Novel Triterpenes and Bioactive Compounds Isolated from Smilax canariensis Brouss. ex Willd
Abstract
1. Introduction
2. Experimental
2.1. General
2.2. Plant Material
2.3. Extraction and Isolation of the Constituents
2.3.1. 24,24-Dimethyl-5α-cholesta-7,25-dien-3-one (1)
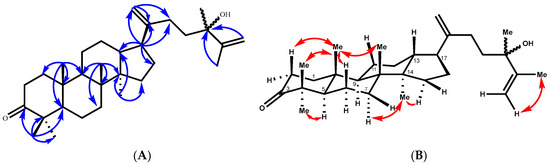
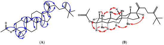
2.3.2. 24-Hydroxy-24-methyl-dammara-20,25-dien-3-one (2)
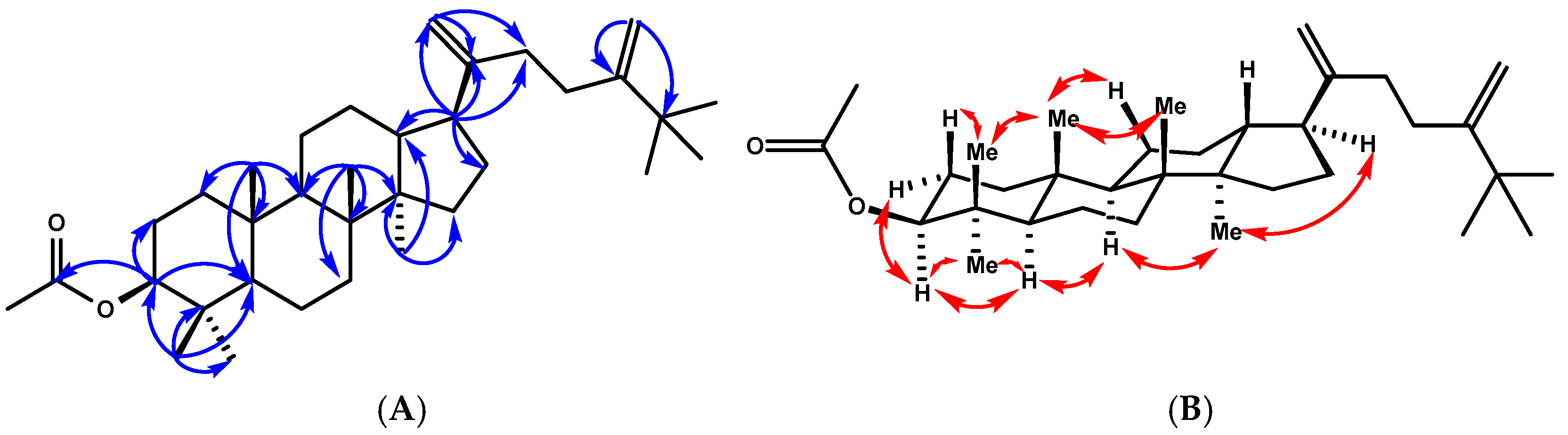
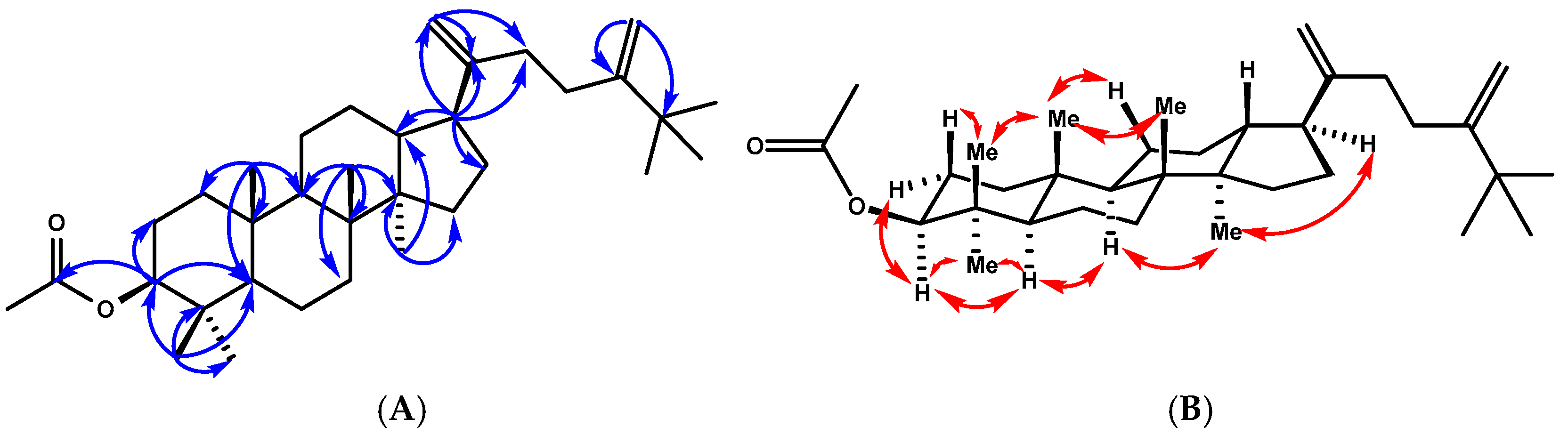
2.3.3. 25-Methyldammara-20,24-diene-3-β-yl-acetate (3)
2.3.4. Stigmast-4-en-3-one (4)
2.3.5. Quercetin-3-O-rutinoside, Rutin (7)
2.3.6. Kaempherol-3-O-rutinosidenonaacetate, Nicotiflorin Acetate (8)
2.3.7. trans-Resveratrol (3,4′,5-Trihydroxystilbene) (9).
