Abstract
The CO2 injection technology for replacing CH4 to enhance coalbed methane (CBM) recovery (CO2-ECBM) offers dual benefits, i.e., reducing CO2 emissions through sequestration and increasing CBM recovery, thereby leading to economic gains. However, there is no clear consensus on how temperature and pressure affect the competitive adsorption characteristics of CO2 and CH4 mixed gases in coal. Therefore, the competitive adsorption behavior of CO2 and CH4 mixed gases at various pressures and temperatures were investigated using the breakthrough curve method. Anthracite was selected for the adsorption experiment conducted under three gas injection pressure levels (0.1 MPa, 0.5 MPa, and 1 MPa) and at three temperature levels (20 °C, 40 °C, and 60 °C). This study showed that, when the temperature remained constant and the pressure ranged from 0.1 to 1 MPa, the adsorption rates of CO2 and CH4 increased as pressure rose. Additionally, the selectivity coefficient for CO2/CH4 decreased with an increase in pressure, suggesting that higher pressures within this range are not conducive to the replacement efficiency of CH4 by CO2. As the temperature increased from 20 to 60 °C under constant pressure conditions, both the selectivity coefficients for CO2/CH4 and the adsorption rates of CO2 and CH4 exhibited a downward trend. These findings imply that, within this temperature range, a reduced temperature improves the ability of CO2 to efficiently displace CH4. Moreover, CO2 exhibits a higher isosteric heat of adsorption compared to CH4.
1. Introduction
Coal has served as a primary energy source worldwide and has been fundamental to the development of essential energy infrastructure, playing a crucial role in supporting global economic development [1]. As a form of nontraditional natural gas, coalbed methane (CBM) consists mainly of methane (CH4) and is predominantly stored within coal seams [2]. To address the challenge of utilizing CBM stored in coal seams in a rational, efficient, and environment-friendly manner, the technology of injecting carbon dioxide (CO2) to enhance CBM recovery (CO2-ECBM) has been increasingly favored by scholars. Substituting CO2 for CH4 in the CO2-ECBM technology facilitates CBM recovery, while reducing greenhouse gas emissions. Additionally, this method improves CBM recovery and yields greater economic benefits than environmental advantages [3,4]. Despite the widespread recognition of the CO2-ECBM concept and its potential for CO2 storage in coal seams, its large-scale implementation has progressed slowly [5]. Many critical questions remain unanswered, such as those pertaining to the cost–benefit analysis of CO2 capture, transportation, and injection, as well as how to optimize injection strategies to enhance CH4 recovery rates and CO2 storage efficiency.
Studies have demonstrated that coal exhibits varying adsorption capabilities for different gases [6,7]. Through experiments at different temperatures and pressures [8], Zhu et al. examined the adsorption capacities of three pure gases (CO2, CH4, and N2) on three types of coal. Experiments on the adsorption of pure gases revealed that the adsorption capacities of different gases decreased with increasing temperature, with CO2 exhibiting a significantly higher adsorption capacity than both CH4 and N2. Investigations have been carried out regarding the competitive adsorption of gas mixtures in coal. Yu et al. conducted single-component gas adsorption experiments on CH4 and CO2 at 28 °C and predicted the adsorption capacities of gas mixtures with compositions of 25% CO2 + 75% CH4, 65% CO2 + 35% CH4, and 85% CO2 + 15% CH4, using single-component adsorption isotherm model parameters [9]. The results showed that the gas mixtures exhibited adsorption capabilities that were between those observed for pure CO2 and CH4. Huang et al. conducted experiments on CO2 and CH4 mixed gases in three different ratios (1:3, 2:2, and 3:1), demonstrating that the adsorption capacities of these mixed gases conformed to this rule [10].
The selectivity of CO2/CH4 is another significant factor for competitive adsorption in coal. This coefficient is used to evaluate the effectiveness of replacing a weak adsorbate gas with a strong adsorbate gas [11,12]. Most current studies indicate that the adsorption selectivity of CO2/CH4 is greater than 1 when CO2 and CH4 mixed gases compete for adsorption in coal or shale [13,14,15]. Bai et al. created a molecular model of anthracite coal and performed the competitive adsorption simulations of CO2 and CH4 mixed gases at a constant temperature of 298 K and pressure ranging from 0.1 MPa to 5 MPa [16]. Molecular simulations revealed that the selectivity of CO2/CH4 decreased as the pressure increased. Zhang et al. conducted competitive adsorption experiments with different ratios of CO2 and CH4 mixed gases (25% CO2 + 75% CH4, 50% CO2 + 50% CH4, and 75% CO2 + 25% CH4) and arrived at the same conclusion [17]. Tao et al. applied the Monte Carlo method to study the adsorption selectivity of CO2/CH4 in coal, setting a temperature range between 278 and 398 K [18]. The results showed that the selectivity of CO2/CH4 decreased as the pressure increased from 0 MPa to 6 MPa, remained constant at a pressure between 6 MPa and 10 MPa, and decreased with temperature. Jia et al. conducted molecular simulations and found that the adsorption selectivity of CO2/CH4 initially increases and then decreases with the increase in pressure [19]. Li et al. developed three coal molecular models with different coal steps, demonstrating that the selectivity of CO2/CH4 decreased as the number of coal steps increased [20]. Guang et al. conducted competitive adsorption experiments of CO2 and CH4 mixed gases on coal at different steps, further discovering that the adsorption selectivity exhibits an asymmetric inverse parabolic trend with pressure for coal rank from coking coal to anthracite coal (Ro,max > 1.78%), and for gas coal, long-flame coal, and lignite (Ro,max < 1.78%), the adsorption selectivity follows a general decreasing tendency with the increase in pressure [21]. The study by Zhang et al. revealed that higher-order coal exhibited a higher selectivity for CO2/CH4 due to its better-developed microstructure and pore characteristics [22]. Molecular simulation technology provides an effective study method for studying the competitive adsorption behavior of gas mixtures in coal [23]. Owing to the limitations of molecular simulation technology and sophisticated coal molecules [24], the reliability of molecular simulation results still needs to be verified by experimental results.
