Abstract
The rising levels of atmospheric carbon dioxide (CO2) necessitate urgent and effective strategies for its capture and utilization. Among the various CO2 valorization pathways, the conversion of CO2 into methanol has gained considerable attention due to its dual role in reducing greenhouse gas emissions and serving as a renewable fuel and chemical feedstock. This review uniquely combines bibliometric analysis of 13,289 peer-reviewed publications (2012–2023) with an evaluation of Cu-based catalyst advancements, addressing critical gaps in the literature. A bibliometric analysis highlights the key trends, collaborations, and research gaps in the field. Among the catalytic systems, noble metals, though highly active, are uneconomical for large-scale applications, while non-noble metals, such as nickel, exhibit limited activity due to undesired reaction pathways. In comparison, Cu-based catalysts overcome these challenges by offering a balance of activity, selectivity, and cost-effectiveness. Special emphasis is placed on the CO2 to methanol conversion pathways, with insights into thermodynamic constraints, emerging solutions, and potential directions for future research. By consolidating the current state of knowledge, this review identifies significant opportunities for advancing CO2 conversion technologies, particularly in methanol synthesis, positioning it as a promising strategy for sustainable carbon management and energy production.
1. Introduction
Climate change poses a formidable environmental challenge, principally driven by increased atmospheric concentrations of carbon dioxide (CO2). This elevation in CO2, primarily resulting from the combustion of fossil fuels, has seen levels rise from 381 ppm in 2006 to 423 ppm by 2024, with annual increases ranging from 1.5 to 3 ppm [1]. Addressing this issue demands sustainable approaches to mitigating CO2 emissions while also advancing renewable fuel production. Among the strategies employed, Carbon Capture and Storage (CCS) offers a pathway by collecting and sequestering CO2 through methods like direct air capture, saline aquifers, and depleted oil reservoirs. However, the scalability of CCS is limited by substantial spatial and financial demands. Alternatively, Carbon Capture and Utilization (CCU) proposes a solution by converting captured CO2 into less harmful, value-added products [2,3].
In the quest for sustainable industrial solutions, the thermo-catalytic conversion of CO2 has shown considerable promise. Specifically, CO2 hydrogenation is a critical process where hydrogen (H2), produced sustainably via the electrolysis of water using renewable energy sources such as wind and solar power, serves as a vital reagent [4,5]. This process can yield several crucial chemical products, including methane [2,6], alkanes [7], carbon monoxide [8], olefins [9], and alcohols [10]. Among these, methanol is particularly significant due to its extensive industrial demand exceeding 110 million tons annually. Methanol is utilized as a precursor in the production of formaldehyde, acetic acid, methyl tert-butyl ether (MTBE), and gasoline [11,12]. It also offers potential as a fuel alternative in modified diesel engines due to its high-octane number and is utilized in direct methanol fuel cells (DMFC) to generate electricity [13]. The conversion of CO2 to methanol not only has environmental benefits but also presents economic advantages. This process is highly selective, generating fewer byproducts and operating under milder reaction conditions compared to traditional methods. It offers a sustainable solution for CO2 recycling, supporting global efforts to reduce greenhouse gas emissions and address climate change. Methanol synthesized from CO2 is a clean fuel and a versatile raw material for producing various chemicals, benefiting from an ideal stoichiometric ratio that enhances conversion efficiency. Furthermore, it requires less energy, avoids the need for high-pressure storage like hydrogen, and can be safely utilized as a fuel without requiring modifications to engines.
The transformation of CO2 into methanol necessitates catalysts due to the molecule’s stability. Advances in catalyst development have significantly enhanced the efficiency of this conversion process. Various metal-based catalytic systems have been explored, including noble metals (e.g., Pd, Pt) and transition metals (e.g., Fe, Ni, Co). While noble metals demonstrate excellent catalytic activity and selectivity, their high cost and limited availability hinder widespread application [14]. Transition metal catalysts, on the other hand, are more abundant and cost-effective but often favor competing reactions such as methane or carbon monoxide formation, reducing methanol selectivity [1,15]. Additionally, these systems tend to lack the thermal stability and tunable active sites necessary for efficient CO2 hydrogenation under industrially relevant conditions [16]. In contrast, Cu-based catalysts provide an optimal balance of cost, availability, and catalytic efficiency [17]. Their ability to generate and stabilize active Cu0/Cu+ sites facilitates the activation of CO2 and selective methanol synthesis under milder conditions [18,19].
The scholarly work surrounding CO2 hydrogenation to methanol has been growing annually, indicating an active field of research with substantial progress [17,19,20]. Although several reviews have explored the catalytic conversion of CO2 to methanol, most focus on general overviews of catalytic systems, reaction mechanisms, and thermodynamic aspects [21,22,23,24]. However, they often lack detailed bibliometric analyses along with highlighting the emerging role of Cu-based catalysts in this field. Additionally, many existing studies do not comprehensively examine the recent technological advancements and trends driving progress in CO2 to-methanol conversion. This review addresses these gaps by combining a bibliometric analysis of publication trends with an in-depth evaluation of thermodynamic and reaction pathways, with a particular focus on the recent developments in Cu-based catalysts. By doing so, this manuscript provides insights into both academic and industrial advancements in CO2 conversion technologies. This assessment will critically explore these advancements and propose directions for future research. By consolidating existing knowledge, this review aims to illuminate pathways for future enhancements in CO2 conversion technologies, positioning methanol synthesis as an effective strategy for sustainable carbon management and energy production.
2. Search Strategy and Bibliometric Evaluation Technique
The bibliometric analysis of CO2 conversion to methanol was conducted using a robust search strategy to capture the breadth of relevant research publications. Data for this analysis was extracted from the Scopus database, a widely recognized platform for high-quality, peer-reviewed academic publications (See Figure 1). The initial data set comprised 14,517 documents, spanning multiple disciplines and types of publications. To ensure a focused and high-quality analysis, a systematic filtering process was employed, narrowing the data set to 13,289 relevant publications. This filtering excluded non-peer-reviewed content and other less relevant document types, ensuring the data set consisted of high-impact research outputs.
Figure 1.
(a) Search Strategy Technique, (b) Bibliometric Evaluation Trends.
The search string used for data retrieval included combinations of key terms relevant to CO2 conversion to methanol, such as “CO2 methanol”, “carbon dioxide to methanol”, “CO2 hydrogenation to methanol”, “CO2 conversion to methanol”, and “carbon dioxide hydrogenation to methanol”. The search was limited to documents published between 2012 and 2023, ensuring that only the most recent research on CO2 methanol conversion was included. Furthermore, the search was restricted to English language publications, although a few significant contributions in Chinese, Polish, Portuguese, and Russian were also considered to reflect the global nature of research in this field.
To further understand the thematic focus within the CO2 to-methanol research community, a keyword analysis was conducted. A total of 9363 distinct keywords were identified across the selected articles, providing insights into the prevalent themes and areas of focus within the literature. To process and visualize the collected data, VOSviewer (version 1.6.20) was employed to construct co-authorship networks, co-citation analyses, and keyword co-occurrence maps. This software allowed for the identification of collaborative networks among researchers, institutions, and countries, while also illuminating the key research topics that have emerged over the past decade. Microsoft Excel was used for supplementary data management and statistical analysis, particularly in generating publication trends and other performance indicators.
This comprehensive bibliometric approach provides a detailed view of the global research landscape surrounding CO2 conversion to methanol. The findings not only highlight the rapid growth of research activity in this field but also reveal key collaborations, influential contributors, and emerging research themes. These insights are invaluable for identifying research gaps, fostering collaboration, and guiding future research efforts in the pursuit of efficient and scalable CO2 methanol conversion technologies.
2.1. Publication Trends and Top Research Fields
A comprehensive analysis of the research landscape on CO2 conversion to methanol revealed a total of 14,517 documents indexed in the Scopus database. After applying filters to ensure data quality, a final selection of 13,289 documents was made for further analysis. These filtered results comprised 11,058 original research articles, 2584 review articles, 200 conference proceedings, and 803 books, indicating a robust and diverse body of work addressing various aspects of CO2 to methanol conversion.
Most of the publications were in English, accounting for 14,135 documents, underscoring the dominance of English as the primary language for academic discourse in this field. There was also a notable, albeit smaller, contribution from non-English languages, with 59 publications in Chinese, seven each in Polish and Portuguese, and five in Russian. This diversity in language reflects the global interest in research on CO2 conversion, though English language publications dominate the field.
Additionally, the publication was analyzed with the inclusion of the query term “Cu-Based Catalyst”. A total of 9361 papers were identified that featured Cu-based catalysts, representing a subset of the initial 13,283 publications. These included 2063 review articles and 7298 research articles.
2.1.1. Publication Trend Analysis
The trend of publications over time indicates a consistent and significant rise in research output, particularly in recent years. From 2013 to 2023, the number of published works has increased dramatically (Figure 2a). In 2013, the field saw only 219 publications, while in 2023, this number surged to 2833, a more than tenfold increase over a decade. This upward trend underscores the growing importance of CO2 conversion to methanol in the context of global efforts to mitigate climate change and develop sustainable energy solutions.
Figure 2.
(a) Publication per Anum from 2013 to 2023, (b) Publication per Anum from 2013 to 2023 for Cu-based catalyst.
There was a marked acceleration in research output after 2016, with the number of publications rising from 567 in 2016 to 2462 in 2022. Several factors likely contributed to this surge, including heightened global awareness of the need for carbon capture technologies and sustainable fuel-production methods. Moreover, the year 2020 saw 1623 publications, reflecting a continued growth in research activity despite global disruptions caused by the COVID-19 pandemic. The largest yearly increase in research output occurred between 2019 and 2020, where the number of publications rose from 1129 to 1623, an increase of approximately 44%. This spike is possibly attributable to increased investments in sustainable energy research and the ongoing development of catalytic processes and new technologies for CO2 to methanol conversion. The upward trend continued post-pandemic, with 2078 articles published in 2021 and 2462 in 2022, reflecting a sustained interest in this research area.
Interestingly, a similar publication trend is observed specifically for Cu-based catalysts, as shown in Figure 2b. From 2013 to 2023, research activity in this area increased substantially, rising from 113 publications in 2013 to 2182 in 2023. This exponential growth demonstrates the intensifying global focus on Cu-based catalysts, particularly after 2020, likely due to their crucial role in advancing catalytic efficiency.
2.1.2. Research Areas
The field of CO2 conversion to methanol spans a broad range of scientific disciplines, reflecting its inherently interdisciplinary nature. The distribution of research areas demonstrates the multifaceted approach required to address the technical and scientific challenges associated with converting CO2 into value-added products like methanol.
Figure 3 exhibits that the most prominent research domain is Chemistry, with 7722 publications, representing the central role that chemical processes, catalysis, and reaction mechanisms play in CO2 methanol conversion. Chemistry is essential for developing and optimizing catalytic systems, understanding reaction pathways, and improving efficiency in the conversion process. Closely following is Chemical Engineering, with 7073 publications. Chemical engineering research contributes significantly to the practical implementation and scaling of CO2 to methanol conversion technologies. This includes the design of reactors, process intensification, and the integration of CO2 conversion systems into existing industrial frameworks. The near parity in the number of publications between chemistry and chemical engineering highlights the close collaboration between these disciplines in tackling CO2 conversion challenges.
Figure 3.
Leading research areas for CO2 methanol conversion.
The Energy sector, with 3258 publications, underscores the importance of this research in the broader context of renewable energy and sustainable fuel production. Research in this area focuses on developing energy-efficient processes, integrating renewable H2 sources, and scaling up methanol production for use as an alternative fuel. Materials Science contributes 3102 publications, reflecting its critical role in the development of advanced catalysts and novel materials that enhance CO2 conversion efficiency. The design and synthesis of materials with high surface area, stability, and catalytic activity are key to improving the conversion rates of CO2 to methanol. Environmental Science, with 3013 publications, represents the growing recognition of CO2 conversion as a crucial strategy for reducing greenhouse gas emissions and mitigating climate change. Research in this area focuses on the environmental impact of CO2 utilization technologies and their potential role in circular carbon economies. Engineering more broadly, excluding chemical engineering, also contributes significantly, with 1913 publications. This research area includes mechanical and industrial engineering approaches to process optimization, system integration, and the practical deployment of CO2 conversion technologies on a commercial scale. Physics and Astronomy contribute 1565 publications, primarily in theoretical studies, modeling, and simulations of reaction mechanisms at the atomic and molecular levels. Understanding the fundamental physical principles of CO2 conversion is essential for improving reaction efficiency and developing new catalytic processes. The field of Biochemistry, Genetics, and Molecular Biology has 876 publications, highlighting the potential for biological approaches to CO2 conversion, such as using enzymes or microorganisms for methanol production. These studies often explore the intersection of biocatalysis and chemical processes for CO2 utilization. Other contributing fields include Multidisciplinary research (317 publications), which brings together insights from various scientific and engineering domains to address the complex challenges of CO2 methanol conversion.
This diverse distribution of research areas demonstrates that the successful conversion of CO2 to methanol requires collaboration across multiple scientific disciplines. Chemistry, chemical engineering, and energy research form the core of this effort, while contributions from materials science, environmental science, and engineering ensure that these technologies can be effectively scaled and integrated into broader energy systems.
2.2. Top Countries
A country-wise analysis of the research output in the field of CO2 conversion to methanol provides insights into the global distribution of expertise and contributions (Figure 4a). The analysis reveals that research in this domain is concentrated in a few key regions, with several countries emerging as global leaders in the field.
Figure 4.
(a) Top countries for CO2-to-methanol conversion, (b) Top countries for CO2-to-methanol conversion for Cu-based catalyst.
