Abstract
This study presents the simulation of a standalone photovoltaic (PV) water pumping system that is made for use in rural areas and off-grid applications. The system contains a 174 W PV panel, a DC-DC boost converter, a DC motor, and a centrifugal pump. To optimize energy extraction, three maximum power point techniques (MPPT), Perturb and Observe (P&O), incremental conductance (INC), and a Hybrid P&O–INC algorithm, were implemented and evaluated. Unlike most prior studies focusing on large-scale systems, this work targets low-power configurations with load dynamics specific to motor–pump assemblies. The hybrid algorithm is finely tuned using conservative step sizes and adaptive switching thresholds. Simulation results under varying irradiance levels show that the hybrid MPPT achieves the best trade-off, combining high tracking efficiency with reduced power ripple, particularly under challenging low-irradiance conditions. Moreover, the approach offers a favorable balance between performance and implementation cost, positioning it as a viable and scalable solution for sustainable water supply in remote communities.
1. Introduction
Today, access to water sources in remote rural areas still poses significant challenges, is mainly due to the lack of electricity infrastructure. Photovoltaic (PV) water pumping systems have emerged as an efficient solution to address this issue. In fact, the integration of solar energy into water pumping has proved to have several advantages over conventional systems, such as diesel-powered pumps. These advantages include lower operational costs, reduced greenhouse gas emissions, and minimal dependency on external energy sources [1,2,3]. The global push toward renewable energy sources further highlights the relevance of PV water pumping systems in achieving the Sustainable Development Goals (SDGs), specifically those related to clean water (SDG 6) and affordable and clean energy (SDG 7) [4]. These systems harness solar energy to power water pumps, making them especially suitable for regions with abundant sunlight and limited grid access [5]. The global adoption of PV systems has grown rapidly in recent years, driven by progress in technology and significant cost reductions. By 2023, the global installed solar PV capacity surpassed 1000 GW, meeting approximately 4% of the global electricity demand. This growth is attributed to an 80% reduction in PV module prices since 2010 and improvements in efficiency, such as the development of bifacial modules and perovskite-based cells [6,7]. These advancements have enhanced the reliability and performance of PV systems in diverse environmental conditions. PV water pumping systems use solar panels to turn sunlight into electricity, along with a controller to manage energy efficiently and a pump to draw and move water. These systems are incredibly versatile, they help with farm irrigation, provide clean drinking water, and supply water for livestock. In rural areas, they make a big difference by making daily life easier and more sustainable. The feasibility and performance of PV water pumping systems depend on multiple factors like solar irradiance, system design, and the type of pump employed. Research and studied has being focusing on improving their efficiency through advancements in maximum power point tracking (MPPT) techniques. Additionally, these systems has proven to be robust against climatic variations which make them reliable under different environmental conditions.
In conclusion, PV water pumping systems represent a sustainable solution for water management in off-grid areas. Their use aligns with global efforts to achieve renewable energy targets and the Sustainable Development Goals, particularly in water-stressed and underserved regions.
In this context, the present work contributes by implementing and evaluating three MPPT control strategies: Perturb and Observe (P&O), incremental conductance (INC), and a Hybrid P&O–INC algorithm; specifically adapted to a low-power standalone PV system driving a centrifugal pump. The goal is to identify an efficient, yet cost-effective, solution suitable for rural deployment under varying irradiance levels. Special attention is given to performance metrics such as power ripple, hydraulic output, and system responsiveness, particularly under low irradiance conditions where traditional methods may falter.
2. State of the Art
The implementation of maximum power point tracking (MPPT) in a photovoltaic (PV) system plays a critical role in ensuring maximum power extraction from the PV generator under varying weather conditions. This section provides an overview of the most widely used MPPT, along with recent advancements, to highlight their relevance for small-scale, rural PV water pumping systems.
In general, MPPT strategies reported in the literature can be classified into four categories:
- (i)
- Traditional Algorithms
Traditional methods include Perturb and Observe (P&O), incremental conductance (INC), Hill Climbing, and voltage/current-based approaches. These are simple, low-cost, and widely adopted, making them suitable for low-budget rural systems. However, they often suffer from oscillations around the maximum power point (MPP) and accuracy limitations under rapidly changing irradiance or partial shading, where multiple local maxima may exist [8].
Early studies, such as Yahyaoui et al. (2016) [9], demonstrated that the P&O algorithm is a viable and cost-effective choice for off-grid PV pumping due to its simplicity and reasonable performance. However, its major drawbacks are steady-state oscillations and slow dynamic response to sudden changes in environmental conditions [10].
In contrast, the INC algorithm, which determines the MPP by comparing incremental and instantaneous conductance, offers higher accuracy, faster response, and better stability, as shown in Ahmad et al. (2020) [10]. The trade-off, however, is increased algorithmic complexity and slightly higher computational demands.
Recent refinements, such as the variable-step INC (VINC) method by Sun et al. (2022) [11], have significantly improved dynamic performance. By adaptively tuning the perturbation step according to changes in the I–V curve, these algorithms reduce oscillations and enable faster and more precise tracking even under rapidly changing irradiance.