Overall, Chinese and international researchers have made significant contributions to our understanding of the competitive adsorption characteristics of gas mixtures in coal. However, the details of the competitive adsorption process are not well understood, and there is no unified understanding of the effects of temperature and pressure on the competitive adsorption process of mixed gases in coal. Therefore, this study aims to reveal the dynamic process of competitive adsorption of CO2 and CH4 mixed gases in coal using the breakthrough curve method and to analyze how pressure and temperature influence this competitive adsorption process, further understanding the competitive adsorption mechanism of mixed gases in coal.
2. Materials and Methods
2.1. Coal Sample
Anthracite was picked from the underground mining face of the Shanxi Chengzhuang mine and transported to the laboratory in sealed bags. After removing the surface layer of the coal sample in the laboratory, the samples were mechanically crushed and sieved to a particle size of 60–80 mesh. Subsequently, the processed samples were sealed and stored in self-sealing bags for use in subsequent experiments. The experimental coal samples were analyzed in accordance with the Elemental Analysis of Coal (GB/T 31391-2015) [25] and the Industrial Analysis Method of Coal (GB/T 212-2008) [26]. The pore structure of the coal sample was also evaluated in a previous study [27]. The results of the analysis are presented in Table 1 and Table 2.
Table 1.
The results of the elemental and industrial analyses of the coal sample.
Table 2.
The pore parameters of the coal sample.
2.2. Experimental Methods
Competitive adsorption experiments were performed using a Multi-Constituent Adsorption Breakthrough Curve Analyzer (model BSD-MAB; Beishide Instrument Technology Co., Ltd., Beijing, China). Additionally, an online mass spectrometer (MS) (INFICON, Hamburg, Germany) was connected to the system to monitor the gas concentration at the outlet of the breakthrough column in real time.
The experimental protocol for the competitive adsorption of mixed gases is outlined as follows:
- (1)
- The coal sample was set in a drying cabinet at 100 °C for a predetermined drying time.
- (2)
- A 25 mL penetrating column with an inner diameter of 10 mm was selected. Quartz asbestos was inserted at one end of the column, followed by filling of the column with the coal sample. Quartz asbestos was then added to the other end. Once loaded, the column was placed into the heating furnace.
- (3)
- Helium was purged into the penetrating column at a flow rate of 10 mL/min. First, the vacuum meter was heated by setting the temperature to 100 °C for 2 h. Subsequently, in situ heating was activated under atmospheric pressure for 30 min.
- (4)
- The four-way valve was adjusted and the CO2 and CH4 mixed gas concentrations were set to equal proportions. For the experimental procedures, temperatures of 20, 40, and 60 °C were employed. The pressure was set to 0.1, 0.5, and 1 MPa. The zero-concentration signal was identified using the MS, with no gas passing through the penetration column. Once the MS signal stabilized, the four-way valve was switched to allow gas to pass through the penetration column. After completing the gas concentration test, mass spectrometry detection was stopped while the gas flow and valve were closed.
2.3. Data Processing
Figure 1 illustrates the competitive adsorption breakthrough curves for a two-component mixed-gas system [28]. The “gas 1” curve shows the ratio of outlet to inlet concentration for the strongly adsorbed gas, while the “gas 2” curve illustrates the corresponding ratio for the weakly adsorbed gas. The areas labeled S1 + S2 represent the adsorption region for “gas 1”, while the area labeled S3 − S1 represents the adsorption region for “gas 2” in the breakthrough curve. These areas indicate the adsorption capacities for “gas 1” and “gas 2” as follows:
where nads1 and nads2 denote the dynamic adsorption capacities of the gas components (mL/g); F is the volumetric flow of the mixed gas (mL/min); y1 and y2 are the mole fractions of the two gases; C1 and C2 are the outlet concentrations of the two gases; C0 is the inlet concentration of the two gases; t1 and t2 are the breakthrough time of the two gases; and m represents the mass of the adsorbent (g).
Figure 1.
Breakthrough curves for typical binary mixed gases.
In this study, the adsorption selectivity coefficient of CO2/CH4 was determined using the following formula [29]:
Equal volume fractions were assigned to CO2 and CH4, indicating that α represents the ratio of the adsorption areas of “gas 1” and “gas 2” in the breakthrough curve.
An adsorption selectivity coefficient of >1 indicates that “gas 1” can displace “gas 2”, with higher values of “gas 1” being more effective in displacing “gas 2”.
Furthermore, the breakthrough point and the difference in the breakthrough time between the gas components were analyzed. The breakthrough point was defined as the time at which the outlet concentration of the gas component in the breakthrough curve reached 5% of the inlet concentration [30]. This parameter indicates the mass transfer rate of the gas component, as demonstrated by its position on the curve. The smaller the breakthrough point, the faster the breakthrough of the gas component occurred, indicating a higher mass transfer rate. The difference in the breakthrough time between gas components represents the time elapsed between the entry of different gases into the device and the first instance when their concentration reached the breakthrough point at the outlet end [31]. A greater difference in the breakthrough time corresponded to a more significant variation in the adsorption capacity of the two gas components on the adsorbent material.
2.4. Theoretical Modeling
2.4.1. Kinetic Model of Adsorption
The adsorption rate represents the gas adsorption capacity over a unit of time. In this study, the Bangham adsorption kinetic model was used to describe the adsorption rate results. The Bangham equation is expressed as follows [32]:
where nt is the adsorption capacity at time t (mL/g), t indicates the adsorption time (min), z denotes the constant, kb refers to the Bangham adsorption velocity constant (min−1), and ne is the adsorption capacity at equilibrium.
