Abstract
Titanium alloy is widely used as a biomaterial due to its strength, lightweight nature, and corrosion resistance. Despite its strength and lightweight nature, its low wear resistance limits its uses in prosthetic components. Laser surface texturing (LST) was used to improve the wear resistance of titanium alloys by creating textured surfaces before applying protective coatings. A biocompatible TiN composite protective coating was applied using physical vapour deposition (PVD) with a thickness of 4 µm. Response surface methodology (RSM) was used to predict the tribological properties by varying input parameters such as material type (TI, T2, T3, and T4), load in N, and sliding velocity in m/s. A pin-on-disc tribometer was used to conduct a unidirectional sliding wear test based on the RSM design. Tribological properties were studied to determine the impact of laser texturing on the bonding strength of the coating. As a result, material type T4 exhibits an improved coefficient of friction and specific wear resistance under varying sliding velocity and load conditions compared to other material types. The study was further supported by an ANSYS simulation, which revealed stress reduction affecting the coefficient of friction and, consequently, wear. The textured surface topography, wear mechanisms, and coating compositions were examined using scanning electron microscopy.
1. Introduction
In recent decades, there has been an increase in joint replacements due to accidental injuries and injuries sustained by soldiers. As a result, biomaterials have gained significant recognition as artificial and natural materials used to replace lost or diseased biological structures, thereby restoring both form and function. These biomaterials are classified into three categories based on the body’s response: biotolerant, bioactive, and bioinert materials. Bioactive materials are commonly preferred for joint replacements because of their superior bone integration and biocompatibility [1,2,3,4]. Metallic biomaterials, such as 316L stainless steel, cobalt chromium alloy, magnesium alloy, and titanium alloy, are primarily utilized in load-bearing applications. Among these, titanium alloys, particularly the Ti6Al4V alloy, stand out in the aerospace and biomedical industries due to their favourable combination of high strength, low density, and corrosion resistance [5,6]. Although Ti6Al4V has a lower Young’s modulus (55–110 GPa) compared to stainless steel (210 GPa) and cobalt–chromium alloys (240 GPa), it is still higher than that of human cortical bone (10–30 GPa), causing stress shielding and bone resorption [7]. Despite its strength and low density, Ti6Al4V has poor wear resistance, which limits its use in high-friction environments. Additionally, the presence of vanadium and aluminium in the alloy has been linked to the potential development of Alzheimer’s disease for long-term implants [8,9]. To address these limitations, two approaches can be explored: 1. The introduction of new beta-type materials by incorporating tantalum (Ta), zirconium (Zr), and niobium (Nb) can reduce the release of toxic substances into the body and improve cell viability and growth rates compared to Ti6Al4V [10,11]. 2. Implementing various surface modification techniques can enhance the tribological properties of Ti6Al4V. These techniques aim to improve osseointegration and antibacterial properties by altering surface characteristics. Surface modification methods—such as physical, chemical, mechanical, and oxygen hardening—can improve biocompatibility, wear resistance, and corrosion resistance [12,13,14]. One mechanical surface modification technique, known as laser surface texturing, involves creating specific patterns on the surface that can influence friction and wear characteristics. Laser surface texturing enhances tribological performance by modifying surface topography, which impacts lubrication retention and wear debris management. Textured surfaces can act as reservoirs for lubricants, reducing friction and wear during sliding conditions [15,16,17,18]. Studies have shown that textured surfaces exhibit lower friction coefficients than their untextured counterparts, particularly under lubricated conditions [19]. Coatings such as ZrO2, TiC, and TiXN provide enhanced wear resistance due to their higher hardness and lower elastic modulus. Additionally, titanium nitride (TiN) demonstrates favourable biocompatibility when utilized as a surface modification for titanium implants. The plasma nitriding process introduces nitrogen to titanium alloy surfaces, forming TiN or Ti2N compounds. TiN shows good corrosion resistance and increased hardness compared to untreated base materials when applied as a coating. Recent studies have indicated that ZrN and TiN coatings on titanium enhance not only the mechanical properties but also antibacterial activity and cytotoxicity, making them suitable for biomedical applications [20,21,22,23,24,25]. Under similar testing conditions, TiN-coated Ti6Al4V samples generally exhibit superior tribological performance compared to uncoated surfaces, largely due to the coating’s inherent hardness and lubrication capabilities [26,27]. The findings suggest that combining laser texturing with TiN coating generates synergistic effects that enhance overall performance, compared to using each approach independently. This synergy can be attributed to improving the mechanical advantages of both surface modifications [28,29]. Response surface methodology (RSM) is a set of mathematical and statistical techniques used to predict tool life, surface roughness, wear resistance, and other similar factors [30,31,32]. Predictive modelling tools, such as artificial neural networks (ANNs) and regression techniques, have proven to be valuable for understanding the complex interactions involved in these processes [33,34,35]. The Finite Element Method (FEM) serves as a foundational tool for simulating the tribological behaviour of engineering materials. ANSYS software is widely used for conducting wear analysis through FEM, which enables researchers to approach complex contact problems with improved accuracy [21,36,37,38]. This study investigates the enhancement of tribological performance in Ti6Al4V alloy surfaces through laser texturing and TiN (titanium nitride) coating. It focuses on understanding how surface topography affects friction and wear behaviour compared to untextured and uncoated surfaces. To evaluate the friction coefficient and specific wear rate, a pin-on-disc sliding wear tribometer test was conducted on laser-textured TiN-coated Ti6Al4V alloy surfaces, as well as on untextured uncoated surfaces, textured uncoated surfaces, and untextured TiN-coated surfaces. The surface morphology and topography of the laser-textured TiN-coated, laser-textured uncoated, and untextured TiN-coated Ti6Al4V alloy surfaces were analysed using scanning electron microscopy (SEM), atomic force microscopy (AFM), and a surface roughness tester. Additionally, the microstructure and phase composition of the TiN coating were examined using energy-dispersive X-ray spectroscopy (EDX). To determine the impact of various input parameters—such as applied load (in N) and sliding velocity (in m/s)—on friction and wear rates, a response surface methodology (RSM) study was performed. Furthermore, a simulated study was conducted using ANSYS software to explore the effects of laser texturing and TiN coating on the Ti6Al4V surfaces. Integrating laser surface texturing with TiN coatings on Ti6Al4V alloy surfaces represents a promising approach for enhancing tribological performance.