- (ii)
- Optimization Algorithms
Optimization-based methods leverage metaheuristic search strategies such as Particle Swarm Optimization (PSO), Genetic Algorithms (GA), and the Gray Wolf Optimizer (GWO). These approaches are highly effective at locating the global MPP under challenging conditions, such as partial shading and rapid environmental variations.
For example, Naser et al. (2024) [12] proposed an improved coot optimizer for MPPT that maintains high tracking efficiency under complex partial shading and variable loads, while Zhu et al. (2024) [13] optimized hybrid PV–battery–diesel configurations using an enhanced electromagnetic field optimization algorithm. Similarly, Zhang et al. (2024) [14] introduced an Improved Marine Predator Algorithm (IMPA) combined with a Zeta converter, expanding the operating voltage range and improving convergence speed.
Although these methods provide superior accuracy and adaptability, they typically require higher computational power and longer convergence times, making them less practical for low-cost embedded controllers commonly used in standalone PV water pumping applications.
- (iii)
- Intelligent Algorithms
Artificial intelligence (AI)-driven controllers, such as Artificial Neural Networks (ANNs) and Fuzzy Logic Controllers (FLCs), have emerged as powerful tools for MPPT due to their ability to learn nonlinear system dynamics and adapt in real time.
FLC, based on fuzzy set theory, excels in managing imprecise or incomplete data without requiring a detailed mathematical model of the PV system [15]. Youssef et al. (2016) [16] showed that an FLC-based MPPT outperformed the traditional P&O in terms of rise time and efficiency. Likewise, ANN-based approaches rely on data-driven learning to predict the MPP and have shown superior precision under dynamic conditions [17].
More recently, Ali et al. (2025) [18] demonstrated that advanced ANN-based forecasting significantly enhances PV power management. It should be noted, however, that these intelligent approaches often demand extensive training datasets, high computational capacity, and careful tuning, making them less suitable for small-scale, low-cost PV water pumping systems. As noted by Karami et al. (2017) [19], ANN-based controllers deliver high precision but require system-specific training, while FLC provides adaptability with simpler implementation but slightly lower accuracy.
- (iv)
- Hybrid Algorithms
Hybrid MPPT combine traditional, optimization, and intelligent approaches to balance tracking speed, accuracy, and operational stability.
For example, Ali et al. (2021) [18] implemented a fractional open-circuit voltage (FOCV) MPPT combined with scalar motor control in an off-grid PV pumping prototype, achieving ~99% efficiency and stable operation without the need for current or speed sensors. Similarly, Chellakhi et al. (2022) [20] developed a Novel Adaptive-Step INC (NAS-INC) method that dynamically adjusts the step size based on real-time power, voltage, and current variations, achieving up to 99.98% tracking efficiency, far surpassing fixed-step INC variants.
A particularly promising hybrid strategy was proposed by Yan et al. (2023) [21], integrating the global search capability of GWO with the local precision of VINC. This GWO–VINC hybrid achieved ~99.8% efficiency under static shading and ~98.8% under dynamic shading, offering a practical balance between accuracy, speed, and computational simplicity.
These findings indicate that hybrid approaches deliver superior dynamic performance without excessive hardware costs, though they introduce moderate increases in control complexity and require careful tuning for specific hardware platforms.
In this study, the focus is on P&O, INC, and a hybrid P&O–INC technique, which together represent a pragmatic trade-off between simplicity, efficiency, and real-time feasibility for rural, small-scale PV water pumping systems. Figure 1 summarizes the classification of these techniques.
Figure 1.
Flowchart of different types of MPPT algorithms formatting.
3. Description of the System
The photovoltaic pumping system modeled in Figure 2 contains the following elements:
Figure 2.
PV pumping system.
- Photovoltaic array
- MPPT boost controller
- Permanent magnet DC motor
- Centrifugal pump
- Hydraulic circuit
In this system, the photovoltaic array, the primary energy source, converts solar radiation to direct current electrical power. This produced power depends heavily on the irradiance and temperature conditions. The produced energy is fed into an MPPT boost controller, which employs the chosen maximum power point tracking algorithm to ensure that the PV array operates at its maximum efficiency while stepping up the DC voltage to match the requirements of the connected load. The power is then supplied to a permanent magnet DC motor that efficiently converts electrical energy into mechanical energy. This motor drives a centrifugal pump, transferring rotational motion to create fluid flow. The pump drives water through the hydraulic circuit that is designed to deliver water to the desired location, typically for irrigation or storage, while accounting for head pressure and flow rate requirements. These parts work together to make a system that efficiently converts solar energy into hydraulic energy for pumping water. In our instance, irrigation was in hard-to-reach rural places.
3.1. Photovoltaic Cell Circuit Model
The mathematical model for a solar cell, derived from the physics of a PN junction, describes its output current I as a function of its terminal voltage V and internal parameters [22]:
While the current Iph is proportional to irradiation, the other term is the modeling of all the internal phenomena.
The primary source of current is the light-generated, or photogenerated, current (). The diode, defined by its saturation current () and ideality factor (), models the cell’s semiconductor junction. The exponential term is governed by the thermal voltage, which is a function of Boltzmann’s constant () and the junction temperature (), scaled by the number of cells in series . Finally, the parasitic series and shunt resistances ( and ) account for electrical losses within the cell.