The adsorption rate is obtained by differentiating the Bangham equation, as follows:
2.4.2. Adsorption Heat
Under conditions of low pressure, gas adsorption follows the principles of Henry’s law [33]. The mathematical expression for Henry’s law is expressed as follows:
where n represents the adsorbed capacity of the gas, K indicates Henry’s law constant, and p refers to the gas pressure.
The Van’t Hoff equation provides a means to determine the isosteric heat of adsorption (q∆H), which can be represented mathematically as follows [34]:
where K is the Henry’s law constant, T is the absolute temperature, and R is the universal gas constant.
Plotting lnK against 1/T based on the Van’t Hoff equation reveals the slope of the resulting line corresponding to −qΔH/R. The Virial expansion equation was employed to compute the Henry’s law constant (K) [35]. The Virial expansion equation is expressed as follows:
where z0, z1, z2, and z3 are the virial coefficients, and K = exp(z0). When the adsorption capacity is significantly small, the third term and higher-order terms in the Virial equation are negligible, simplifying the equation as follows [36]:
By plotting ln(p/n) against n, the z0 can be determined from the negative intercept of the resulting line.
3. Results and Discussion
3.1. Competitive Adsorption Breakthrough Curves
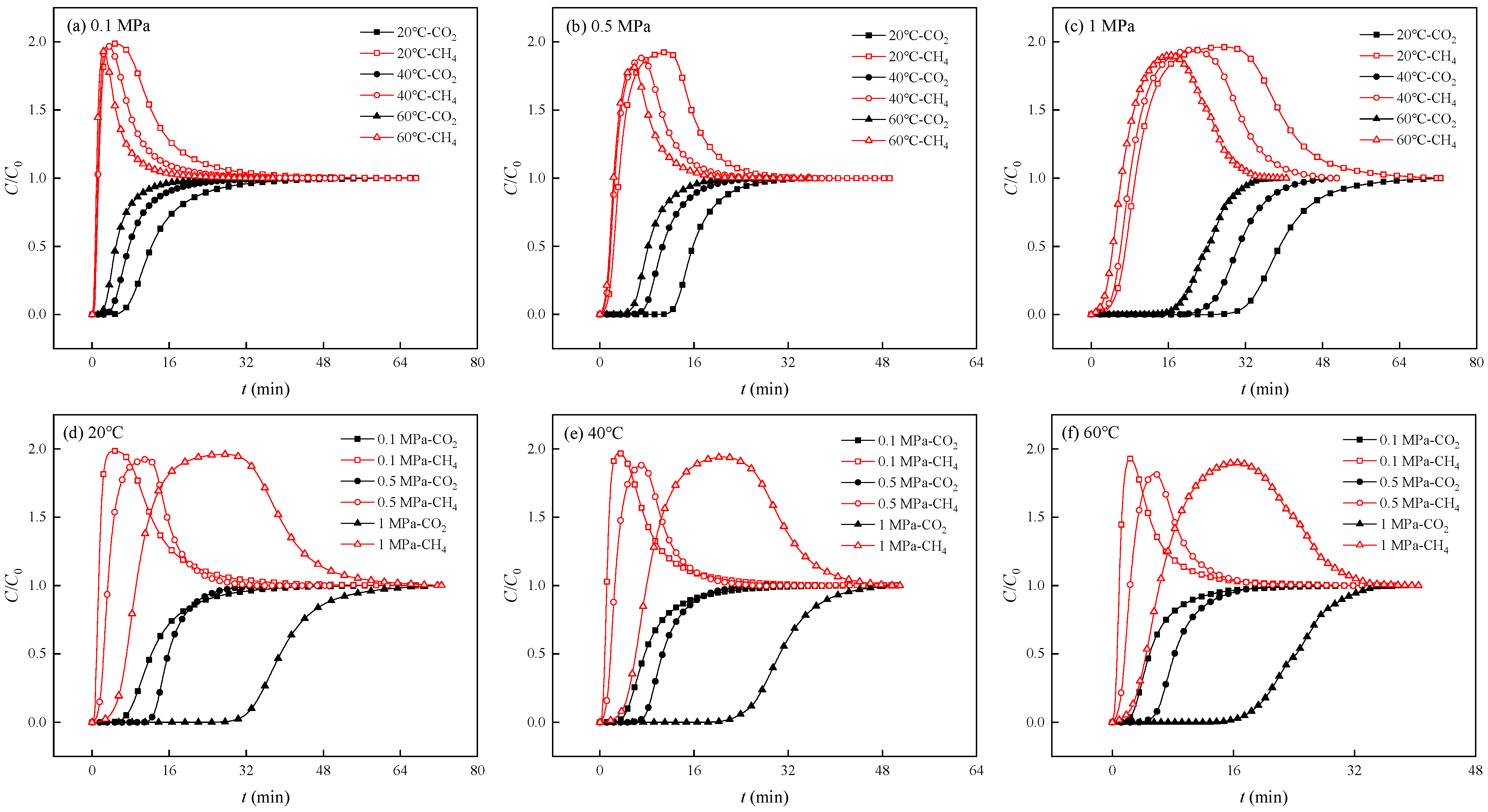
Figure 2 shows the breakthrough curves at different pressures and temperatures. Table 3 summarizes the breakthrough experimental parameters obtained from the tests. Table 3 indicates that, under equivalent pressure and temperature conditions, CH4 consistently reaches its breakthrough point earlier than CO2, indicating that coal exhibits stronger adsorption selectivity for CO2. Figure 2a–f show that the breakthrough curves for CO2 consistently demonstrate an initial phase where the relative concentration (C/C0) remains zero. After a certain period, the CO2 breakthrough curve gradually increases. Finally, when the relative concentration (C/C0) reaches 1, it remains stable. The overall trend of the CH4 breakthrough curve illustrates that the ratio of the CH4 outlet concentration to the inlet concentration increases rapidly from 0 at the beginning. The concentration continues to increase until the outlet concentration equals the inlet concentration. Once the relative concentration (C/C0) approaches 2, the curve begins to slow down, forming a bulge in the image [37]. Finally, the relative concentration (C/C0) decreases to near 1 and remains stable. Owing to the replacement effect of CO2 on CH4, the outlet concentration of CH4 exceeds its inlet concentration, forming a raised peak in the graph. Once both CO2 and CH4 reach adsorption saturation, the ratio of their outlet concentration to inlet concentration begins to approach 1.