China leads the world by a significant margin, with 6247 publications, making it the dominant force in CO2 conversion to methanol research. This prominence reflects China’s significant investment in sustainable energy technologies and its emphasis on reducing greenhouse gas emissions through innovative chemical conversion processes. China’s research output in this area accounts for a substantial portion of the global literature, underscoring its pivotal role in advancing CO2 utilization technologies.
The United States follows with 1657 publications, maintaining its position as a key player in this domain. The U.S. has a well-established research infrastructure and a history of innovation in chemical engineering and catalysis, which are critical to the development of CO2 to methanol technologies. While the number of publications is considerably lower than China’s, the U.S. remains a major contributor to both fundamental and applied research in this field. India ranks third with 878 publications, highlighting the country’s growing focus on sustainable energy and CO2-reduction technologies. India’s increasing research output is indicative of its rising prominence in global efforts to address climate change and develop alternative energy sources. Germany and Japan are also significant contributors, with 797 and 645 publications, respectively. Both countries are known for their advancements in chemical engineering, catalysis, and sustainable technologies, making them key players in the CO2 conversion research landscape. Germany’s strong research focus on catalysis and renewable energy aligns well with the goals of CO2 to methanol conversion, while Japan’s contributions reflect its innovation in material sciences and energy conversion processes. The United Kingdom follows closely with 624 publications, showcasing its contributions to both fundamental research and industrial applications of CO2 conversion. South Korea (611 publications) and Spain (549 publications) have also established themselves as important contributors to this field, with research focusing on catalysis, renewable energy integration, and innovative conversion technologies. Rounding out the top 10 are Australia, with 426 publications, and Italy, with 423 publications. Both countries have increasingly invested in renewable energy research, with a particular focus on CO2 utilization and the development of sustainable chemical processes.
Upon comparing the country-wise research outputs in CO2 conversion to methanol and CO2 conversion to methanol specified with Cu-based catalysts, a notable correlation emerges (see Figure 4b). China leads both, with 6247 publications in CO2 to methanol research and 4774 in Cu-based catalyst studies, underscoring its significant advancements in CO2 conversion as sustainable energy technologies. Similarly, the United States and India maintain prominent positions in both fields, reflecting their commitment to advancing catalytic processes for CO2 utilization. This parallel trend suggests that nations prioritizing CO2 conversion research also focus on developing Cu-based catalysts, highlighting the integral role of such catalysts in efficient CO2-to-methanol conversion processes.
In total, these top 10 countries account for a significant majority of the global research output in CO2 conversion to methanol, reflecting the strategic importance of this field in the context of global efforts to mitigate climate change. This analysis underscores the collaborative nature of this research, with multiple countries contributing to the development of scalable and efficient CO2 utilization technologies.
2.3. Top Journals
To assess the influence and contribution of various journals to the field of CO2 conversion to methanol, an in-depth journal analysis was conducted. A total of 10 prominent journals emerged as key platforms for publishing research in this area, as shown in Figure 5. The data reflects a broad distribution across multidisciplinary and specialized journals, highlighting the interdisciplinary nature of this research, which spans catalysis, energy technologies, and material sciences. The most prolific journals, ranked by the number of articles published, are presented below.
Figure 5.
Leading journals for CO2-to-methanol conversion.
ACS Catalysis leads with 509 publications, positioning itself as the most significant contributor to research on CO2-to-methanol conversion. As one of the premier journals in the field of catalysis, its focus on both theoretical and applied research makes it a preferred outlet for cutting-edge studies in this domain. Following closely is the Journal of CO2 Utilization, with 469 publications, underscoring its pivotal role in disseminating research specifically targeting CO2 conversion and valorization technologies. These journals collectively represent the forefront of innovation in catalysis and CO2 utilization. Applied Catalysis B: Environmental ranks third, with 420 publications, highlighting its contribution to sustainable catalysis and environmental applications of CO2 conversion. Chemical Engineering Journal and Catalysts follow, with 321 and 290 articles, respectively, reflecting their importance in both theoretical advancements and practical implementations of catalytic processes. Other notable contributors include Catalysis Science and Technology and the International Journal of Hydrogen Energy, each publishing 284 articles. Their focus spans across catalysis, energy conversion, and H2 production, reflecting the growing interconnection between CO2-reduction technologies and the H2 economy. Fuel contributed 253 articles, reinforcing its relevance in the study of alternative fuels and energy systems. Meanwhile, Angewandte Chemie International Edition, a prestigious journal known for publishing pioneering chemical research, produced 235 publications on CO2-to-methanol conversion, reflecting its influence in high-impact, foundational research. Finally, Journal of Materials Chemistry A contributed 225 articles, indicating the significant role of advanced materials in catalysis and CO2 utilization.
This analysis demonstrates that CO2 conversion to methanol research is disseminated through a variety of high-impact journals, spanning catalysis, chemical engineering, energy systems, and materials science. These journals not only shape the current research landscape but also drive the future directions of CO2 conversion technologies.
2.4. Top Keywords
The analysis of top keywords in the field of CO2 conversion to methanol highlights the prominent research areas and emerging trends in this domain. From a total of 9363 keywords identified across the selected publications, 102 keywords were chosen for detailed analysis based on their frequency of occurrence (Figure 6). These keywords were further divided into five distinct clusters, each representing key themes within the research landscape.
Figure 6.
The network visualization of the most frequent keywords.
The most frequently used keyword, CO2 hydrogenation, appeared 460 times and falls under Cluster 1, indicating its central role in research focusing on the catalytic conversion processes necessary for producing methanol from CO2. This keyword also reflects the high level of interest in using hydrogenation as a method to convert CO2 into valuable chemicals. The total link strength of this term, 481, highlights its significance in the ongoing discussions surrounding CO2-reduction technologies and efficient methanol synthesis. Another critical term, CO2 reduction, appeared 339 times and is part of Cluster 3, emphasizing the growing attention toward reducing CO2 emissions through chemical and catalytic processes. This keyword is closely linked with the study of advanced catalysts and reaction mechanisms, particularly in the context of sustainable and energy-efficient solutions. As CO2 reduction plays a pivotal role in mitigating climate change, its frequent occurrence underscores its relevance to carbon capture and utilization strategies.
The keyword methanol was cited 290 times, positioning it within Cluster 5. Its high frequency reflects the emphasis on methanol as the primary product of interest in CO2 conversion research. Methanol synthesis, a key component of carbon utilization efforts, has been the focus of extensive research aiming to optimize production processes and improve catalyst efficiency. Similarly, carbon dioxide, mentioned 244 times in the same cluster, illustrates the ongoing research efforts to utilize CO2 as a feedstock, highlighting the environmental focus of this field. In addition to these dominant keywords, terms such as photocatalysis (226 occurrences in Cluster 3) and electrocatalysis (146 occurrences in Cluster 2) demonstrate the importance of exploring alternative, renewable energy-driven methods for CO2 conversion. Photocatalysis represents a promising approach using light to drive CO2-reduction reactions, while electrocatalysis focuses on electrochemical methods powered by sustainable energy sources. These areas represent innovative pathways for improving the sustainability of methanol production.
Other noteworthy keywords include methanol synthesis (135 occurrences in Cluster 1), reflecting the focus on improving the efficiency of converting CO2 into methanol, and CO2 conversion (154 occurrences in Cluster 1), which encompasses a broad spectrum of research dedicated to the transformation of CO2 into value-added products. Together, these terms illustrate a diverse and multifaceted research landscape, with efforts ranging from fundamental catalytic studies to applied engineering solutions. The keyword clusters reveal the diversity of research approaches: Cluster 1 emphasizes hydrogenation and catalytic conversion, Cluster 2 focuses on electrocatalysis and sustainable energy, Cluster 3 delves into photocatalysis, Cluster 4 explores chemical engineering aspects, and Cluster 5 involves materials science and catalytic system advancements. This comprehensive keyword analysis offers a clear understanding of the primary research directions, showcasing the field’s focus on catalysis, sustainable processes, and innovative chemical engineering solutions in CO2-to-methanol conversion.
3. CO2 Conversion to Methanol
The transformation of CO2 into alcohols, particularly methanol, is a topic of significant interest both in the chemical industry and the scientific community. As a vital C1 alcohol, methanol serves as a precursor to a diverse array of chemical compounds. The concept of a “methanol economy”, introduced by Nobel Laureate George Olah, centers around the hydrogenation of CO2 into methanol and its derivatives. This approach encompasses the capture of CO2 from various sources, including natural, human-made, or industrial, followed by its effective catalytic conversion into methanol, illustrated in Figure 7.
Figure 7.
Schematic illustration for CO2 conversion to methanol [25].
In recent developments, research and development (R&D) in methanol synthesis have been increasingly geared towards more sustainable methodologies. This includes the reduction of CO2 using H2 derived from technologies that utilize natural and renewable energy sources. Prominent companies in this field, such as Mitsui Chemicals and Carbon Recycling International (CRI) Inc., have pioneered such methods for methanol production. Specifically, CRI’s facility in Iceland boasts a production capacity of approximately 5 million liters of methanol annually (4 kta). Remarkably, the H2 required for this process is generated through water electrolysis, utilizing energy sourced primarily from natural elements like geothermal, hydroelectric, and wind power [26].
3.1. Thermodynamics and Reaction Mechanism of CO2 Conversion to Methanol
The commercial production of methanol predominantly relies on syngas (a mixture of CO and H2), which is derived from fossil resources such as coal and natural gas through processes like coal gasification and natural gas steam reforming [27]. Typically, small amounts of CO2 (2–8%) are introduced to the CO/H2 stream to adjust the H/C ratio to achieve the required stoichiometry and enhance the reaction rate.
Reverse water-gas-shift reaction (RWGS)
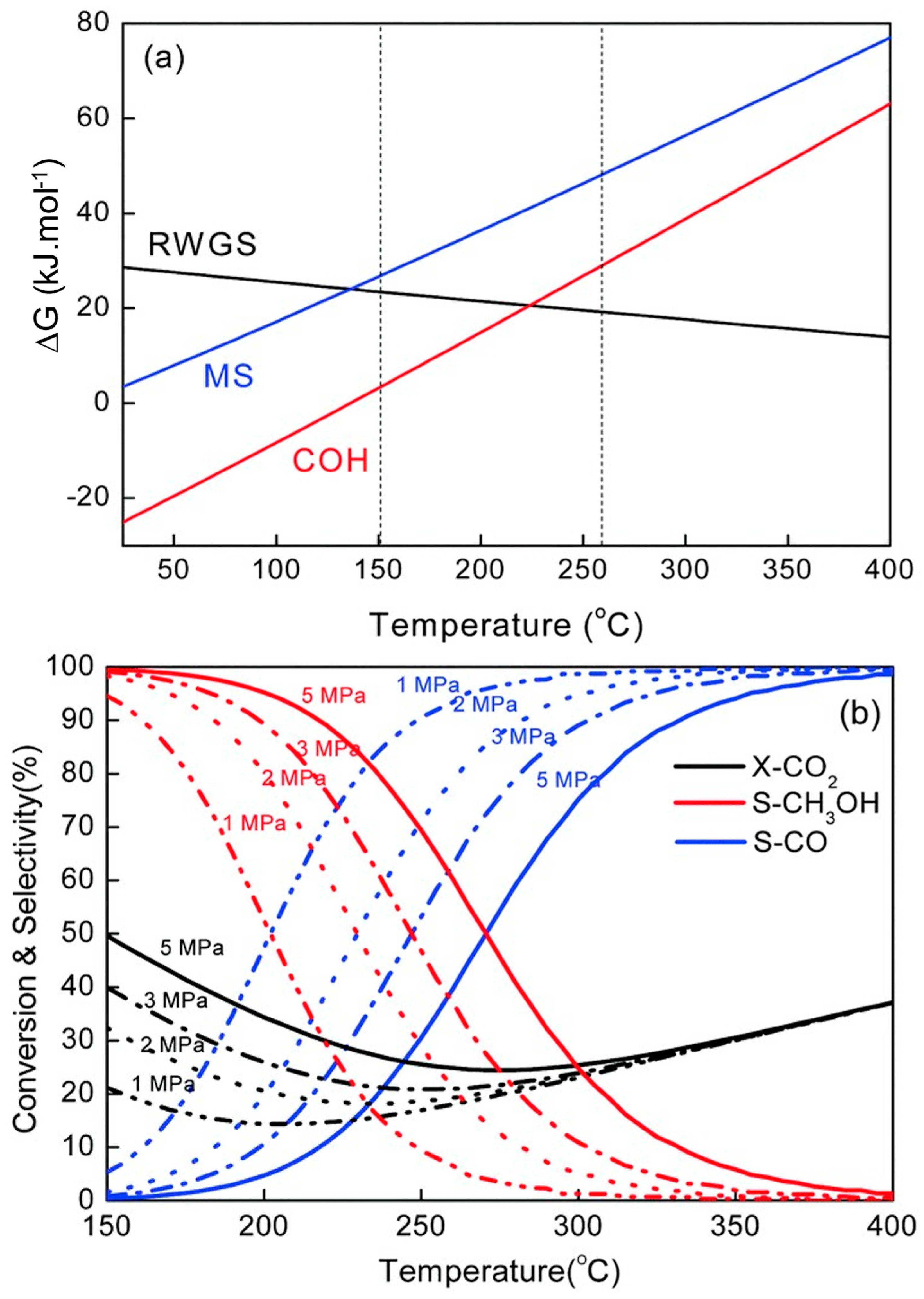
Compared to syngas-based methanol production (Equation (1)), the hydrogenation of CO2 to methanol demands an additional amount of H2 due to the need to remove one oxygen atom from CO2 via water formation as a byproduct (Equation (2)). This results in thermodynamically less favorable conditions for methanol production from CO2 compared to CO, resulting in lower one-pass methanol yields (Figure 8). For instance, at 200 °C, the equilibrium methanol yield from CO exceeds 80%, while from CO2, it is less than 40% [28]. Additionally, the formation of side products like ethers, ketones, higher alcohols, or hydrocarbons is thermodynamically more favorable under typical synthesis conditions [5,29].