To reflect real device behavior, the model must also account for the fact that a PN junction is never perfectly ideal. In practice, charge carriers may recombine before contributing to the current, small leakage paths arise from defects in the material, and resistive losses occur in both the semiconductor and the electrical contacts. These non-ideal effects, often referred to as aberrations of the PN junction, are the reason why the actual current–voltage characteristic deviates from the ideal case. In the circuit model, they are represented by the diode’s saturation current, the ideality factor, and the parasitic resistances.
This expression leads directly to the equivalent circuit in Figure 3, visually representing these components: a current source for , a diode, and the two resistances.
Figure 3.
A photovoltaic cell equivalent electrical circuit.
The PV generator, used in this study, corresponds to a commercial module rated at standard test conditions (1000 W/m2, 25 °C) with the following specifications:
PMPP = 174.24 W, VOC = 44.2 V, ISC = 5.2 A, VMPP = 35.2 V, IMPP = 4.95 A
3.2. Boost Converter
Due to its simplicity, high efficiency and low cost, the boost converter is one of the best choices for use in rural areas. It is a widely used switched-mode converter capable of generating an output voltage higher than its input [23]. Figure 4 shows the basic configuration of such converter.
Figure 4.
Ideal boost converter.
The DC–DC boost converter acts as the link between the PV module and the system’s DC supply line, enabling maximum power point tracking (MPPT) and voltage regulation. The design includes an input capacitor Ci = 8.14 × 10−4 F and output capacitor CO = 1.17 × 10−4 F sized to limit voltage ripple, together with an inductor and a switching frequency chosen to ensure continuous conduction and stable operation across the PV’s operating range.
3.3. Control Strategies
To ensure the converter operates at its optimal efficiency under varying sunlight conditions, a control strategy is required. This work proposes three different maximum power point tracking (MPPT) techniques.
- Perturb and Observe (P&O)
Given its ease of implementation, effectiveness, and low cost, the Perturb and Observe (P&O) algorithm was selected as the first control strategy for the boost converter in this system.
This method dynamically adjusts the duty cycle to track the maximum power point of the PV module, making sure that the converter consistently delivers the maximum possible power to the load. The flowchart of this method is represented in Figure 5.
Figure 5.
(P&O) flowchart.
Definition of terms used in the P&O algorithm diagram:
- −
- : iteration index (current step of the algorithm).
- −
- : duty cycle of the DC–DC converter adjusted by the MPPT.
- −
- , : photovoltaic current and voltage at the kth sampling instant.
- −
- : instantaneous PV power at the kth sample.
- The Incremental Conductance (INC) method
To overcome the limitations of traditional control methods such as Perturb and Observe (P&O), the incremental conductance (INC) method was introduced. Owing to its relative simplicity and higher accuracy—particularly under rapidly changing irradiance conditions—INC represents a suitable solution for low-cost photovoltaic (PV) pumping systems. In this work, the INC algorithm is implemented to regulate the duty cycle of a boost converter that interfaces the PV panel with a DC motor driving a centrifugal water pump. The algorithm tracks the maximum power point (MPP) by comparing the instantaneous conductance (I/V) with the incremental conductance (ΔI/ΔV). When these two values are equal, the MPP is reached. Figure 6 below presents the flowchart of the INC algorithm as applied in this system. By continuously adjusting the converter’s operation based on these comparisons, the algorithm ensures that the PV array consistently operates at its maximum power point. This is particularly beneficial in standalone water pumping applications, where maximizing energy utilization directly enhances water delivery and system efficiency.
Figure 6.
(INC) flowchart.
The symbols used in the diagram are defined as follows:
- −
- : iteration index (current step of the algorithm).
- −
- : duty cycle of the DC–DC converter controlled by the MPPT.
- −
- , : photovoltaic current and voltage at the kth sampling instant.
- −
- : incremental conductance of the PV panel.
- −
- : instantaneous conductance of the PV panel.
- Hybrid P&O–INC MPPT Algorithm
The Hybrid P&O–INC algorithm is a dual-mode maximum power point tracking (MPPT) technique that combines the robustness and speed of the Perturb and Observe (P&O) method with the precision and stability of the incremental conductance (INC) algorithm. In this approach, the controller starts in P&O mode, which is more suitable for rapidly adjusting to large power deviations, such as those encountered during startup or sudden changes in irradiance. As the system moves closer to the maximum power point and the variation in power becomes small, the algorithm automatically switches to INC mode. The controller continuously monitors the power change (ΔP), and if a sudden increase is detected, indicating potential instability or rapid irradiance variation, it goes back to P&O mode. This adaptive switching enhances both dynamic and steady-state performance. To ensure safe operation, the duty cycle is clamped between predefined limits, preventing overshoots and protecting the components. This hybrid structure is particularly beneficial for small-scale PV systems driving pumps, where high-frequency switching, small power changes, and torque-sensitive loads demand both fast response and steady-state precision. The novelty of this version lies in its finely tuned thresholds and small incremental steps tailored for low-power, high-efficiency applications, making it a compelling solution for standalone solar water pumping systems.
3.4. Permanent Magnet DC Motor (PMDC)
Since our aim is to design a PV pumping system for rural areas, where the maintenance resources are limited, the use of a permanent magnet DC motor is favored. This motor provides simplicity, reliability, good efficiency and a high starting torque [24].