Figure 2.
Breakthrough curves for CO2 and CH4 at various pressures and temperatures: (a) breakthrough curves at 0.1 MPa; (b) breakthrough curves at 0.5 MPa; (c) breakthrough curves at 1 MPa; (d) breakthrough curves at 20 °C; (e) breakthrough curves at 40 °C; and (f) breakthrough curves at 60 °C.
Table 3.
Breakthrough experimental parameters for CO2 and CH4 adsorption.
Figure 2a–c and Table 3 illustrate that, as temperature rises while pressure remains constant, the breakthrough points for both CO2 and CH4 and the difference in the breakthrough time exhibit a downward trend. This indicates that a higher temperature inhibits the adsorption of mixed gas in coal, with the effect on CO2 being stronger than that on CH4. Figure 2d–f and Table 3 illustrate that, as pressure rises while temperature remains steady, the breakthrough points for both CO2 and CH4 and the difference in the breakthrough time exhibit an upward trend. This suggests that a higher pressure enhances the adsorption of mixed gas in coal, with a more pronounced effect on CO2 than on CH4.
3.2. Adsorption Capacity and Rate
Figure 3 illustrates the time-dependent adsorption capacity curves of the two gases at the same pressure but at different temperatures. Figure 3 shows that the adsorption capacities of the two gases increases with time and stabilizes once equilibrium is reached. As temperature rises under constant pressure conditions, the adsorption capacities for both CO2 and CH4 experience a concurrent decline.
Figure 3.
(a–c) Time-dependent adsorption capacity curves of CO2. (d–f) Time-dependent adsorption capacity curves of CH4.
To analyze the adsorption rate during the competitive adsorption process, the Bangham adsorption kinetics model was used for fitting. Figure 3 presents the fitting results, and Table 4 summarizes the corresponding fitted parameters. In Table 4, kb represents the adsorption rate constant of the gas component. The Bangham model exhibits a remarkably strong fit to the experimental data, with the correlation coefficient (R2) consistently surpassing 0.99.
Table 4.
Fitting parameters of the Bangham model.
The equilibrium adsorption capacities of the two gases at different pressures and temperatures are presented in Figure 4. Figure 4 demonstrates that the adsorption capacity of CO2 exceeds that of CH4 under identical temperature and pressure conditions. This observation is consistent with previous study findings [8,9,10]. This is attributed to the straight molecular geometry of CO2 and the difference in electronegativity between carbon and oxygen, leading to a stronger quadrupole moment for CO2. In contrast, the CH4 molecule has a tetrahedral structure with a uniform electronegativity distribution and weaker polarity. Consequently, CO2 molecules can potentially interact with polar sites (e.g., oxygen-containing functional groups of coal), thereby enhancing the adsorption capacity [38]. Additionally, the linear structure of the CO2 molecule enables it to fill the pores of the adsorbent better, further enhancing the adsorption efficiency. At a constant temperature, the adsorption capacities of CO2 and CH4 increase as pressure increases, with a more significant increase observed in the 0.5–1 MPa range than in the 0.1–0.5 MPa range. As temperature rises under constant pressure conditions, the adsorption capacities of the two gases show a decline. The observed decline could be a result of the temperature-induced enhancement in the kinetic energy of the gas molecules. As gas molecules gain kinetic energy, they are more likely to desorb from adsorption sites.
Figure 4.
Equilibrium adsorption capacities of two gases at different pressures and temperatures.
A statistical significance test is conducted on the fitted adsorption capacities of the two gases [39]. A two-way ANOVA was performed using the Origin software v9.6.5.169 to analyze the effects of temperature and pressure on the adsorption capacities of CO2 and CH4. The results are shown in Table 5. The results indicated that, at the 0.05 significance level, the p-value for temperature of CO2 was 0.00563, and the p-value for pressure of CO2 was 3.42924 × 10−4. Furthermore, at the 0.05 significance level, the p-value for temperature of CH4 was 0.09525, and the p-value for pressure of CH4 was 2.6889 × 10−4. From these results, it can be concluded that temperature has a more significant impact on the adsorption capacity of CO2 than on the adsorption capacity of CH4, while pressure has a more significant impact on the adsorption capacity of CH4 than on the adsorption capacity of CO2.
Table 5.
Overall analysis of variance (ANOVA).
To compare the variations in the adsorption capacities of the two gases with temperature and pressure, the relative reduction in the adsorption capacities was calculated as the temperature increased from 20 °C to 60 °C at a constant pressure. Additionally, the relative increase in the adsorption capacities was calculated as the pressure increased from 0.1 MPa to 1 MPa while maintaining a constant temperature. Table 6 presents the results of the calculations. Table 6 presents that, as the temperature rises from 20 °C to 60 °C at a constant pressure of 0.1 MPa, the adsorption capacity of CO2 shows a significant decrease of 55.553%. In contrast, under the same conditions, the adsorption capacity of CH4 exhibits a low reduction of 39.466%. A similar trend is observed at pressures of 0.5 MPa and 1 MPa.
Table 6.
Changes in adsorption capacities at different temperatures and pressures.
As the pressure rises from 0.1 MPa to 1 MPa at a temperature of 20 °C, the adsorption capacity of CO2 exhibits a 141.668% rise, while the adsorption capacity of CH4 shows a more significant increase of 479.724%. Similarly, at 40 and 60 °C, the adsorption capacity of CH4 exhibits a more substantial relative increase compared to that of CO2.