2. Experimentation
A comparative analysis was conducted on four categories of Ti6Al4V alloy, each with distinct surface modifications. Table 1 presents the names of the alloy specimens and their corresponding surface modification techniques. The experimental work encompassed all four categories to examine the impact of texturing and coating on the Ti6Al4V alloy.
Table 1.
Specimen categories.
2.1. Material Preparation
Titanium alloy Ti6Al4V grade 5 alloy was sourced in the form of a rod from M/s Prashanth Steel & Alloy suppliers in Mumbai. The alloy possesses the following chemical composition and mechanical properties, as shown in Table 2 and Table 3. A pin-on-disc tribometer wear test was conducted according to the American Society of Testing Materials (ASTM) standard G99 guidelines, and the cylindrical pins were machined using a wire electrical discharge machining (WEDM) technique to achieve a minimum tolerance. The pins were cut into dimensions of 28 mm × 10 mm, as shown in Figure 1. These dimensions were selected to precisely fit the pin holder in the Ducom Tribometer machine. The facility was supported by the Tribological Research Cell of Sri Venkateswara College of Engineering.
Table 2.
Chemical composition of Ti6Al4V alloy.
Table 3.
Mechanical properties of Ti6Al4V alloy.
Figure 1.
(a) Procured Ti6Al4V alloys, (b) machined specimens with dimensions of 28 mm × 10 mm.
2.2. Methodology
This study presents a comparative investigation of four different Ti6Al4V alloy specimens, as outlined in Figure 2. Specimen T1 underwent sliding wear testing using a pin-on-disc tribometer to investigate friction and wear. Specimen T2 first underwent surface modification processes, specifically TiN coating applied through physical vapour deposition (PVD), and was subsequently tested for friction and wear using the same pin-on-disc tribometer. Specimen T3 underwent a surface modification process involving laser surface texturing using a laser marking machine before being tested for friction and wear in the tribometer. Lastly, specimen T4 received two surface modification techniques: first, texturing using a laser marking machine, followed by TiN coating through PVD, and then it was tested for friction and wear using the pin-on-disc tribometer.
Figure 2.
Methodology.
2.3. Surface Modification
Achieving optimal bonding strength to a coating is possible through surface texturing. To texture the surface of a machined alloy specimen, cylindrical pins with a 28 mm diameter x 10 mm top surface were used in a laser surface texturing machine (LST). The LST machine specifications are as follows: laser type—diode-pumped Nd: YAG laser; laser power—20 W; laser wavelength—1064 nm; marking field—200 × 200 mm; scanning speed—10,000 mm/sec; operating temperature—0 to 40 °C. The surface was textured using the LST machine on Ti6Al4V alloy with the specified parameters in a single pass. The step-by-step process flow for laser surface texturing is illustrated in Figure 3.
Figure 3.
Process flow of laser surface texturing.
The texturing pattern was designed using AutoCAD software and uploaded in the EZCAD software of the laser surface texturing machine. Using the uploaded image, the LST machine generates a laser beam to create the textured pattern on top of the material surface, as shown in Figure 3. The textured Ti6Al4V alloy surface was coated with a TiN, which is a universally accepted biocompatible coating. The reason for this choice lies in the addition of aluminium, which forms aluminium oxide on the material’s surface. This increases the operational temperature range of the coating. The structure results in an optimal relation of high hardness to residual compressive stress, preventing any form of erosion to the inner layers of these compounds and improving the elastic modulus [20,21,22]. PVD techniques were used to create the TiN coating with a thickness of 4 µm, facilitated by Oerlikon Balzers Coating India Private Limited, Chennai. PVD coating techniques were chosen for their hardness, wear and corrosion resistance, more uniform deposition, improved adhesion, and environmental friendliness. Surface modification (surface texturing and TiN coating) on the Ti6Al4V alloy specimens is shown in Figure 4.
Figure 4.
Ti6Al4V—textured uncoated; Ti6Al4V—untextured TiN-coated; Ti6Al4V—textured TiN-coated.
2.4. Pin-on-Disc Tribometer
The dry sliding wear test was conducted using a Ducom TR-20 pin-on-disc tribometer, as shown in Figure 5. The tribometer’s specifications are as follows: pin specimen holder diameter: 8 mm, 10 mm, and 12 mm; disc size: 165 mm × 8 mm; wear track diameter: 50 mm–130 mm; disc speed: 200–2000 rpm; normal load: 0.5–20 Kg; frictional force: 0–200 N; wear: 0–2000 µm.
Figure 5.
Pin-on-disc tribometer.
Experimental work was conducted under the conditions shown in Table 4 using a pin-on-disc tribometer to obtain tribological properties such as friction and wear rate.
Table 4.
Testing parameters.
Bergmann et al. (2014) discussed the load distribution on the knee concerning the body weight conversion factor (minimum 1.5 times) of the person under various conditions such as walking on a flat surface, inclined surface, and step walking [39]. The load acting on the knee sliding area was calculated by considering the average knee sliding area of 850.15 mm2 and the average body weight of a human being of 539.55 N [40,41]. To calculate the load acting on the pin surface, the pin area (78.55 mm2) was multiplied by the average body weight of a human and divided by the knee sliding area of 850.15 mm2. According to these data, the knee experiences a load of 60 N, 80 N, and 100 N. A 60 N load represents low-to-moderate joint loads and physical activity such as standing or walking, allowing for an evaluation of implant performance under minimal loading conditions. An 80 N load simulates moderate joint loads, typical of daily activities like climbing stairs or squatting, bridging the gap between low and high loads and providing an intermediate testing condition. A 100 N load represents high joint loads, simulating strenuous activities like running or jumping, and enables the assessment of implant performance under extreme loading conditions (Liu et al. 2021). Experimentally, the linear sliding speeds were determined to be 1.2 m/s during walking and 3.2 m/s during running using a portable motion analysis system among a group of athletes [42].
For the experiment, Ti6Al4V alloy specimens (T1, T2, T3, and T4) were placed on a rotating disc of EN8 material and exposed to varying loads (60 N, 80 N, and 100 N) and sliding velocities (1.25 m/s, 2.1 m/s, and 3.2 m/s) at room temperature. Data-acquisition systems were connected to record and monitor the values of frictional force and sliding distance in meters over a specific period. The recorded values obtained from the data-acquisition system were used to determine the coefficient of friction and specific wear.