Figure 8.
(a) Free energy from CO2, RWGS, and syngas hydrogenation. (b) Equilibrium conversion-selectivity values of the CO2 hydrogenation reaction at various pressures [5].
The synthesis of methanol from CO2 and H2 is an exothermic reaction that reduces the number of gas-phase molecules. According to Le Chatelier’s principle, high pressure and low temperature should thermodynamically favor methanol production. However, due to the inert nature of CO2, a higher reaction temperature (typically above 240 °C) is needed to increase the rate of CO2 activation and methanol formation [19,30,31]. At these temperatures, the reverse water-gas shift (RWGS) reaction (Equation (3)) becomes thermodynamically favorable, reducing methanol yields and wasting H2 [31,32].
The RWGS reaction will not only wasteH2 supplies but also reduce the yield of methanol.
Although the thermodynamic equilibrium limits the maximum methanol yield, this limitation can be mitigated through optimization of reaction conditions, reactor design, and innovations such as recycling unconverted feed gas after product separation or in situ product removal (e.g., water removal via distillation or membranes) [28].
Methanol production from CO2 is highly exothermic and limited by kinetics, resulting in only 15–25% conversion under typical conditions [33]. The endothermic RWGS reaction competes with methanol synthesis, further complicating the process. Efficient reactor design is essential to remove the heat generated during methanol synthesis and maintain isothermal conditions [34]. Water, a byproduct of this reaction, can deactivate conventional copper-based catalysts, highlighting the importance of catalyst design and kinetic studies [35,36].
Methanol synthesis from CO2 can proceed through various reaction pathways, with the formate, RWGS, and trans-COOH* mechanisms being the most prominent (Figure 9a). In the classical formate pathway, CO2 reacts with adsorbed atomic H, forming a formate intermediate (HCOO*), which subsequently transforms into intermediates such as dioxomethylene (H2COO*), formaldehyde (H2CO*), methoxy (CH3O*), and finally, methanol (CH3OH) [5,36]. Alternatively, formate can hydrogenate into formic acid (HCOOH*) and follow a similar sequence leading to methanol through the methoxy intermediate.
Figure 9.
(a) Schematic representation of reaction mechanisms for CO2 methanol [37], (b) reaction mechanism on Cu-based catalysts. * Indicates intermediates that are adsorbed on the catalyst surface.
The RWGS pathway involves the initial transformation of CO2 into CO*, which is then hydrogenated to form methanol via intermediates such as formyl (HCO*), formaldehyde (H2CO*), and methoxy (CH3O*). A variation of this mechanism involves the formation of hydrocarboxyl (COOH*) intermediates, which can convert into CO* and proceed through a similar route to methanol. In the trans-COOH mechanism, COOH* can also produce dihydroxycarbene (COHOH*), which dissociates into hydroxymethylidyne (COH*) and subsequently into hydroxymethylene (HCOH*), leading to methanol formation [5,36].
Methanol is an attractive product due to its versatility as a clean, biodegradable fuel that can be converted into other valuable chemicals such as dimethyl ether, olefins, and longer-chain hydrocarbons [38,39,40]. However, two major thermodynamic challenges hinder methanol generation: high-pressure requirements (up to 200 bar) and low reaction kinetics at lower temperatures [41], which reduce methanol yield. Moreover, to maintain high methanol selectivity and minimize CO production, the RWGS reaction must be suppressed [10,41,42,43,44].
The methanol formation mechanism via CO2 hydrogenation is complex and not yet fully understood [31]. Effective catalysts are required to reduce operating pressure while ensuring high methanol yields. Copper (Cu) is the most widely used catalyst due to its high activity at low temperatures, affordability, diverse oxidation states, and stable interactions with oxygen, which prevent surface poisoning and unstable intermediates [45,46,47]. Cu also exhibits strong interactions with other materials (e.g., Zn), improving catalyst stability and selectivity while lowering operational pressures [28,48]. However, Cu-based catalysts face challenges such as deactivation from impurities, a high activation barrier for H2, and limited CO2 activation [49,50]. To address these issues, supports, promoters, and bimetallic catalyst are often added to modulate the active sites and surface properties of Cu catalysts, improving their performance. For example, adding these materials enhances Cu’s ability to dissociate H2 and provides smaller particle sizes that increase the surface area available for reactions [51,52].
Kinetic models, such as the Eley–Rideal (ER) and Langmuir–Hinshelwood (LH) mechanisms, have been proposed to describe the methanol synthesis process. The formate mechanism is widely believed to dominate on Cu-based catalysts [53]. For instance, DFT calculations on Cu/ZnO/Al2O3 catalysts, particularly on the Cu (111) surface, showed that CO2 hydrogenation occurs via the formate pathway (CO2* → HCOO* → HCOOH* → CH3O2* → CH2O* → CH3O* → CH3OH*). Despite the thermodynamic preference for methanol production from CO, studies indicate that CO2 hydrogenation contributes to approximately two-thirds of the methanol yield, contrary to the predictions of potential energy surface (PES) analysis, which suggest CO hydrogenation is more favorable. The promotion of CO2 hydrogenation by CO* may involve its role as an H-donor, facilitating the formation of HCO* and enhancing CO2 conversion [53].
Most recently, Cao et al. [54] investigated CO2 hydrogenation to methanol on Cu-based catalysts using DFT calculations and kinetic modeling. Their work revealed that the formate (HCOO*) pathway is the dominant reaction mechanism, with a reaction rate four to six orders of magnitude higher than the carboxyl (COOH*) pathway (see Figure 9b). The rate-determining step involves the hydrogenation of HCOOH* to H2COOH*, leading to methanol via CH3O* intermediates. CO* acts primarily as a byproduct due to its high hydrogenation barrier.
3.2. Recent Advances in Cu-Based Catalyst for CO2 Hydrogenation to Methanol
The conversion of CO2 to methanol is a highly promising route, offering dual benefits of mitigating greenhouse gas emissions and reducing dependence on fossil fuels. The hydrogenation of CO2 to methanol (CO2 + 3H2 ⇌ CH3OH + H2O) presents several challenges, including the formation of water vapor as a byproduct, which can negatively impact catalyst performance [44,55]. This is a significant difference compared to methanol synthesis from CO hydrogenation, where no water is produced. Therefore, developing catalysts that maintain stability under high-water partial pressure and resist the reverse water–gas shift (RWGS) reaction remains a primary research focus [44]. Among the transition metal, Noble metals are limited and unfavorable for industrial applications, and non-noble metals like Ni or Fe are not effective due to reaction limitations. Based on our bibliometric analysis and effective catalytic activity of Cu-based catalyst, this review further explores the recent advancement in the Cu-based catalyst. The Cu-based catalysts for CO2 to methanol, along with the recently reported reaction promoters, are summarized in Table 1.
Historically, the first industrial process for methanol synthesis was developed in the 1920s by Badische Anilin Soda and Fabrik (BASF), using ZnO–Cr2O3 catalysts under harsh reaction conditions (300–400 °C, 25–30 MPa). In the 1960s, Imperial Chemical Industries (ICI) introduced the Cu/ZnO/Al2O3 catalyst, which enabled methanol synthesis under milder conditions (220–300 °C, 5–10 MPa). This catalyst quickly became the industry standard due to its higher activity and stability [44,56,57]. However, despite its success, Cu/ZnO/Al2O3 catalysts are not without limitations, as the water produced during the reaction can facilitate the agglomeration of ZnO and the oxidation of Cu0 to Cu2+, leading to catalyst deactivation [58].
Recent research has focused on developing highly effective Cu-based catalysts that demonstrate better activity, selectivity, water tolerance, and stability. Cu and ZnO remain the primary active components in these catalysts, often supported by various modifiers and metal oxides such as Al2O3, ZrO2, and CeO2 [1,3,59,60,61]. These catalysts typically operate at 220–300 °C and 5–10 MPa, with varying degrees of conversion, selectivity, and space–time yield (STY) depending on the composition and preparation method [59,62]. Cu-based catalysts are the most extensively studied systems for CO2 hydrogenation to methanol. They are widely recognized for their high activity, operational longevity, and resistance to poisoning under industrial conditions. The primary mechanism for methanol synthesis involves the direct hydrogenation of CO2, although the RWGS reaction (CO2 + H2 ⇌ CO + H2O) often competes with methanol formation, which can lower methanol yield [63,64]. Over the years, scientists have developed a wide range of catalysts to mitigate this issue, focusing primarily on Cu-based systems supported by metal oxides [65].
The primary strategy for improving Cu-based catalysts has been the incorporation of metal oxides such as ZnO, Al2O3, and ZrO2, which act as carriers and promoters, optimizing the interaction between Cu, the support and bimetallic/alloy [66]. The addition of ZrO2, for instance, has been shown to enhance methanol selectivity by stabilizing reaction intermediates like formate and methoxide [63,67]. Additionally, CeO2, with its unique redox properties, has proven to be an excellent promoter, increasing the number of oxygen vacancies and improving CO2 activation [68]. Research trends over the past decade show that Cu-based catalysts continue to dominate, with approximately 79% of publications on CO2 hydrogenation to methanol focusing on Cu–ZnO systems [69,70]. Among these, the addition of Al2O3 and ZrO2 remains the most popular approach for enhancing catalyst performance.
3.2.1. Role of Supports or Support Effect in Cu-Based Catalysts
Selecting an appropriate support is essential for optimizing catalytic activity, stability, and selectivity for CO2 hydrogenation to methanol. Originally, supports were used primarily to ensure well-dispersed metal particles and reduce sintering [71,72]. However, it has become clear that the SMSI effect can significantly influence catalyst morphology, chemical states, and activity levels [73,74].
ZnO is one of the most studied supports due to its dual function as a structural and electronic promoter in Cu-based catalysts. ZnO acts as a geometric spacer between Cu NPs, enhancing Cu dispersion and increasing the exposed Cu surface area [75,76]. Additionally, ZnO modulates electronic properties through SMSI with Cu, impacting the electron density at the Cu–ZnO interface. Tsang et al. investigated these morphology-dependent electronic interactions, finding that the polar (002) facet in plate-like ZnO, with higher oxygen defect density, increases electron transfer from ZnO to Cu, resulting in methanol selectivity above 70% in Cu/plate–ZnO/Al2O3 catalysts [48]. Further enhancements in electron density were demonstrated with the encapsulation of CdSe quantum dots in ZnO rods, leading to an impressive 75% methanol selectivity [77].
Most recently, Xuan et al. [78] explored the impact of solvent choice on the preparation and catalytic performance of CuO–ZnO–ZrO2–Al2O3 (CZZA) catalysts using the citrate complexing method for CO2 hydrogenation to methanol. The improved results are attributed to the better dispersion of active Cu species and the increased oxygen vacancy content, which are critical for CO2 activation and methanol synthesis. The CZZA catalyst achieved a CO2 conversion rate of 21.8% and a methanol selectivity of 51.0% under optimal reaction conditions (240 °C, 3 MPa). The study also underscores the formate pathway as the reaction mechanism and highlights hydrogen spillover as a pivotal factor in the reaction.
ZrO2 is recognized for its high thermal stability, mechanical strength, and specific surface area, making it a preferred support for Cu-based catalysts in CO2 hydrogenation. Comparative studies have shown that Cu/ZrO2-based catalysts outperform Cu/Al2O3 counterparts due to ZrO2’s lower hydrophilicity and its ability to facilitate a dual-site reaction mechanism for CO2 adsorption and hydrogenation. Grabowski et al. observed that catalysts with a higher proportion of tetragonal ZrO2 (t-ZrO2) phase, stabilized by oxygen vacancies, demonstrated increased methanol production rates by enhancing the availability of Cu+ ions at the surface [79]. Similarly, nanocrystalline ZrO2, with more surface edges and defects, was shown to strengthen Cu–ZrO2 interactions, enhancing CO2 adsorption and promoting catalyst reduction [70].
Spinel-structured supports, such as ZnFe2O4, enable fine control over Cu nanoparticle size and distribution, influencing CO adsorption and selectivity. Recent studies have demonstrated that Cu/ZnFe2O4 spinel catalysts with a 33Cu/ZnFe-0.5 configuration achieved a methanol selectivity of 71.6% and CO2 conversion of 9.4% at 260 °C and 4.5 MPa, attributed to the SMSI effect and the stabilization of ZnO adjacent to surface Cu nanoparticles [80,81,82]. Despite their effectiveness, spinel catalysts typically have lower surface areas due to high calcination temperatures. However, microwave-hydrothermal synthesis methods have improved their surface area and thermal stability, allowing the preparation of Cu-based catalysts with stable microstructures and smaller particle sizes [80,83].
Metal-organic frameworks (MOFs) offer a novel approach by stabilizing metal NPs within their porous structures, providing unique catalytic properties. For instance, Cu-based catalysts encapsulated within Zr-based MOF UiO-66 achieve 100% methanol selectivity and an eightfold increase in catalytic activity compared to traditional Cu/ZnO/Al2O3 catalysts with the help of SMSI effects between Zr oxide secondary building units and Cu NPs [84]. This structure enables efficient H2 activation by metallic Cu and stabilizes intermediates, enhancing both reaction rates and stability [85,86].
