Abstract
Rapid multi-sensor fault detection is crucial for the battery management system (BMS). Almost all the existing fault diagnosis methods for current sensors are model-based, and the complexity of the models poses a huge challenge to their application in engineering. Firstly, this paper conducts a detailed analysis of the physical meanings of six forms of sensor faults, and these six types of faults are modeled using mathematical methods. To better compare the detection ability of each method for different faults, these faults are standardized during the modeling. Then, the characteristics of five existing time–frequency analysis methods are analyzed. Finally, a multi-window short-time Fourier transform (MW-STFT) for lithium-ion battery fault detection is proposed. The experimental results show that the proposed MW-STFT can detect all the sensor faults.
1. Introduction
In the face of escalating environmental pollution and the energy crisis [1,2], electric vehicles (EVs) have emerged as a significant development trend in the future transport landscape due to their zero-emission and high-efficiency characteristics. At the same time, as the share of new energy in power generation continues to grow, the importance of energy storage systems has increased. Lithium-ion batteries (LIBs), known for their remarkable characteristics, such as a high power density and long life [3], have found extensive applications in EVs and energy storage systems.
Nevertheless, safety concerns associated with LIBs remain a critical issue [4,5]. In recent years, the frequent occurrence of battery-related failures, particularly thermal runaway fires and explosions, has posed a serious threat to human life and property [6]. Sensors play a vital role in a battery management system (BMS). They enable the BMS to perform functions such as health monitoring, thermal management, equalization management and fault diagnosis by accurately collecting data on voltage, current and temperature [2,7]. However, during actual operation, sensors are susceptible to various faults, such as bias, gain, drift and reduced measurement accuracy, due to their inherent defects, aging processes and harsh operating environments [8].
Sensor malfunctioning in battery management systems (BMSs) introduces critical inaccuracies in state estimation, compromising system reliability [9,10]. Specifically, voltage sensor errors disrupt the BMS’s ability to maintain optimal charge thresholds, leading to operational anomalies such as overcharge/over-discharge cycles [11]. These deviations accelerate the degradation process by subjecting cells to non-ideal electrochemical conditions, potentially culminating in internal short circuits. Current sensor inaccuracies directly impact state of charge (SOC) calculations, undermining the BMS’s capacity for proactive equalization management. This deficiency exacerbates cell-to-cell discrepancies within the pack, progressively reducing overall energy throughput [12,13]. Therefore, the timely and accurate detection of sensor faults is of paramount importance to ensure the proper functioning of the BMS and the safe and efficient operation of LIBs [14,15,16].
In recent years, as the significance of battery sensor faults has gained increasing recognition, a burgeoning body of research has emerged in this domain [17]. A comprehensive review of the literature on battery sensor fault detection reveals that existing methodologies can be broadly categorized into three main groups: model-based approaches [18], data-driven approaches [19] and multiple-method combination. Among these, the model-based fault diagnosis method is particularly prominent [20].
The cornerstone of the model-based approach lies in the establishment of a battery model, such as the equivalent circuit model (ECM) [21,22,23]. Taking the ECM as an example, some scholars have harnessed existing algorithms for fault diagnosis. For instance, Jin et al. proposed a current sensor fault diagnosis method based on the adaptive Kalman filter [24]. Another avenue of research involved the design of observers to compute residuals. In Ref. [25], a disturbance observer was devised to detect current sensor faults by Kim et al. Similarly, Xu et al. employed a sliding-mode observer for sensor fault diagnosis [26], while Xu et al. utilized a set-valued observer to achieve the same objective [27]. Moreover, Wu et al. developed a fused diagnostic factor based on the ECM to diagnose faults in both current and voltage sensors [28]. In addition to these, optimizing the ECM has emerged as a popular research direction. The study in Ref. [29] presented an improved ECM with a voltage input and current output configuration. Based on the improved ECM, they were able to conduct fault estimation for current sensors [30,31].
However, model-based battery sensor fault detection methods are inherently flawed in several aspects: an enormous computational load, challenging observer design and large detection delay [32]. The battery model is a complex nonlinear time-variant system [33,34]. To ensure accuracy, its parameters must be recalculated at each time step, incurring high computational costs. This not only demands substantial computational resources but may also hamper the real-time performance of the fault detection system [4]. Model parameters are usually obtained through the forgetting factor recursive least squares (FFRLS) algorithm or from the SOC [35]. The FFRLS depends on voltage or current signals that could be affected by faults, potentially corrupting the observer’s parameter matrix. Designing an observer with a fault-prone parameter matrix is very difficult [26]. Using SOC for parameter calculation requires an unrealistic assumption of a fault-free SOC sensors in the BMS, as all sensors can fail in reality. Without a reliable SOC sensor and the ability to design an optimal observer, one has to accept a relatively long fault detection delay [36,37,38].
Consequently, data-driven fault diagnosis methods and multi-algorithm combination have emerged as novel research frontiers [39]. In Ref. [40], a fault estimation approach that combines an adaptive event-triggering mechanism with a sliding-mode observer was proposed by Jin et al., facilitating the diagnosis of voltage and current sensor faults in battery packs. Meanwhile, Liu et al. introduced a multi-fault detection and diagnosis method grounded in statistical analysis [17]. Analogous to the work in Ref. [17], fault diagnosis methods centered around optimized battery pack sensor topologies have gained significant traction as a prevalent data-driven approach in recent years [4].
In traditional model-based fault diagnosis methods, all parameters of the battery model vary nonlinearly in real time with temperature, aging degree and SOC, which makes them difficult to apply in practical engineering. This paper delves into the capabilities of six time–frequency analysis methods in detecting diverse sensor faults under standard operating conditions. The principal contributions of this paper are as follows:
- In this article, the multi-window short-time Fourier transform (MW-STFT) is proposed for the current and voltage sensor fault detection. To the best of our knowledge, this represents the first implementation of current sensor fault diagnosis directly based on signal analysis rather than complex battery models.