The DC motor is where the energy conversion from electric to mechanic form happens. As the rotor turns in the magnetic field, the back EMF is generated according to the Faraday’s law of electromagnetic induction. Thus, the key for a DC motor is given as
where Va, Ra, La, Ia and E represent the armature voltage, armature resistance, armature inductance, armature current, and the back EMF, respectively.
The back EMF is expressed as: E = KeΩ, where Ke represents the electrical constant and Ω is the rotor’s speed.
The mechanical equation is derived from Newton’s second law for rotational motion:
where
- Te: electromagnetic torque (N·m)
- J: moment of inertia (kg·m2)
- : angular acceleration (rad/s2)
- B: viscous friction coefficient (N·m·s)
- Ω: angular speed (rad/s)
- TL: load torque (N·m)
3.5. Centrifugal Pump
The centrifugal pump is a hydraulic machine that converts the mechanical energy of the motor to pressure energy via centrifugal force applied to the fluid.
Among other pumps, the centrifugal one offers a high compatibility with variable power sources. Due to this pump’s simple design and fewer moving parts, the mechanical wear is reduced which leads to less maintenance and a longer life span [25].
The centrifugal pump governing equations are as follows:
Hydraulic power:
where
- Ph: hydraulic power transmitted to the fluid (W)
- : water density (1000 kg/m3)
- g: gravitational acceleration (9.81 m/s2)
- Q: flow rate (m3/s)
- H: total dynamic head (m)
Load torque: the load torque is related to the pump’s speed by
where
- TL: load torque (N·m)
- Kt: proportionality constant (depends on pump characteristics)
- Ω: angular speed of the pump shaft (rad/s)
Since both the pump impeller diameter and water density are constant, the pump similarity laws can be expressed as
where Q represents the volumetric flow rate, H the pump head, and N the rotational speed.
4. Results and Discussion
The proposed system for irrigation in rural areas was built in Simulink. Various simulations were performed under different conditions to evaluate its performance. Figure 7 depicts the model used.
Figure 7.
Simulink model.
The ripple and tracking speed were computed and analyzed based on the hydraulic power output at an irradiance of 1000 W/m2, since it represents the actual useful power delivered by the system. This evaluation provides a direct and relevant measure of the MPPT algorithm’s effectiveness in enhancing the overall system performance. Figure 8 below illustrates the hydraulic power response for each MPPT technique.
Figure 8.
Hydraulic power response over time using different MPPT methods under an irradiance of 1000 W/m2: (a) incremental conductance (INC), (b) Perturb and Observe (P&O), and (c) hybrid approach.
In Figure 8a, the incremental conductance (INC) method shows the best stability, with the lowest ripple of 0.19%. The trade-off, however, is that it takes longer to reach steady state compared to the other methods. Figure 8b highlights the Perturb and Observe (P&O) algorithm, which converges the fastest, but produces a higher ripple of 0.76%, meaning more oscillations around the maximum power point. Finally, Figure 8c illustrates the hybrid MPPT, which combines the advantages of both approaches. It tracks almost as quickly as P&O while keeping the ripple much lower at 0.43%, offering a better balance between speed and stability.