Commonly used supports like SiO2 provide large surface areas but suffer from thermal instability at elevated temperatures, limiting their long-term applicability in methanol synthesis due to their transformation into less stable forms in the presence of water vapor [54]. Despite these limitations, advanced support materials such as carbon-based carriers, MOFs, and structured metal oxides continue to expand the potential for durable and efficient methanol synthesis from CO2.
The role of supports in Cu-based catalysts for CO2 hydrogenation to methanol is multifaceted, encompassing structural, electronic, and chemical effects. By optimizing the choice of support material, researchers can significantly enhance the catalytic performance, selectivity, and stability of Cu-based systems. The use of advanced supports, such as mixed oxides, spinel structures, and rare earth oxides, has opened new avenues for improving methanol synthesis, offering better resistance to deactivation and higher methanol yields. Moving forward, continued research into the design of tailored support materials will be key to further advancements in this field.
3.2.2. Role of Promoters in Cu-Based Catalysts
Promoters in Cu-based catalysts for CO2 hydrogenation enhance both structural and electronic properties, optimizing catalytic activity, stability, and methanol selectivity. By influencing factors such as metal dispersion, redox properties, and acid-base interactions, promoters enable more efficient pathways for CO2 reduction to methanol [87].
Alkali metals, particularly potassium (K), act as promoters in Cu–Zn–Al catalysts by modifying the Cu+/u0 ratio, which is critical for enhanced CO2 hydrogenation activity. For instance, potassium-promoted Cu–Zn–Al (CZA-K) catalysts show a higher Cu+/u0 ratio than sodium-promoted systems, which correlates with improved methanol selectivity. The increased Cu+ concentration is associated with the formation of K-O-(CO)-O surface species, which limits the reverse water-gas shift (RWGS) reaction and increases methanol production [88]. This effect arises because the K-O species inhibit CO2 dissociation, thereby promoting methanol over CO formation.
Ga2O3 is extensively studied as a promoter in Cu–ZnO-based catalysts due to its ability to increase specific surface area, reduce particle size, and stabilize Cu+ species. These structural and electronic modifications contribute to a higher methanol yield. Studies have shown that Ga2O3 in Cu–ZnO/HZSM-5 catalysts enhance the dispersion of Cu and stabilizes intermediate Cu+ states, which are essential for CO2 hydrogenation [32,55,89,90]. For instance, Schumann et al. observed that Ga3+ incorporation increases ZnO conductivity and generates redox-active defect sites, resulting in improved methanol synthesis rates [91]. Furthermore, Ga2O3 facilitates the formation of a ZnGa2O4 spinel phase, enabling type II heterojunctions in ZnO–Ga2O3 mixtures, which drive the reduction of ZnO and the formation of CuZn alloys, both of which are highly active for methanol synthesis [48].
Promotion of Indium (In) has demonstrated significant effects in Cu/CeO2 catalysts, enhancing methanol yields by promoting smaller Cu particle sizes and improving dispersion and stability. Loading only 1 wt% indium in Cu/CeO2 resulted in marked improvements in the methanol yield rate due to the enhanced stability and distribution of Cu on the catalyst surface [92]. The reduction in particle size and improved distribution likely results from In’s role in preventing Cu agglomeration, which stabilizes the catalyst’s active sites during CO2 hydrogenation.
Rare earth metals, such as lanthanum (La), calcium (Ca), and cerium (Ce), have shown substantial promotional effects on Cu/ZnO/ZrO2 catalysts. La2O3, for example, not only increases Cu dispersion but also introduces oxygen vacancies by partially substituting Zr4+ with La4+, thereby enhancing CO2 adsorption and methanol selectivity up to 72% [93]. Additionally, the enhanced basicity from La2O3 increases the number of basic sites, favoring formate adsorption and hydrogenation, which are crucial for methanol formation. Recent studies using La-modified CZA catalysts demonstrated up to a 30% increase in CH3OH production, attributed to the improved porosity and surface area, which facilitate intermediate adsorption and CO2 hydrogenation steps [94,95].
Recent literature [14,18,19] has explored the significant influence of catalyst design strategies and support interactions, as evidenced by the varied results across systems such as Cu/TiO2 and Cu-Ca0.8La0.2TiO3. Cu/TiO2-600, prepared using a lattice confinement strategy, exhibited superior performance with a methanol selectivity of 55.5% and a CO2 conversion of 45.2% under reaction conditions of 240 °C, 3 MPa, and a feed ratio of CO2/H2/N2 = 1/3/1. This high efficiency is attributed to the enhanced dispersion of Cu species within the TiO2 lattice, which not only improves sintering resistance but also maintains a high density of active sites for CO2 activation and methanol synthesis. In comparison, Cu/TiO2-500, operated under harsher conditions of 300 °C and 4 MPa, showed lower methanol selectivity (43.3%) and CO2 conversion (12.5%), suggesting that the catalytic efficiency is sensitive to both the reaction environment and the interplay between Cu and its support. In this system, the role of oxygen vacancies in TiO2 was found to be crucial for activating CO2, but excessive metal-support interaction (SMSI) likely hindered catalytic activity by partially covering Cu active sites, underscoring the importance of balancing metal-support interactions for optimal performance. On the other hand, Cu-Ca0.8La0.2TiO3, a perovskite-structured catalyst, displayed a well-balanced performance with a methanol selectivity of 58.5% and a CO2 conversion of 22.5% at 300 °C and 3 MPa, using a higher hydrogen-rich feed ratio of CO2/H2/N2 = 6/18/1. The incorporation of La into the perovskite lattice enhanced the dispersion of Cu species and optimized the ratio of Cu0/Cu+, with Cu0 playing a pivotal role in H2 activation and Cu+ facilitating methanol synthesis. This dual functionality, combined with the stability of the perovskite structure, enabled efficient CO2 activation and selectivity toward methanol. Comparatively, the results indicate that while lattice confinement strategies in Cu/TiO2-600 maximize methanol selectivity and thermal stability, the Cu–Ca0.8La0.2TiO3 system strikes a balance between selectivity and conversion by leveraging perovskite properties and active site tuning. These findings collectively highlight the need for precise control over catalyst composition and support interactions to achieve high-efficiency methanol production in CO2 hydrogenation processes.
Noble metals, including palladium (Pd) and gold (Au), have been used to boost hydrogenation rates in Cu-based catalysts by facilitating H2 spillover. This mechanism enhances reducibility, improves surface hydrogenation reactions, and stabilizes Cu sites, resulting in increased methanol production [20,96,97,98]. For instance, Martin et al. reported that Au acts as an electron-withdrawing agent, promoting electronic transfer from ZnO to Cu and stabilizing Cu0 species against reoxidation, thus enhancing methanol yield by increasing resistance to CO2 or H2O-induced oxidation [99].
Interestingly, methanol itself may act as a promoter in Cu/ZnO/MgO catalysts. The presence of a small amount of methanol in the reaction feed has been shown to reduce the apparent activation energy from 117.9 kJ/mol to 67.9 kJ/mol, suggesting that methanol interacts with the catalyst in a way that lowers the energy barrier for CO2 hydrogenation. Although the precise mechanism of this effect remains unclear, it may relate to methanol’s interaction with active sites, enhancing reaction kinetics under certain conditions.
The study by He et al. [100] investigates the catalytic performance of Mg-modified Cu–ZnO–ZrO2 catalysts with a co-precipitation method for CO2 hydrogenation to methanol, the incorporation of MgO into the Cu–ZnO–ZrO2 system optimized the catalyst’s microstructure, enhanced the dispersion of active species, and introduced appropriate basic sites, which significantly improved the adsorption and activation of CO2. Among the catalysts tested, the optimized Cu–ZnO–ZrO2/MgO (CZZ0.8M0.2) achieved a CO2 conversion of 7.3% and methanol selectivity of 71.8% under reaction conditions of 220 °C, 3 MPa. This performance represents nearly double the conversion rate compared to unmodified Cu–ZnO–ZrO2 catalysts. The MgO as a promoter has showed significant potential for improving CO2 hydrogenation catalysts, making CZZ0.8M0.2 a highly promising candidate for efficient methanol production.
In summary, the incorporation of promoters, whether alkali metals, metal oxides, rare earth elements, or noble metals, significantly impacts the performance of Cu-based catalysts in CO2 hydrogenation to methanol. Each promoter provides unique benefits, such as improved Cu dispersion, stabilization of reactive intermediates, and enhanced electronic properties, all of which contribute to greater methanol yields and selectivity. The strategic use of these promoters thus forms a critical approach in designing more effective and sustainable catalysts for methanol synthesis from CO2.
Table 1.
Cu-based catalysts for CO2 to methanol.
Table 1.
Cu-based catalysts for CO2 to methanol.
| Catalysts | T (°C) | P (MPa) | Gas Composition | Space Velocity (mL·g−1 h−1) | CO2 Conversion (%) | CH3OH Selectivity (%) | Ref. |
|---|---|---|---|---|---|---|---|
| Cu-ZrO2 | 230 | 1 | CO2/H2/N2 = 1/3/1 | 50,000 | 1.6 | 72.2 | [101] |
| Cu/ZrO2 | 260 | 3 | CO2/H2/N2 = 23/69/8 | 6000 | 17.1 | 58.5 | [102] |
| Cu-Zn-Zr/CuBr2 | 250 | 5 | CO2/H2/N2 = 23/69/8 | 3000 | 10.7 | 97.1 | [103] |
| Cu/TiO2-600 | 240 | 3 | CO2/H2/N2 = 1/3/1 | 3600 | 45.2 | 55.5 | [18] |
| Cu/TiO2-500 | 300 | 4 | CO2/H2/N2 = 1/3/1 | 10,000 | 12.5 | 43.3 | [14] |
| Cu-Ca0.8La0.2TiO3 | 300 | 3 | CO2/H2/N2 = 6/18/1 | 3000 | 22.5 | 58.5 | [19] |
| 0.5% Cu-Zn-Zr | 290 | 4.5 | CO2/H2 = 1/3 | 10,800 | 9.5 | 76 | [104] |
| Cu-Zn-Al-Ce | 250 | 3 | CO2/H2 = 1/3 | 12,000 | 14.2 | 37.8 | [105] |
| 20% ZnO-ZrO2 | 320 | 2 | CO2/H2 = 24/72 | 24,000 | 6.4 | 78.5 | [63] |
| inverse-ZrO2/Cu | 220 | 3 | CO2/H2 = 1/3 | 48,000 | <5 | ~70 | [65] |
| Cu@ZnO-1.0 | 240 | 3 | CO2/H2 = 1/3 | 12,000 | 19.6 | 76.9 | [61] |
| CuO/Ce0.4 Zr0.6 O2 | 220 | 3 | CO2/H2 = 1/3 | 10,000 | 7 | 96.4 | [66] |
| Cu-Zn-Al-K | 240 | 3 | CO2/H2 = 1/4 | 2400 | 14 | 96 | [106] |
| Cu-ZnO-A12O3 | 260 | 3.6 | CO2/H2 = 1/10 | 18,000 | 65.8 | 77.3 | [107] |
| Cu-ZnO-A12O3 | 280 | 4 | CO2/H2 = 1/3 | 10,000 | 65.3 | 91.9 | [108] |
| Cu-ZnO | 250 | 3 | CO2/H2 = 1/3 | 18,000 | 2.3 | 100 | [109] |
| Cu-ZnO-ZrO2 | 200 | 1 | CO2/H2/N2 = 3/9/1 | 4000 | 5.8 | 55.2 | [110] |
| Cu-ZnO-ZrO2 | 230 | 3 | - | 3000 | 15.2 | 35.1 | [111] |
| Cu-ZnO-ZrO2/MgO | 220 | 3 | CO2/H2/N2 = 23/69/8 | 18,000 | 7.3 | 71.8 | [100] |
| Cu-ZnO-ZrO2 | 240 | 3 | CO2/H2 = 1/3 | 3600 | 12.1 | 54.1 | [112] |
| Cu/ZrO2 | 280 | 3 | CO2/H2 = 1/3 | 7200 | 12 | 32 | [113] |
| 30Cu-ZnO-ZrO2 | 280 | 5 | - | 10,000 | 23 | 33 | [114] |
| Fe-Cu-ZnO-ZrO2 | 250 | 3 | CO2/H2 = 1/4 | 60,000 | 18.7 | 53.8 | [115] |
| Cu-Ga2O3-ZrO2 | 250 | 2 | CO2/H2 = 1/3 | 2500 | 13.7 | 75.6 | [116] |
| 7.7 Ga203/IE/Cu/ZrO2 | 250 | 3 | CO2/H2 = 22/75 | 20,000 | 1.3 | 74 | [117] |
| Cu/Al2O3 | 280 | 9.5 | CO2/H2 = 1/4 | 12,000 | 30 | 80 | [118] |
| LaO0.8Zr0.2Cu0.7Zn0.3Ox | 250 | 5 | CO2/H2 = 1/3 | 3600 | 12.6 | 52.5 | [119] |
| 30Cu-ZnO-ZrO2 | 280 | 5 | - | 10,000 | 21 | 34 | [120] |
| Cu-ZnO-ZrO20-Al2O3 | 240 | 3 | CO2/H2/N2 = 23.5/64.5/12 | 2400 | 21.8 | 51 | [78] |
3.2.3. Role of Alloy in Cu-Based Catalysts
The Cu/ZnO/Al2O3 (CZA) system has been commercially employed for over 60 years, but the exact nature of its active sites remains a topic of debate. The active sites for CO2 to methanol conversion in these catalysts are believed to be located at the metal-oxide interfaces (Cu–ZnO) and surface Cu–Zn alloys (Alloys). Nakamura and Fujitani first provided evidence using XRD that Cu–Zn alloys form in Cu/ZnO catalysts, which significantly improve the specific activity and indicate that these alloys are the active sites for methanol synthesis [121]. Other researchers, such as Malte Behrens, observed through HRTEM that Cu nanoparticles in these systems are covered by disordered ZnOx layers, forming a surface Cu–Zn alloy. DFT calculations further confirmed that these surface alloying sites can enhance methanol synthesis [122].