- Six types of sensor faults, namely drift, bias, gain, accuracy degradation, sticking and complete fault, are thoroughly analyzed, and individual mathematical models are developed for each of these faults. Only one or two common types of sensor faults are typically considered for verification in existing research. Furthermore, the fault levels are defined such that faults belonging to the same level demonstrate similar fault magnitudes.
- In comparison with five existing time–frequency analysis techniques, the MW-STFT method exhibits enhanced performance in detecting all six sensor fault categories under investigation. This improved detection capability is validated through experimental testing.
2. Experimental Setup and Instructions
Prior to testing diverse time–frequency analysis methods, it is imperative to clearly define the experimental platform and standardize the test contents for reliable and comparable results.
2.1. Experimental Platform
The experiments are conducted using the experimental test bed shown in Figure 1, which is composed of three LiFePO4 batteries in series, a controlled-temperature cabinet and a battery test system of NBT60V100AC8N-T. The LiFePO4 battery chosen is NCR18650B, with a capacity of 3.4 Ah (SOH = 100%). The battery pack is tested with a Federal Urban Driving Schedule (FUDS) at 25 °C, and all test modes start at SOC = 90%. The maximum voltage noise is 0.1% (about 4 mV) and the maximum current noise is 0.075% (about 1.5 mA).
Figure 1.
Experimental test bed.
Three series-connected lithium-ion batteries as shown in Figure 2 were initially placed in a temperature-controlled chamber with the ambient temperature set to 25 °C. The control cables and measurement wires of the battery testing system were sequentially connected to the battery pack. The equipment was then activated, and experimental data acquisition was performed via a dedicated data processor.
Figure 2.
Measurement scheme.
As depicted in Figure 2, all measured batteries are connected in series. A voltage sensor is attached across each battery. Within the battery pack circuit, there is one current sensor and one total voltage sensor, amounting to sensors in total. In this experiment, ; thus, there are 5 sensors altogether. A small resistor is positioned between every two batteries to mimic connection resistance. After each cycle condition test, five data sets are collected: one set of current signals, three sets of single-battery voltage signals and one set of total voltage signals.
2.2. Original Signal
Utilizing the experimental platform described above for testing enables the acquisition of multiple sets of raw current and voltage signal data. Typically, these raw signals are deemed to be ideal signals free from faults and disturbances. One set among them is selected as a representative, and the corresponding raw signal is exhibited in Figure 3. It should be emphasized that, due to space constraints, only the processing process of a single set of signals will be shown in this paper.
Figure 3.
Current and voltage data of one battery under FUDS.
2.3. Fault Type Identification
Among the various sensors in lithium-ion batteries, current and voltage sensors are the primary factors influencing BMS decisions. Therefore, the fault diagnosis of current and voltage sensors is the focus of the research in this paper. In consideration of the intricate operational milieu characteristic of battery sensors, this paper thoroughly considers six prevalent types of sensor faults: drift fault, bias fault, gain fault, accuracy degradation fault, sticking fault and complete fault. Assume that is the ideal measurement value at time t and is the measurement result containing the fault. During the sensor measurement process, there exists reasonable white noise, denoted as . The factors and mathematical models for each of these faults are described below.
2.3.1. Drift Fault
Drift fault mainly stems from sensor aging. As the sensor experiences mechanical vibrations, impacts and long-term temperature effects during operation, its performance parameters change gradually, leading to a drift in measurement results, which is a common issue in long-term use. Thus, the mathematical model of the drift fault can be expressed as , where k denotes the drift rate. A larger value of k corresponds to a faster drift speed, and vice versa.
2.3.2. Bias Fault
Bias fault arises from internal structural deviations in the sensor, caused by issues like manufacturing process flaws and material quality problems. This results in a fixed offset in measurement results. Temperature fluctuations and mechanical shocks can also disrupt the internal materials or components, further contributing to this fault. Thus, the mathematical model of the bias fault can be expressed as , where C is the constant representing the bias amplitude.
2.3.3. Gain Fault
Gain fault occurs when the applied voltage or current exceeds the sensor’s rated range, damaging its internal circuits and affecting signal amplification. Improper circuit design or component selection during manufacturing can also cause inaccurate gain under normal operation. Thus, the mathematical model of the gain fault can be expressed as , where G is the constant representing the gain factor.
2.3.4. Accuracy Degradation Fault
Harsh environmental conditions such as high humidity, salinity and electromagnetic interference can degrade the sensor’s measurement accuracy [41]. Additionally, long-term use and wear of internal sensitive components also contribute to a decline in accuracy. Thus, the mathematical model of the accuracy degradation fault can be expressed as , where is the white noise caused by the fault, and .
2.3.5. Sticking Fault
Sticking fault in sensors can be due to multiple factors. In EVs’ vibration-rich environment, component wear and impurity intrusion can increase friction, hampering normal movement. Drive circuit problems or software glitches can also disrupt the sensor’s operation, causing it to stick. Thus, the mathematical model of the sticking fault can be expressed as , where , and is the last value before the fault occurs.
2.3.6. Complete Fault
A complete fault means that the sensor fails entirely. Harsh working conditions like high temperature, humidity, salinity, and strong electromagnetic interference can severely damage the sensor. Sensor aging and serious physical damage can also lead to this fault. Thus, the mathematical model of the complete fault can be expressed as .
2.4. Fault Level and Test Range
It is not only essential to compare the fault detection capabilities of different time–frequency analysis methods but also crucial to compare the detection capabilities of the same time–frequency analysis method for various types of faults. Consequently, it is highly necessary to set the parameters of the fault mathematical model rationally. Among the six faults considered in this paper, the fault patterns of the sticking fault and the complete fault are fixed, so there is no need to take the fault parameters into account.
