Abstract
Temperature is a crucial parameter for ensuring the long lifespan and safe operation of lithium-ion batteries (LiBs). An efficient battery thermal management system (BTMS) tries to maintain temperature in between optimum limits. Despite some disadvantages, air-cooled BTMSs are still preferred due to their advantages such as light weight, simple design, low cost, and ease of maintenance. This study experimentally evaluated a fan-assisted BTMS for the purpose of cooling a 4S2P battery module that includes 18650 type cells. The battery module was initially tested with no cooling system to observe the temperature characteristics of the module, followed by testing with forced air cooling using a fan. Experiments were also conducted with perforated plates installed between the fan and the module to see their effects on the thermal behaviors. Tests were initiated when the ambient temperature was approximately 25 °C and the discharges were carried out by drawing constant currents of 4 A, 8 A, 12 A, and 16 A from the module via an electronic load. The results of this study highlighted the importance of an effective BTMS in ensuring battery safety and performance across different operational conditions. While all tested cooling configurations maintained acceptable temperature levels at lower discharge currents (4 A and 8 A), they struggled to do so at higher currents (12 A and 16 A). Among them, the Fan–HC mode demonstrated the highest efficiency, reducing the maximum temperature (Tmax) by 38.82% at 12 A and 28.89% at 16 A compared to the no-cooling scenario. Moreover, it ensured a more uniform temperature distribution within the module. These findings emphasize the necessity of optimized cooling strategies, particularly for high-power applications.
1. Introduction
Currently, lithium-ion batteries (LiBs) are one of the most remarkable solutions for energy storage applications. Advantages such as a higher specific energy, reduced weight, self-discharge rate, and no memory effect move them one step ahead compared to rivals in electric vehicles (EVs), portable electronic devices, and residential and grid-scale energy storage applications [1,2].
On the other hand, LiBs are very temperature sensitive; one of the major challenges to be tackled in LiB applications is the removal of excessive heat generated under load conditions. The insufficient management of this issue under operational conditions may result in problems such as a reduced cycle life and thermal runaway, which directly affect the long-term stability and safety of batteries [3].
A well-established battery thermal management system (BTMS) tries to hold battery temperature within 15–35 °C values [4]. During this time, the temperature difference (ΔT) between cells within a package should not exceed 5 °C [5,6]. At temperatures above 35 °C, cycling stability deteriorates due to intensified side reactions and significant solid electrolyte interphase (SEI) formation, leading to capacity loss and an increased risk of thermal runaway, particularly over 60 °C. Conversely, when the temperature drops below 15 °C, internal resistance rises, ionic conductivity decreases, and lithium plating may occur. Below 0 °C, higher electrolyte viscosity and slower interfacial kinetics further reduce the battery’s reversible capacity, negatively impacting overall performance [7,8,9].
To maintain battery performance within the mentioned temperature range, various cooling methods such as air cooling, liquid cooling, and phase change materials (PCM) are employed [10]. Although air has a lower specific heat capacity than liquids, air cooling systems in batteries are still widely utilized due to their lightweight and simple design, low cost, ease of maintenance, and fewer leakage issues [11]. The categorization of air cooling methods mainly used in BTMSs was supplied in the following Figure 1.
Figure 1.
Classification of air cooling methods (adapted from [12]).
Based on the literature surveyed, it can be seen that there are different approaches to performing the air-based cooling of battery packs. Changing battery layout, designing various airflow channels, and altering cooling fan positions are some of them, as stated in Figure 1. Fan et al. [13] experimentally performed a study to investigate air cooling system characteristics for 32 LiB cells. Aligned, staggered, and cross-battery configurations at various inlet air velocities were tested to assess thermal behavior. The best cooling characteristics and uniformity of temperature were obtained with the aligned arrangement. The aligned configuration has also exhibited minimum power consumption. Zhao et al. [14] tried to enhance the heat removal rates of battery pack with a novel trapezoid battery pack configuration. Improved cooling performance was obtained with a novel design compared to the conventional one. The reductions in maximum temperature (Tmax) and ΔT were 0.9 °C and 1.17 °C, correspondingly, when the inlet airflow rate was 60 L/s. Wang et al. [15] intended to enhance the cooling performance of a BTMS by varying airflow paths of battery packs. They decided that the changing flow routes by varying inlet and outlet locations seriously affected the efficiency of cooling. In comparison with BTMS I (Z-type), BTMS IX and BTMS VII gave the minimum Tmax and ΔT. Shun-Bo et al. [16] conducted a study to improve the performance of the air cooling system of LiB pack by altering the flow pattern of air. Numerical simulations were performed with 36 (4 × 9 configuration) 21700 battery cells. Flow patterns were designed by taking conventional Z-type and U-type arrangements as references. There was a significant effect of varying flow patterns on system cooling. Cooling performance increased when the outlet was located at the top of the pack and the outlet center plane was closer to the inlet. Physical and mathematical models were established by Jiaqiang et al. [17] for the investigation of