Further support comes from Topsøe researchers, who used H2-TPD and XPS to provide definitive evidence of surface Cu–Zn alloy formation [123]. Their findings suggest that increased H2 partial pressure leads to more Zn in the metallic state, while DFT calculations indicated that Cu–Zn alloying weakens H2 adsorption, promoting methanol production [124]. The group also proposed that ZnO particle size plays a key role in controlling Zn coverage on Cu, affecting the overall catalytic activity [59].
In contrast, a team at Brookhaven National Laboratory provided evidence that the metal-oxide interface (ZnO–Cu) is the primary active site. They found that Zn/Cu catalysts initially exhibited low activity but were gradually oxidized to form ZnO/Cu interfaces during the reaction, achieving high activity levels comparable to directly prepared ZnO/Cu systems [125].
Palladium (Pd) has been introduced into Cu–ZnO catalysts to increase methanol yield, not by creating new active sites, but by promoting H2 spillover and stabilizing active Cu sites, preventing their oxidation by CO2 [50]. Pd and Cu can form stable alloys after reduction, which has been demonstrated to provide significant synergistic effects for methanol synthesis [126]. For instance, Chunshan Song’s team developed a series of SiO2 supported Cu–Pd bimetallic catalysts, showing that an optimized atomic ratio of Pd/(Pd + Cu) between 0.25 and 0.34 doubled the methanol yield compared to monometallic Cu and Pd catalysts [126,127]. Their results indicated that Cu–Pd alloy nanoparticles increase the surface coverage of formate species, a key intermediate in methanol synthesis. Furthermore, PdCu-enriched catalysts outperformed PdCu3-enriched catalysts in methanol production [128].
The effect of support materials on the performance of Cu–Pd catalysts has also been investigated. Supports such as TiO2, ZrO2, and Al2O3 were found to enhance methanol production by creating moderate MSI. In contrast, CeO2, which created stronger MSI, hindered the formation of Cu–Pd alloys and led to competitive adsorption of H2 and CO2, resulting in poorer performance [129].
Although CZA catalysts perform well, their efficiency in CO2 hydrogenation can be negatively affected by water formation and the hydrophilic nature of alumina [110,126]. As a result, ZrO2 has been introduced as a less hydrophilic promoter to improve catalytic performance [130]. Studies have shown that adding ZrO2 increases Cu dispersion, enhancing methanol selectivity [111]. Various synthesis methods have been developed to create Cu–ZnO–ZrO2 catalysts, including surfactant-assisted coprecipitation, which enhances the interaction between Cu and Zr, resulting in higher methanol selectivity [131]. Other studies have focused on optimizing the crystallographic structure of ZrO2 to increase catalytic activity [79]. For example, tetrahedral ZrO2 has been found to be more beneficial than amorphous forms for methanol synthesis [113].
In addition to ZrO2, Ga2O3 and CeO2 have also been used as bimetallic promoters. Ga2O3 has been shown to improve catalytic performance by increasing SACu and enhancing the Cu–ZnO interaction [114], while CeO2 provides new sites for CO2 activation, significantly increasing methanol production [132]. Furthermore, ternary Cu/Ga2O3/ZrO2 systems have outperformed binary Cu–ZrO2 and Cu–Ga2O3 catalysts, particularly when specific preparation conditions are followed [117].
4. Conclusions
The conversion of CO2 to methanol is a pivotal strategy for addressing global carbon emissions while enabling the production of a versatile chemical and energy carrier. This review integrates a comprehensive bibliometric analysis with a detailed examination of thermodynamic constraints, reaction mechanisms, and advances in catalyst development. The bibliometric analysis, encompassing over 13,000 publications from 2012 to 2023, highlights the significant growth in research on CO2-to-methanol technologies, particularly the central role of Cu-based catalysts. Notably, 9361 of these publications focus specifically on Cu-based catalysts, underscoring the growing interest in their potential for CO2 conversion. The analysis underscores China’s leadership in the field, along with substantial contributions from the United States, Germany, and other nations, reflecting the global urgency to address climate change.
Cu-based catalysts, enhanced through doping with elements such as ZrO2, CeO2, and Ga2O3, and innovations in composite supports like Cu–ZnO–ZrO2–Al2O3, have emerged as the cornerstone for industrial-scale CO2 hydrogenation. These systems balance activity, stability, and cost-effectiveness, addressing the challenges posed by the reverse water-gas shift reaction, water-induced deactivation, and the thermodynamic stability of CO2. The review also explores advanced catalytic strategies like perovskite-type oxides, highlighting their potential to overcome existing limitations and unlock new avenues for catalyst design. Emerging materials, including metal-organic frameworks and bimetallic alloys, offer further opportunities for optimizing reaction pathways and improving selectivity under industrial conditions.
Further challenges and outlook for industrial applications are discussed in the next section. Addressing these challenges requires an interdisciplinary approach that integrates renewable energy sources, innovative reactor designs, and policy-driven incentives to enable sustainable industrial adoption. By consolidating current knowledge and identifying critical gaps, this review not only provides a roadmap for future research but also emphasizes the transformative potential of CO2-to-methanol conversion in realizing a circular carbon economy. Continued innovation and collaboration across disciplines will be essential in transitioning this technology from the laboratory to large-scale implementation, making it a cornerstone of sustainable energy and carbon management.
5. Challenges and Outlook
While significant strides have been made in advancing CO2 hydrogenation to methanol, several technical and economic challenges remain unresolved, limiting the scalability and industrial adoption of this promising technology. The activation of CO2 remains a primary obstacle, driven by the molecule’s inherent thermodynamic stability, which necessitates substantial energy input. In Cu-based catalytic systems, this challenge is compounded by the weak interaction between CO2 and the catalyst surface, leading to a reliance on high operational pressures—up to 200 bar—to drive reactions forward. This reliance significantly increases energy consumption and operational costs, forming a barrier to large-scale commercialization. Addressing this requires innovative approaches to catalyst design. Emerging strategies, such as the integration of machine learning and quantum simulations, offer the potential to predict and engineer advanced catalytic materials with enhanced CO2 affinity, enabling activation at lower pressures and temperatures. By optimizing the electronic and structural properties of catalysts, such as doping Cu-based systems with promoters that create active surface sites for CO2 adsorption, future research can directly target these bottlenecks.
In addition to activation challenges, the reverse water-gas shift (RWGS) reaction poses a persistent issue, particularly at elevated temperatures where it competes with methanol production. The RWGS reaction not only reduces methanol selectivity but also wastes valuable hydrogen, undermining process efficiency. To overcome this, catalyst systems must be designed to suppress RWGS while favoring methanol formation under milder conditions. Recent advances in nanostructured and multifunctional catalysts have shown promise in achieving this balance, particularly through the stabilization of intermediates that favor methanol synthesis pathways. Further research should explore the synergy between catalyst structure and reaction engineering, such as optimizing reactor configurations to enable selective intermediate stabilization. For example, reactors that facilitate in situ water removal could minimize the impact of water as a byproduct, which otherwise deactivates Cu-based catalysts by promoting agglomeration and oxidation of active sites. Enhancing the resistance of catalysts to water-induced deactivation through surface modifications or the incorporation of hydrophobic supports is another critical avenue for improving process longevity and efficiency.
Scaling up CO2 to methanol conversion remains a key challenge due to the economic and logistical barriers associated with CO2 capture and hydrogen production. While small-scale demonstration plants, such as Carbon Recycling International’s facility in Iceland, have validated the feasibility of this technology, achieving economic viability at an industrial scale demands substantial advancements. Current CO2 capture methods, whether from industrial emissions or direct air capture (DAC) systems, are energy-intensive and costly, with DAC technologies exhibiting low technological readiness levels. Innovations in capture materials and processes, such as adsorption-based systems with higher efficiency or bioengineered solutions leveraging microorganisms for CO2 fixation, could significantly lower costs. Coupling these advancements with decentralized production hubs that integrate CO2 capture and methanol synthesis at emission sources offers a practical pathway to scalability.
Hydrogen production remains another critical bottleneck. Conventional methods like steam methane reforming and biomass gasification generate carbon byproducts, undercutting the environmental benefits of methanol synthesis. Electrolysis, powered by renewable energy sources such as wind or geothermal energy, provides a more sustainable alternative, as demonstrated by the geothermal-powered production model in Iceland. However, the high costs and relatively low efficiencies of current electrolysis systems, typically ranging between 40–60%, limit their widespread adoption. Increasing the efficiency of electrolysis through advances in membrane technologies, such as solid oxide electrolysis cells, and scaling renewable energy sources to supply hydrogen at competitive costs, are essential for the long-term viability of CO2-to-methanol conversion. Policy incentives and investment in renewable energy infrastructure will also play a pivotal role in reducing the economic barriers to green hydrogen production.
Catalyst development continues to be a central focus in advancing CO2 hydrogenation to methanol, addressing the limitations of Cu-based systems that, while effective and affordable, are prone to deactivation under industrial conditions, particularly in the presence of water. Recent progress has demonstrated the potential of composite supports, bimetallic systems, and structural modifications to overcome these challenges and enhance catalyst performance. Composite supports such as Cu–ZnO–ZrO2–Al2O3 have shown improved stability by optimizing the dispersion of active Cu species and resisting sintering and deactivation, critical for sustained industrial applications. Bimetallic catalysts, such as Pd–Cu or Ga–Cu systems, exploit synergistic interactions between metals to stabilize intermediates, improve reaction kinetics, and suppress competing reactions like the reverse water-gas shift (RWGS). Structural innovations, including perovskite-type oxides like Ca0.8La0.8TiO3, introduce dynamic lattice oxygen and defect sites that facilitate CO2 activation and enhance hydrogenation efficiency, while layered double hydroxides (LDHs) offer a high density of tunable active sites and robust thermal stability, creating a supportive environment for Cu nanoparticles. These advances collectively aim to enhance catalyst durability, activity, and selectivity under practical operating conditions, addressing key industrial requirements. Moving forward, hybrid systems that integrate the complementary benefits of these approaches hold significant promise, and their validation through pilot-scale studies will be essential to establish their feasibility and performance under real-world conditions, paving the way for resilient and efficient catalytic technologies for CO2 hydrogenation.
Finally, the economic viability of methanol production from CO2 remains a critical hurdle. Although market demand for methanol is growing, the cost of production through CO2 hydrogenation currently exceeds that of conventional methods due to the expenses associated with CO2 capture and hydrogen generation. Integrating methanol synthesis plants with renewable energy sources and industries emitting high CO2 volumes could reduce costs and improve economic feasibility. Additionally, exploring the valorization of methanol into higher-value products, such as olefins or specialty chemicals, could provide supplementary revenue streams. Participation in carbon credit markets through Certified Emissions Reduction (CER) programs may also offset production costs, further incentivizing industrial adoption.
The successful commercialization of CO2-to-methanol technologies will ultimately depend on a confluence of scientific innovation, strategic integration of renewable energy, and supportive policy frameworks. By setting measurable performance targets—such as achieving methanol selectivity above 90% at pressures below 50 bar—and fostering interdisciplinary collaborations, the field can overcome its current limitations. As catalyst systems evolve and production processes are optimized, CO2 hydrogenation to methanol has the potential to transition from a laboratory-scale innovation to a cornerstone of sustainable carbon management and green energy production.
Author Contributions
Conceptualization, S.S. and M.A.M.; Methodology, S.S., M.A.M. and S.A.M.; Writing—original draft preparation, S.S. and M.A.M.; Writing—review and editing, S.S., M.A.M., A.K., S.A.M., D.M., S.A., M., W.Z. and Y.L.; Visualization, S.S. and M.A.M.; Supervision, M.A.M. and Y.L. All authors have read and agreed to the published version of the manuscript.
Funding
This research received no external funding.
Data Availability Statement
No new data were created or analyzed in this study.
Conflicts of Interest
The authors declare no conflicts of interest.