To further test the system’s performance, the PV panel was exposed to different sunlight levels as shown in Figure 9. The irradiance profile used in this study (200 W/m2 → 1000 W/m2 → 300 W/m2) was chosen to assess the MPPT algorithms under varying conditions, including low-light startup, full sunlight, and a sudden irradiance drop. This allows for the evaluation of the tracking speed, ripple behavior, and robustness of each method.
Figure 9.
Irradiance profile.
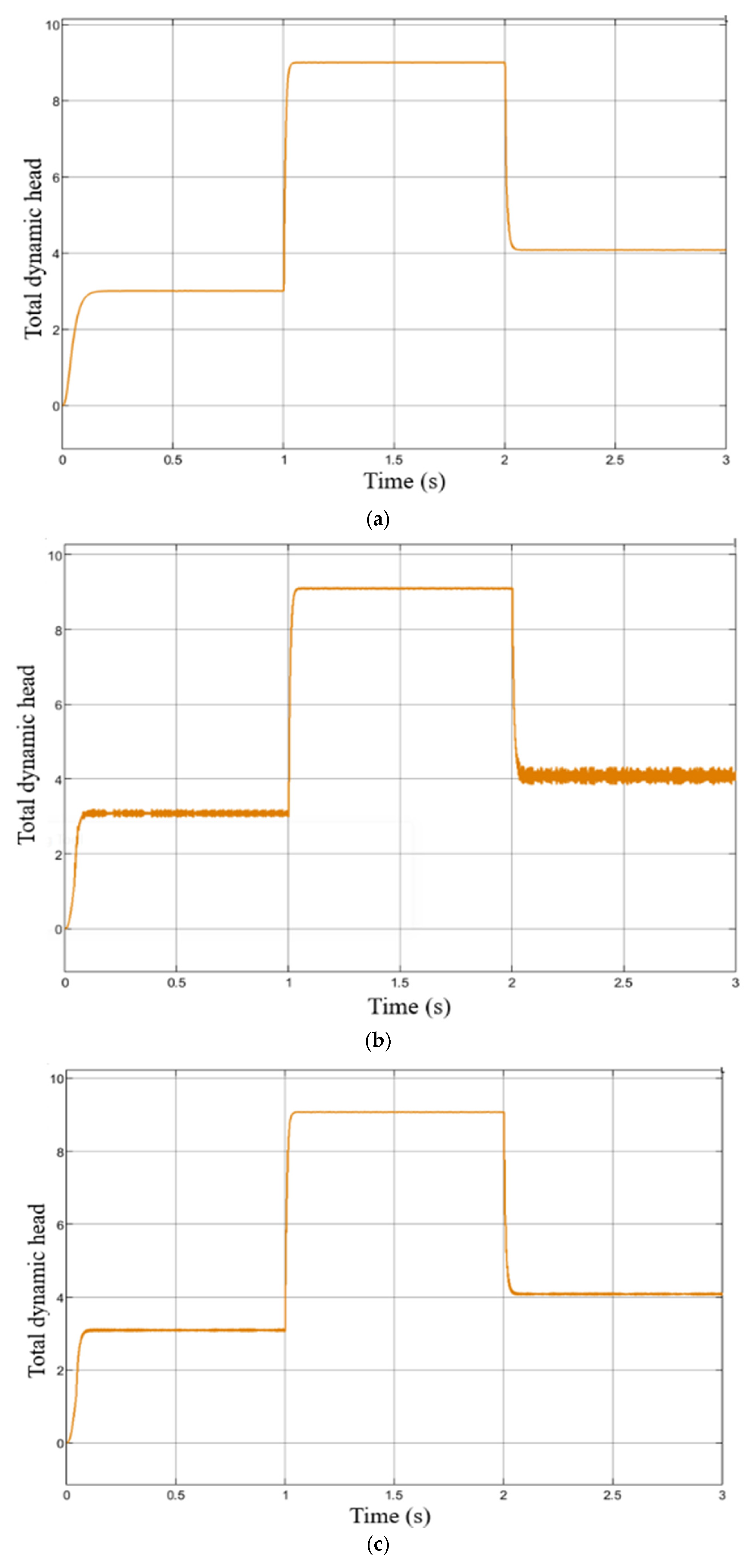
The simulation results highlight the nuanced tradeoffs between the three MPPT algorithms—Perturb and Observe (P&O), incremental conductance (INC), and the proposed hybrid strategy—when applied to a PV-driven centrifugal pump. Across varying irradiance levels (200, 300, and 1000 W/m2), the hybrid controller consistently demonstrated the most balanced performance. It maintained high efficiency (49.5–49.82%) while keeping ripple within moderate bounds (0.4–4.13%), outperforming P&O in stability and INC in responsiveness. P&O, although simple and widely adopted, revealed substantial drawbacks under low to moderate irradiance. At 300 W/m2, it exhibited a ripple magnitude of 17.63%, which caused observable oscillations in hydraulic power (Figure 10b), head (Figure 11b), and flow (Figure 12b), suggesting potential mechanical stress on the pumping system if deployed in real-world conditions. These fluctuations are symptomatic of P&O’s inability to settle at the maximum power point (MPP) during fast-changing or suboptimal conditions. Such instability could accelerate wear in long-term usage. However, one of P&O’s advantages remains its low computational cost and ease of implementation, which makes it attractive for low-budget rural systems, especially where fluctuations in output may be tolerable. In contrast, the INC algorithm offered remarkable precision in MPP tracking, as evidenced by the lowest ripple values (down to 0.07% at 1000 W/m2). However, its convergence speed was slower, particularly under rapidly changing irradiance as shown in Figure 10a. This delay was reflected in the slower buildup of pump speed (Figure 13a) and a slightly reduced hydraulic power output compared to the hybrid controller, as Figure 10 indicates. Although the resulting flow and head curves were smoother, as shown in Figure 11a and Figure 12a, respectively, INC may struggle in highly dynamic conditions due to its conservative tracking behavior. From a cost perspective, INC generally requires more complex logic and processing resources, which may increase the cost of the controller or the required microcontroller hardware.
Figure 10.
Hydraulic power response over time, under different sunlight levels, using different MPPT methods: (a) incremental conductance (INC), (b) Perturb and Observe (P&O), and (c) hybrid approach.
Figure 11.
Total head response over time, under different sunlight levels, using different MPPT methods: (a) incremental conductance (INC), (b) Perturb and Observe (P&O), and (c) hybrid approach.
Figure 12.
Flow rate response over time, under different sunlight levels, using different MPPT methods: (a) incremental conductance (INC), (b) Perturb and Observe (P&O), and (c) hybrid approach.
Figure 13.
Speed response over time, under different sunlight levels, using different MPPT methods: (a) incremental conductance (INC), (b) Perturb and Observe (P&O), and (c) hybrid approach.