2.3.8. 2-O-p-Coumaroylglycerol Triacetate (Juncusyl Ester B Triacetate) (10)
2.3.9. Ethyl p-Hydroxybenzoate (11)
2.3.10. p-Hydroxybenzaldehyde (12)
3. Results and Discussion
| Position | 1H a | 1H b | 13C a | 13C b |
|---|---|---|---|---|
| 1a | 2.05 m | 1.99 dt (12.4, 3.12) | 39.8 | 40.18 |
| 1b | 1.25 m | 1.73 m | ||
| 2a | 2.48 td (14.3, 5.7) | 2.21 ddd (13.6, 3.9, 2.6) | 38.3 | 38.3 |
| 2b | 2.30 m | 2.09 td (13.6, 5.6) | ||
| 3 | 213.4 | 210.5 | ||
| 4 | 2.13 m | 1.88 m | 45.8 | 45.9 |
| 5 | 1.20 m | 1.73 m | 50.5 | 50.5 |
| 6a | 2.15 m | 1.92 m | 28.1 | 28.5 |
| 6b | 1.90 m | 1.54 m | ||
| 7 | 5.21 brs | 5.16 br dd (5.6, 2.0) | 117.4 | 118.4 |
| 8 | 139.4 | 139.3 | ||
| 9 | 1.75 m | 1.48 m | 49.5 | 49.8 |
| 10 | 35.4 | 35.5 | ||
| 11a | 1.61 m | 1.49 m | 22.1 | 22.1 |
| 11b | 1.55 m | 1.38 m | ||
| 12a | 2.16 m | 1.73 m | 40.1 | 39.8 |
| 12b | 1.48 m | 1.13 m | ||
| 13 | 43.6 | 43.9 | ||
| 14 | 1.80 m | 1.73 m | 55.1 | 55.5 |
| 15a | 1.53 m | 1.55 m | 23.7 | 23.7 |
| 15b | 1.42 m | 1.43 m | ||
| 16a | 1.79 m | 1.90 m | 29.8 | 28.6 |
| 16b | 1.27 m | 1.28 m | ||
| 17 | 1.25 m | 1.20 m | 56.1 | 56.6 |
| 18 | 0.56 m | 0.59 s | 12.07 | 12.4 |
| 19 | 1.08 s | 0.80 s | 13.9 | 13.8 |
| 20 | 1.33 m | 1.33 m | 36.8 | 37.5 |
| 21 | 0.92 d (6.4) | 0.99 d (6.5) | 19.2 | 19.6 |
| 22a | 1.24 m | 1.33 m | 30.6 | 31.3 |
| 22b | 0.88 m | 0.98 m | ||
| 23a | 1.40 m | 1.45 m | 37.5 | 38.0 |
| 23b | 1.20 m | 1.23 m | ||
| 24 | 28.9 | 39.3 | ||
| 25 | 152.5 | 152.4 | ||
| 26a | 4.73 brs | 4.88 brs | 109.5 | 110.6 |
| 26b | 4.66 brs | 4.85brs | ||
| 27 | 1.69 brs | 1.71 brs | 19.6 | 20.0 |
| 28 | 1.01 c | 1.06 d (6.5) | 11.6 | 12.5 |
| 29 | 1.01 s | 1.08 s | 27.7 | 27.8 |
| 30 | 1.02 s | 1.08 s | 27.4 | 28.1 |
| δH (J Values are Given in Hz) | δC | |||
|---|---|---|---|---|
| Atom/Position | (2) | (3) | (2) | (3) |
| H-1a | 1.87 m | 1.41 m | 40.1 | 39.1 |
| H-1b | 0.95 m | 0.71 m | ||
| H-2a | 2.27 m | 1.71 m | 34.4 | 24.5 |
| H-2b | 2.23 m | 1.58 m | ||
| H-3 | C-3 | 4.69 d d (11.8, 4.5) | 215.5 | 80.8 |
| C-4 | 47.6 | 38.4 | ||
| H-5 | 1.10 m | 0.69 d d (11.9, 2.7) | 55.6 | 56.5 |
| H-6a | 1.31 m | 1.41 m | 20.1 | 18.8 |
| H-6b | 1.22 m | 1.32 m | ||
| H-7a | 1.40 m | 1.49 t d (12.9, 4.1) | 35.3 | 35.9 |
| H-7b | 1.14 m | 1.20 m | ||
| C-8 | 40.7 | 41.1 | ||
| H-9 | 1.15 m | 1.18 m | 50.7 | 51.4 |
| C-10 | 37.2 | 37.7 | ||
| H-11a | 1.17 m | 1.74 m | 22.35, 22.33 | 25.8 |
| H-11b | 1.05 m | 1.11 m | ||
| H-12a | 1.56 (2H, m) | 1.36 m | 25.6 | 22.0 |
| H-12b | 1.56 (2H, m) | 1.11 m | ||
| H-13 | 1.79 m | 1.80 d d (11.7, 3.5) | 46.26, 46.07 | 46.2 |
| C-14 | 49.9 | 49.4 | ||
| H15a | 1.60 m | 1.62 m | 31.96, 31.94 31.96, 31.94 | 32.1 |
| H-15b | 1.08 m | 1.11 m | ||