References
- Memon, M.A.; Jiang, Y.; Hassan, M.A.; Ajmal, M.; Wang, H.; Liu, Y. Heterogeneous Catalysts for Carbon Dioxide Methanation: A View on Catalytic Performance. Catalysts 2023, 13, 1514. [Google Scholar] [CrossRef]
- Memon, M.A.; Zhou, W.; Ajmal, M.; Afzal; Jiang, Y.; Zhang, C.; Zhang, J.; Liu, Y. Ni–CaZrO3 with perovskite phase loaded on ZrO2 for CO2 methanation. Int. J. Hydrogen Energy 2024, 92, 1202–1213. [Google Scholar] [CrossRef]
- Liu, R.; Song, P.; Memon, M.A.; Liu, P.; Liu, Y. Manganese Oxide Decorated Co Nanoparticles on CaTiO3 for Higher Alcohols Synthesis from Syngas. Ind. Eng. Chem. Res. 2024, 63, 16111–16123. [Google Scholar] [CrossRef]
- Gao, P.; Zhang, L.; Li, S.; Zhou, Z.; Sun, Y. Novel heterogeneous catalysts for CO2 hydrogenation to liquid fuels. ACS Cent. Sci. 2020, 6, 1657–1670. [Google Scholar] [CrossRef] [PubMed]
- Zhong, J.; Yang, X.; Wu, Z.; Liang, B.; Huang, Y.; Zhang, T. State of the art and perspectives in heterogeneous catalysis of CO2 hydrogenation to methanol. Chem. Soc. Rev. 2020, 49, 1385–1413. [Google Scholar] [CrossRef]
- Durga Devi, A.; Pushpavanam, S.; Singh, N.; Verma, J.; Kaur, M.P.; Roy, S.C. Enhanced methane yield by photoreduction of CO2 at moderate temperature and pressure using Pt coated, graphene oxide wrapped TiO2 nanotubes. Results Eng. 2022, 14, 100441. [Google Scholar] [CrossRef]
- Cubeiro, M.L.; Morales, H.; Goldwasser, M.R.; Pérez-Zurita, M.J.; González-Jiménez, F.; Urbina De N, C. Hydrogenation of carbon oxides over Fe/Al2O3 catalysts. Appl. Catal. A Gen. 1999, 189, 87–97. [Google Scholar] [CrossRef]
- Sakurai, H.; Ueda, A.; Kobayashi, T.; Haruta, M. Low-temperature water-gas shift reaction over gold deposited on TiO2. Chem. Commun. 1997, 271–272. [Google Scholar] [CrossRef]
- Gao, P.; Dang, S.; Li, S.; Bu, X.; Liu, Z.; Qiu, M.; Yang, C.; Wang, H.; Zhong, L.; Han, Y.; et al. Direct Production of Lower Olefins from CO2 Conversion via Bifunctional Catalysis. ACS Catal. 2018, 8, 571–578. [Google Scholar] [CrossRef]
- Studt, F.; Sharafutdinov, I.; Abild-Pedersen, F.; Elkjær, C.F.; Hummelshøj, J.S.; Dahl, S.; Chorkendorff, I.; Nørskov, J.K. Discovery of a Ni-Ga catalyst for carbon dioxide reduction to methanol. Nat. Chem. 2014, 6, 320–324. [Google Scholar] [CrossRef] [PubMed]
- Ali, K.A.; Abdullah, A.Z.; Mohamed, A.R. Recent development in catalytic technologies for methanol synthesis from renewable sources: A critical review. Renew. Sustain. Energy Rev. 2015, 44, 508–518. [Google Scholar] [CrossRef]
- Jadhav, S.G.; Vaidya, P.D.; Bhanage, B.M.; Joshi, J.B. Catalytic carbon dioxide hydrogenation to methanol: A review of recent studies. Chem. Eng. Res. Des. 2014, 92, 2557–2567. [Google Scholar] [CrossRef]
- Olah, G.A. Towards oil independence through renewable methanol chemistry. Angew. Chemie—Int. Ed. 2013, 52, 104–107. [Google Scholar] [CrossRef]
- Zhang, C.; Wang, L.; Etim, U.J.; Song, Y.; Gazit, O.M.; Zhong, Z. Oxygen vacancies in Cu/TiO2 boost strong metal-support interaction and CO2 hydrogenation to methanol. J. Catal. 2022, 413, 284–296. [Google Scholar] [CrossRef]
- Yang, X.; Li, S.; Wang, L.; Liu, Z. Transition metal catalysts for CO2 hydrogenation: Mechanistic insights and performance trends. Catal. Today 2023, 423, 101–116. [Google Scholar] [CrossRef]
- Sun, J.; Fujimoto, K. Economic feasibility of Cu-based catalysts for industrial-scale CO2-to-methanol synthesis. Ind. Eng. Chem. Res. 2017, 56, 6060–6069. [Google Scholar] [CrossRef]
- Gao, B.; Wen, Z.; Wang, Y.; Chen, D.; Yang, B.; Ishihara, T.; Guo, L. Recent Advances in Alloy Catalysts for CO2 Hydrogenation to Methanol. ChemCatChem 2024, 16, e202400814. [Google Scholar] [CrossRef]
- Chen, H.; Li, S.; Ma, P.; Chang, K.; Zhao, Z.; Xie, Z. Lattice-confined Cu-TiO2 catalysts with improved thermal stability for CO2 hydrogenation. ACS Sustain. Chem. Eng. 2023, 11, 18112–18122. [Google Scholar] [CrossRef]
- Zhou, W.; Memon, M.A.; Niu, M.; Fan, X.; Jiang, Y.; Zhang, X.; Liu, Y. Active pairs of Cu0/Cu+ for CO2 hydrogenation. Int. J. Hydrogen Energy 2024. [Google Scholar] [CrossRef]
- Xie, X.; Li, C.; Lu, Z.; Wang, Y.; Yang, W.; Chen, M.; Li, W. Noble metal modified copper-exchanged mordenite zeolite (Cu-ex-MOR) catalysts for catalyzing the methane efficient gas-phase synthesis methanol. Energy 2024, 300, 131595. [Google Scholar] [CrossRef]
- Wu, C.; Cheng, D.; Wang, M.; Ma, D. Understanding and Application of Strong Metal-Support Interactions in Conversion of CO2 to Methanol: A Review. Energy Fuels 2021, 35, 19012–19023. [Google Scholar] [CrossRef]
- Guil-López, R.; Mota, N.; Llorente, J.; Millán, E.; Pawelec, B.; Fierro, J.L.G.; Navarro, R.M. Methanol Synthesis from CO2: A Review of the Latest Developments in Heterogeneous Catalysis. Materials 2019, 12, 3902. [Google Scholar] [CrossRef]
- Rodriguez, J.A.; Liu, P.; Stacchiola, D.J.; Senanayake, S.D.; White, M.G.; Chen, J.G. Hydrogenation of CO2 to Methanol: Importance of Metal-Oxide and Metal-Carbide Interfaces in the Activation of CO2. Acs Catal. 2015, 5, 6696–6706. [Google Scholar] [CrossRef]
- Bowker, M. Methanol Synthesis from CO2 Hydrogenation. ChemCatChem 2019, 11, 4238–4246. [Google Scholar] [CrossRef] [PubMed]
- Álvarez, A.; Bansode, A.; Urakawa, A.; Bavykina, A.V.; Wezendonk, T.A.; Makkee, M.; Gascon, J.; Kapteijn, F. Challenges in the Greener Production of Formates/Formic Acid, Methanol, and DME by Heterogeneously Catalyzed CO2 Hydrogenation Processes. Chem. Rev. 2017, 117, 9804–9838. [Google Scholar] [CrossRef] [PubMed]
- Ganesh, I. Conversion of carbon dioxide into methanol—A potential liquid fuel: Fundamental challenges and opportunities (a review). Renew. Sustain. Energy Rev. 2014, 31, 221–257. [Google Scholar] [CrossRef]
- Bart, J.C.J.; Sneeden, R.P.A. Copper-zinc oxide-alumina methanol catalysts revisited. Catal. Today 1987, 2, 1–124. [Google Scholar] [CrossRef]
- Studt, F.; Behrens, M.; Kunkes, E.L.; Thomas, N.; Zander, S.; Tarasov, A.; Schumann, J.; Frei, E.; Varley, J.B.; Abild-Pedersen, F.; et al. The Mechanism of CO and CO2 Hydrogenation to Methanol over Cu-Based Catalysts. ChemCatChem 2015, 7, 1105–1111. [Google Scholar] [CrossRef]
- Murthy, P.S.; Liang, W.; Jiang, Y.; Huang, J. Cu-Based Nanocatalysts for CO2 Hydrogenation to Methanol. Energy and Fuels 2021, 35, 8558–8584. [Google Scholar] [CrossRef]
- Aresta, M.; Dibenedetto, A.; Quaranta, E. State of the art and perspectives in catalytic processes for CO2 conversion into chemicals and fuels: The distinctive contribution of chemical catalysis and biotechnology. J. Catal. 2016, 343, 2–45. [Google Scholar] [CrossRef]
- Wang, W.; Wang, S.; Ma, X.; Gong, J. Recent advances in catalytic hydrogenation of carbon dioxide. Chem. Soc. Rev. 2011, 40, 3703–3727. [Google Scholar] [CrossRef] [PubMed]
- Cai, W.; Ramirez, P.; Piscina, D.; Toyir, J.; Homs, N. CO2 hydrogenation to methanol over CuZnGa catalysts prepared using microwave-assisted methods. Catal. Today 2015, 242, 193–199. [Google Scholar] [CrossRef]
- Yang, Y.; White, M.G.; Liu, P. Theoretical Study of Methanol Synthesis from CO2 Hydrogenation on Metal-Doped Cu(111) Surfaces. J. Phys. Chem. C 2011, 116, 248–256. [Google Scholar] [CrossRef]
- Park, N.; Park, M.-J.; Lee, Y.-J.; Ha, K.-S.; Jun, K.-W. Kinetic modeling of methanol synthesis over commercial catalysts based on three-site adsorption. Fuel Process. Technol. 2014, 125, 139–147. [Google Scholar] [CrossRef]
- Cui, X.; Kær, S.K. A comparative study on three reactor types for methanol synthesis from syngas and CO2. Chem. Eng. J. 2020, 393, 124632. [Google Scholar] [CrossRef]
- Zhang, S.; Wu, Z.; Liu, X.; Hua, K.; Shao, Z.; Wei, B.; Huang, C.; Wang, H.; Sun, Y. A Short Review of Recent Advances in Direct CO2 Hydrogenation to Alcohols. Top. Catal. 2021, 64, 371–394. [Google Scholar] [CrossRef]
- Azhari, N.J.; Erika, D.; Mardiana, S.; Ilmi, T.; Gunawan, M.L.; Makertihartha, I.G.B.N.; Kadja, G.T.M. Methanol synthesis from CO2: A mechanistic overview. Results Eng. 2022, 16, 100711. [Google Scholar] [CrossRef]
- Yarulina, I.; Chowdhury, A.D.; Meirer, F.; Weckhuysen, B.M.; Gascon, J. Recent trends and fundamental insights in the methanol-to-hydrocarbons process. Nat. Catal. 2018, 1, 398–411. [Google Scholar] [CrossRef]
- Ilias, S.; Bhan, A. Mechanism of the Catalytic Conversion of Methanol to Hydrocarbons. ACS Catal. 2012, 3, 18–31. [Google Scholar] [CrossRef]
- Sehested, J. Industrial and scientific directions of methanol catalyst development. J. Catal. 2019, 371, 368–375. [Google Scholar] [CrossRef]
- Behrens, M.; Armbrüster, M. Methanol Steam Reforming. In Catalysis for Alternative Energy Generation; Springer: New York, NY, USA, 2012; pp. 175–235. ISBN 9781461403449. [Google Scholar]
- Mahyuddin, M.H.; Shiota, Y.; Yoshizawa, K. Methane selective oxidation to methanol by metal-exchanged zeolites: A review of active sites and their reactivity. Catal. Sci. Technol. 2019, 9, 1744–1768. [Google Scholar] [CrossRef]
- Porosoff, M.D.; Yan, B.; Chen, J.G. Catalytic reduction of CO2 by H2 for synthesis of CO, methanol and hydrocarbons: Challenges and opportunities. Energy Environ. Sci. 2016, 9, 62–73. [Google Scholar] [CrossRef]
- Yang, H.; Zhang, C.; Gao, P.; Wang, H.; Li, X.; Zhong, L.; Wei, W.; Sun, Y. A review of the catalytic hydrogenation of carbon dioxide into value-added hydrocarbons. Catal. Sci. Technol. 2017, 7, 4580–4598. [Google Scholar] [CrossRef]
- Rodemerck, U.; Holeňa, M.; Wagner, E.; Smejkal, Q.; Barkschat, A.; Baerns, M. Catalyst Development for CO2 Hydrogenation to Fuels. ChemCatChem 2013, 5, 1948–1955. [Google Scholar] [CrossRef]
- Koh, M.K.; Khavarian, M.; Chai, S.P.; Mohamed, A.R. The morphological impact of siliceous porous carriers on copper-catalysts for selective direct CO2 hydrogenation to methanol. Int. J. Hydrogen Energy 2018, 43, 9334–9342. [Google Scholar] [CrossRef]
- Koh, M.K.; Wong, Y.J.; Chai, S.P.; Mohamed, A.R. Carbon dioxide hydrogenation to methanol over multi-functional catalyst: Effects of reactants adsorption and metal-oxide(s) interfacial area. J. Ind. Eng. Chem. 2018, 62, 156–165. [Google Scholar] [CrossRef]
- Li, M.M.; Zeng, Z.; Liao, F.; Hong, X.; Chi, S.; Tsang, E. Enhanced CO2 hydrogenation to methanol over CuZn nanoalloy in Ga modified Cu / ZnO catalysts. J. Catal. 2016, 343, 157–167. [Google Scholar] [CrossRef]
- Lucci, F.R.; Marcinkowski, M.D.; Lawton, T.J.; Sykes, E.C.H. H2 Activation and Spillover on Catalytically Relevant Pt–Cu Single Atom Alloys. J. Phys. Chem. C 2015, 119, 24351–24357. [Google Scholar] [CrossRef]