The hybrid approach, integrating the fast tracking of P&O with the ripple-damping accuracy of INC, emerged as the most effective compromise. Its adaptive switching mechanism enabled quick convergence during initial transients and stable operation around the MPP. Notably, at low irradiance (200 W/m2), where energy availability is critical, it preserved system efficiency at 49.5% with only 4.13% ripple, ensuring smooth hydraulic profiles with minimal fluctuations, as shown in Figure 10c. Although the hybrid algorithm requires more development effort and slightly higher computational resources, this added cost can be justified by the gain in system reliability and energy harvesting. Moreover, by reducing oscillations and protecting mechanical components from premature wear, the Hybrid controller may reduce long-term maintenance and replacement costs, thus proving more economical over the system’s lifecycle. Table 1 bellow summarizes briefly the findings.
Table 1.
Performance comparison.
Overall, the findings underscore the importance of MPPT controller selection in standalone PV pump applications. While basic algorithms like P&O offer simplicity and low initial cost, they may induce performance degradation in fluctuating. The hybrid strategy’s ability to preserve both electrical efficiency and mechanical stability under varying solar conditions makes it a promising candidate for reliable and long-term deployment, particularly in remote or off-grid regions where maintenance access is limited and system uptime is critical. The balance it achieves between cost, tracking speed, and ripple control offers a robust and sustainable solution for real-world PV-pumping systems.
Building on these simulation results for the whole system, its stability under irradiance fluctuations appears to be one of its important advantages. While passively coupled PV pumping systems often suffer from sharp efficiency declines—reaching up to 58.6% at 1000 W/m2 but dropping drastically to 10.33% at 200 W/m2 as observed by Dlimi et al. [22]—the proposed hybrid P&O–INC MPPT controller maintained near-consistent performance across varying solar inputs. Despite achieving a comparable peak efficiency of ~50% under standard test conditions, a key improvement was noticed at 200 W/m2 as efficiency degradation remained below 2% relative to STC, representing a 24-fold improvement compared to the 48% drop seen in conventional systems [22]. Wang et al. further demonstrate the penalties of battery-dependent designs, reporting only 11.1% average efficiency in a 1.8 kWp system due to 9.72% energy losses in storage conversion—a tradeoff our direct-coupled MPPT design avoids [26]. This resilience is critical for rural applications, where Bright et al. observed battery-backed systems struggling with 3.94–13.14% efficiency under similar low-head conditions (3–10 m), despite delivering 30 L/min flows comparable to our target [27].
To reflect real-world applicability, the system’s performance was recalculated by incorporating pump losses. The overall system efficiency then decreased to 29%, which aligns with values reported in field and experimental studies. For instance, Chandel et al. reported a system efficiency of 22.1% and pump efficiency of 47.74% under experimental conditions for a direct-coupled photovoltaic water pumping system [28]. This operational robustness comes from the algorithm’s adaptive step-sizing strategy, which minimizes power oscillations while keeping efficient tracking down to 200 W/m2. While some experimental implementations, such as Aissou et al.’s study using a dSPACE DS1104 board, emphasize simplicity and feasibility [29], the proposed system pushes this further by achieving stability with an even more streamlined embedded structure, avoiding dependence on costly prototyping platforms and maintaining ultra-low computational overhead.
Furthermore, the centrifugal pump, which was modeled for compatibility with variable energy input and low-head conditions, aligns with the operational characteristics of small-scale PV systems. This stands in contrast to larger-scale systems such as the one studied in Madinah by M. Benghanem et al., which employed a helical pump suited for higher head applications [30]. This distinction is critical for rural scalability. For example, Odesola et al.’s small-scale system (30 L/min) required batteries to maintain stability [27], while our MPPT-driven approach achieves comparable output without the associated storage losses. This strengthens the viability of the 174 W design for decentralized applications. Compared to Ethiopia’s 602 W benchmark, our battery-free architecture avoids the 20% energy losses typical of storage systems [31]. It also outperforms the typical sub-5% efficiency levels reported for direct-coupled systems in Mozambique [32]. Future work should focus on experimental validation of MPPT behavior under low-irradiance and dynamic conditions—an aspect noted as lacking in the current demand-responsive models highlighted in the Mozambican context.
5. Conclusions
This study demonstrated the effectiveness of three MPPT control strategies—P&O, INC, and a hybrid P&O–INC—in a standalone PV water pumping system designed for low-power applications. Through simulation under various irradiance levels, the hybrid MPPT approach consistently delivered high efficiency with moderate ripple, striking a favorable balance between energy capture and system stability. While INC proved superior in minimizing power fluctuations, the hybrid algorithm maintained near-optimal tracking with improved dynamic response and without significantly increasing implementation complexity. Moreover, from a cost–performance perspective, the hybrid method remains highly attractive, especially for low-cost embedded systems deployed in rural settings. These results support the viability of hybrid MPPT as a practical and efficient solution for improving the reliability and accessibility of photovoltaic pumping systems in off-grid communities.
Author Contributions
Conceptualization, F.I.O. and S.D.; methodology, F.I.O. and S.D.; software, F.I.O. and H.K.; formal analysis, F.I.O. and S.D.; resources, F.I.O. and H.K.; writing—review and editing, F.I.O. and S.D.; supervision, S.D. All authors have read and agreed to the published version of the manuscript.
Funding
This research received no external funding.
Data Availability Statement
The original contributions presented in this study are included in this article. For more information, please contact the corresponding author.
Conflicts of Interest
The authors declare no conflicts of interest.