When the fault level , the parameter C for the bias fault is defined as the maximum deviation observed in the signal within the 500 s interval preceding the fault occurrence. The configurations for the drift fault and the accuracy degradation fault are derived from the bias fault settings. Specifically, for the drift fault, the signal deviation at the fault occurrence time (5000 s) is set to exactly C. For the accuracy degradation fault, the amplitude of the noise signal is constrained within the range of . The gain fault is relatively unique. As evident from the mathematical model, the gain fault is absent while . When , , and when , C approaches 0. This condition can be effectively implemented using inverse trigonometric functions.
In conclusion, for these four types of faults with the fault level L, the fault parameters are presented as follows:
where .
3. Time–Frequency Analysis Methods
Compared with model-based fault detection approaches characterized by prohibitively high computational complexity and intricate observer design and data-driven methods susceptible to environmental variations and limited by suboptimal online detection capabilities, time–frequency analysis techniques offer a parsimonious yet effective framework for sensor fault diagnostics. Current and voltage sensors are prioritized in this study due to their pivotal role in BMS decision-making processes, which directly influence system safety and operational efficiency. Given the highly periodic characteristics of battery signals during normal operation, fault occurrences will inevitably introduce perturbations that alter both time-domain and frequency-domain features. Time–frequency analysis techniques are ideally suited to systematically characterize these dynamic signal changes, enabling early fault detection and classification without reliance on complex electrochemical models or extensive training data sets. This paper introduces five common and an improved time–frequency analysis methods.
3.1. Empirical Mode Decomposition (EMD)
EMD is a data-driven and self-adaptive method that disassembles a signal into a series of intrinsic mode functions (IMFs). Each IMF embodies a specific local feature of the signal. Its mathematical expression is
where is the input signal, n is the total number of IMFs extracted from the signal and represents the i-th IMF, which is a mono-component function with zero means. is the residual term, often a monotonic function or a constant.
An IMF is an inherent vibration mode of different frequency components in the original signal, representing the fluctuation or oscillation characteristics of different scales in the signal, and it can effectively reflect the time-domain characteristics of the original signal. When a fault changes amplitude characteristics, it can be detected through EMD.
The key strength of EMD lies in its full adaptability, as it eliminates the need for pre-specified basis functions. This characteristic renders EMD particularly well suited for the analysis of nonlinear and non-stationary signals. Based on the local characteristic time scales of the signal, complex signals are decomposed into several IMFs with different time scales by EMD. Each IMF is represented as the characteristic component of the signal at different levels. Despite these advantages, EMD is restricted to the analysis of time-domain signals. Additionally, it is highly susceptible to noise interference, and it exhibits a relatively high computational complexity, which may pose challenges in practical applications.
3.2. Hilbert–Huang Transform (HHT)
The HHT algorithm first decomposes the signal into multiple IMFs via EMD. Subsequent to this decomposition, the Hilbert transform (HT) is applied to each IMF to derive the instantaneous frequency information, thereby constructing the time–frequency distribution of the signal. HT extracts the signal’s instantaneous frequency and amplitude information by convolving the signal with . Its mathematical expression is
where denotes the Cauchy principal value of the integral.
By analyzing the signal with the HT, the instantaneous frequency of each IMF can be calculated. When a fault changes the frequency of the IMF, it can very intuitively show the frequency change of the original signal so as to find out the moment when the fault occurs.
The HHT instantaneous frequency calculation method is suitable for handling nonlinear and non-stationary signals. The HHT demonstrates high sensitivity to frequency variations in signals, enabling effective fault detection when frequency characteristics of the original signal are altered by faults. However, it fails to detect faults that solely affect amplitude characteristics without altering frequency components.
3.3. Wavelet Transform (WT)
The WT conducts signal analysis by scaling and translating a wavelet basis function. This approach empowers itself to capture the local characteristics of signals at diverse scales. Its mathematical expression is
where is the input signal as a function of time t and is the complex conjugate of the mother wavelet function, scaled by a and translated by b.
After the original signal is analyzed by WT, the signal will be decomposed into wavelet coefficients at different scales and different positions. These wavelet coefficients reflect the local characteristics of the signal at different frequencies and times. By using the known range of the frequency and amplitude of the original signal, the threshold value is set to complete the fault detection work.
The primary advantage of WT resides in its multi-resolution analysis property. This feature allows WT to concurrently furnish local information in both the time and frequency domains, rendering it exceptionally well suited for the analysis of non-stationary signals. Nevertheless, WT also has its limitations. The choice of the wavelet basis function exerts a substantial influence on the outcome of the analysis. Additionally, WT is burdened with relatively high computational complexity, which poses challenges in practical applications.
3.4. Short-Time Fourier Transform (STFT)
STFT divides the signal into segments by applying a window function. It then conducts a Fourier transform on the signal within each window to derive the time–frequency distribution. Its mathematical expression is
where t and f denote time and frequency and is a window function, which can be a Gaussian window, a Hanning window, etc., since it is in the time domain. is the complex exponential representing the frequency component f.
After specifying the window length, the original signal is analyzed by STFT, and then the time–frequency diagram can be obtained. Due to the injection of the sensor fault, the frequency or amplitude of the original signal has been changed. Therefore, the change in the amplitude at a certain moment under the specified frequency can be observed on the time–frequency diagram. On the premise of knowing the range of the frequency and amplitude of the original signal, the fault detection work can be completed through the fault detection function and the threshold value.
The STFT is constrained by the Heisenberg uncertainty principle, which implies that the time resolution and frequency resolution cannot achieve their optimal states simultaneously. Since the window length remains fixed, the time resolution is relatively poor for high-frequency signals while the frequency resolution is suboptimal for low-frequency signals. As a result, better outcomes can be achieved by this method when analyzing signals with relatively simple frequency components and those with not overly high requirements for time–frequency resolution.
3.5. S-Transform
The S-transform represents an amalgamation of STFT and WT. It utilizes a frequency-dependent window function, which endows it with the ability to offer distinct time resolutions across different frequencies. Its mathematical expression is
where t and f denote time and frequency, is the input signal, is a frequency-dependent Gaussian window function and is the complex exponential representing the frequency component.