heat dissipation characteristics of the LiB module consisting of 16 cells. Among all scenarios, the 4 × 4 configuration was better than the 2 × 8, while the straight arrangement was superior to the staggered one. Kim et al. [18] conducted a study on three different cooling layouts based on a direct contact air-cooled system. Their findings highlighted the effectiveness of a flow path design incorporating a spoiler to enhance temperature uniformity within the battery pack. When compared to a Z-type cooling model, the spoiler-type configuration significantly reduced the maximum ΔT among battery cells by approximately 65.5%. Bisht et al. [19] developed a numerical model to evaluate the performance of delta winglet and circular protrusion-type vortex generators in battery cooling applications. The study compared both vortex generator designs based on key parameters, including pressure drop, weight, and Tmax. Simulation results indicated that both configurations exhibited optimal performance at an attack angle of 30°, highlighting the significance of vortex generator geometry in enhancing thermal management efficiency. Gao et al. [20] designed and tested a finned air-cooling model on diamond, triangular, and rectangular battery packs to enhance cooling performance. The results indicated that the finned air-cooling system can effectively reduce battery temperature by up to 23.6 °C. Among the tested battery pack shapes, the rectangular configuration exhibited the most efficient cooling performance, with a more uniform temperature distribution and lower overall temperatures. The numerical simulations also demonstrated that battery pack shape significantly influences cooling efficiency, with the rectangular pack providing the most favorable thermal management. Lin et al. [21] proposed an air-cooled battery module incorporating an epoxy resin board (ERB) layer between sixteen prismatic LiBs, and compared it with two other air-cooling structures using three-dimensional numerical simulations under varying discharge rates. Their results indicate that the ERB-based system significantly lowers battery surface temperatures and enhances temperature uniformity, though further structural optimization may be required for more demanding 5C discharge conditions.
From the literature, it can be seen that elevated temperatures and uneven thermal distribution can lead to capacity fade, internal resistance increase, and safety hazards such as thermal runaway. These issues are particularly critical for EVs and large-scale energy storage systems, where battery performance directly impacts efficiency and longevity. Therefore, the development of effective, lightweight, and scalable cooling solutions is essential for advancing LiB technology. In this study, an experimental assessment of a fan-assisted BTMS was performed for cooling a 4S2P battery module consisting of 18,650 cells. All tests were initiated at an approximate temperature of 25 °C and conducted under constant discharge currents of 4 A, 8 A, 12 A, and 16 A. A total of five different conditions were tested. In the first condition, no cooling system was activated. Then, in the fan-assisted cooling scenarios, one case had no plate between the fan and the module, while in the remaining three cases, different types of plates were implemented to regulate the airflow.
2. Materials and Methods
2.1. LiB Cell and Module
The electrochemical reactions during charging and discharging in a LiB utilize LiCoO2/C as the cathode and anode materials, and these are represented in Equations (1)–(3) [22]. These three equations describe the cathode, anode, and overall reactions, respectively.
There is inevitable heat generation across the LiB cell due to the flow of the current during discharge period. In LiBs, internal heat generation is modeled using the principle of energy conservation in conjunction with thermo-electrochemical models. The most commonly adopted approach involves calculating heat generation based on battery current and voltage, as expressed through the equations presented in Table 1. According to this model, heat generation is composed of two primary components: irreversible Joule heat losses and reversible entropic heat. Table 1 summarizes the mathematical background of heat generation in a LiB cell.
Table 1.
Basic equations of heat generation in a LiB cell [23].
In this work, a Panasonic Sanyo NCR18650GA LiB cell (Sanyo Electric Co., Ltd., Osaka, Japan) was utilized to create a module in 4S2P configuration (Figure 2). The specifications of the cell are given in Table 2.
Figure 2.
Panasonic Sanyo NCR18650GA cell.
Table 2.
Panasonic-Sanyo NCR18650GA LiB specifications.
The module consists of eight batteries connected in a 4S2P configuration, with four in series and two in parallel. The battery holder ensures that the distance between cells is 26.5 mm. Figure 3 shows the various views of the LiB module placed in the battery holder and spot-welded with nickel strips. The nominal voltage of each cell in the assembled battery module is 3.6 V, and the capacity is 3.450 Ah. In the module, the series connection quadruples the nominal voltage to 14.4 V, while the parallel structure doubles the capacity to 6.9 Ah. Thus, the energy capacity of a single cell, which is 12.42 Wh, has been increased to 99.36 Wh with the module.
Figure 3.
(a) Front view; (b) left view; and (c) top view of 4S2P LiB module.
2.2. Test Bench
Figure 4 shows the test bench used to perform battery tests, whereas Figure 5 demonstrates the schematic line diagram of the test bench. The charging and discharging processes were controlled via the Programmable Logic Controller (PLC). The PLC interface is shown in Figure 6.
Figure 4.
BTMS test bench (1: test area; 2: PLC; 3: control unit; 4: electronic load cell; 5: DC power supply; 6: thermocouple data logger; 7: computer; 8: 32S BMS).
Figure 5.
Schematic line diagram of test bench.
Figure 6.
Charge–discharge control page of PLC.