Figure 5 illustrates the adsorption rate constants (kb) for various gas components. Figure 5 shows that, at a constant temperature, kb of the two gases decreases as the pressure increases. In contrast, at a constant pressure, an increase in temperature leads to a higher kb for both gases.
Figure 5.
Adsorption velocity constants (kb) of (a) CO2 and (b) CH4 at various conditions.
Figure 6 illustrates the time-dependent adsorption rate curves. The adsorption rate is dynamic, progressing as the adsorption rates of the two gases increase rapidly at first and then decrease gradually. At constant temperature and pressure, the initial adsorption rate for CH4 is higher than that for CO2. However, as time progresses, CO2 begins to adsorb more rapidly than CH4, and this trend persists for the duration of the adsorption process. Specifically, CO2 exhibits a higher peak adsorption rate compared to CH4. Table 4 shows that, at the same pressure and temperature, kb of CH4 exceeds that of CO2. Based on the Bangham model, the adsorption rate is influenced by kb and the adsorption capacity of the gas. Despite CH4 having a higher kb than CO2, the adsorption capacity of CO2 is considerably greater. Thus, CO2 exhibits a faster adsorption rate compared to CH4. As illustrated in Figure 6, when pressure remains constant, the adsorption rates of CO2 and CH4 decline more rapidly at higher temperatures. As temperature rises at a fixed pressure, the adsorption capacities of the two gases show a downward trend, while their kb values simultaneously increase. The adsorption rates of the two gases decrease at elevated temperatures due to a reduction in adsorption capacity. Additionally, Figure 6 demonstrates that, as the pressure increases, the decline in the adsorption rates of the two gases becomes less pronounced. As the temperature remains constant, the adsorption capacities of the two gases increase with the rise in pressure, while their kb values decrease. The adsorption rates of the two gases exhibit an upward trend with the increase in pressure, attributed to the enhancement in adsorption capacity.
Figure 6.
Time-dependent adsorption rate curves of CO2 and CH4 at (a) 0.1 MPa, (b) 0.5 MPa, and (c) 1 MPa.
According to the experimental results in 3.1 and the analysis of adsorption capacity and rate, the competitive adsorption and displacement process of CO2 and CH4 in coal can be deduced. CO2 and CH4 compete for adsorption sites on the coal surface, and due to its stronger adsorption capacity, CO2 preferentially occupies the adsorption sites. As the adsorption capacity of CO2 increases, it gradually displaces the already adsorbed CH4, resulting in a bulge in the breakthrough curve of CH4. The increase in temperature leads to a reduction in the adsorption capacity of both CO2 and CH4, with the decrease in adsorption of CO2 being more significant than that of CH4. Additionally, the adsorption rates of both two gases decrease, and the effectiveness of CO2 in displacing CH4 diminishes, causing the bulge in the breakthrough curve of CH4 to decrease. Contrarily, an increase in the pressure leads to an increase in the adsorption capacity of both CO2 and CH4, with the increase in adsorption of CO2 being less pronounced than that of CH4. Moreover, the adsorption rates of the two gases increase. During the pressure increase from 0.1 MPa to 0.5 MPa, the effect of increased adsorption capacity on the displacement of CH4 by CO2 is greater than the effect of increased adsorption rates, resulting in a decrease in the bulge of the breakthrough curve of CH4. However, during the pressure increase from 0.5 MPa to 1 MPa, the effect of increased adsorption rates on the displacement of CH4 by CO2 surpasses the effect of increased adsorption capacity, leading to an increase in the bulge of the breakthrough curve of CH4.
3.3. Analysis of Adsorption Selectivity
Figure 7 illustrates the changes in adsorption selectivity coefficients of CO2/CH4 under different pressures and temperatures, and the corresponding results of the adsorption selectivity are shown in Table 7. Table 7 and Figure 7 demonstrate that, under a constant temperature, the adsorption selectivity for CO2/CH4 shows an inverse relationship with the increase in pressure. In previous studies, some researchers have suggested that the adsorption selectivity coefficient for CO2/CH4 decreases with an increase in pressure [15,17], while others have proposed that the adsorption selectivity coefficient for CO2/CH4 initially increases and then decreases with a rise in pressure [19,21]. This indicates that the adsorption selectivity coefficient for CO2/CH4 varies differently with pressure for different types of coal [40]. As previously analyzed, the increment in pressure induces an increment in the adsorption capacity for both CO2 and CH4; however, the relative increment in the adsorption capacity of CH4 is more significant than that of CO2, leading to a decreased adsorption selectivity for CO2/CH4. At a constant pressure, the adsorption selectivity for CO2/CH4 shows a negative correlation with the rise in temperature. As previously analyzed, higher temperatures result in a reduction in the adsorption capacities of the two gases; however, the relative decrease in CO2 exceeds that in CH4, resulting in a decreased adsorption selectivity for CO2/CH4. Moreover, a rise in temperature could potentially reduce the specific surface area of coal’s micropores [41]. Table 2 shows that the coal sample exhibits a high proportion of well-developed micropores (d ≤ 2 nm). The decrease in the specific surface area of the micropores leads to fewer adsorption sites for gas molecules. CO2, with its stronger adsorption selectivity, occupies more of these sites, contributing to a larger decrease in CO2 in coal.
Figure 7.
Adsorption selectivity coefficients for CO2/CH4 at different pressures and temperatures.
Table 7.
Adsorption selectivity coefficients for CO2 and CH4 at varying pressures and temperatures.