According to the analysis results of the ST, the time–frequency diagram of the signal is drawn. From the energy distribution on the time–frequency diagram, the change in the frequency of the signal over time can be intuitively observed, as well as the energy concentration degree of the signal in different time and frequency regions. Therefore, according to the characteristics of the signal without fault, the fault detection work can be completed.
The S-transform boasts the advantage of synergistically incorporating the strengths of both STFT and WT. Specifically, its frequency resolution varies as a function of time, rendering it eminently suitable for the analysis of non-stationary signals. Nevertheless, ST is not without limitations. It is encumbered by relatively high computational complexity, and it demonstrates a suboptimal frequency resolution in the high-frequency segment of the signal spectrum.
3.6. Multi-Window STFT (MW-STFT)
From the preceding analysis, it is evident that only the STFT, WT and ST are capable of performing simultaneous time–frequency analysis of signals. In comparison with the STFT, both WT and ST exhibit higher computational complexity. Additionally, the STFT retains intuitive physical interpretability, enabling straightforward signal characterization. The most prominent limitation of STFT is its fixed window, which gives rise to a serious spectral leakage problem. Neither the window function nor an appropriate window length can fully address spectral leakage; it can only be mitigated. Consequently, an MW-STFT method has been proposed.
At time , a segment of data is intercepted from the detected signal and undergoes a fast Fourier transform, similar to the STFT, where represents the window length. Through the spectrogram, multiple harmonics can be obtained. Each harmonic contains two fundamental pieces of information: the harmonic amplitude and the harmonic frequency . By sorting each harmonic according to the magnitude of , two sequences and can be derived:
where m denotes the number of harmonics and .
In accordance with practical requirements, when several window lengths of appropriate sizes and a suitable number of harmonics are selected, the characteristic matrix of the detected signal at time t can be obtained.
It is noteworthy that, in this paper, when , . To reduce the threshold parameter setting, the primary and secondary harmonics were extracted for fault diagnosis with . Additionally, three window lengths were selected with .
The MW-STFT is a derivative of the STFT. After selecting several appropriate window lengths, the original signal is decomposed by MW-STFT, and the amplitudes and frequencies of the harmonic arrays can be obtained. The characteristics of these harmonics are limited, so the fault detection work can also be completed through the fault detection function and the threshold value.
The MW-STFT exhibits several distinct merits over the five existing time–frequency analysis methods described above:
- Combined Frequency–Amplitude Analysis: Unlike EMD and HHT, the analysis results of MW-STFT inherently contain both frequency and amplitude information. This allows for the successful detection of fault signals regardless of whether the fault modifies frequency characteristics, amplitude characteristics or both.
- Reduced Parameter Tuning: In contrast to STFT, WT and ST, MW-STFT requires only the extraction of primary and secondary harmonic features, leading to a significant reduction in the number of threshold parameters needing calibration.
- Resolution Optimization: Unlike conventional STFT, which is inherently constrained by the time–frequency resolution trade-off, where longer windows reduce temporal resolution and shorter windows degrade frequency resolution, the limitation is addressed by the MW-STFT through its multi-window architecture, thereby ensuring optimal resolution adaptability to signals with uncertain frequency content within the analyzed frequency range.
4. Experiment Results
The time–frequency analysis methods mentioned above are applied in sequence to detect all the sensor faults considered in this paper. The fault detection capabilities of these methods for various sensor fault types in current sensors were evaluated in the experiment. Additionally, detection performance across different fault levels was quantitatively analyzed, with a particular focus on documenting the results for current sensor faults under the condition. The corresponding detection results can be presented graphically from Figure 4, Figure 5, Figure 6, Figure 7, Figure 8 and Figure 9.
The fault detection outcomes for current sensors are underscored to validate the feasibility of fault detection without intricate battery models. In the existing research, the majority of current sensor fault detection approaches inherently depend on battery models, including equivalent circuit models and electrochemical models. Nevertheless, these modeling frameworks impose substantial computational complexity and detection delay.
4.1. Detection Results of EMD
Following decomposition via EMD, sticking and complete faults were consistently detected, as demonstrated in Figure 4e,f. Notably, drift faults induced a significant increase in IMF1 amplitude as shown in Figure 4a. Additionally, although precision degradation faults remained undetected during EMD decomposition, observable increases in IMF frequency components were recorded in Figure 4d, which laid the groundwork for subsequent successful detection by HHT. But, from Figure 4b,c, the influence of bias and gain faults on IMFs cannot be observed at all.
Figure 4.
Detection result of EMD with : (a) drift fault. (b) Bias fault. (c) Gain fault. (d) Accuracy degradation fault. (e) Sticking fault. (f) Complete fault.
Figure 4.
Detection result of EMD with : (a) drift fault. (b) Bias fault. (c) Gain fault. (d) Accuracy degradation fault. (e) Sticking fault. (f) Complete fault.

This detection result aligns with the previous description of EMD, where EMD decomposes the features of the original signal through IMFs. IMF1 contains the fault characteristics of drift faults, precision degradation faults and complete faults, while the fault characteristics of sticking and complete faults are extracted in IMF2 and IMF3.
4.2. Detection Results of HHT
HHT is applied as a subsequent processing step to the decomposition results of EMD. By leveraging EMD’s adaptive decomposition capabilities, HHT inherits the ability to detect drift, sticking and complete faults, as shown in Figure 5a,e,f. Additionally, it exhibits superior performance in detecting accuracy degradation faults as shown in Figure 5d. However, HHT demonstrates reduced efficacy in detecting faults that solely involve amplitude variations. As visualized in Figure 5b,c, signature features of bias and gain faults remain undetectable under HHT analysis, indicating its inherent limitations in capturing amplitude—only perturbations.
Figure 5.
Detection result of HHT with : (a) drift fault. (b) Bias fault. (c) Gain fault. (d) Accuracy degradation fault. (e) Sticking fault. (f) Complete fault.
Figure 5.