The specifications of the DC power supply (Good Will Instrument Co., Ltd., New Taipei, Taiwan) and electronic load unit (Heliocentris, Berlin, Germany) are supplied in Table 3 and Table 4.
Table 3.
Technical data of GW Instek PSU 100-15 programmable DC power supply.
Table 4.
Technical data of Heliocentris EL 1500 electronic load.
Real-time temperature measurements were obtained using T-type thermocouples (Pico Technology Ltd., Cambridgeshire, UK) connected to a data logger (Pico Technology Ltd., Cambridgeshire, UK), as shown in Figure 4, and the data collected were stored in a computer. The technical specifications of the thermocouple and data logger are provided in Table 5 and Table 6.
Table 5.
Technical data of Pico T-type thermocouple.
Table 6.
Technical data of Pico TC-08 thermocouple data logger.
2.3. Experimental Studies
A one-directional cooling case shown in Figure 7 was designed using plexiglass in order to perform experimental studies.
Figure 7.
Schematic demonstration of the battery module in a plexiglass case.
Tests were repeated in accordance with the test procedure illustrated in Figure 8. The module was charged to the charging voltage before each test, and then the desired current was drawn until the discharge voltage was reached. For a single cell, the upper and lower cut-off voltage values, corresponding to the charge and discharge voltages, are 4.2 V and 2.5 V, respectively. During this process, temperature data acquisition was conducted in real-time with thermocouples attached to each battery cell and a data logger. In the end, the thermal characteristics of the module were determined by evaluating the Tmax and ΔT values for each discharge current.
Figure 8.
Test procedure.
All tests were initiated when the ambient temperature was approximately 25 °C. The discharges were carried out by drawing constant currents of 4 A, 8 A, 12 A, and 16 A from the module via an electronic load. After each discharge, the module was recharged with the recommended charging current specified in the battery datasheet.
The battery module was initially tested with no cooling system, followed by testing with forced air cooling using a fan. The test results were denoted as ‘No’ and ‘Fan’ in the results section, respectively. In the subsequent tests, the perforated plates are positioned 120 mm away from both the fan and the center of the battery module to improve airflow over the cells. In the Fan–C(oarse) tests, the plate used had 20 mm diameter holes, while in the Fan–F(ine) tests, the plate had 10 mm diameter holes. Additionally, tests were conducted using a honeycomb-structured (HC) plate (Fan–HC) with 4 mm edge-to-edge spacing. Plate views and illustrations from the tests are presented in Figure 9 and Figure 10, correspondingly. The selection of perforated plates evolved from simple circular geometries to a Fan–HC structure based on both the experimental findings and established literature. Initially, coarse and fine circular perforations were chosen for their straightforward manufacturing and ease of implementation. However, the preliminary results indicated that these designs did not sufficiently enhance airflow uniformity or reduce temperature gradients across the battery module. Consequently, the HC plate was introduced, leveraging its well-documented advantages in flow straightening and turbulence reduction [24]. The HC pattern promotes more uniform convective cooling by channeling airflow evenly over the battery cells, thereby minimizing local hot spots. This approach is widely recognized in aerospace and thermal management applications for its high strength-to-weight ratio and its ability to reduce recirculation zones [25]. The transition from circular perforations to a honeycomb layout thus reflects an iterative design process aimed at achieving optimal thermal performance under high-power discharge conditions.
Figure 9.
Two-dimensional views of the plates: (a) coarse; (b) fine; (c) honeycomb.
Figure 10.
(a) Fan–C; (b) Fan–F; (c) Fan–HC tests.
A 24 VDC fan was utilized in the experiments, with an adaptor that converts 200–240 VAC to 24 VDC. The technical properties of the fan are supplied in Table 7. The fan has been centrally positioned at the inlet section to blow air over cells. The primary objective of the cooling system design was to minimize the Tmax and thermal gradient across the battery module. These thermal factors are crucial for battery longevity and safety, as higher operating temperatures accelerate degradation and shorten battery lifespan. Motloch et al. [26] demonstrated that for every degree increase in the operating temperature within the range of 30–40 °C, the calendar life of a LiB decreases by nearly two months. Similarly, recent research emphasizes that reducing thermal stress is essential for maintaining battery health over long-term cycling [19]. While the power consumption of the fan in the cooling setup is 16 W, this study prioritizes thermal management over energy efficiency in the cooling system.
Table 7.
Technical data of Delta Electronics DC Fan.