3.4. Thermodynamic Analysis of the Adsorption Process
Figure 8 illustrates the fitting curves of ln(p/n) versus n for the gas components at various temperatures, and Table 8 lists the corresponding parameters. Additionally, Figure 9 shows the fitted curve of lnK versus 1/T, based on Henry’s law constant (K). The isosteric heats of CO2 and CH4 were obtained from the slope of the fitted line. The isosteric heat values of CO2 and CH4 are 27.46 kJ/mol and 11.09 kJ/mol, respectively, suggesting that both gases undergo physical adsorption (<40 kJ/mol). The values are consistent with those reported in previous studies [19,21], and CO2 exhibits a higher isosteric heat compared to CH4. This is because, while CO2 molecules are generally linearly symmetrical and non-polar, the electronegativity difference between the carbon and oxygen atoms during the adsorption process results in an uneven distribution of the electron cloud. During the adsorption process, CO2 molecules may experience some polarity interactions with the adsorbent surface, whereas CH4 molecules, with their completely symmetrical tetrahedral structure and uniform electronegativity distribution, lack polarity [42]. Additionally, the kinetic diameter of CO2 molecules (0.33 nm) is smaller than that of CH4 molecules (0.38 nm) [43]. This smaller molecular size allows CO2 to penetrate deeper into the micropores and slits of the adsorbent, accessing more adsorption sites, thereby increasing the isosteric heat. A higher isosteric heat indicates that the adsorption process encounters significant energy barriers, potentially resulting in a lower adsorption rate during the initial stage. However, once adsorption begins, stronger interactions promote an increase in the adsorption rate. The adsorption capacity for CO2 surpasses that of CH4, with the adsorption selectivity coefficient of CO2/CH4 exceeding 1. This phenomenon correlates with the higher adsorption heat of CO2 in comparison to that of CH4. This finding suggests that CO2 has advantages in the competitive adsorption.
Figure 8.
Fitting curve of ln(p/n) versus n for CO2 and CH4 adsorption.
Table 8.
Fitting parameters of the Virial equation.
Figure 9.
Relationship between lnK and 1/T.
4. Conclusions
The optimization of CO2 injection parameters to maximize the displacement effects of CO2 on pre-adsorbed CH4 is an urgent issue that needs to be addressed for the CO2-ECBM technology. This study demonstrates the competitive adsorption process of CO2 and CH4 mixed gases in coal at various pressures and temperatures using the breakthrough curve method. The key conclusions that can be drawn are as follows:
- (1)
- At a constant temperature and within the pressure range of 0.1 MPa to 1 MPa, the adsorption capacities and rates of CO2 and CH4 increase with the increase in pressure. Additionally, the relative increase in the adsorption capacity of CH4 exceeds that of CO2, which results in the selectivity coefficient for CO2/CH4 decreasing with an increase in pressure, indicating that high pressure in the range of 0.1 MPa to 1 MPa is unfavorable for the replacement efficiency of CH4 by CO2.
- (2)
- At a constant pressure and within the temperature range of 20–60 °C, the adsorption capacities and rates of CO2 and CH4 decrease with the increase in temperature and the relative decrease in the adsorption capacity of CO2 is greater than that of CH4. Thus, the selectivity coefficient for CO2/CH4 decreases as temperature rises, indicating that lower temperatures are beneficial to the replacement efficiency of CH4 by CO2.
- (3)
- The isosteric heat values of CO2 and CH4 are 27.46 kJ/mol and 11.09 kJ/mol, respectively, suggesting that both gases undergo physical adsorption. The isosteric heat value of CO2 is greater than that of CH4, which may be because CH4 molecules lack polarity and have a larger molecular size compared to CO2 molecules.
- (4)
- A higher isosteric heat indicates that the adsorption process encounters significant energy barriers, potentially resulting in the initial adsorption rate of CH4 being higher than that of CO2. As time progresses, CO2 begins to adsorb more rapidly than CH4, and this trend persists for the duration of the adsorption process.
- (5)
- In this study, only the operational conditions (temperature and pressure) were varied to evaluate their effects on the competitive adsorption behavior. Other factors, such as the composition ratio of mixed gases, specific surface area of coal, porosity, pore size, particle size, and moisture content, remain insufficiently understood.
- (6)
- To further improve the understanding of the competitive adsorption behavior of coal for gas mixtures, future studies should investigate the effects of modifying the composition ratio of CO2 and CH4, using different coal grades, or varying the moisture content of coal on the competitive adsorption characteristics.
Author Contributions
Conceptualization, Y.Z. (Yijin Zhu) and H.L.; Methodology, Y.Z. (Yijin Zhu), J.L. and C.Z.; Investigation, Y.Z. (Yijin Zhu), C.Z and Y.Z. (Yunpeng Zhao); Data Curation, Y.Z. (Yunpeng Zhao); Writing—Original Draft Preparation, Y.Z. (Yijin Zhu) and H.L.; Writing—Review & Editing, H.L., J.L. and C.Z.; Project Administration, H.L. All authors have read and agreed to the published version of the manuscript.
Funding
This research was funded by the National Natural Science Foundation of China (52204243), and the Natural Science Foundation of Xinjiang Uygur Autonomous Region (2021D01C085).
Data Availability Statement
The experimental data can be provided upon request to the corresponding author.
Acknowledgments
The authors thank Beishide Instrument Technology Co., Ltd. for their assistance.
Conflicts of Interest
The authors declare no conflicts of interest.