Abbreviations
The following abbreviations are used in this manuscript:
| PV | Photovoltaic |
| MPP | Maximum power point |
| MPPT | Maximum power point technique |
| DC | Direct current |
| P&O | Perturb and Observe |
| SDG | Sustainable Development Goals |
| INC | Incremental conductance |
| ANN | Artificial Neural Network |
| AI | Artificial intelligence |
| PMDC | Permanent magnet DC motor |
| EMF | Electromotive force |
References
- International Renewable Energy Agency. Solar Pumping for Irrigation: Improving Livelihoods and Sustainability; IRENA: Abu Dhabi, United Arab Emirates, 2016; Available online: https://www.irena.org/publications (accessed on 1 January 2025).
- Rathore, P.K.S.; Das, S.S.; Chauhan, D.S. Perspectives of solar photovoltaic water pumping for irrigation in India. Energy Strat. Rev. 2018, 22, 385–395. [Google Scholar] [CrossRef]
- Dlimi, S.; Elmourabit, F.; Id Ouissaaden, F.; Khoukh, A.; Limouny, L.; Baghaz, E.; El Kaaouachi, A. Analysis of thermoelectric effect of wet spun graphene fiber composites. Int. J. Low Carbon Technol. 2023, 18, 980–985. [Google Scholar] [CrossRef]
- United Nations Development Programme. Transforming Our World: The 2030 Agenda for Sustainable Development; UNDP: New York, NY, USA, 2015; Available online: https://www.undp.org (accessed on 1 January 2025).
- Aliyu, M.; Hassan, G.; Said, S.A.; Siddiqui, M.U.; Alawami, A.T.; Elamin, I.M. A review of solar-powered water pumping systems. Renew. Sustain. Energy Rev. 2018, 87, 61–76. [Google Scholar] [CrossRef]
- Elmourabit, F.; Limouny, L.; Dlimi, S. Numerical simulation of a triple-cation halide perovskite solar cell achieving over 34% efficiency. Results Eng. 2025, 25, 103919. [Google Scholar] [CrossRef]
- Khalis, M.; Id Ouissaaden, F.; El Khaldi, S.; Kamel, H.; Elmourabit, F.; Dlimi, S. Studying effect of temperature on the efficiency of solar cells through the interpolation method. Hybrid Adv. 2024, 6, 100231. [Google Scholar] [CrossRef]
- Id Ouissaaden, F.; Dlimi, S.; Kamel, H.; El Khaldi, S.; Elmourabit, F.; Khoukh, A. Effect of Partial Shading on a PV System. In Proceedings of the 2024 International Conference on Circuit, Systems and Communication (ICCSC), Fes, Morocco, 28–29 June 2024; pp. 1–6. [Google Scholar] [CrossRef]
- Yahyaoui, I.; Chaabene, M.; Tadeo, F. Evaluation of maximum power point tracking algorithm for off-grid photovoltaic pumping. Sustain. Cities Soc. 2016, 25, 65–73. [Google Scholar] [CrossRef]
- Ahmad, M.E.; Numan, A.H.; Mahmood, D.Y. A comparative study of Perturb and Observe (P&O) and Incremental Conductance (INC) PV MPPT techniques at different radiation and temperature conditions. Eng. Technol. J. 2022, 40, 376–385. [Google Scholar] [CrossRef]
- Sun, C.; Ling, J.; Wang, J. Research on a novel and improved incremental conductance method. Sci. Rep. 2022, 12, 15700. [Google Scholar] [CrossRef]
- Naser, A.T.; Mohammed, K.K.; Ab Aziz, N.F.; Kamil, K.B.; Mekhilef, S. Improved coot optimizer algorithm-based MPPT for PV systems under complex partial shading conditions and load variation. Energy Convers. Manag. X 2024, 22, 100565. [Google Scholar] [CrossRef]
- Zhu, C.; Zhang, Y.; Wang, M.; Deng, J.; Cai, Y.; Wei, W.; Guo, M. Optimization, validation and analyses of a hybrid PV-battery-diesel power system using enhanced electromagnetic field optimization algorithm and ε-constraint. Energy Rep. 2024, 11, 5335–5349. [Google Scholar] [CrossRef]
- Zhang, H.; Wang, X.; Zhang, J.; Ge, Y.; Wang, L. MPPT control of photovoltaic array based on improved marine predator algorithm under complex solar irradiance conditions. Sci. Rep. 2024, 14, 19745. [Google Scholar] [CrossRef]
- Id Ouissaaden, F.; Dlimi, S.; Kamel, H.; Aoutoul, M.; Khoukh, A. Comparative Analysis of P&O and Fuzzy Logic MPPT Techniques for Photovoltaic Systems under Standard and Partial Shading Conditions Using DC-DC Converters. Int. J. Eng. Res. Afr. 2025, 75. in press. [Google Scholar]
- Youssef, A.; El Telbany, M.; Zekry, A. Reconfigurable generic FPGA implementation of fuzzy logic controller for MPPT of PV systems. Renew. Sustain. Energy Rev. 2018, 82, 1313–1319. [Google Scholar] [CrossRef]
- Hiyama, T.; Kouzuma, S.; Imakubo, T. Identification of optimal operating point of PV modules using neural network for real-time maximum power tracking control. IEEE Trans. Energy Convers. 1995, 10, 360–367. [Google Scholar] [CrossRef]