Detection result of HHT with : (a) drift fault. (b) Bias fault. (c) Gain fault. (d) Accuracy degradation fault. (e) Sticking fault. (f) Complete fault.

This detection result aligns with expectations. HHT is highly sensitive to frequency changes. Since the signal frequencies of accuracy degradation, sticking and complete faults have significantly altered, HHT can successfully detect these three types of faults. However, as the signal frequencies of bias and gain faults remain unchanged, HHT fails to detect them entirely. What is rather surprising is that HHT can identify drift faults—this appears to stem from the fact that the characteristics of drift faults were precisely extracted into IMF1 during the EMD process.
4.3. Detection Results of WT
The “haar” basis function was employed in the experiments. In Figure 6c,e,f, it can be seen that gain, sticking and complete faults were detected across the majority of the frequency domain, whereas accuracy degradation faults were detected within a limited frequency range as shown in Figure 6d. WT exhibits an extremely weak detection capability for bias faults, and drift faults were not detected at all, as shown in Figure 6a,b. This discrepancy can be attributed to the correlation between the selected basis function and the test conditions.
Figure 6.
Detection result of WT with : (a) drift fault. (b) Bias fault. (c) Gain fault. (d) Accuracy degradation fault. (e) Sticking fault. (f) Complete fault.
Figure 6.
Detection result of WT with : (a) drift fault. (b) Bias fault. (c) Gain fault. (d) Accuracy degradation fault. (e) Sticking fault. (f) Complete fault.

This detection result, though not entirely satisfactory, is not surprising. This is because there was no careful selection or design of wavelet functions to achieve optimal detection results. As shown in the detection results, WT can effectively detect faults when frequency changes occur. Additionally, WT’s detection results are relatively dependent on the selection of wavelet functions.
4.4. Detection Results of STFT
As illustrated in Figure 7c,e,f, STFT effectively detects gain, sticking and complete faults. However, it fails to identify drift, bias and accuracy degradation faults, as shown in Figure 7a,b,d. Drift faults manifest as gradual signal changes, while drift and bias faults exhibit lower fault frequencies, and accuracy degradation faults demonstrate higher frequencies. This outcome corroborates the limitations of STFT’s fixed-window-based time–frequency resolution, resulting in suboptimal detection performance for both high-frequency and low-frequency signals.
Figure 7.
Detection result of STFT with : (a) drift fault. (b) Bias fault. (c) Gain fault. (d) Accuracy degradation fault. (e) Sticking fault. (f) Complete fault.
Figure 7.
Detection result of STFT with : (a) drift fault. (b) Bias fault. (c) Gain fault. (d) Accuracy degradation fault. (e) Sticking fault. (f) Complete fault.

4.5. Detection Results of ST
Despite being an enhanced method of STFT and WT, the ST did not yield satisfactory results in fault detection. It can be found from Figure 6 and Figure 8 that the sensitivity of the ST to the six types of faults is extremely similar to that of the WT, and there is no obvious improvement in the detection capability.
Figure 8.
Detection result of S-transform with : (a) drift fault. (b) Bias fault. (c) Gain fault. (d) Accuracy degradation fault. (e) Sticking fault. (f) Complete fault.
Figure 8.
Detection result of S-transform with : (a) drift fault. (b) Bias fault. (c) Gain fault. (d) Accuracy degradation fault. (e) Sticking fault. (f) Complete fault.

The detection performance of ST did not outperform STFT and WT, despite being a method that incorporates the advantages of both approaches. The most plausible explanation is that, while ST adjusts window size according to frequency, this adaptive behavior may overshoot the optimal window length for detecting drift and bias faults.
4.6. Detection Results of MW-STFT
MW-STFT surpasses both categories by achieving comprehensive fault detection across all evaluated fault types, as shown in Figure 9. Compared with STFT, WT and ST, the MW-STFT demonstrates a stronger detection capability for drift and bias faults. On the other hand, although the detection capability of MW-STFT for accuracy degradation faults is relatively weak, it is still acceptable.
The detection results of MW-STFT can be categorized into three classes: the first category is sticking and complete faults, where detection results are highly conspicuous, with clear frequency-domain signatures; the second category is drift, bias and gain faults, characterized by distinguishable yet less prominent signal anomalies that enable threshold-based determination; the third category is accuracy degradation faults, which demonstrate marginal detectability. Although technically successful, these results are vulnerable to false negatives if threshold values exceed confidence intervals.
Figure 9.
Detection result of MW-STFT with : (a) drift fault. (b) Bias fault. (c) Gain fault. (d) Accuracy degradation fault. (e) Sticking fault. (f) Complete fault.
Figure 9.
Detection result of MW-STFT with : (a) drift fault. (b) Bias fault. (c) Gain fault. (d) Accuracy degradation fault. (e) Sticking fault. (f) Complete fault.

4.7. Comparison of Algorithms
Table 1 summarizes the fault detection performance of all evaluated time–frequency analysis methods for six fault categories: F1 (drift fault), F2 (bias fault), F3 (gain fault), F4 (accuracy degradation fault), F5 (sticking fault) and F6 (complete fault).
Table 1.
Fault detection capability of time–frequency analysis method.
The following conclusions are drawn from the analysis of Table 1:
- Sticking faults and complete faults were universally detected across all methods.
- Methods excluding MW-STFT naturally segregate into two distinct categories.
- MW-STFT demonstrated comprehensive detection across all fault types.