References
- Wang, W.D.; Li, S.J.; Han, J.X. Analysis of coal supply and demand situation and industry development prospect in major coal resource countries in the world. China Min. Mag. 2015, 24, 5–9. [Google Scholar]
- Lin, Y.B.; Qin, Y.; Duan, Z.H.; Ma, D.M. Coalbed methane exploration technology and method in coal resource exploration. Coal Geol. Explor. 2019, 47, 90–97. [Google Scholar]
- Asif, M.; Wang, L.; Naveen, P.; Longinos, S.N.; Hazlett, R.; Ojha, K.; Panigrahi, D.C. Influence of competitive adsorption, diffusion, and dispersion of CH4 and CO2 gases during the CO2-ECBM process. Fuel 2024, 358, 130065. [Google Scholar] [CrossRef]
- Zhang, K.; Sang, S.X.; Liu, S.Q.; Liu, C.J. Feasibility and existing problems of CO2-ECBM technology. China Coalbed Methane 2016, 13, 43–46. [Google Scholar]
- Zhu, W.C.; Liu, S.Y.; Zhang, X.F.; Wei, C.H. Coupled coal-gas interaction during CBM and CO2-ECBM recovery in coal seams: A critical review. Geomech. Geophys. Geo-Energy Geo-Resour. 2022, 8, 195. [Google Scholar]
- Cui, Y.J. Study on the Adsorption of CH4, N2, CO2, and Multicomponent Gases on Coal. Ph.D. Thesis, China Coal Research Institute, Xi’an, China, 2003. [Google Scholar]
- Battistutta, E.; Van Hemert, P.; Lutynski, M.; Bruining, H.; Wolf, K.-H. Swelling and sorption experiments on methane, nitrogen and carbon dioxide on dry Selar Cornish coal. Int. J. Coal Geol. 2010, 84, 39–48. [Google Scholar] [CrossRef]
- Zhu, C.; Hu, S.J.; Gao, Z.S.; Liu, N.; Liu, Q.; Liu, T. Experimental comparison of CO2, CH4, and N2 adsorption capacity on typical Chinese coals at different temperatures. Energy Sources Part A 2024, 46, 14526–14537. [Google Scholar] [CrossRef]
- Yu, H.G.; Fang, W.T.; Sun, M.Y.; Ye, J.P. Isothermal adsorption characteristics and prediction of CH4/CO2 binary gas on coal. J. China Coal Soc. 2005, 5, 76–80. [Google Scholar]
- Huang, K.B.; Du, X.D.; Li, K.G.; Zhou, J.P.; Zhang, D.F.; Abbas, N.; Cheng, Y.G.; Wu, T.F.; Liu, G.J.; He, C. Competitive adsorption of CO2 / CH4 on coal: Insights from thermodynamics. Alex. Eng. J. 2024, 97, 114–126. [Google Scholar]
- Brochard, L.; Vandamme, M.; Pellenq, R.J.-M.; Fen-Chong, T. Adsorption-induced deformation of microporous materials: Coal swelling induced by CO2–CH4 competitive adsorption. Langmuir 2012, 28, 2659–2670. [Google Scholar]
- Zhao, Y.L.; Feng, Y.H.; Zhang, X.X. Selective adsorption and selective transport diffusion of CO2–CH4 binary mixture in coal ultramicropores. Environ. Sci. Technol. 2016, 50, 9380–9389. [Google Scholar] [CrossRef] [PubMed]
- Liu, A.; Liu, S.M.; Zhang, K.M.; Xia, K.M. Competitive sorption of CH4 and CO2 on coals: Implications for carbon geo-storage. Sep. Purif. Technol. 2025, 354, 129399. [Google Scholar] [CrossRef]
- Liao, Q.; Zhou, J.P.; Xian, X.F.; Yang, K.; Zhang, C.P.; Dong, Z.Q.; Yin, H. Competition adsorption of CO2/CH4 in shale: Implications for CO2 sequestration with enhanced gas recovery. Fuel 2023, 339, 127400. [Google Scholar] [CrossRef]
- Zhang, J.Y.; Zhou, J.P.; Xian, X.F.; Jiang, Y.D.; Tang, J.R.; Liao, Q.; Li, H.L.; Chen, Y.L. Adsorption behavior and thermodynamic analysis of pure and binary CO2/CH4 mixture on shale. Gas Sci. Eng. 2025, 134, 205520. [Google Scholar] [CrossRef]
- Bai, G.; Zhang, H.J.; Zhang, X.; Fan, C.J.; Wang, J.; Wei, J.; Zhang, Y.L. Simulation study of competitive adsorption of CH4/CO2 and CH4/N2 in anthracite coal. Energy Rep. 2024, 12, 6082–6092. [Google Scholar] [CrossRef]
- Zhang, S.H.; Tang, S.H.; Li, Z.C.; Liu, B.; Wang, R.X. Effect of pore structure on competitive sorption and diffusion of mixed methane and carbon dioxide in anthracite, South Qinshui Basin, China. Int. J. Coal Geol. 2022, 253, 103956. [Google Scholar] [CrossRef]
- Tao, H.H.; Zhang, L.H.; Liu, Q.G.; Zhao, Y.L.; Feng, Q. Competitive adsorption and selective diffusion of CH4 and the intruding gases in coal vitrinite. Energy Fuels 2019, 33, 6971–6982. [Google Scholar] [CrossRef]
- Jia, J.Z.; Wang, D.M.; Li, B.; Wu, Y.M.; Zhao, D. Molecular simulation study on the effect of coal metamorphism on the competitive adsorption of CO2/CH4 in binary system. Fuel 2023, 335, 127046. [Google Scholar] [CrossRef]
- Li, Y.; Yang, Z.Z.; Li, X.G. Molecular simulation study on the effect of coal rank and moisture on CO2 / CH4 competitive adsorption. Energy Fuels 2019, 33, 9087–9098. [Google Scholar] [CrossRef]
- Guang, W.F.; Zhang, Z.Y.; Liu, X.Q.; He, X.J.; Luo, P.; Lu, Y.P. Adsorption selectivity of confined CH4-CO2 mixture in coal: Influence of physicochemical structure and thermodynamic competitive mechanism. Sep. Purif. Technol. 2025, 360, 130982. [Google Scholar] [CrossRef]
- Zhang, S.H.; Zhang, S.R.; Tang, S.H.; Xin, D.; Liu, B. Adsorption and migration of methane and carbon dioxide mixture in anthracite. J. China Coal Soc. 2021, 46, 544–555. [Google Scholar]
- Li, J.W.; Wang, Y.Z.; Chen, Z.X.; Rahman, S.S. Simulation of adsorption–desorption behavior in coal seam gas reservoirs at the molecular level: A comprehensive review. Energy Fuels 2020, 34, 2619–2642. [Google Scholar]
- Wang, S.B.; Qin, Z.H.; Zhou, J.L.; Lian, L.L.; Yang, X.Q.; Lin, Z. Application of molecular dynamics simulation in coal structure and related fields. Clean Coal Technol. 2019, 25, 29–34. [Google Scholar]
- GB/T 31391-2015; Ultimate Analysis of Coal. The National Standards Compilation Group of Peoples Republic of China, Standards Press of China: Beijing, China, 2015.