| H-16a | 1.99 m | 1.34 m | 29.9, 29.8 | 30.5 |
| H16b | 1.57 m | 1.34 m | ||
| H-17 | 2.31 m | 2.37 m | 48.58, 48.47 | 48.7 |
| Me 18 | 0.80 brs | 0.92 s | 16.3 | 15.5 |
| Me-19 | 0.70 s | 0.75 s | 16.4 | 16.8 |
| C-20 | 153.86, 153.81 | 153.4 | ||
| H-21a | 4.97 brs | 5.00 brs | 108.12, 108.05 | 108.5 |
| H-21b | 4.93 m | 4.91 brs | ||
| H-22a | 2.23 m | 2.32 m | 29.56, 29.55 | 35.17 |
| H-22b | 2.07 m | 2.32 m | ||
| H-23a | 1.77 (2H, m) | 2.33 m | 39.7, 40.0 | 31.26 |
| H-23b | 1.77 (2H, m) | 2.33 m | ||
| C-24 | 75.38, 75.32 | 158.19 | ||
| C-25 | 150.9 | 36.7 | ||
| H-26a | 5.04 brs | 1.09 s (Me-26) | 110.4 | 29.5 |
| H-26b | 4.91 brs | |||
| Me-27 | 1.64 brs | 1.09 s | 19.95 | 29.5 |
| Me-28 | 1.09 s | 0.89 s | 27.15 | 28.5 |
| Me-29 | 0.99 s | 0.90 s | 21.5 | 17.2 |
| Me-30 | 0.87 s | 0.86 s | 15.7 | 16.5 |
| H-31a | 1.16 s (Me-31) | 5.04 br s H31a | 28.71, 28.68 | 106.14 |
| H-31a | 4.91 brs H31b | |||
| Me-32 | 1.08 s | 29.5 | ||
| Ac | 1.75 (3H, s) | 21.3, 170.3 | ||
4. Conclusions
Supplementary Materials
Author Contributions
Funding
Data Availability Statement
Acknowledgments
Conflicts of Interest
References
- Shao, B.; Guo, H.Z.; Cui, Y.J.; Ye, M.; Han, J.; Guo, D.A. Steroidal saponins from Smilax China and their anti-inflammatory activities. Phytochemistry 2007, 68, 623–630. [Google Scholar] [CrossRef] [PubMed]
- Tian, L.-W.; Zhang, H.; Guo, H.; Liu, L.; Zhang, X.; Zhang, J. Steroidal saponins from the genus Smilax and their biological activities. Nat. Prod. Bioprospect. 2017, 7, 283–297. [Google Scholar] [CrossRef] [PubMed]
- Abdala, S.; Martin-Herrera, D.; Benjumea, D.; Pérez-Paz, P. Diuretic activity of Smilax canariensis, an endemic Canary Island species. J. Ethnopharmacol. 2008, 119, 12–16. [Google Scholar] [CrossRef]
- Wang, J.; Zhang, X.; Wang, H.; Wei, Y.; Zhang, X. Phytochemical constituents and pharmacological activities of Smilax species: A review. J. Ethnopharmacol. 2018, 217, 100–113. [Google Scholar] [CrossRef]
- Abdala, S.; Martin-Herrera, D.; Benjumea, D.; Pérez-Paz, P. Peripheral analgesic and anti-inflammatory effects of Smilax canariensis in an animal model. Pharmacol. Pharm. 2015, 6, 391–400. [Google Scholar] [CrossRef][Green Version]
- Liu, Y.; Tang, Z.; Li, Y.; Guo, Y.; Chen, Y.; Zhao, X. Recent advances in pharmacological research on Smilax species. Fitoterapia 2020, 146, 104697. [Google Scholar] [CrossRef]
- Chen, T.; Li, L.; Zheng, Y.; Wang, J.; Li, S.; Dai, Y.; Zhao, Y. Chemical constituents from the rhizomes of Smilax glabra and their antimicrobial activity. Molecules 2013, 18, 5265–5287. [Google Scholar] [CrossRef]
- Zhao, Y.; Yang, J.; Wu, L.; Wang, J.; Tang, Y. Steroidal saponins with anti-inflammatory activity from Smilax china. Phytochemistry 2015, 109, 56–64. [Google Scholar] [CrossRef]