3. Results and Discussion
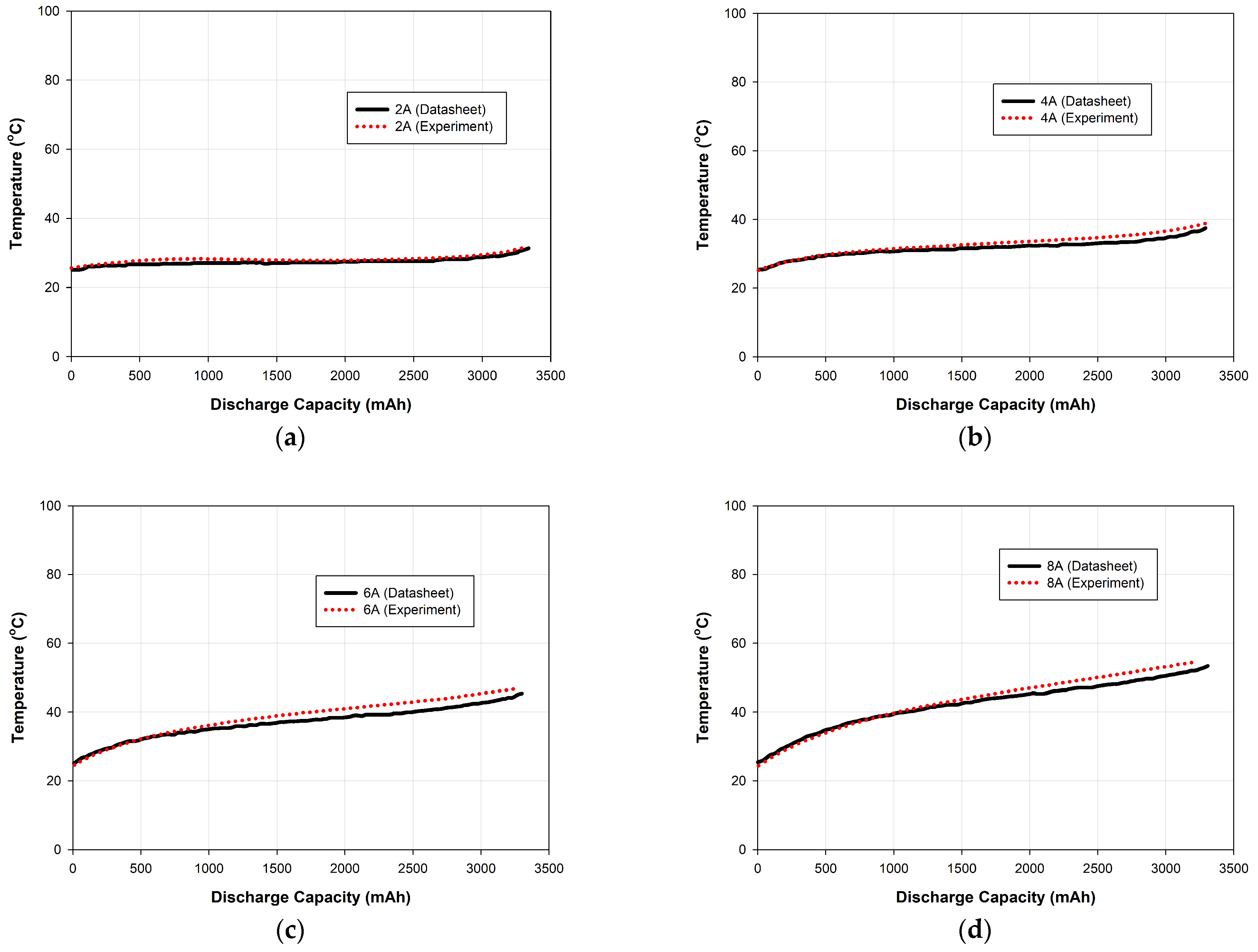
For the reliability of the tests conducted with the module, the voltage and temperature data provided in the battery datasheet were validated through discharge tests experimentally for a single cell and are presented in Figure 11 and Figure 12. It was observed that the datasheet and test data are in good agreement for both the temperature and voltage characteristics of the cell.
Figure 11.
Validation of voltage characteristics for Panasonic-Sanyo NCR18650GA at 25 °C for (a) 2 A, (b) 4 A, (c) 6 A, and (d) 8 A.
Figure 12.
Validation of temperature characteristics for Panasonic-Sanyo NCR18650GA at 25 °C for (a) 2 A, (b) 4 A, (c) 6 A, and (d) 8 A.
Tmax and ΔT were selected as key thermal evaluation parameters due to their direct impact on battery longevity, safety, and efficiency. Figure 13 and Figure 14 reveal the Tmax and ΔT values of the module for different discharge currents under various cooling modes. As shown in Figure 13, a significant increase in battery temperatures occurs as the discharge current increases. Table 8 summarizes the Tmax reduction rates under various cooling modes compared to the results with no cooling. The results show that the use of a fan significantly reduces battery cell temperatures at every discharge level. When cooling with the Fan–C and Fan–F modes, no significant difference was observed compared to the results with just the fan cooling. At the 4 A and 8 A discharge currents, all cooling modes were able to maintain battery temperatures within the optimal range, as stated by the green line. On the other hand, at the 12 A and 16 A discharge currents, battery temperatures could not be maintained within the optimal range. However, the Fan–HC mode resulted in further reductions in the Tmax levels. It is obvious that the highest Tmax would occur when drawing 16 A without cooling. Nevertheless, as shown in Figure 13, the 16 A tests were stopped before full discharge because the temperature reached 60 °C; this was to ensure that the conditions were safe.
Figure 13.
Tmax values in battery module with different discharge currents under various cooling modes.
Figure 14.
ΔT values in battery module with different discharge currents under various cooling modes.
Table 8.