3. Numerical Methods
3.1. Simulation Using ANSYS
Wear analysis using the simulation software Ansys Workbench 2018 provides valuable insights into the mechanical behaviour of titanium alloys under tribological conditions. Figure 6 shows the step-by-step procedure for performing an ANSYS simulation for the pin-on-disc tribometer wear test. The results can be used to optimise the material operating conditions to minimise wear performance.
Figure 6.
Steps to perform ANSYS simulation.
3.2. Design of Experiments Using RSM
The analysis of the mathematical model is used to study the responses based on different input factor combinations and to predict the output responses. RSM is a powerful statistical technique used to design experiments and predict models related to surface modification [11,12,13]. In the present study, RSM was used as a statistical analysis tool to predict the output response. Table 5 shows the factors considered for this statistical research, where applied load and sliding velocity are numeric, and specimen type is a categorical factor. The response parameters considered were specific wear rate and coefficient of friction.
Table 5.
Testing parameters and their levels for RSM.
4. Result and Discussion
4.1. Analysis of Surface Characterisation
4.1.1. Atomic Force Microscopy (AFM)
The atomic force microscopy (AFM) images provided in Figure 7a offer detailed insights into the surface topography of the coated sample. In Figure 7b, showing the surface topography of the coated sample, the image represents a 2D topographical map of the coated surface. The colour gradient indicates the height variations across the sample’s surface, with darker regions corresponding to lower areas and lighter regions representing higher areas. The surface appears relatively smooth with uniform features, typical of a high-quality coating.
Figure 7.
TiN-coated Ti6Al4V alloy surface: (a) 2D image of coated surface; (b) histogram image; and (c) Abbott–Firestone curve.
The graph in Figure 7c provides a quantitative analysis of the surface topography, indicating the distribution of surface heights across the sample. Most of the surface height is concentrated around a narrow range, indicating a relatively smooth surface with minor height variations.
The overall trend is relatively stable, reflecting the uniformity of the DLC coating. The AFM results provide valuable information regarding the surface quality and uniformity of the coating.
4.1.2. Scanning Electron Microscope
This study conducted scanning electron microscope (SEM) analyses on all experimentally tested samples. The results of the SEM analysis, both before and after the wear tests, for the samples T1, T2, T3, and T4 are presented in Figure 8a–h. The T1 samples exhibited the maximum wear rate and the highest amount of wear debris, as shown in Figure 8b. In comparison, the T2 sample, which features a TiN coating applied to the Ti6Al4V alloy surface, demonstrated a lower wear rate than the T1 sample, as illustrated in Figure 8d. The T3 sample, which has a textured Ti6Al4V alloy surface, showed more wear debris than the T2 sample but less than the T1 sample, as seen in Figure 8f. Finally, the T4 sample, which consists of a laser-textured TiN coating on the Ti6Al4V alloy surface, exhibited a comparatively lower wear rate and less wear debris than the T1, T2, and T3 samples.

Figure 8.
SEM images of Ti6Al4V alloy: (a) T1 before wear test, (b) T1 after wear test, (c) T2 before wear test, (d) T2 after wear test, (e) T3 before wear test, (f) T3 after wear test, (g) T4 before wear test, (h) T4 after wear test.
4.1.3. Energy-Dispersive X-Ray Spectroscopy (EDX)
This study conducted energy dispersive X-ray (EDX) analyses on all experimental specimens to determine their elemental composition. Figure 9a presents the EDX analysis results for the T1 specimen before the wear test, which shows only a trace of the base material element composition on the surface of the Ti6Al4V alloy. Figure 9b displays the EDX analysis results for the T2 specimen before the wear test, revealing a trace of the TiN-coated element composition on the Ti6Al4V alloy’s surface. Finally, Figure 9c illustrates the EDX analysis results for the T4 specimen after the wear test, which shows traces of both the base material and the TiN-coated element composition on the surface of the Ti6Al4V alloy.

Figure 9.
EDX analysis: (a) T1 specimen, (b) T2 specimen, and (c) T4 specimen after wear test.
4.2. Coefficient of Friction
The coefficient of friction of the experimental samples (T1, T2, T3, and T4) was compared against varying applied loads of 60 N, 80 N, and 100 N, as shown in Figure 10. As the load in the normal direction increases, the coefficient of friction (COF) also increases for both coated and uncoated conditions and textured and untextured conditions. The texturing and coating material interaction on the counter body disc significantly reduces the friction coefficient. Bahi et al.’s research [27] revealed that the COF of a TiN/TiO2 multilayer coating on a Ti6Al4V alloy fluctuates and becomes less stable as the sliding distance increases. The same was observed in our study, where the average COF for the reference sample is greater than that of a modified sample such as the textured and coated with TiN sample, which exhibits a lower COF, as shown in Figure 8. Additionally, increasing sliding velocity decreases the coefficient of friction for all load-applied conditions, as shown in Figure 8b–d. This decreasing trend in the coefficient of friction may be due to thermal softening, surface smoothing, and tribo-chemical reactions. The coefficient of friction shows a significant deviation with an increase in all load conditions. When a force of 60 N is applied, the T1 specimens show a wider range of friction values, ranging from 0.41 to 0.36, as the sliding velocity increases. On the other hand, the T4 specimens exhibit a narrower range of friction values, varying from 0.29 to 0.27. When the force is increased to 100 N, the trend reverses, with the T4 specimen showing more variation in friction values compared to the T1 specimens. This indicates that the surface-modified specimens are significantly affected by the applied load compared to the reference specimen. In general, textured specimens have higher friction values than coated specimens. Specifically, the T4 specimen—textured and coated with TiN—exhibits a low coefficient of friction. The texturing process creates micro-pockets, reducing the actual contact area between surfaces, which in turn leads to lower friction. Additionally, textures can generate hydrodynamic pressure, improving lubrication and reducing friction. Meanwhile, the coating fills in micro-valleys, reducing surface roughness and friction.
Figure 10.
