wen, Y.; Wang, E.; Yao, J.; Fang, Y.; Gao, H.; Bo, Y.; Chen, Z.; Peng, Q. A Stable and Compact Mid-IR at 6.45 μm Exceeding 6 mJ of Pulse Energy BaGa4Se7 Optical Parametric Oscillator. Appl. Sci. 2023, 13, 6413. [Google Scholar] [CrossRef]
- Chaitanya Kumar, S.; Zawilski, K.T.; Schunemann, P.G.; Ebrahim-Zadeh, M. High-repetition-rate, deep-infrared, picosecond optical parametric oscillator based on CdSiP2. Opt. Lett. 2017, 42, 3606–3609. [Google Scholar] [CrossRef]
- Allik, T.H.; Chandra, S.; Rines, D.M.; Schunemann, P.G.; Hutchinson, J.A.; Utano, R. Tunable 7–12-µm optical parametric oscillator using a Cr,Er:YSGG laser to pump CdSe and ZnGeP2 crystals. Opt. Lett. 1997, 22, 597–599. [Google Scholar] [CrossRef] [PubMed]
- Ganikhanov, F.; Caughey, T.; Vodopyanov, K.L. Narrow-linewidth middle-infrared ZnGeP2 optical parametric oscillator. J. Opt. Soc. Am. B 2001, 18, 818–822. [Google Scholar] [CrossRef]
- Vodopyanov, K.L.; Schunemann, P.G. Broadly tunable noncritically phase-matched ZnGeP2 optical parametric oscillator with a 2-µJ pump threshold. Opt. Lett. 2003, 28, 441–443. [Google Scholar] [CrossRef] [PubMed]
- Stoeppler, G.; Schellhorn, M.; Eichhorn, M. Enhanced beam quality for medical applications at 6.45 μm by using a RISTRA ZGP OPO. Laser Phys. 2012, 22, 1095–1098. [Google Scholar] [CrossRef]
- Stoeppler, G.; Thilmann, N.; Pasiskevicius, V.; Zukauskas, A.; Canalias, C.; Eichhorn, M. Tunable Mid-infrared ZnGeP2 RISTRA OPO pumped by periodically-poled Rb:KTP optical parametric master-oscillator power amplifier. Opt. Express 2012, 20, 4509–4517. [Google Scholar] [CrossRef]
- Lv, Z.; Shen, Y.; Zong, N.; Bian, Q.; Wang, E.-P.; Chang, J.-Q.; Bo, Y.; Cui, D.-F.; Peng, Q.-J. 1.53 W all-solid-state nanosecond pulsed mid-infrared laser at 6.45 µm. Opt. Lett. 2022, 47, 1359–1362. [Google Scholar] [CrossRef]
- Edwards, G.S.; Evertson, D.; Gabella, W.; Grant, R.; King, T.L.; Kozub, J.; Mendenhall, M.; Jin, S.; Shores, R.; Storms, S.; et al. Free-electron lasers: Reliability, performance, and beam delivery. IEEE J. Sel. Top. Quantum Electron. 1996, 2, 810–817. [Google Scholar] [CrossRef]
- Hutson, M.S.; Edwards, G.S. Advances in the Physical Understanding of Laser Surgery at 6.45 Microns. In Proceedings of the 2004 FEL Conference, Trieste, Italy, 29 August–3 September 2004. [Google Scholar]
- Frolov, M.P.; Korostelin, Y.V.; Kozlovsky, V.I.; Podmar’kov, Y.P.; Savinova, S.A.; Skasyrsky, Y.K. 3 J pulsed Fe:ZnS laser tunable from 3.44 to 4.19 μm. Laser Phys. Lett. 2015, 12, 055001. [Google Scholar] [CrossRef]
- Schellhorn, M.; Spindler, G.; Eichhorn, M. Mid-infrared ZGP OPO with divergence compensation and high beam quality. Opt. Express 2018, 26, 1402–1410. [Google Scholar] [CrossRef]
Disclaimer/Publisher’s Note: The statements, opinions and data contained in all publications are solely those of the individual author(s) and contributor(s) and not of MDPI and/or the editor(s). MDPI and/or the editor(s) disclaim responsibility for any injury to people or property resulting from any ideas, methods, instructions or products referred to in the content. |
© 2026 by the authors. Licensee MDPI, Basel, Switzerland. This article is an open access article distributed under the terms and conditions of the Creative Commons Attribution (CC BY) license.