Reduction percentages of Tmax values under various cooling modes.
Previous studies on BTMS have emphasized the importance of forced convection cooling in mitigating thermal stress. For instance, Ahmadian-Elmi and Zhao [27] demonstrated that forced air cooling could lower Tmax by up to 25% in cylindrical Li-ion cells, whereas Rahmani et al. [28] highlighted that perforated flow regulators improve airflow uniformity and decrease ΔT values. These findings align with these studies, showing a 28.89% Tmax reduction at 16 A with the Fan–HC configuration, further validating the effectiveness of structured airflow regulation in thermal control. The HC plate provided the most uniform airflow distribution, leading to the lowest ΔT values. This can be attributed to the flow-straightening effect of HC geometries, which reduces turbulence-induced pressure losses and enhances convective heat transfer efficiency. The results confirm that structured flow regulation can be a viable strategy for battery pack cooling, particularly at high discharge currents.
ΔT as a homogenous temperature distribution indicator is another key factor for the evaluation of the temperature characteristics of a battery module. In a well-designed BTMS, the temperature difference from cell to cell is expected to remain below 5 °C. As seen in Figure 14, all tests conducted at 4 A and 8 A remained within the desired range for ΔT. However, in the Fan–HC mode, ΔT values were brought closer to the safe range for the 12 A and 16 A tests. The HC plate distributes airflow more evenly, which reduces ΔTs and provides efficient cooling.
Figure 15, Figure 16, Figure 17 and Figure 18 present the cell-based Tmax values in the module with different discharge currents under various cooling modes. In the 4 A tests, there were almost no problems even with no cooling, while the use of a fan further reduced the Tmax of each cell. When the drawn current was set to 8 A, the temperature reached above the optimum line without cooling. Furthermore, as in the 4 A tests, the Tmax levels for all cells were reduced below the optimal line with the use of a fan.
Figure 15.
Cell-based Tmax values in battery module with 4 A discharge current under various cooling modes.
Figure 16.
Cell-based Tmax values in battery module with 8 A discharge current under various cooling modes.
Figure 17.
Cell-based Tmax values in battery module with 12 A discharge current under various cooling modes.
Figure 18.
Cell-based Tmax values in battery module with 16 A discharge current under various cooling modes.
When the fan was not used, the temperatures increased significantly during the 12 A and 16 A tests, as seen in Figure 17 and Figure 18. A considerable amount of reductions occurred with the use of each fan mode. Besides this, the graph clearly shows how the Fan–HC mode eliminated the differences between cell temperatures.
The results clearly indicate that Tmax increases as discharge current rises, which is consistent with previous studies on Li-ion battery thermal behavior [29,30]. As seen in Figure 15, Figure 16, Figure 17 and Figure 18, at 4 A discharge, thermal stress remains minimal, and cooling is not a critical requirement. However, at 8 A and above, forced convection becomes essential to prevent excessive heating. Elevated temperatures can cause accelerated electrolyte degradation, which has been observed in a conducted previous study [31], leading to capacity fade and increased safety risks. The Fan–HC mode was the design that came closest to maintaining temperatures within the optimal range when considering all cells, suggesting that structured airflow management is a viable strategy for high-power applications.
The Fan–HC mode provided the most significant temperature reduction by ensuring a more uniform and directed airflow. This effect can be attributed to the flow-straightening properties of the honeycomb structure, which minimizes turbulent eddies and enhances convective heat transfer efficiency. Previous studies on airflow regulation in BTMS have demonstrated that incorporating flow-disrupting structures can greatly enhance cooling efficiency [32]. The experimental results presented in Figure 17 and Figure 18 confirm this trend, with the Fan–HC configuration reducing the peak temperatures by up to 38.82% at 12 A discharge and 28.89% at 16 A, demonstrating its effectiveness in high-power discharge conditions.
Figure 19 shows the average Tmax of all the cells in the module at the end of the experiment for different discharge currents. Only at the lowest discharge current of 4 A did the Tmax in the module remain below the optimal line, regardless of whether a fan was used or not. As the discharge current increases, the Tmax exceeds the optimal line when no fan is used. Additionally, even with the use of a fan, the increase in discharge current results in a rise in the Tmax. At the highest discharge current of 16 A, it was observed that only the Fan–HC design maintained the Tmax in the module below the optimal line.
Figure 19.
Module-based average Tmax values under various discharge currents.
The sharp increase in Tmax during 12 A and 16 A tests without cooling highlights the necessity of an effective BTMS for high-current discharges. As reported by Rahman and Alharbi [33], prolonged exposure to high temperatures accelerates SEI layer degradation, leading to capacity fade and internal resistance growth. In this study, only the Fan–HC mode achieved acceptable results, particularly at 16 A, effectively preventing Tmax from exceeding this threshold, indicating its potential to extend battery lifespan in real-world applications where high-power discharge cycles are common.