Friction coefficient for experimentally tested samples: (a) average friction coefficient versus load, (b) friction coefficient versus sliding velocity at 60 N, (c) friction coefficient versus sliding velocity at 80 N, and (d) friction coefficient versus sliding velocity at 100 N.
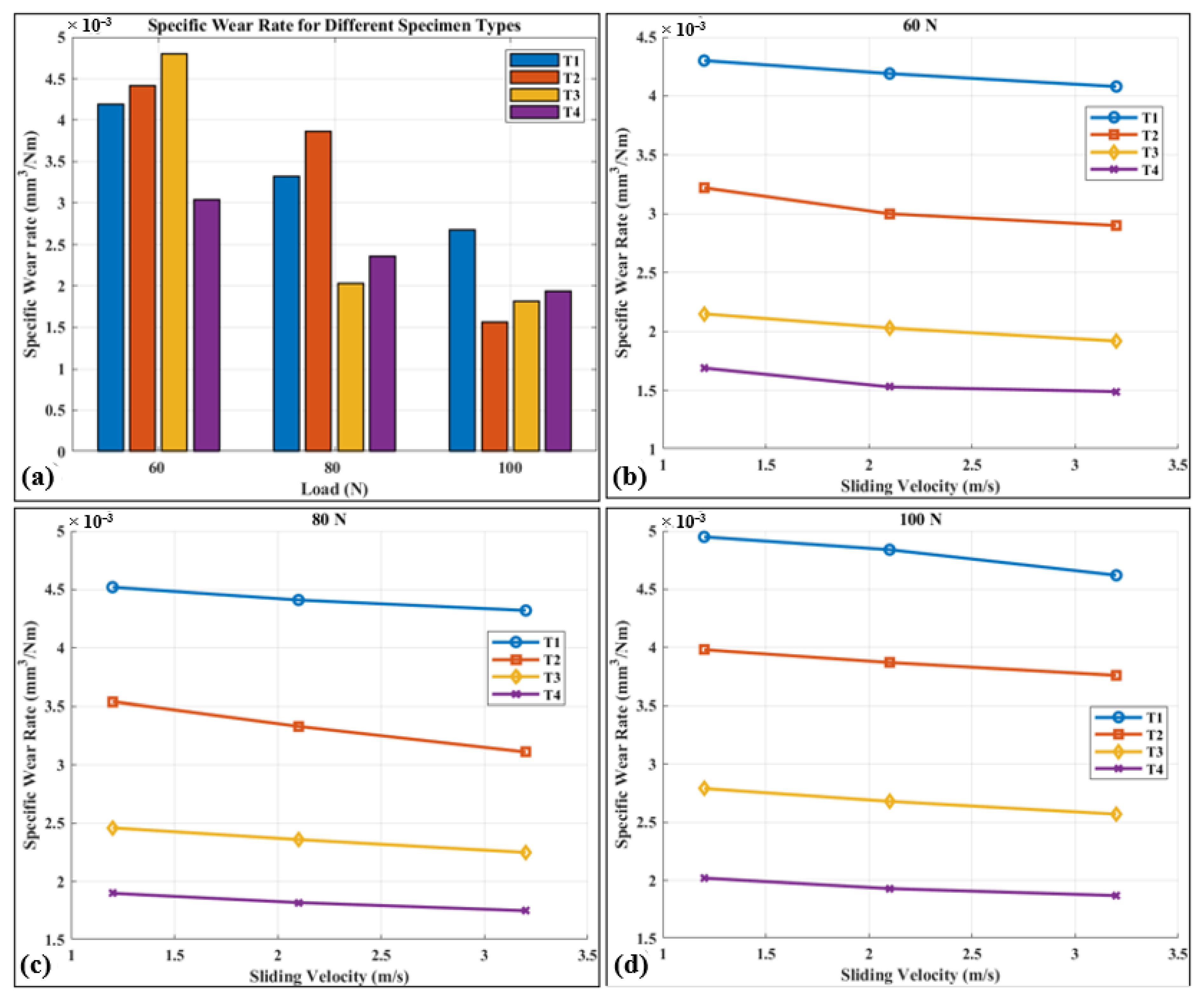
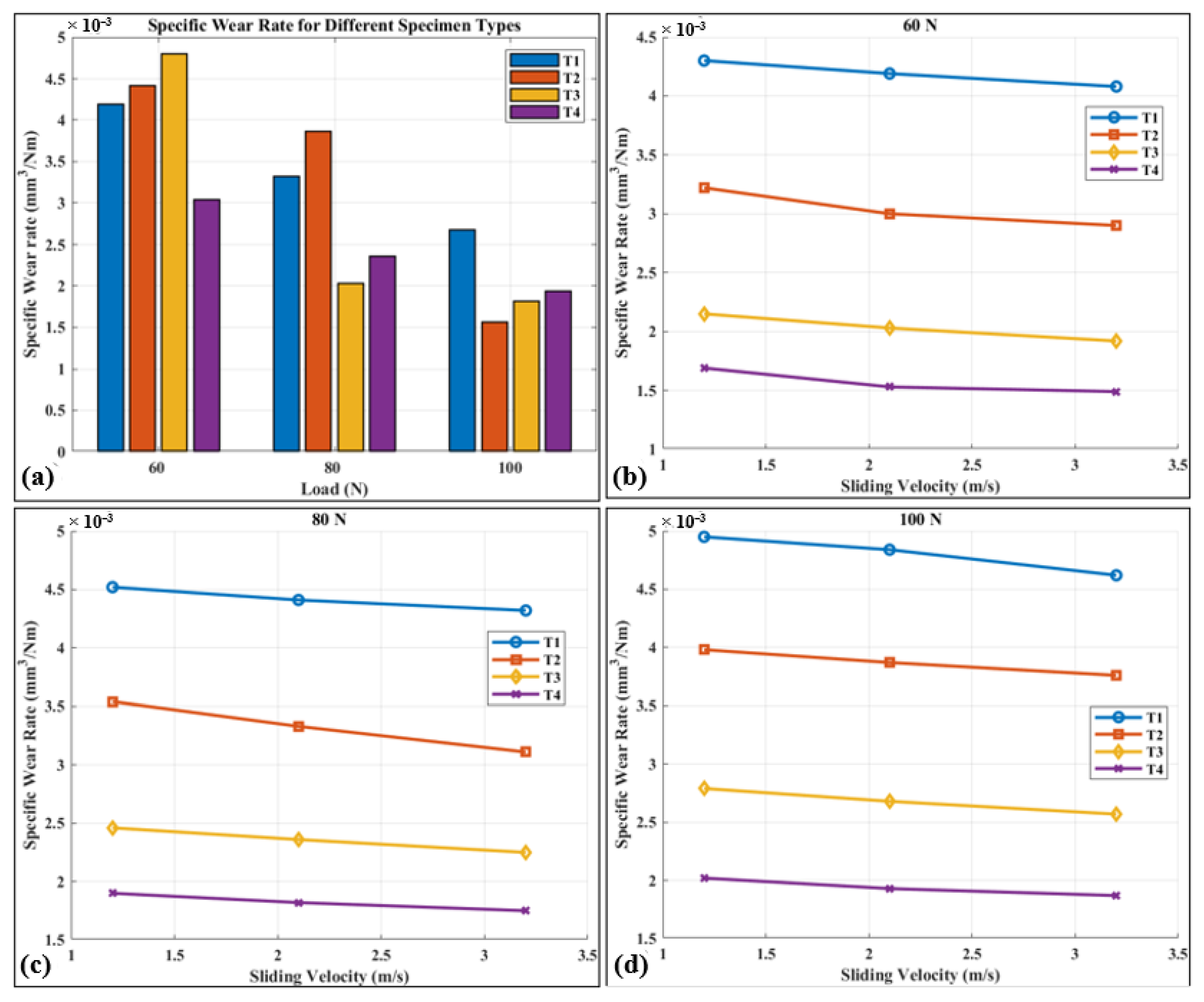
4.3. Specific Wear Rate
The specific wear rate in mm3/N-m is determined through the initial and final mass of the sample in g, the density of the sample in Kg/mm3, the sliding distance of the pin in m, and the normal applied load in N, as shown in Equation (5). The specific wear rate of the experimental samples (T1, T2, T3, and T4) versus the applied load is shown in Figure 11a. T4 specimens exhibit less wear rate compared to other specimens for all load conditions. An increasing sliding velocity exhibits a slightly decreasing specific wear rate at varying load conditions, as shown in Figure 11b–d. The decreasing specific wear rate with increasing sliding distance is due to the higher velocities generating heat, which can lead to the thermal softening of materials and promote the formation of a protective oxide layer reducing metal-to-metal contact. Overall, the textured specimens exhibit less specific wear than the coated specimens due to the texture reducing the number of contact points and subsequently reducing wear.
Figure 11.
Specific wear rate for experimentally tested samples: (a) specific wear rate versus applied load, (b) specific wear rate versus sliding velocity at 60 N, (c) specific wear rate versus sliding velocity at 80 N, and (d) specific wear rate versus sliding velocity at 100 N.
4.4. Surface Roughness Measurement
The surface roughness measurement test was conducted for all specimens (T1, T2, T3, and T4) before the experimental test. The purpose of the test was to determine the surface roughness after the surface had been modified with texturing and coating. Figure 12 presents the surface roughness measurements before the tribological test, which include the parameters for average roughness (Ra), mean roughness (Rz), and root mean square (Rq). Ra measures the average deviation of the surface from the mean line, Rz measures the average distance between the highest peak and the lowest valley, and Rq measures the square root of the average of the squared deviations. The data in Figure 12 show that the mean roughness profile Ra ranges from 0.30 µm to a maximum roughness of 0.56 µm. The Ti6Al4V sample treated with laser surface texturing and TiN coating has higher values for roughness parameters Ra, Rz, and Rq compared to the reference sample of Ti6Al4V. On the other hand, the roughness parameters of the Ti6Al4V sample treated with TiN-coating indicate no significant changes compared to the reference sample. Additionally, the figure indicates that the surfaces treated with laser texturing have higher roughness parameters than the TiN-coated surfaces, indicating that the laser-textured surface possesses more influential parameters than the TiN-coated surface, as shown in Figure 13.
Figure 12.