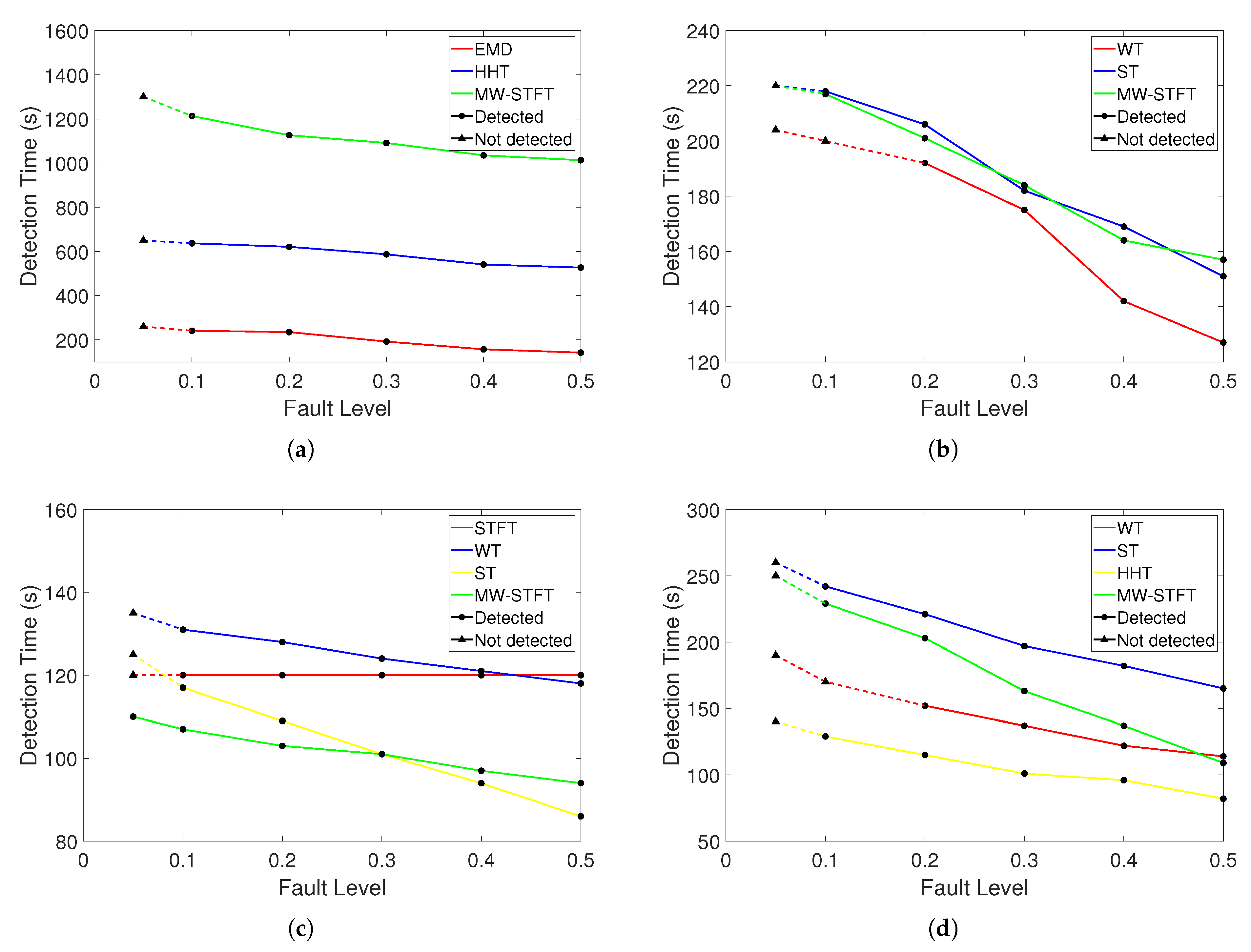
The quantification of detection capability can be carried out by adjusting fault levels and documenting the average fault detection time of each time–frequency analysis method across different fault categories. The fault levels span from 0.05 to 0.5, encompassing four distinct fault types: drift, bias, gain and accuracy degradation faults. For cases where a particular analysis method fails to detect a fault at a given fault level, a dummy value is assigned based on curve trend extrapolation to preserve the continuity of the visualization. The average detection time curves for each method as a function of fault severity are shown in Figure 10.
Figure 10.
Detection time under different fault levels: (a) drift fault. (b) Bias fault. (c) Gain fault. (d) Accuracy degradation fault.
Except for drift faults, which posed significant detection challenges as shown in Figure 10a, the detection times for all other fault types were far less than the nearly 1000 s required by model-based fault detection methods. Additionally, although MW-STFT did not demonstrate clear advantages over other methods for any single fault category, it successfully detected every fault type evaluated. In stark contrast to MW-STFT, among other time–frequency analysis methods, even the best-performing ST and WT could only successfully detect three fault types when .
5. Conclusions
This paper has proposed a fault detection method using the MW-STFT for current and voltage sensor faults. The MW-STFT has overcome two drawbacks of the traditional STFT, namely, the low time resolution for high-frequency signals and the low frequency resolution for low-frequency signals. Initially, in light of the working conditions of sensors within the BMS, six modes of sensor faults have been mathematically modeled. To enable a more efficient comparison of the detection performance of each method for different faults, these faults have been standardized during the modeling procedure. Subsequently, the detection results of five existing time–frequency analysis methods have been compared. Additionally, the detection capabilities of all evaluated methods for sensor faults have been quantitatively analyzed. The detection performances of six time–frequency analysis methods for six common battery sensor faults have been theoretically and experimentally compared.
Currently, this paper mainly focuses on the fault diagnosis of current and voltage sensors in lithium-ion battery systems, and experimental verifications have been carried out for six types of sensor fault modes. The issues of subdividing and quantifying the fault modes will be our future research directions.
Author Contributions
Conceptualization, H.C. and Q.W.; methodology, Q.W.; software, Q.W.; validation, Q.W.; investigation, H.C. and Q.W.; resources, E.T.; writing—original draft preparation, Q.W.; writing—review and editing, H.C. and E.T.; supervision, E.T. All authors have read and agreed to the published version of the manuscript.
Funding
This research was funded by National Natural Science Foundation of China grant number 62173231.
Data Availability Statement
The original contributions presented in this study are included in the article. Further inquiries can be directed to the corresponding authors.
Acknowledgments
This research was supported by the National Natural Science Foundation of China, for which we express our sincere gratitude.
Conflicts of Interest
The authors declare no conflicts of interest.