The comparison between Fan–C, Fan–F, and Fan–HC modes further highlights the role of airflow regulation in thermal management. The coarse and fine perforated plates (Fan–C and Fan–F), despite introducing some level of flow rectification, did not significantly improve cooling performance compared to direct fan usage. In contrast, the Fan–HC effectively directed airflow towards the battery cells, resulting in the lowest ΔT and Tmax values. These results suggest that optimized flow conditioning is essential for effective battery cooling, especially in modules with dense cell arrangements. Table 9 compares the results of the current study with the studies on structural modifications for air-cooled BTMSs in the literature.
Table 9.
Results comparison of structural modifications studies for air-cooled BTMSs with the current study.
On the other hand, it is a well-known phenomenon that battery life can be extended by minimizing exposure to severe conditions such as temperature and discharge load [37,38]. Therefore, in parallel to the literature, the experimental study clearly demonstrates that the cooling system positively contributes to the battery lifespan, particularly by maintaining the battery temperatures closer to optimal levels.
4. Conclusions
This study investigated the thermal performance of a 4S2P battery module consisting of Panasonic Sanyo NCR18650GA LiB cells under various discharge currents and cooling configurations, focusing on Tmax and ΔT as key evaluation criteria. The accuracy of the datasheet’s voltage and temperature characteristics were validated by the experimental results which confirmed the reliability of the testing methodology.
While each of the cooling systems maintained temperatures within the optimal range at lower discharge currents (4 A and 8 A), they struggled to do so at higher rates (12 A and 16 A). However, the greatest reduction in Tmax was achieved with the Fan–HC mode, which also produced the most consistent results within the ΔT limits by ensuring uniform airflow, especially at higher discharge currents. Compared to the results with no cooling system, the Fan–HC reduced Tmax values by 38.82% under 12 A and by 28.89% under 16 A test conditions.
The study confirms that an effective BTMS is essential for maintaining battery safety and performance under varying operational conditions. The Fan–HC mode stands out as the most efficient design, providing both adequate cooling and uniform temperature distribution. These findings have direct implications for practical battery applications where thermal stability is a key factor in performance and longevity. Ensuring a controlled thermal environment is crucial for EV battery packs, grid-scale energy storage systems, and aerospace applications, where extreme temperatures can severely impact operational safety and efficiency. Future work could explore the optimization of the Fan–HC design and its integration with other advanced cooling technologies to address challenges at higher discharge currents. Additionally, the influence of varying operating conditions, such as ambient temperature, can be investigated to gain a deeper understanding of the thermal and electrochemical behavior of a battery pack.
Author Contributions
Conceptualization, E.T. and S.K.; methodology, E.T., S.K., and A.C.Y.; software, A.C.Y.; validation, E.T. and S.K.; formal analysis, S.K.; investigation, E.T., S.K., and A.C.Y.; data curation, S.K. and A.C.Y.; writing—original draft preparation, E.T., S.K., A.C.Y., and M.O.; writing—review and editing, E.T., S.K., A.C.Y., and M.O.; visualization, A.C.Y.; supervision, M.O.; project administration, E.T. All authors have read and agreed to the published version of the manuscript.
Funding
This research was supported by Çukurova University Scientific Research Project Unit with FBA-2022-15234 project code.
Data Availability Statement
The raw data supporting the conclusions of this article will be made available by the authors on request.
Conflicts of Interest
The authors declare no conflicts of interest.
Abbreviations
The following abbreviations are used in this manuscript:
| BMS | Battery management system |
| BTMS | Battery thermal management system |
| C | Coarse |
| ERB | Epoxy resin board |
| EV | Electric vehicle |
| F | Fine |
| HC | Honeycomb |
| LiB | Lithium-ion battery |
| PCM | Phase change material |
| PLC | Programmable logic controller |
| SEI | Solid electrolyte interphase |
| T | Temperature |
| Tmax | Maximum temperature |