Surface topography Ti6Al4V alloy samples: (a) T1 specimen, (b) T2 specimen, (c) T3 specimen, and (d) T4 specimen.
Figure 13.
Surface roughness values of T1, T2, T3, and T4.
4.5. Wear Analysis Using Simulation Software
A wear analysis study has been carried out using Ansys simulation software shown in Figure 14. The colour coding of the images shows the stress distribution for different samples in N/mm2. The study compares a reference sample with surfaces that underwent treatment with TiN coating (see Figure 12a), laser texturing (see Figure 12b), and a combination of laser texturing and TiN coating (see Figure 12c). The analysis indicates a significant impact of TiN coating and laser texturing on the surfaces compared to the reference sample. The Ansys simulation study results showed that both the TiN-coated and laser-textured surfaces display a higher wear rate compared to the reference sample.
Figure 14.
Wear analysis result of Ansys simulation: (a) reference sample, (b) untextured coated TiN, (c) textured uncoated TiN, (d) textured coated TiN.
4.6. Analysis of Response Surface Methodology
The study examined load, sliding velocity, and specimen type as variables. The wear test results are detailed in Table 6. Experimental plans were devised to establish a quadratic model for a particular wear rate and friction coefficient. The Design Expert program was employed to input these results for further investigation.
Table 6.
Experimental results for friction and wear.
4.6.1. RSM Analysis on Coefficient of Friction
Based on statistical calculation and analysis of variance (ANOVA), a suitable model was chosen to conduct rigorous tests to validate the model’s effectiveness. A low p-value helped identify important factors in the model. This value also indicated how well the model explained the data’s variability. Detailed ANOVA analyses were performed for both the coefficient of friction (COF) and specific wear rate using the chosen cubic and quadratic mixture models. The results are presented in Table 7 and Table 8. Table 7 (COF) clearly shows that load, sliding speed, and their interaction significantly affect the COF. The extremely low p-values (<0.0001) indicate a high confidence level (over 95%) in these findings. Moreover, the coefficient of determination (R2) for the COF model is an impressive 0.9975. This signifies an excellent fit between the model’s predictions and the actual measurements. Figure 15a visually confirms this by plotting the actual vs. predicted COF values. The normal probability plot (Figure 15b) for COF reveals a near-perfect linear distribution of residuals, with no outliers, further supporting the model’s robustness. Similarly, the scattered pattern of residuals in Figure 15c suggests their independence. Figure 15d provides additional insights. It allows researchers to identify if any specific experimental runs significantly influence the overall analysis. This is helpful when certain data points deviate significantly from the norm. Finally, Figure 15e reveals the relationship between the studied factors and COF. It shows that COF decreases with increasing sliding speed but increases with increasing applied load.