- Hu, B.; Yin, Y.; Liu, G.; Chen, S.; Hong, X.; Tsang, S.C.E. Hydrogen spillover enabled active Cu sites for methanol synthesis from CO2 hydrogenation over Pd doped CuZn catalysts. J. Catal. 2018, 359, 17–26. [Google Scholar] [CrossRef]
- Tursunov, O.; Kustov, L.; Kustov, A. A Brief Review of Carbon Dioxide Hydrogenation to Methanol Over Copper and Iron Based Catalysts. Oil Gas Sci. Technol.—Rev. d’IFP Energies Nouv. 2017, 72, 30. [Google Scholar] [CrossRef]
- Gesmanee, S.; Koo-amornpattana, W. Catalytic hydrogenation of CO2 for methanol production in fixed-bed reactor using Cu-Zn supported on gamma-Al 2 O 3. Energy Procedia 2017, 138, 739–744. [Google Scholar] [CrossRef]
- Grabow, L.C.; Mavrikakis, M. Mechanism of Methanol Synthesis on Cu through CO2 and CO Hydrogenation. ACS Catal. 2011, 1, 365–384. [Google Scholar] [CrossRef]
- Cao, H.S.; Li, S.; Pan, Y.X.; Zhang, X.B.; Luo, Z.H. Exploring the reaction mechanism and kinetic properties of CO2 hydrogenation to methanol on Cu/CeO2. Chem. Eng. Sci. 2025, 304, 120990. [Google Scholar] [CrossRef]
- Toyir, J.; Ramírez De La Piscina, P.; Fierro, J.L.G.; Homs, N. Highly effective conversion of CO2 to methanol over supported and promoted copper-based catalysts: Influence of support and promoter. Appl. Catal. B Environ. 2001, 29, 207–215. [Google Scholar] [CrossRef]
- Hu, J.; Yu, L.; Deng, J.; Wang, Y.; Cheng, K.; Ma, C.; Zhang, Q.; Wen, W.; Yu, S.; Pan, Y.; et al. Sulfur vacancy-rich MoS2 as a catalyst for the hydrogenation of CO2 to methanol. Nat. Catal. 2021, 4, 242–250. [Google Scholar] [CrossRef]
- Chen, Y.; Wei, J.; Duyar, M.S.; Ordomsky, V.V.; Khodakov, A.Y.; Liu, J. Carbon-based catalysts for Fischer-Tropsch synthesis. Chem. Soc. Rev. 2021, 50, 2337–2366. [Google Scholar] [CrossRef] [PubMed]
- Xu, X.; Tong, Y.; Huang, J.; Zhu, J.; Fang, X.; Xu, J.; Wang, X. Insights into CO2 methanation mechanism on cubic ZrO2 supported Ni catalyst via a combination of experiments and DFT calculations. Fuel 2021, 283, 118867. [Google Scholar] [CrossRef]
- Kuld, S.; Thorhauge, M.; Falsig, H.; Elkjær, C.F.; Helveg, S.; Chorkendorff, I.; Sehested, J. Quantifying the promotion of Cu catalysts by ZnO for methanol synthesis. Science 2016, 352, 969–974. [Google Scholar] [CrossRef]
- Posada-Pérez, S.; Ramírez, P.J.; Gutiérrez, R.A.; Stacchiola, D.J.; Viñes, F.; Liu, P.; Illas, F.; Rodriguez, J.A. The conversion of CO2 to methanol on orthorhombic β-Mo2C and Cu/β-Mo2C catalysts: Mechanism for admetal induced change in the selectivity and activity. Catal. Sci. Technol. 2016, 6, 6766–6777. [Google Scholar] [CrossRef]
- Kondrat, S.A.; Smith, P.J.; Wells, P.P.; Chater, P.A.; Carter, J.H.; Morgan, D.J.; Fiordaliso, E.M.; Wagner, J.B.; Davies, T.E.; Lu, L.; et al. Stable amorphous georgeite as a precursor to a high-activity catalyst. Nature 2016, 531, 83–87. [Google Scholar] [CrossRef]
- Behrens, M.; Girgsdies, F. Structural Effects of Cu/Zn Substitution in the Malachite–Rosasite System. Zeitschrift für Anorg. und Allg. Chemie 2010, 636, 919–927. [Google Scholar] [CrossRef]
- Han, Z.; Tang, C.; Sha, F.; Tang, S.; Wang, J.; Li, C. CO2 hydrogenation to methanol on ZnO-ZrO2 solid solution catalysts with ordered mesoporous structure. J. Catal. 2021, 396, 242–250. [Google Scholar] [CrossRef]
- Guo, X.; Mao, D.; Lu, G.; Wang, S.; Wu, G. CO2 hydrogenation to methanol over Cu/ZnO/ZrO2 catalysts prepared via a route of solid-state reaction. Catal. Commun. 2011, 12, 1095–1098. [Google Scholar] [CrossRef]
- Wu, C.; Lin, L.; Liu, J.; Zhang, J.; Zhang, F.; Zhou, T.; Rui, N.; Yao, S.; Deng, Y.; Yang, F.; et al. Inverse ZrO2/Cu as a highly efficient methanol synthesis catalyst from CO2 hydrogenation. Nat. Commun. 2020, 11, 5767. [Google Scholar] [CrossRef]
- Wang, W.; Qu, Z.; Song, L.; Fu, Q. Effect of the nature of copper species on methanol synthesis from CO2 hydrogenation reaction over CuO/Ce0.4Zr0.6O2 catalyst. Mol. Catal. 2020, 493, 111105. [Google Scholar] [CrossRef]
- Singh, R.; Tripathi, K.; Pant, K.K. Investigating the role of oxygen vacancies and basic site density in tuning methanol selectivity over Cu/CeO2 catalyst during CO2 hydrogenation. Fuel 2021, 303, 121289. [Google Scholar] [CrossRef]
- Gothe, M.L.; Pérez-Sanz, F.J.; Braga, A.H.; Borges, L.R.; Abreu, T.F.; Bazito, R.C.; Gonçalves, R.V.; Rossi, L.M.; Vidinha, P. Selective CO2 hydrogenation into methanol in a supercritical flow process. J. CO2 Util. 2020, 40, 101195. [Google Scholar] [CrossRef]
- Jiang, F.; Yang, Y.; Wang, L.; Li, Y.; Fang, Z.; Xu, Y.; Liu, B.; Liu, X. Dependence of copper particle size and interface on methanol and CO formation in CO2 hydrogenation over Cu@ZnO catalysts. Catal. Sci. Technol. 2022, 12, 551–564. [Google Scholar] [CrossRef]
- Lam, E.; Corral-Pérez, J.J.; Larmier, K.; Noh, G.; Wolf, P.; Comas-Vives, A.; Urakawa, A.; Copéret, C. CO2 Hydrogenation on Cu/Al2O3: Role of the Metal/Support Interface in Driving Activity and Selectivity of a Bifunctional Catalyst. Angew. Chemie Int. Ed. 2019, 58, 13989–13996. [Google Scholar] [CrossRef] [PubMed]
- Klier, K. Methanol Synthesis. In Advances in Catalysis; Elsevier: Amsterdam, The Netherlands, 1982; pp. 243–313. ISBN 9780120078318. [Google Scholar]
- Sankar, M.; He, Q.; Engel, R.V.; Sainna, M.A.; Logsdail, A.J.; Roldan, A.; Willock, D.J.; Agarwal, N.; Kiely, C.J.; Hutchings, G.J. Role of the Support in Gold-Containing Nanoparticles as Heterogeneous Catalysts. Chem. Rev. 2020, 120, 3890–3938. [Google Scholar] [CrossRef]
- Tauster, S.J.; Fung, S.C.; Baker, R.T.K.; Horsley, J.A. Strong Interactions in Supported-Metal Catalysts. Science 1981, 211, 1121–1125. [Google Scholar] [CrossRef] [PubMed]
- Wang, L.; Yi, Y.; Guo, H.; Tu, X. Atmospheric Pressure and Room Temperature Synthesis of Methanol through Plasma-Catalytic Hydrogenation of CO2. ACS Catal. 2017, 8, 90–100. [Google Scholar] [CrossRef]
- Liao, F.; Huang, Y.; Ge, J.; Zheng, W.; Tedsree, K.; Collier, P.; Hong, X.; Tsang, S.C. Morphology-Dependent Interactions of ZnO with Cu Nanoparticles at the Materials’ Interface in Selective Hydrogenation of CO2 to CH3OH. Angew. Chemie Int. Ed. 2011, 50, 2162–2165. [Google Scholar] [CrossRef]
- Meunier, F.C. Mixing Copper Nanoparticles and ZnO Nanocrystals: A Route towards Understanding the Hydrogenation of CO2 to Methanol? Angew. Chem. Int. Ed. 2011, 50, 4053–4054. [Google Scholar] [CrossRef] [PubMed]
- Li, M.M.-J.; Tsang, S.C.E. Bimetallic catalysts for green methanol production via CO2 and renewable hydrogen: A mini-review and prospects. Catal. Sci. Technol. 2018, 8, 3450–3464. [Google Scholar] [CrossRef]
- Ling, X.; Wang, G.; Han, J.; Wang, L.; Yu, J.; Mao, D. Solvent effects on the preparation of CuO-ZnO-ZrO2-Al2O3 catalyst by citrate complexing method for CO2 hydrogenation to methanol. Fuel 2025, 382, 133653. [Google Scholar] [CrossRef]
- Samson, K.; Śliwa, M.; Socha, R.P.; Góra-Marek, K.; Mucha, D.; Rutkowska-Zbik, D.; Paul, J.-F.; Ruggiero-Mikołajczyk, M.; Grabowski, R.; Słoczyński, J. Influence of ZrO2 Structure and Copper Electronic State on Activity of Cu/ZrO2 Catalysts in Methanol Synthesis from CO2. ACS Catal. 2014, 4, 3730–3741. [Google Scholar] [CrossRef]
- Conrad, F.; Massue, C.; Kühl, S.; Kunkes, E.; Girgsdies, F.; Kasatkin, I.; Zhang, B.; Friedrich, M.; Luo, Y.; Armbrüster, M.; et al. Microwave-hydrothermal synthesis and characterization of nanostructured copper substituted ZnM2O4 (M = Al, Ga) spinels as precursors for thermally stable Cu catalysts. Nanoscale 2012, 4, 2018. [Google Scholar] [CrossRef]
- Liu, T.; Xu, D.; Wu, D.; Liu, G.; Hong, X. Spinel ZnFe2O4 Regulates Copper Sites for CO2 Hydrogenation to Methanol. ACS Sustain. Chem. Eng. 2021, 9, 4033–4041. [Google Scholar] [CrossRef]
- Kühl, S.; Schumann, J.; Kasatkin, I.; Hävecker, M.; Schlögl, R.; Behrens, M. Ternary and quaternary Cr or Ga-containing ex-LDH catalysts—Influence of the additional oxides onto the microstructure and activity of Cu/ZnAl2O4 catalysts. Catal. Today 2015, 246, 92–100. [Google Scholar] [CrossRef]
- Conrad, F.; Zhou, Y.; Yulikov, M.; Hametner, K.; Weyeneth, S.; Jeschke, G.; Günther, D.; Grunwaldt, J.; Patzke, G.R. Microwave-Hydrothermal Synthesis of Nanostructured Zinc-Copper Gallates. Eur. J. Inorg. Chem. 2010, 2010, 2036–2043. [Google Scholar] [CrossRef]
- Rungtaweevoranit, B.; Baek, J.; Araujo, J.R.; Archanjo, B.S.; Choi, K.M.; Yaghi, O.M.; Somorjai, G.A. Copper Nanocrystals Encapsulated in Zr-based Metal-Organic Frameworks for Highly Selective CO2 Hydrogenation to Methanol. Nano Lett. 2016, 16, 7645–7649. [Google Scholar] [CrossRef] [PubMed]
- Yang, Q.; Xu, Q.; Jiang, H.L. Metal-organic frameworks meet metal nanoparticles: Synergistic effect for enhanced catalysis. Chem. Soc. Rev. 2017, 46, 4774–4808. [Google Scholar] [CrossRef] [PubMed]
- Kobayashi, H.; Taylor, J.M.; Mitsuka, Y.; Ogiwara, N.; Yamamoto, T.; Toriyama, T.; Matsumura, S.; Kitagawa, H. Charge transfer dependence on CO2 hydrogenation activity to methanol in Cu nanoparticles covered with metal-organic framework systems. Chem. Sci. 2019, 10, 3289–3294. [Google Scholar] [CrossRef]
- Frontera, P.; Macario, A.; Ferraro, M.; Antonucci, P. Supported Catalysts for CO2 Methanation: A Review. Catalysts 2017, 7, 59. [Google Scholar] [CrossRef]
- Pasupulety, N.; Driss, H.; Abobakor, Y.; Ahmed, A.; Daous, M.A.; Petrov, L. Applied Catalysis A: General Studies on Au / Cu–Zn–Al catalyst for methanol synthesis from CO2. Applied Catal. A Gen. 2015, 504, 308–318. [Google Scholar] [CrossRef]
- Zheng, J.; Lebedev, K.; Wu, S.; Huang, C.; Ayvall, T.; Wu, T.S.; Li, Y.; Ho, P.L.; Soo, Y.L.; Kirkland, A.; et al. High Loading of Transition Metal Single Atoms on Chalcogenide Catalysts. J. Am. Chem. Soc. 2021, 143, 7979–7990. [Google Scholar] [CrossRef]
- Du, J.; Zhang, Y.; Wang, K.; Ding, F.; Jia, S.; Liu, G.; Tan, L. Investigation on the promotional role of Ga2O3 on the CuO–ZnO/HZSM-5 catalyst for CO2 hydrogenation. RSC Adv. 2021, 11, 14426–14433. [Google Scholar] [CrossRef]
- Schumann, J.; Eichelbaum, M.; Lunkenbein, T.; Thomas, N.; Consuelo, M.; Galva, A.; Schlo, R.; Behrens, M. Promoting Strong Metal Support Interaction: Doping ZnO for Enhanced Activity of Cu/ZnO:M (M = Al, Ga, Mg) Catalysts. ACS Catal. 2015, 5, 3260–3270. [Google Scholar] [CrossRef]