- Díaz, J.G. Chemical composition of Hypericum Coadunatum Chr. from the Canary Islands. J. Mol. Struct. 2022, 1248, 131447. [Google Scholar] [CrossRef]
- Jamaluddin, F.; Mohameda, S.; Lajis, M.N. Hypoglycemic effect of Stigmast-4-en-3-one, from Parkia speciosa empty pods. Food Chem. 1995, 54, 9–13. [Google Scholar] [CrossRef]
- Kiprono, P.C.; Kaberia, F.; Keriko, J.M.; Karanja, J.N. The in vitro anti-fungal and antibacterial activities of beta-sitosterol from Senecio lyratus (Asteraceae). Z. Naturforsch. 2000, 55c, 485–488. [Google Scholar] [CrossRef] [PubMed]
- Šmidrkal, J.; Harmatha, J.; Buděšínský, M.; Vokáč, K.; Zídek, Z.; Kmoníčková, E.; Merkl, R.; Filip, V. Modified approach for preparing (E)-stilbenes related to resveratrol and evaluating their potential immunobiological effects. Collect. Czech. Chem. Commun. 2010, 75, 175–186. [Google Scholar] [CrossRef]
- Kazuma, K.; Noda, N.; Suzuki, M. Malonylated flavonol glycosides from the petals of Clitoria Ternatea. Phytochemistry 2003, 62, 229–237. [Google Scholar] [CrossRef]
- De Alcantara Pinto, D.C.; Pitasse-Santos, P.; de Souza, G.A.; Castro, R.N.; de Lima, M.E.F. Peracetylation of polyphenols under rapid and mild reaction conditions. Nat. Prod. Res. 2023, 37, 2279–2284. [Google Scholar] [CrossRef] [PubMed]
- Jayasinghe, U.L.B.; Balasooriya, B.A.I.S.; Bandara, A.G.D.; Fujimoto, Y. Glycosides from Grewia damine and Filicium decipiens. Nat. Prod. Res. Former. Nat. Prod. Lett. 2004, 18, 499–502. [Google Scholar] [CrossRef]
- Fier, P.S.; Maloney, K.M. Direct conversion of haloarenes to phenols under mild, transition-metal-free conditions. Org. Lett. 2016, 18, 2244–2247. [Google Scholar] [CrossRef]
- Kashparova, V.P.; Klushin, V.A.; Zhukova, I.Y.; Kashparov, I.S.; Chernysheva, D.V.; Il’Chibaeva, I.B.; Smirnova, N.V.; Kagan, E.S.; Chernyshev, V.M. A TEMPO-like nitroxide combined with an alkyl-substituted pyridine: An efficient catalytic system for the selective oxidation of alcohols with iodine. Tetrahedron Lett. 2017, 58, 3517–3521. [Google Scholar] [CrossRef]
- Itoh, T.; Tamura, T.; Sagawa, M.; Tamura, T.; Matsumoto, T. 4α-Methyl-5α-cholest-8(14)-en-3β-ol from the seeds of Capsicum annuum. Phytochemistry 1983, 22, 2621–2622. [Google Scholar] [CrossRef]
- Itoh, T.; Tamura, T.; Sagawa, M.; Tamura, T.; Matsumoto, T. 4(R)-ethyllophenol from Solanum melongena seeds. Phytochemistry 1980, 19, 2491–2492. [Google Scholar] [CrossRef]
- Akihisa, T.; Ghosh, P.; Thakur, S.; Nagata, H.; Tamura, T.; Matsumoto, T. 24,24-Dimethyl-25-dehydrolophenol, a 4α-methylsterol from Clerodendrum inerme. Phytochemistry 1990, 29, 1639–1641. [Google Scholar] [CrossRef]