Table 7.
ANOVA for coefficient of friction.
Table 8.
ANOVA for specific wear rate.
Figure 15.
RSM for coefficients of friction: (a) actual versus predicted, (b) residuals versus normal probability, (c) run number versus residuals, (d) run number versus DFFITS, and (e) 3D surface plot.
Equations (1)–(4) represent the resulting quadratic model for COF.
4.6.2. RSM Analysis on Specific Wear Rate
Table 8′s statistical analysis shows that load, sliding speed, and their interaction significantly affect the specific wear rate. The extremely low p-values (less than 0.0001) indicate a high confidence level (over 95%) in these findings. The coefficient of determination (R2) for the specific wear rate model is an impressive 0.9985, confirming its accuracy in predicting actual results. Figure 16a visually confirms this by plotting the actual vs. predicted wear rate values. The normal probability plot (Figure 16b) for the specific wear rate reveals a near-perfect linear distribution of residuals, with no outliers, further supporting the model’s robustness. Similarly, the scattered pattern of residuals in Figure 16c suggests their independence. Figure 16d provides additional insights. It allows researchers to identify if any specific experimental runs significantly influence the overall analysis. This is helpful when certain data points deviate significantly from the norm. Finally, Figure 16e reveals the relationship between the studied factors and the specific wear rate. It shows how changes in sliding speed and applied load affect the wear rate. Equations (5)–(8) represent the resulting quadratic model for specific wear rates.
Figure 16.
RSM for specific wear rate: (a) actual versus predicted, (b) residuals versus normal probability, (c) run number versus residuals, (d) run number versus DFFITS, and (e) 3D surface plot.
5. Confirmation Test
The mathematical model represented by equations 1 to 8 was used to predict the coefficient of friction and specific wear rate. These predicted values are presented in Table 9. Model adequacy tests confirm a good fit between the experimental and predicted values. The coefficient of determination (R2) and adjusted R2 for the coefficient of friction are 0.9975 and 0.9939, respectively. Similarly, the R2 and adjusted R2 for specific wear rates are 0.9985 and 0.9971. The close agreement between R2 and adjusted R2 suggests that the model data accurately reflect the experimental results. Furthermore, both models boast R2 and adjusted R2 values exceeding 95%, indicating their suitability for predicting solutions. Table 9 utilizes Cook’s distance, a regression statistic, to identify potentially influential outliers within the independent variables. This helps detect experimental points that may negatively impact the model and pinpoint regions with good correlations. For both the coefficient of friction and specific wear rate, Cook’s distance values range from 0 to 1. Interestingly, experiments 12, 17, and 22 stand out for the coefficient of friction, while experiments 22, 21, and 11 have elevated Cook’s distances for the specific wear rate. These points fall outside the typical 0–1 range, suggesting they might be influential outliers requiring further investigation.
Table 9.
Confirmation table.
6. Conclusions
This study aimed to conduct experimental and analytical investigations on the surface of Ti6Al4V alloys treated with laser texturing and TiN coating. The study unveiled the following novel findings regarding the treated sample surfaces:
- Images from the scanning electron microscope (SEM) revealed changes in the surface topography of the specimens before and after the wear test. The T1 sample showed a higher wear rate and more wear debris compared to the T2, T3, and T4 samples. Additionally, the laser-textured sample T3 demonstrated a greater wear rate than the TiN-coated samples. In contrast, the combination of the laser-textured and TiN-coated sample resulted in a lower wear rate and less wear debris than the other samples.
- The impact of laser texturing on samples T3 and T4 led to significant irregularities in the geometry of the roughness profile, resulting in elevated roughness parameter values of 0.54 and 0.67 and 0.56 and 0.71. In contrast, the TiN coating in sample T2 and the reference sample T1 exhibited minimal irregularities in the roughness profile geometry, yielding lower roughness parameter values of 0.30 and 0.39 and 0.44 and 0.57.
- Tribological properties, such as the friction coefficient and wear rate, were evaluated using a pin-on-disc tribometer. The results showed that increasing the applied load generally led to an increase in the friction coefficient for all samples, ranging from 0.2867 to 0.4580. Among the samples tested, the laser-textured and TiN-coated samples (T4) exhibited lower friction coefficients, measuring 0.2867, 0.3340, and 0.3478 for applied loads of 60 N, 80 N, and 100 N, respectively. Similar to the friction coefficient, the specific wear rate exhibits comparable trends with increasing load, ranging from 0.001570 to 0.004803. The laser-textured TiN-coated samples (T4) demonstrated a lower specific wear rate, measuring 0.001570, 0.001822, and 0.001938 for applied loads of 60 N, 80 N, and 100 N, respectively
- The Ansys simulation study revealed significant changes in wear rates for the TiN-coated and laser-textured surface-treated samples compared to the reference sample. For the T1 sample, a uniform stress distribution with high-stress concentrations around the edges was observed. In the T2 sample, slight variations in stress distribution resulted from the TiN coating, which introduced residual stress between the substrate and the coating. The T3 sample exhibited altered stress distribution due to the effects of texturing. In the T4 sample, the stress distribution was likely influenced by both the texturing pattern and the residual stresses introduced by the TiN coating. Overall, the stress distribution depends on the interaction between these two factors.
- Design of Experiments was used to determine the most significant factors affecting the tribological behaviour of TiN-coated titanium alloy. Their analysis found that applied load, sliding speed, material type, the interaction between load and speed, and the combined effects of load and speed have the greatest influence on friction and wear rate. The coefficient of determination (R2) for the coefficient of friction is 0.9975, while the adjusted R2 is 0.9939. Similarly, the R2 for specific wear rates is 0.9985, and the adjusted R2 is 0.9971. The predicted values indicate a 95% confidence level for both the coefficient of friction and the specific wear rate.