| ΔT | Temperature difference |
References
- Zhao, R.; Liu, J.; Gu, J.; Zhai, L.; Ma, F. Experimental Study of a Direct Evaporative Cooling Approach for Li-Ion Battery Thermal Management. Int. J. Energy Res. 2020, 44, 6660–6673. [Google Scholar] [CrossRef]
- Anamtawach, C.; Odngam, S.; Sumpavakup, C. Experimental Investigation on Affecting Air Flow against the Maximum Temperature Difference of a Lithium-Ion Battery with Heat Pipe Cooling. World Electr. Veh. J. 2023, 14, 306. [Google Scholar] [CrossRef]
- Wang, T.; Tseng, K.J.; Zhao, J. Development of Efficient Air-Cooling Strategies for Lithium-Ion Battery Module Based on Empirical Heat Source Model. Appl. Therm. Eng. 2015, 90, 521–529. [Google Scholar] [CrossRef]
- Xu, L.; Wang, S.; Xi, L.; Li, Y.; Gao, J. A Review of Thermal Management and Heat Transfer of Lithium-Ion Batteries. Energies 2024, 17, 3873. [Google Scholar] [CrossRef]
- Singh, L.K.; Kumar, R.; Gupta, A.K.; Sharma, A.K.; Panchal, S. Computational Study on Hybrid Air-PCM Cooling inside Lithium-Ion Battery Packs with Varying Number of Cells. J. Energy Storage 2023, 67, 107649. [Google Scholar] [CrossRef]
- Bibin, C.; Vijayaram, M.; Suriya, V.; Sai Ganesh, R.; Soundarraj, S. A Review on Thermal Issues in Li-Ion Battery and Recent Advancements in Battery Thermal Management System. Mater. Today Proc. 2020, 33, 116–128. [Google Scholar] [CrossRef]
- Wang, J.; Huang, W.; Pei, A.; Li, Y.; Shi, F.; Yu, X.; Cui, Y. Improving Cyclability of Li Metal Batteries at Elevated Temperatures and Its Origin Revealed by Cryo-Electron Microscopy. Nat. Energy 2019, 4, 664–670. [Google Scholar] [CrossRef]
- Vikram, S.; Vashisht, S.; Rakshit, D.; Wan, M.P. Recent Advancements and Performance Implications of Hybrid Battery Thermal Management Systems for Electric Vehicles. J. Energy Storage 2024, 90, 111814. [Google Scholar] [CrossRef]
- Illner, M.; Thüsing, K.; Salles, A.; Trettenhann, A.; Albrecht, S.; Winkler, M. Switchable Heat Pipes for Eco-Friendly Battery Cooling in Electric Vehicles: A Life Cycle Assessment. Energies 2024, 17, 938. [Google Scholar] [CrossRef]
- Fu, P.; Zhao, L.; Wang, X.; Sun, J.; Xin, Z. A Review of Cooling Technologies in Lithium-Ion Power Battery Thermal Management Systems for New Energy Vehicles. Processes 2023, 11, 3450. [Google Scholar] [CrossRef]
- Li, W.; Wang, X.; Cen, P.Y.; Chen, Q.; De Cachinho Cordeiro, I.M.; Kong, L.; Lin, P.; Li, A. A Comparative Numerical Study of Lithium-Ion Batteries with Air-Cooling Systems towards Thermal Safety. Fire 2024, 7, 29. [Google Scholar] [CrossRef]
- Hakeem, A.A.A.; Solyali, D. Empirical Thermal Performance Investigation of a Compact Lithium Ion Battery Module under Forced Convection Cooling. Appl. Sci. 2020, 10, 3732. [Google Scholar] [CrossRef]
- Fan, Y.; Bao, Y.; Ling, C.; Chu, Y.; Tan, X.; Yang, S. Experimental Study on the Thermal Management Performance of Air Cooling for High Energy Density Cylindrical Lithium-Ion Batteries. Appl. Therm. Eng. 2019, 155, 96–109. [Google Scholar] [CrossRef]
- Zhao, G.; Wang, X.; Negnevitsky, M.; Zhang, H.; Li, C. Performance Improvement of a Novel Trapezoid Air-Cooling Battery Thermal Management System for Electric Vehicles. Sustainability 2022, 14, 4975. [Google Scholar] [CrossRef]
- Wang, M.; Teng, S.; Xi, H.; Li, Y. Cooling Performance Optimization of Air-Cooled Battery Thermal Management System. Appl. Therm. Eng. 2021, 195, 117242. [Google Scholar] [CrossRef]
- Zhang, S.B.; He, X.; Long, N.C.; Shen, Y.J.; Gao, Q. Improving the Air-Cooling Performance for Lithium-Ion Battery Packs by Changing the Air Flow Pattern. Appl. Therm. Eng. 2023, 221, 119825. [Google Scholar] [CrossRef]
- E, J.; Zeng, Y.; Jin, Y.; Zhang, B.; Huang, Z.; Wei, K.; Chen, J.; Zhu, H.; Deng, Y. Heat Dissipation Investigation of the Power Lithium-Ion Battery Module Based on Orthogonal Experiment Design and Fuzzy Grey Relation Analysis. Energy 2020, 211, 118596. [Google Scholar] [CrossRef]
- Kim, C.; Han, J.; Hong, S. Evaluation of Spoiler Model Based on Air Cooling on Lithium-Ion Battery Pack Temperature Uniformity. Processes 2022, 10, 505. [Google Scholar] [CrossRef]
- Bisht, A.S.; Bisht, V.S.; Bhandari, P.; Rawat, K.S.; Alam, T.; Blecich, P. The Use of a Vortex Generator for the Efficient Cooling of Lithium-Ion Batteries in Hybrid Electric Vehicles. Processes 2023, 11, 500. [Google Scholar] [CrossRef]
- Gao, Y.; Ji, W.; Chen, X. Numerical Study on Thermal Management of Air-Cooling Model for Diamond, Triangular and Rectangular Lithium-Ion Batteries of Electric Vehicles. Processes 2022, 10, 1104. [Google Scholar] [CrossRef]