References
- Baayoun, A.; Itani, W.; Helou, J.E.; Halabi, L.; Medlej, S.; El Malki, M.; Moukhadder, A.; Aboujaoude, L.K.; Kabakian, V.; Mounajed, H.; et al. Emission inventory of key sources of air pollution in Lebanon. Atmos. Environ. 2019, 215, 116871. [Google Scholar]
- Dennehy, E.R.; Gallachoir, B.P.O. Ex-post decomposition analysis of passenger car energy demand and associated CO2 emissions. Transp. Res. Part D Transp. Environ. 2018, 59, 400–416. [Google Scholar]
- Cao, W.; Zhang, J.; Li, H. Batteries with high theoretical energy densities. Energy Storage Mater. 2020, 26, 46–55. [Google Scholar]
- Lipu, M.S.H.; Hannan, M.A.; Hussain, A.; Ansari, S.; Rahman, S.; Saad, M.H.; Muttaqi, K.M. Real-time state of charge estimation of lithium-ion batteries using optimized random forest regression algorithm. J. Energy Storage 2021, 40, 102601. [Google Scholar]
- Lu, L.; Han, X.; Li, J.; Hua, J.; Ouyang, M. A review on the key issues for lithium-ion battery management in electric vehicles. J. Power Sources 2013, 226, 272–288. [Google Scholar]
- Held, M.; Tuchschmid, M.; Zennegg, M.; Figi, R.; Schreiner, C.; Mellert, L.D.; Welte, U.; Kompatscher, M.; Hermann, M.; Nachef, L. Thermal runaway and fire of electric vehicle lithium-ion battery and contamination of infrastructure facility. Renew. Sustain. Energy Rev. 2022, 165, 112474. [Google Scholar] [CrossRef]
- Rezvanizaniani, S.M.; Liu, Z.; Chen, Y.; Lee, J. Review and recent advances in battery health monitoring and prognostics technologies for electric vehicle (EV) safety and mobility. Appl. Energy 2022, 317, 119066. [Google Scholar]
- Yi, Z.; Chen, Z.; Yin, K.; Wang, L.; Wang, K. Sensing as the key to the safety and sustainability of new energy storage devices. Prot. Control Mod. Power Syst. 2023, 8, 27. [Google Scholar] [CrossRef]
- Li, Y.; Fei, M.R.; Jia, L.; Lu, N.; Kaynak, O.; Zio, E. Novel outlier-robust accelerated degradation testing model and lifetime analysis method considering time-stress-dependent factors. IEEE Trans. Ind. Inform. 2024, 20, 9907–9917. [Google Scholar]
- Li, Y.; Xu, S.Q.; Chen, H.T.; Jia, L.; Ma, K. A general degradation process of useful life analysis under unreliable signals for accelerated degradation testing. IEEE Trans. Ind. Inform. 2023, 19, 7742–7750. [Google Scholar]
- Liu, Y.; Wang, L.; Li, D.; Wang, K. State-of-health estimation of lithium-ion batteries based on electrochemical impedance spectroscopy: A review. Prot. Control Mod. Power Syst. 2023, 8, 41. [Google Scholar] [CrossRef]
- Hu, X.; Zhang, K.; Liu, K.; Lin, X.; Dey, S.; Onori, S. Advanced fault diagnosis for lithium-ion battery systems: A review of fault mechanisms, fault features, and diagnosis procedures. IEEE Ind. Electron. Mag. 2020, 14, 65–91. [Google Scholar] [CrossRef]
- Peng, F.; Jiang, S.; Zhao, Y.; Ren, L. Soft short-circuit fault diagnosis for vehicular battery packs with interpretable full-dimensional statistical analytics. IEEE Trans. Power Electron. 2024, 39, 11650–11664. [Google Scholar] [CrossRef]
- Tian, H.; Qin, P.; Li, K.; Zhao, Z. A review of the state of health for lithium-ion batteries: Research status and suggestions. Energy Storage Mater. 2021, 37, 399–415. [Google Scholar] [CrossRef]
- Tran, M.K.; Mevawalla, A.; Aziz, A.; Panchal, S.; Xie, Y.; Fowler, M. A review of lithium-ion battery thermal runaway modeling and diagnosis approaches. Appl. Energy 2021, 292, 1192. [Google Scholar] [CrossRef]
- Sun, P.; Bisschop, R.; Niu, H.; Huang, X. A review of battery fires in electric vehicles. Appl. Energy 2021, 295, 116920. [Google Scholar] [CrossRef]
- Liu, H.; Li, L.; Duan, B.; Kang, Y.; Zhang, C. Multi-fault detection and diagnosis method for battery packs based on statistical analysis. Energy 2024, 293, 130465. [Google Scholar] [CrossRef]
- Zhuo, S.; Ma, Y.; Zhang, R.; Huangfu, Y.; Gao, F. Sliding mode observer-based robust switch fault diagnosis of bidirectional interleaved converters for energy storage system. IEEE Trans. Power Electron. 2025; early access. [Google Scholar] [CrossRef]
- Lipu, M.H.; Hannan, M.A.; Hussain, A.; Ayob, A.; Saad, M.H.; Karim, T.F.; How, D.N. Data-driven state of charge estimation of lithium-ion batteries: Algorithms, implementation factors, limitations and future trends. Appl. Energy 2021, 295, 116920. [Google Scholar]
- Zhao, Y.; Geng, L.; Shan, S.; Du, Z.; Hu, X.; Wei, X. Review of sensor fault diagnosis and fault-tolerant control techniques of lithium-ion batteries for electric vehicles. J. Traffic Transp. Eng. (Engl. Ed.) 2024, 11, 1447–1466. [Google Scholar] [CrossRef]
- Li, J.; Mao, Z.; Gu, X.; Tao, X.; Shang, Y. A quantitative fault diagnosis method for lithium-ion battery based on MD-LSTM. IEEE Trans. Transp. Electrif. 2024, 11, 2266–2276. [Google Scholar]
- Chen, H.; Tian, E.; Wang, L.; Liu, S. A joint online strategy of measurement outliers diagnosis and state of charge estimation for lithium-ion batteries. IEEE Trans. Ind. Inform. 2022, 19, 6387–6397. [Google Scholar]