- According to observations made through EDX analysis, the bonding strength of the coating with the substrate improves with surface texturing. Additionally, the friction coefficient decreases due to the PVD coating, enhancing the wear resistance of the titanium alloy surface under dry sliding contact conditions.
Author Contributions
Writing – original draft preparation, A.M.; Conceptualization, A.M.; writing—review and editing, M.A.W., A.B., N.M. and K.H.P.; Data curation, A.S.; Resources, A.M. and K.H.P.; Formal analysis, A.M., A.S. and N.M.; Investigation, P.A.M. and N.M.; resources, K.H.P.; visualization, N.M.; Validation, P.A.M.; supervision, K.H.P.; funding acquisition, K.H.P. All authors have read and agreed to the published version of the manuscript.
Funding
This research was supported by the development of response technology for response to changes in the carbon-neutral marine environment of the Korea Institute of Marine Science & Technology Promotion (KIMST), funded by the Korea Coast Guard (KIMST-G22002398261). The author expresses their sincere appreciation to the Researchers Supporting Project Number (RSP2025R466) King Saud University, Riyadh, Saudi Arabia.
Data Availability Statement
The original contributions presented in this study are included in the article. Further inquiries can be directed to the corresponding author(s).
Acknowledgments
The authors express their sincere appreciation to the Researchers Supporting Project Number (RSP2025R466) King Saud University, Riyadh, Saudi Arabia. The authors express their gratitude to the Korea Institute of Marine Science & Technology Promotion (KIMST), funded by the Korea Coast Guard (KIMST-G22002398261). The authors express their appreciation to tribology research cell of Sri Venkateswara College of Engineering.
Conflicts of Interest
The authors confirm that there is no conflict of interest in the findings of this study.
References
- Xiao, J.; Zhang, Y.; Hu, B.; Liu, X.; Liang, Z.; Zhao, Z. Tribological Properties of Ti6Al4V Alloy Composite Texture Fabricated by Ultrasonic Strengthening Grinding and Laser Processing. Materials 2023, 16, 355. [Google Scholar] [CrossRef]
- Bertolini, R.; Ghiotti, A.; Bruschi, S. Wear Behavior of Ti6Al4V Surfaces Functionalized through Ultrasonic Vibration Turning. J. Mater. Eng. Perform. 2021, 30, 7597–7608. [Google Scholar] [CrossRef]
- Wang, X.; Xu, S.; Zhou, S.; Xu, W.; Leary, M.; Choong, P.; Qian, M.; Brandt, M.; Xie, Y.M. Topological design and additive manufacturing of porous metals for bone scaffolds and orthopaedic implants: A review. Biomaterials 2016, 83, 127–141. [Google Scholar] [CrossRef] [PubMed]
- Abd-Elaziem, W.; Darwish, M.A.; Hamada, A.; Daoush, W.M. Titanium-Based alloys and composites for orthopedic implants Applications: A comprehensive review. Mater. Des. 2024, 241, 112850. [Google Scholar] [CrossRef]
- Kaur, M.; Singh, K. Review on titanium and titanium based alloys as biomaterials for orthopaedic applications. Mater. Sci. Eng. C 2019, 102, 844–862. [Google Scholar] [CrossRef] [PubMed]
- Geetha, M.; Singh, A.K.; Asokamani, R.; Gogia, A.K. Ti based biomaterials, the ultimate choice for orthopaedic implants—A review. Prog. Mater. Sci. 2009, 54, 397–425. [Google Scholar] [CrossRef]
- Marin, E.; Lanzutti, A. Biomedical Applications of Titanium Alloys: A Comprehensive Review. Materials 2024, 17, 114. [Google Scholar] [CrossRef]
- Okazaki, Y.; Gotoh, E. Comparison of metal release from various metallic biomaterials In Vitro. Biomaterials 2005, 26, 11–21. [Google Scholar] [CrossRef]
- Raganya, M.L.; Moshokoa, N.M.; Obadele, B.; A Olubambi, P.; Machaka, R. The microstructural and mechanical characterization of the β-type Ti-11.1Mo-10.8Nb alloy for biomedical applications. In IOP Conference Series: Materials Science and Engineering; IOP Publishing: Bristol, UK, 2019; Volume 655, p. 012025. [Google Scholar] [CrossRef]
- Kopova, I.; Stráský, J.; Harcuba, P.; Landa, M.; Janeček, M.; Bačákova, L. Newly developed Ti–Nb–Zr–Ta–Si–Fe biomedical beta titanium alloys with increased strength and enhanced biocompatibility. Mater. Sci. Eng. C 2016, 60, 230–238. [Google Scholar] [CrossRef] [PubMed]
- Okazaki, Y. A New Ti–15Zr–4Nb–4Ta alloy for medical applications. Curr. Opin. Solid State Mater. Sci. 2001, 5, 45–53. [Google Scholar] [CrossRef]
- Nikolova, M.P.; Nikolova, V.; Ivanova, V.L.; Valkov, S.; Petrov, P.; Apostolova, M.D. Mechanical properties and in vitro biocompatibility evaluation of TiN/TiO2 coated Ti6Al4V alloy. Mater. Today Proc. 2020, 33, 1781–1786. [Google Scholar] [CrossRef]
- Jakovljević, S.; Alar, V.; Ivanković, A. Electrochemical behaviour of PACVD TiN-coated CoCrMo medical alloy. Metals 2017, 7, 231. [Google Scholar] [CrossRef]
- Kao, W.H.; Su, Y.L.; Hsieh, Y.T. Effects of Duplex Nitriding and TiN Coating Treatment on Wear Resistance, Corrosion Resistance and Biocompatibility of Ti6Al4V Alloy. J. Mater. Eng. Perform. 2017, 26, 3686–3697. [Google Scholar] [CrossRef]
- Lin, N.; Li, D.; Zou, J.; Xie, R.; Wang, Z.; Tang, B. Surface texture-based surface treatments on Ti6Al4V titanium alloys for tribological and biological applications: A mini review. Materials 2018, 11, 487. [Google Scholar] [CrossRef]