- Lin, D.; Peng, P.; Wang, Y.; Qiu, Y.; Wu, W.; Jiang, F. Numerical Investigation of the Thermal Performance of Air-Cooling System for a Lithium-Ion Battery Module Combined with Epoxy Resin Boards. Batteries 2024, 10, 318. [Google Scholar] [CrossRef]
- Jeon, D.H.; Baek, S.M. Thermal Modeling of Cylindrical Lithium Ion Battery during Discharge Cycle. Energy Convers. Manag. 2011, 52, 2973–2981. [Google Scholar] [CrossRef]
- Kirad, K.; Chaudhari, M. Design of Cell Spacing in Lithium-Ion Battery Module for Improvement in Cooling Performance of the Battery Thermal Management System. J. Power Sources 2021, 481, 229016. [Google Scholar] [CrossRef]
- Ghorbanian, K.; Soltani, M.R.; Manshadi, M.D. Experimental Investigation on Turbulence Intensity Reduction in Subsonic Wind Tunnels. Aerosp. Sci. Technol. 2011, 15, 137–147. [Google Scholar] [CrossRef]
- Rahmani, A.; Dibaj, M.; Akrami, M. Enhancing Heat Storage Cooling Systems via the Implementation of Honeycomb-Inspired Design: Investigating Efficiency and Performance. Energies 2024, 17, 351. [Google Scholar] [CrossRef]
- Motloch, C.G.; Christophersen, J.P.; Belt, J.R.; Wright, R.B.; Hunt, G.L.; Sutula, R.A.; Duong, T.; Tartamella, T.J.; Haskins, H.J.; Miller, T.J. High-Power Battery Testing Procedures and Analytical Methodologies for HEV’s. SAE Trans. 2002, 111, 797–802. [Google Scholar]
- Ahmadian-Elmi, M.; Zhao, P. Review of Thermal Management Strategies for Cylindrical Lithium-Ion Battery Packs. Batteries 2024, 10, 50. [Google Scholar] [CrossRef]
- Rahmani, A.; Dibaj, M.; Akrami, M. Recent Advancements in Battery Thermal Management Systems for Enhanced Performance of Li-Ion Batteries: A Comprehensive Review. Batteries 2024, 10, 265. [Google Scholar] [CrossRef]
- Wang, Q.; Ping, P.; Zhao, X.; Chu, G.; Sun, J.; Chen, C. Thermal Runaway Caused Fire and Explosion of Lithium Ion Battery. J. Power Sources 2012, 208, 210–224. [Google Scholar] [CrossRef]
- Zhang, Y.; Song, X.; Ma, C.; Hao, D.; Chen, Y. Effects of the Structure Arrangement and Spacing on the Thermal Characteristics of Li-Ion Battery Pack at Various Discharge Rates. Appl. Therm. Eng. 2020, 165, 114610. [Google Scholar] [CrossRef]
- Liu, H.; Wei, Z.; He, W.; Zhao, J. Thermal Issues about Li-Ion Batteries and Recent Progress in Battery Thermal Management Systems: A Review. Energy Convers. Manag. 2017, 150, 304–330. [Google Scholar] [CrossRef]
- Sahin, R.C.; Gocmen, S.; Cetkin, E. Thermal Management System for Air-Cooled Battery Packs with Flow-Disturbing Structures. J. Power Sources 2022, 551, 232214. [Google Scholar] [CrossRef]
- Rahman, T.; Alharbi, T. Exploring Lithium-Ion Battery Degradation: A Concise Review of Critical Factors, Impacts, Data-Driven Degradation Estimation Techniques, and Sustainable Directions for Energy Storage Systems. Batteries 2024, 10, 220. [Google Scholar] [CrossRef]
- Zhang, F.; Shi, Y.; He, Y.; Liu, P. Design and Optimization of an F-type Air-Cooling Structure for Lithium-Ion Battery of Electric Vehicle. Energy Technol. 2023, 11, 2300243. [Google Scholar] [CrossRef]
- Zhang, F.; Lin, A.; Wang, P.; Liu, P. Optimization Design of a Parallel Air-Cooled Battery Thermal Management System with Spoilers. Appl. Therm. Eng. 2021, 182, 116062. [Google Scholar] [CrossRef]
- Li, X.; Liu, J.; Li, X. A Y-Type Air-Cooled Battery Thermal Management System with a Short Airflow Path for Temperature Uniformity. Batteries 2024, 10, 302. [Google Scholar] [CrossRef]
- Guo, J.; Li, Y.; Pedersen, K.; Stroe, D.-I. Lithium-Ion Battery Operation, Degradation, and Aging Mechanism in Electric Vehicles: An Overview. Energies 2021, 14, 5220. [Google Scholar] [CrossRef]
- Menye, J.S.; Camara, M.-B.; Dakyo, B. Lithium Battery Degradation and Failure Mechanisms: A State-of-the-Art Review. Energies 2025, 18, 342. [Google Scholar] [CrossRef]
Disclaimer/Publisher’s Note: The statements, opinions and data contained in all publications are solely those of the individual author(s) and contributor(s) and not of MDPI and/or the editor(s). MDPI and/or the editor(s) disclaim responsibility for any injury to people or property resulting from any ideas, methods, instructions or products referred to in the content. |
© 2025 by the authors. Licensee MDPI, Basel, Switzerland. This article is an open access article distributed under the terms and conditions of the Creative Commons Attribution (CC BY) license (https://creativecommons.org/licenses/by/4.0/).


