- GB/T 212-2008; Proximate Analysis of Coal. The National Standards Compilation Group of Peoples Republic of China, Standards Press of China: Beijing, China, 2008.
- Li, H.J.; Wang, S.C.; Zeng, Q.; Kang, J.H.; Guan, W.M.; Li, W.T. Effects of pore structure of different rank coals on methane adsorption heat. Processes 2021, 9, 1971. [Google Scholar] [CrossRef]
- Vigdorovich, V.; Tsygankova, L.; Esina, M.; Uryadnikov, A.; Shel, N. Calculation of the dynamic sorbent capacity in the presence of two sorbates. J. Water Process. Eng. 2017, 20, 180–186. [Google Scholar] [CrossRef]
- Wang, L.Y.; Xu, N.; Hu, Y.Q.; Sun, W.Q.; Krishna, R.; Li, J.H.; Jiang, Y.J.; Duttwyler, S.; Zhang, Y.B. Efficient capture of C2H2 from CO2 and CnH4 by a novel fluorinated anion pillared MOF with flexible molecular sieving effect. Nano Res. 2023, 16, 3536–3541. [Google Scholar]
- Chu, K.H. Rebuttal to comment on “Breakthrough curve analysis by simplistic models of fixed bed adsorption: In defense of the century-old Bohart-Adams model”. Chem. Eng. J. 2020, 398, 125546. [Google Scholar]
- Liu, X.H.; Chen, Y.; Li, J.L.; Lu, C.Y.; Wang, Y.; Li, L.B.; Li, J.P. Study on molding and CO2 / N2 separation performance of porous material M-MOF-74(M=Mg, Co, Ni). J. Taiyuan Univ. Technol. 2022, 53, 474–481. [Google Scholar]
- Zuo, L.; Hu, Z.M.; Cui, Y.X.; Xiong, W.; Gao, S.S.; Shen, R.; Xiao, H.R. Experimental study on adsorption kinetics of shale at high temperature and high pressure. J. China Coal Soc. 2016, 41, 2017–2023. [Google Scholar]
- Tang, X.; Ripepi, N.; Stadie, N.P.; Yu, L.J. Thermodynamic analysis of high pressure methane adsorption in Longmaxi shale. Fuel 2017, 193, 411–418. [Google Scholar]
- Zhu, H.Z.; Zhu, X.L.; Chen, H.C.; Wei, Y.J. Aging effects on thermodynamics in palladium–tritium system during tritium storage. Int. J. Hydrogen Energy 2008, 33, 1890–1896. [Google Scholar]
- Zhao, X.B.; Xiao, B.; Fletcher, A.; Thomas, K. Hydrogen adsorption on functionalized nanoporous activated carbons. J. Phys. Chem. B 2005, 109, 8880–8888. [Google Scholar] [PubMed]
- Gao, B.B.; Gao, Z.; Li, J.H.; Ren, C.H.; Wang, B.; Zhang, Y. Study on adsorption thermodynamic characteristics of gas under different temperatures and pressures. J. Saf. Environ. 2021, 21, 2479–2488. [Google Scholar]
- Guan, L.L.; Duan, L.Y.; Xie, Y.C. Adsorption and separation of N2 and Ar on modified NaA molecular sieve. Acta Chim. Sin. 2004, 62, 1392. [Google Scholar]
- Xiang, J.H.; Lei, L. Study on the influence of coal surface functional groups on the adsorption properties of CH4 and CO2. Coal Sci. Technol. 2021, 49, 0253–2336. [Google Scholar]
- Wasserstein, R.L.; Lazer, N.A. The ASA statement on p-values: Context, process, and purpose. Taylor Fr. 2016, 70, 129–133. [Google Scholar]
- Jeong, S.R.; Park, J.H.; Lee, J.H.; Jeon, P.R.; Lee, C.-H. Review of the adsorption equilibria of CO2, CH4, and their mixture on coals and shales at high pressures for enhanced CH4 recovery and CO2 sequestration. Fluid Phase Equilibria 2023, 564, 113591. [Google Scholar] [CrossRef]
- Zhao, S.; Chen, X.J.; Li, X.J.; Qi, L.L.; Zhang, G.X. Experimental analysis of the effect of temperature on coal pore structure transformation. Fuel 2021, 305, 121613. [Google Scholar] [CrossRef]
- Tong, S.Q.; Jian, W.W.; Hai, Q.Y.; Xie, W.X.; Sun, Y. Research progress of porous solid materials for CO2 adsorption and removal. J. Liaoning Univ. Pet. Chem. Technol. 2022, 42, 30. [Google Scholar]
- Li, S.G.; Bai, Y.; Lin, H.F.; Yan, M.; Long, H. Molecular simulation of adsorption thermodynamic characteristics of CH4, CO2 and N2 multicomponent gases in coal molecules. J. China Coal Soc. 2018, 43, 2476–2483. [Google Scholar]
Disclaimer/Publisher’s Note: The statements, opinions and data contained in all publications are solely those of the individual author(s) and contributor(s) and not of MDPI and/or the editor(s). MDPI and/or the editor(s) disclaim responsibility for any injury to people or property resulting from any ideas, methods, instructions or products referred to in the content. |
© 2025 by the authors. Licensee MDPI, Basel, Switzerland. This article is an open access article distributed under the terms and conditions of the Creative Commons Attribution (CC BY) license (https://creativecommons.org/licenses/by/4.0/).