- Sharma, S.K.; Paul, B.; Pal, R.S.; Bhanja, P.; Banerjee, A.; Samanta, C.; Bal, R. Influence of Indium as a Promoter on the Stability and Selectivity of the Nanocrystalline Cu/CeO2 Catalyst for CO2 Hydrogenation to Methanol. ACS Appl. Mater. Interfaces 2021, 13, 28201–28213. [Google Scholar] [CrossRef] [PubMed]
- Guo, X.; Mao, D.; Lu, G.; Wang, S.; Wu, G. The influence of la doping on the catalytic behavior of Cu/ZrO2 for methanol synthesis from CO2 hydrogenation. J. Mol. Catal. A Chem. 2011, 345, 60–68. [Google Scholar] [CrossRef]
- Ban, H.; Li, C.; Asami, K.; Fujimoto, K. Influence of rare-earth elements (La, Ce, Nd and Pr) on the performance of Cu/Zn/Zr catalyst for CH3OH synthesis from CO2. Catal. Commun. 2014, 54, 50–54. [Google Scholar] [CrossRef]
- Kourtelesis, M.; Kousi, K.; Kondarides, D.I. CO2 Hydrogenation to Methanol over La2O3-Promoted CuO/ZnO/Al2O3 Catalysts: A Kinetic and Mechanistic Study. Catalysts 2020, 10, 183. [Google Scholar] [CrossRef]
- Jeong, E.; Hee, Y.; Lee, D.; Moon, D.; Lee, K. Hydrogenation of CO2 to methanol over Pd–Cu/CeO2 catalysts. Mol. Catal. 2023, 434, 146–153. [Google Scholar] [CrossRef]
- Luk, H.T.; Mondelli, C.; Ferré, D.C.; Stewart, J.A.; Pérez-Ramírez, J. Status and prospects in higher alcohols synthesis from syngas. Chem. Soc. Rev. 2017, 46, 1358–1426. [Google Scholar] [CrossRef] [PubMed]
- Bowker, M.; Lawes, N.; Gow, I.; Hayward, J.; Esquius, J.R.; Richards, N.; Smith, L.R.; Slater, T.J.A.; Davies, T.E.; Dummer, N.F.; et al. The Critical Role of βpdZn Alloy in Pd/ZnO Catalysts for the Hydrogenation of Carbon Dioxide to Methanol. ACS Catal. 2022, 12, 5371–5379. [Google Scholar] [CrossRef]
- Martin, O.; Mondelli, C.; Curulla-ferre, D.; Drouilly, C.; Hauert, R.; Pe, J. Zinc-Rich Copper Catalysts Promoted by Gold for Methanol Synthesis. ACS Catal. 2015, 5, 5607–5616. [Google Scholar] [CrossRef]
- He, Q.; Li, Z.; Li, D.; Ning, F.; Wang, Q.; Liu, W.; Zhang, W.; Cui, Y.; Zhang, J.; Liu, C. Mg enhanced the performance of Cu/ZnO/ZrO2 for CO2 hydrogenation to methanol and the mechanism investigation. Mol. Catal. 2024, 558, 114008. [Google Scholar] [CrossRef]
- Oshima, K.; Honma, Y.; Kinoshita, K.; Gao, Z.; Honma, T.; Tada, S.; Satokawa, S. Mechanochemical Effect in Mixing Sponge Copper with Amorphous ZrO2 Creates Effective Active Sites for Methanol Synthesis by CO2 Hydrogenation. J. Phys. Chem. C 2021, 125, 8155–8162. [Google Scholar] [CrossRef]
- Dai, W.; Meng, X.; Xu, B.; Zhao, R.; Jin, D.; Xu, F.; Yang, D.; Xin, Z. Effect of Reflux Time on the Performance of the Cu/ZrO2 Catalyst for CO2 Hydrogenation to Methanol. ACS Appl. Energy Mater. 2023, 6, 9417–9426. [Google Scholar] [CrossRef]
- Chen, S.; Zhang, J.; Song, F.; Zhang, Q.; Yang, G.; Zhang, M.; Wang, X.; Xie, H.; Tan, Y. Induced high selectivity methanol formation during CO2 hydrogenation over a CuBr2-modified CuZnZr catalyst. J. Catal. 2020, 389, 47–59. [Google Scholar] [CrossRef]
- Xu, D.; Hong, X.; Liu, G. Highly dispersed metal doping to ZnZr oxide catalyst for CO2 hydrogenation to methanol: Insight into hydrogen spillover. J. Catal. 2021, 393, 207–214. [Google Scholar] [CrossRef]
- Mureddu, M.; Lai, S.; Atzori, L.; Rombi, E.; Ferrara, F.; Pettinau, A.; Cutrufello, M.G. Ex-ldh-based catalysts for CO2 conversion to methanol and dimethyl ether. Catalysts 2021, 11, 615. [Google Scholar] [CrossRef]
- Pasupulety, N.; Al-Zahrani, A.A.; Daous, M.A.; Podila, S.; Driss, H. A study on highly active Cu-Zn-Al-K catalyst for CO2 hydrogenation to methanol. Arab. J. Chem. 2021, 14, 102951. [Google Scholar] [CrossRef]
- Bansode, A.; Urakawa, A. Towards full one-pass conversion of carbon dioxide to methanol and methanol-derived products. J. Catal. 2014, 309, 66–70. [Google Scholar] [CrossRef]
- Gaikwad, R.; Bansode, A.; Urakawa, A. High-pressure advantages in stoichiometric hydrogenation of carbon dioxide to methanol. J. Catal. 2016, 343, 127–132. [Google Scholar] [CrossRef]
- Le Valant, A.; Comminges, C.; Tisseraud, C.; Canaff, C.; Pinard, L.; Pouilloux, Y. The Cu–ZnO synergy in methanol synthesis from CO2, Part 1: Origin of active site explained by experimental studies and a sphere contact quantification model on Cu + ZnO mechanical mixtures. J. Catal. 2015, 324, 41–49. [Google Scholar] [CrossRef]
- Arena, F.; Barbera, K.; Italiano, G.; Bonura, G.; Spadaro, L.; Frusteri, F. Synthesis, characterization and activity pattern of Cu–ZnO/ZrO2 catalysts in the hydrogenation of carbon dioxide to methanol. J. Catal. 2007, 249, 185–194. [Google Scholar] [CrossRef]
- Raudaskoski, R.; Niemelä, M.V.; Keiski, R.L. The effect of ageing time on co-precipitated Cu/ZnO/ZrO2 catalysts used in methanol synthesis from CO2 and H2. Top. Catal. 2007, 45, 57–60. [Google Scholar] [CrossRef]
- Frei, E.; Schaadt, A.; Ludwig, T.; Hillebrecht, H.; Krossing, I. The Influence of the Precipitation/Ageing Temperature on a Cu/ZnO/ZrO2 Catalyst for Methanol Synthesis from H2 and CO2. ChemCatChem 2014, 6, 1721–1730. [Google Scholar] [CrossRef]
- Witoon, T.; Chalorngtham, J.; Dumrongbunditkul, P.; Chareonpanich, M.; Limtrakul, J. CO2 hydrogenation to methanol over Cu/ZrO 2 catalysts: Effects of zirconia phases. Chem. Eng. J. 2016, 293, 327–336. [Google Scholar] [CrossRef]
- Angelo, L.; Kobl, K.; Tejada, L.M.M.; Zimmermann, Y.; Parkhomenko, K.; Roger, A.-C. Study of CuZnMOx oxides (M = Al, Zr, Ce, CeZr) for the catalytic hydrogenation of CO2 into methanol. Comptes Rendus. Chim. 2015, 18, 250–260. [Google Scholar] [CrossRef]
- Kanuri, S.; Singh, S.A.; Dinda, S. Prominence of Fe on Cu/ZnO/ZrO2 catalyst for methanol synthesis from CO2: Material preparation, performance demonstration, and kinetic analysis. Chem. Eng. Sci. 2024, 286, 119661. [Google Scholar] [CrossRef]
- Liu, X.M.; Yan, Z.F.; Lu, G.Q. Role of nanosized zirconia on the properties of Cu/Ga2O 3/ZrO2 catalysts for methanol synthesis. Chinese J. Chem. 2006, 24, 172–176. [Google Scholar] [CrossRef]
- Fornero, E.L.; Sanguineti, P.B.; Chiavassa, D.L.; Bonivardi, A.L.; Baltanás, M.A. Performance of ternary Cu–Ga2O3–ZrO2 catalysts in the synthesis of methanol using CO2-rich gas mixtures. Catal. Today 2013, 213, 163–170. [Google Scholar] [CrossRef]
- Tidona, B.; Koppold, C.; Bansode, A.; Urakawa, A.; Rudolf Von Rohr, P. CO2 hydrogenation to methanol at pressures up to 950 bar. J. Supercrit. Fluids 2013, 78, 70–77. [Google Scholar] [CrossRef]
- Zhan, H.; Li, F.; Gao, P.; Zhao, N.; Xiao, F.; Wei, W.; Zhong, L.; Sun, Y. Methanol synthesis from CO2 hydrogenation over La-M-Cu-Zn-O (M = Y, Ce, Mg, Zr) catalysts derived from perovskite-type precursors. J. Power Sources 2014, 251, 113–121. [Google Scholar] [CrossRef]
- Angelo, L.; Girleanu, M.; Ersen, O.; Serra, C.; Parkhomenko, K.; Roger, A.C. Catalyst synthesis by continuous coprecipitation under micro-fluidic conditions: Application to the preparation of catalysts for methanol synthesis from CO2/H2. Catal. Today 2016, 270, 59–67. [Google Scholar] [CrossRef]
- Fujitani, T.; Saito, M.; Kanai, Y.; Watanabe, T.; Nakamura, J.; Uchijima, T. Development of an active Ga2O3 supported palladium catalyst for the synthesis of methanol from carbon dioxide and hydrogen. Appl. Catal. A Gen. 1995, 125, L199–L202. [Google Scholar] [CrossRef]
- Behrens, M.; Studt, F.; Kasatkin, I.; Kühl, S.; Hävecker, M.; Abild-Pedersen, F.; Zander, S.; Girgsdies, F.; Kurr, P.; Kniep, B.-L.; et al. The Active Site of Methanol Synthesis over Cu/ZnO/Al 2 O 3 Industrial Catalysts. Science 2012, 336, 893–897. [Google Scholar] [CrossRef]
- Nakamura, J.; Fujitani, T.; Kuld, S.; Helveg, S.; Chorkendorff, I.; Sehested, J. Comment on “Active sites for CO2 hydrogenation to methanol on Cu/ZnO catalysts”. Science 2017, 357, eaan8074. [Google Scholar] [CrossRef] [PubMed]
- Muhler, M.; Nielsen, L.P.; Törnqvist, E.; Clausen, B.S.; Topsøe, H. Temperature-programmed desorption of H2 as a tool to determine metal surface areas of Cu catalysts. Catal. Letters 1992, 14, 241–249. [Google Scholar] [CrossRef]
- Amann, P.; Klötzer, B.; Degerman, D.; Köpfle, N.; Götsch, T.; Lömker, P.; Rameshan, C.; Ploner, K.; Bikaljevic, D.; Wang, H.Y.; et al. The state of zinc in methanol synthesis over a Zn/ZnO/Cu(211) model catalyst. Science 2022, 376, 603–608. [Google Scholar] [CrossRef]
- Jiang, X.; Koizumi, N.; Guo, X.; Song, C. Bimetallic Pd–Cu catalysts for selective CO2 hydrogenation to methanol. Appl. Catal. B Environ. 2015, 170–171, 173–185. [Google Scholar] [CrossRef]
- Nie, X.; Li, W.; Jiang, X.; Guo, X.; Song, C. Chapter Two—Recent advances in catalytic CO2 hydrogenation to alcohols and hydrocarbons. In Advances in Catalysis; Song, C., Ed.; Academic Press: Cambridge, MA, USA, 2019; Volume 65, pp. 121–233. [Google Scholar]
- Nie, X.; Jiang, X.; Wang, H.; Luo, W.; Janik, M.J.; Chen, Y.; Guo, X.; Song, C. Mechanistic Understanding of Alloy Effect and Water Promotion for Pd-Cu Bimetallic Catalysts in CO2 Hydrogenation to Methanol. ACS Catal. 2018, 8, 4873–4892. [Google Scholar] [CrossRef]
- Lin, F.; Jiang, X.; Boreriboon, N.; Wang, Z.; Song, C.; Cen, K. Effects of supports on bimetallic Pd-Cu catalysts for CO2 hydrogenation to methanol. Appl. Catal. A Gen. 2019, 585, 117210. [Google Scholar] [CrossRef]
- Wambach, J.; Baiker, A.; Wokaun, A. CO2 hydrogenation over metal/zirconia catalysts. Phys. Chem. Chem. Phys. 1999, 1, 5071–5080. [Google Scholar] [CrossRef]
- Li, L.; Mao, D.; Yu, J.; Guo, X. Highly selective hydrogenation of CO2 to methanol over CuO–ZnO–ZrO2 catalysts prepared by a surfactant-assisted co-precipitation method. J. Power Sources 2015, 279, 394–404. [Google Scholar] [CrossRef]
- Graciani, J.; Mudiyanselage, K.; Xu, F.; Baber, A.E.; Evans, J.; Senanayake, S.D.; Stacchiola, D.J.; Liu, P.; Hrbek, J.; Sanz, J.F.; et al. Highly active copper-ceria and copper-ceria-titania catalysts for methanol synthesis from CO2. Science 2014, 345, 546–550. [Google Scholar] [CrossRef] [PubMed]
Disclaimer/Publisher’s Note: The statements, opinions and data contained in all publications are solely those of the individual author(s) and contributor(s) and not of MDPI and/or the editor(s). MDPI and/or the editor(s) disclaim responsibility for any injury to people or property resulting from any ideas, methods, instructions or products referred to in the content. |
© 2025 by the authors. Licensee MDPI, Basel, Switzerland. This article is an open access article distributed under the terms and conditions of the Creative Commons Attribution (CC BY) license (https://creativecommons.org/licenses/by/4.0/).