- de Almeida, B.C.; Araújo, B.Q.; Barros, E.D.S.; Freitas, S.D.M.; Maciel, D.S.A.; Ferreira, A.J.S.; Guadagnin, R.C.; Júnior, G.M.V.; Lago, J.H.G.; Chaves, M.H. Dammarane Triterpenoids from Carnauba, Copernicia prunifera (Miller) H. E. Moore (Arecaceae), Wax. J. Braz. Chem. Soc. 2017, 28, 1371–1376. [Google Scholar] [CrossRef]
- Pathomwichaiwat, T.; Ochareon, P.; Soonthornchareonnon, N.; Ali, Z.; Khan, I.A.; Prathanturarug, S. Alkaline phosphatase activity-guided isolation of active compounds and new dammarane-type triterpenes from Cissus quadrangularis hexane extract. J. Ethnopharmacol. 2015, 160, 52–60. [Google Scholar] [CrossRef] [PubMed]
- Anjaneyulu, V.; Rao, G.S.; Connolly, J.D. Occurrence of 24-epimers of cycloart-25-ene-3-β, 24-diols in the stems of Euphorbia trigona. Phytochemistry 1985, 24, 1610–1612. [Google Scholar] [CrossRef]
- Kim, S.; Akihisa, T.; Tamura, T.; Matsumoto, T.; Yokota, T.; Nomura, T. 24-Methylene-25-methylcholesterol in Phaseolus vulgaris seed: Structural relation to brassinosteroids. Phytochemistry 1988, 27, 629–631. [Google Scholar] [CrossRef]




Disclaimer/Publisher’s Note: The statements, opinions and data contained in all publications are solely those of the individual author(s) and contributor(s) and not of MDPI and/or the editor(s). MDPI and/or the editor(s) disclaim responsibility for any injury to people or property resulting from any ideas, methods, instructions or products referred to in the content. |
© 2025 by the authors. Licensee MDPI, Basel, Switzerland. This article is an open access article distributed under the terms and conditions of the Creative Commons Attribution (CC BY) license (https://creativecommons.org/licenses/by/4.0/).
Share and Cite
Díaz, J.G.; Vega, S.; Ganosa, D.; Pérez de Paz, P.; Díaz Diaz, D. Novel Triterpenes and Bioactive Compounds Isolated from Smilax canariensis Brouss. ex Willd. Separations 2025, 12, 74. https://doi.org/10.3390/separations12040074
Díaz JG, Vega S, Ganosa D, Pérez de Paz P, Díaz Diaz D. Novel Triterpenes and Bioactive Compounds Isolated from Smilax canariensis Brouss. ex Willd. Separations. 2025; 12(4):74. https://doi.org/10.3390/separations12040074
Chicago/Turabian StyleDíaz, Jesús G., Samuel Vega, Daniel Ganosa, Pedro Pérez de Paz, and David Díaz Diaz. 2025. "Novel Triterpenes and Bioactive Compounds Isolated from Smilax canariensis Brouss. ex Willd" Separations 12, no. 4: 74. https://doi.org/10.3390/separations12040074
APA StyleDíaz, J. G., Vega, S., Ganosa, D., Pérez de Paz, P., & Díaz Diaz, D. (2025). Novel Triterpenes and Bioactive Compounds Isolated from Smilax canariensis Brouss. ex Willd. Separations, 12(4), 74. https://doi.org/10.3390/separations12040074