- Chen, H.; Tian, E.; Wang, L.; Zheng, Y. Multi-fault diagnosis, quantitative analysis and warning strategy for lithium-ion battery system: When LSTM meets the fuzzy logic theory. IEEE Trans. Transp. Electrif. 2025; early access. [Google Scholar] [CrossRef]
- Jin, H.; Zhang, Z.; Ding, S.X.; Gao, Z.; Wang, Y.; Zuo, Z. Fault diagnosis for parallel lithium-ion battery packs with main current sensor fault and internal resistance fault. IEEE Trans. Instrum. Meas. 2024, 73, 3521210. [Google Scholar]
- Kim, W.; Na, K.; Choi, K. A current sensor fault-detecting method for onboard battery management systems of electric vehicles based on disturbance observer and normalized residuals. Int. J. Control Autom. Syst. 2023, 21, 3563–3573. [Google Scholar]
- Xu, D.; Ma, Y.; Yang, W.; Pan, T.; Dou, Z. Sliding mode observer-based sensor fault diagnosis for lithium-ion battery packs. Int. J. Innov. Comput. Inf. Control 2023, 19, 1455–1470. [Google Scholar]
- Xu, Y.; Ge, X.; Shen, W. A novel set-valued sensor fault diagnosis method for lithium-ion battery packs in electric vehicles. IEEE Trans. Veh. Technol. 2023, 72, 8661–8671. [Google Scholar]
- Wu, M.; Tan, C.; Qian, Y.; Wang, L. Fault diagnosis of the lithium-ion power battery current/voltage sensor based on a fusion diagnosis factor. In Proceedings of the 2024 IEEE 10th International Power Electronics and Motion Control Conference (IPEMC2024-ECCE Asia), Chengdu, China, 17–20 May 2024; pp. 2378–2383. [Google Scholar]
- Yu, Q.; Dai, L.; Xiong, R.; Chen, Z.; Zhang, X.; Shen, W. Current sensor fault diagnosis method based on an improved equivalent circuit battery model. Appl. Energy 2022, 310, 118588. [Google Scholar]
- Christensen, G.; Younes, H.; Hong, H.; Widener, C.; Hrabe, R.H.; Wu, J.J. Nanofluids as media for high capacity anodes of lithium-ion battery—A review. J. Nanofluids 2019, 8, 657–670. [Google Scholar]
- Park, S.; Kang, B.; Yu, D.; Jeong, M.; Hong, Y. Fault diagnosis for electric vehicle battery pack interconnection system using real-world driving data. IEEE Trans. Ind. Electron. 2025; early access. [Google Scholar] [CrossRef]
- Yue, D.; Tian, E.; Han, Q. A delay system method for designing event-triggered controllers of networked control systems. IEEE Trans. Autom. Control 2013, 58, 475–481. [Google Scholar]
- Cheng, Y.; D’Arpino, M.; Rizzoni, G. Optimal sensor placement for multifault detection and isolation in lithium-ion battery pack. IEEE Trans. Transp. Electrif. 2022, 8, 4687–4702. [Google Scholar]
- Wu, J.; Cao, R.; Tian, E.; Chen, P. Switching-like sliding mode security control against DoS attacks: A novel attack-related adaptive event-triggered scheme. IEEE/CAA J. Autom. Sin. 2025. [Google Scholar] [CrossRef]
- Babaeiyazdi, I.; Rezaei-Zare, A.; Shokrzadeh, S. State of charge prediction of EV Li-ion batteries using EIS: A machine learning approach. J. Energy Storage 2020, 33, 101930. [Google Scholar] [CrossRef]
- Xiao, S.; Ding, L.; Ye, M.; Yue, D.; Ge, H. Resource-efficient and resilient SOC/SOH co-monitoring of EV batteries with attack detection. IEEE Trans. Smart Grid, 2025; early access. [Google Scholar] [CrossRef]
- Chen, H.; Tian, E.; Wang, L. State-of-charge estimation of lithium-ion batteries subject to random sensor data unavailability: A recursive filtering approach. IEEE Trans. Ind. Electron. 2021, 69, 5175–5184. [Google Scholar]
- Yu, Q.; Wan, C.; Li, J.; Xiong, R.; Chen, Z. A model-based sensor fault diagnosis scheme for batteries in electric vehicles. Energies 2021, 14, 829. [Google Scholar] [CrossRef]
- Shen, D.; Yang, D.; Lyu, C.; Ma, J.; Hinds, G.; Sun, Q.; Du, L.; Wang, L. Multi-sensor multi-mode fault diagnosis for lithium-ion battery packs with time series and discriminative features. Energy 2024, 290, 130151. [Google Scholar]
- Jin, H.; Zhang, Z.; Wang, Y.; Zuo, Z. Event-triggered sensor fault estimation for lithium-ion battery packs. IEEE Trans. Circuits Syst. II Express Briefs 2024, 71, 3101–3105. [Google Scholar]
- Li, Y.; Gao, H.F.; Chen, H.T.; Liu, C.; Yang, Z.; Zio, E. Accelerated degradation testing for lifetime analysis considering random effects and the influence of stress and measurement errors. Reliab. Eng. Syst. Saf. 2024, 247, 110101. [Google Scholar]
Disclaimer/Publisher’s Note: The statements, opinions and data contained in all publications are solely those of the individual author(s) and contributor(s) and not of MDPI and/or the editor(s). MDPI and/or the editor(s) disclaim responsibility for any injury to people or property resulting from any ideas, methods, instructions or products referred to in the content. |
© 2025 by the authors. Licensee MDPI, Basel, Switzerland. This article is an open access article distributed under the terms and conditions of the Creative Commons Attribution (CC BY) license (https://creativecommons.org/licenses/by/4.0/).