- Ali, M.; Rabehi, A.; Souahlia, A.; Guermoui, M.; Teta, A.; Tibermacine, I.E.; Benghanem, M.; Agajie, T.F. Enhancing PV power forecasting through feature selection and artificial neural networks: A case study. Sci. Rep. 2025, 15, 22574. [Google Scholar] [CrossRef]
- Karami, N.; Moubayed, N.; Outbib, R. General review and classification of different MPPT techniques. Renew. Sustain. Energy Rev. 2017, 68, 461–476. [Google Scholar] [CrossRef]
- Chellakhi, A.; El Beid, S.; Abouelmahjoub, Y.; Mchaouar, Y. Optimization of Power Extracting from Photovoltaic Systems Based on a Novel Adaptable Step INC MPPT Approach. IFAC-PapersOnLine 2022, 55, 508–513. [Google Scholar] [CrossRef]
- Yan, C.; Lei, G.; Cai, L.; He, C.; Dai, N.; Jiang, Z.; Wu, J.; Li, S. MPPT control technology based on the GWO-VINC algorithm. Front. Energy Res. 2023, 11, 1205851. [Google Scholar] [CrossRef]
- Dlimi, S.; Id Ouissaaden, F.; El Moussaoui, N.; Kamel, H.; El Moutaouakil, A.; Baghaz, E.; Khoukh, A.; Limouny, L. Modeling, simulation and efficiency assessment of a direct coupled water pumping PV system in semi-arid coastal areas. Energy Convers. Manag. X 2024, 23, 100626. [Google Scholar] [CrossRef]
- Kumar, L.A.; Alexander, S.A.; Rajendran, M. Emerging DC–DC converter topologies. In Power Electronic Converters for Solar Photovoltaic Systems; Kumar, L.A., Alexander, S.A., Rajendran, M., Eds.; Academic Press: Cambridge, MA, USA, 2021; pp. 289–329. [Google Scholar] [CrossRef]
- Kumar, R.; Dalal, G.K. Design and Simulation of Photovoltaic Water Pumping System. Int. J. Sci. Res. 2014, 3, 2208–2213. [Google Scholar]
- Gevorkov, L.; Rassõlkin, A.; Kallaste, A.; Vaimann, T. Simulink-based model for flow control of a centrifugal pumping system. In Proceedings of the 2018 25th International Workshop on Electric Drives: Optimization in Control of Electric Drives (IWED), Moscow, Russia, 31 January–2 February 2018. [Google Scholar]
- Wang, Y.; Gao, L.; Xie, Y.; Shen, F.; Hao, Q.; Jia, B. Research on Experiment for Operation Performance of Water Pumping and Energy Storage by Photovoltaic Pump. Energy Explor. Exploit. 2024, 42, 1987–1998. [Google Scholar] [CrossRef]
- Samson, B.; Odesola, I.F. Design of A Small Scale Solar Powered Water Pumping System. Int. J. Eng. Res. Technol. (IJERT) 2019, 8, 471–478. [Google Scholar] [CrossRef]
- Chandel, S.S.; Naik, M.N.; Chandel, R. Review of Performance Studies of Direct Coupled Photovoltaic Water Pumping Systems and Case Study. Renew. Sustain. Energy Rev. 2017, 76, 163–175. [Google Scholar] [CrossRef]
- Aissou, S.; Rekioua, D.; Rekioua, T.; Bacha, S. Simple and Low-Cost Solution System for a Small Scale Power Photovoltaic Water Pumping System. In Proceedings of the 2018 6th International Renewable and Sustainable Energy Conference (IRSEC), Rabat, Morocco, 5–8 December 2018; pp. 1–6. [Google Scholar] [CrossRef]
- Benghanem, M.; Daffallah, K.O.; Joraid, A.A.; Alamri, S.N.; Jaber, A. Performances of Solar Water Pumping System Using Helical Pump for a Deep Well: A Case Study for Madinah, Saudi Arabia. Energy Convers. Manag. 2013, 65, 50–56. [Google Scholar] [CrossRef]
- Zegeye, M.; Tadiwos, T.; Aman, A. Optimal sizing of solar water pumping system for small scale irrigation: Case study of Dangila. Int. J. Renew. Sustain. Energy 2014, 3, 99–107. [Google Scholar] [CrossRef]
- Chilundo, R.; Mahanjane, U.; Neves, D.J. Design and Performance of Photovoltaic Water Pumping Systems: Comprehensive Review towards a Renewable Strategy for Mozambique. J. Power Energy Eng. 2018, 6, 32–63. [Google Scholar] [CrossRef]
Disclaimer/Publisher’s Note: The statements, opinions and data contained in all publications are solely those of the individual author(s) and contributor(s) and not of MDPI and/or the editor(s). MDPI and/or the editor(s) disclaim responsibility for any injury to people or property resulting from any ideas, methods, instructions or products referred to in the content. |
© 2025 by the authors. Licensee MDPI, Basel, Switzerland. This article is an open access article distributed under the terms and conditions of the Creative Commons Attribution (CC BY) license (https://creativecommons.org/licenses/by/4.0/).