- Etsion, I. State of the art in laser surface texturing. J. Tribol. 2005, 127, 248–253. [Google Scholar] [CrossRef]
- Shivakoti, I.; Kibria, G.; Cep, R.; Pradhan, B.B.; Sharma, A. Laser surface texturing for biomedical applications: A review. Coatings 2021, 11, 124. [Google Scholar] [CrossRef]
- Conradi, M.; Kocijan, A.; Klobčar, D.; Podgornik, B. Tribological response of laser-textured Ti6Al4V alloy under dry conditions and lubricated with Hank’s solution. Tribol. Int. 2021, 160, 107049. [Google Scholar] [CrossRef]
- Arulkumar, M.; Rangan, R.P.; Ananth, M.P.; Srividhyasakthi, V.; Aaditya, R. Experimental verification on the influence of surface texturing on biomaterials and study of its tribological characteristics. Mater. Today Proc. 2023, in press. [Google Scholar] [CrossRef]
- Fang, Y.; Wang, Q.; Yang, Z.; Yang, W.; Wang, L.; Ma, J.; Fu, Y. An efficient approach to endow TiNbTaZr implant with osteogenic differentiation and antibacterial activity in vitro. Mater. Des. 2022, 221, 110987. [Google Scholar] [CrossRef]
- Vijay, R.; Kumar, V.N.A.; Sadiq, A.; Pillai, R.R. Numerical Analysis of Wear Characteristics of Zirconia Coated Aluminum 6061 Alloy. In IOP Conference Series: Materials Science and Engineering; IOP Publishing: Bristol, UK, 2021; Volume 1059, p. 012020. [Google Scholar] [CrossRef]
- Bahi, R.; Nouveau, C.; Beliardouh, N.; Ramoul, C.; Meddah, S.; Ghelloudj, O. Surface performances of Ti-6Al-4V substrates coated PVD multilayered films in biological environments. Surf. Coat. Technol. 2020, 385, 125412. [Google Scholar] [CrossRef]
- Strel’Nitskij, V.; Vasylyev, V.; Makarov, V.; Lazarenko, H. Diamond-like carbon coatings pin-on-disk wear testing. Phys. Chem. Solid State 2023, 24, 520–529. [Google Scholar] [CrossRef]
- Priyadarshini, B.; Rama, M.; Chetan; Vijayalakshmi, U. Bioactive coating as a surface modification technique for biocompatible metallic implants: A review. J. Asian Ceram. Soc. 2019, 7, 397–406. [Google Scholar] [CrossRef]
- Narayan, J.; Fan, W.; Narayan, R.; Tiwari, P.; Stadelmaier, H. Diamond, diamond-like and titanium nitride biocompatible coatings for human body parts. Mater. Sci. Eng. B 1994, 25, 5–10. [Google Scholar] [CrossRef]
- Kumar, D.; Deepak, K.B.; Muzakkir, S.M.; Wani, M.F.; Lijesh, K.P. Enhancing tribological performance of Ti-6Al-4V by sliding process. Tribol.-Mater. Surfaces Interfaces 2018, 12, 137–143. [Google Scholar] [CrossRef]
- Muniyappan, A.; Muthuvel, P.A. Taguchi Optimisation of Friction and Wear Properties of Ti6Al4V Alloy Coated with TiAlN for Orthopaedic Applications. Trans. Famena 2024, 48, 17–32. [Google Scholar] [CrossRef]
- Joshi, B.; Tripathi, K.; Gyawali, G.; Lee, S.W. The effect of laser surface texturing on the tribological performance of different Sialon ceramic phases. Prog. Nat. Sci. 2016, 26, 415–421. [Google Scholar] [CrossRef]
- Danışman, Ş.; Odabaş, D.; Teber, M. The Effect of TiN, TiAlN, TiCN Thin Films Obtained by Reactive Magnetron Sputtering Method on the Wear Behavior of Ti6Al4V Alloy: A Comparative Study. Coatings 2022, 12, 1238. [Google Scholar] [CrossRef]
- Chauhan, S.R.; Dass, K. Dry sliding wear behaviour of titanium (Grade 5) alloy by using response surface methodology. Adv. Tribol. 2013, 2013, 1–9. [Google Scholar] [CrossRef]
- Sreesha, R.B.; Chandraker, S.; Kumar, D. Optimization of tribological parameters to enhance wear and friction properties of Ti6Al4V alloy using Taguchi method. Proc. Inst. Mech. Eng. Part J J. Eng. Tribol. 2022, 236, 1761–1781. [Google Scholar] [CrossRef]
- Outeiro, J.; Cheng, W.; Chinesta, F.; Ammar, A. Modelling and Optimization of Machining of Ti-6Al-4V Titanium Alloy Using Machine Learning and Design of Experiments Methods. J. Manuf. Mater. Process. 2022, 6, 58. [Google Scholar] [CrossRef]
- Mushtaq, Z.; Hanief, M.; Manroo, S.A. Prediction of Friction and Wear During Ball-On-Flat Sliding Using Multiple Regression and ANN: Modeling and Experimental Validation. J. Tribol. 2021, 28, 117–128. [Google Scholar]
- Kumar, A.; Chhibber, R. Investigation of the Wetting Behavior of Formulated SMAW Electrode Coating Fluxes With Regression and ANN Model. Met. Mater. Trans. B 2023, 54, 287–302. [Google Scholar] [CrossRef]
- Muniyappan, A.; Muthuvel, P.A. Predictive Modelling of Wear and Friction in Surface Textured TiAlN Coated Ti6Al4V Alloy Using Artificial Neural Networks. In High-Performance Sustainable Materials and Structures; Lazar, P., Palani, I.A., Kumar, M., Eds.; Springer Nature: Cham, Switzerland, 2024; pp. 131–142. [Google Scholar]
- Gupta, A.; Mohan, I.; Jude, R.R.; Suryawanshi, A.; Behera, N. Investigation of stress and tribological properties of dental composite materials using FEM. Proc. Inst. Mech. Eng. Part J J. Eng. Tribol. 2022, 237, 1070–1084. [Google Scholar] [CrossRef]
- Manjunatha, T.; Basavaraj, Y.; Ramana, V.V.; Babu, K.A. Experimental and finite element analysis of wear rate of Al7075 reinforced with B4C. Mater. Today Proc. 2022, 54, 543–547. [Google Scholar] [CrossRef]
- Kumar, P.; Kumar, B. Numerical simulation of linear reciprocating wear mechanism of hybrid aluminum metal matrix composite using finite element method. Model. Simul. Mater. Sci. Eng. 2023, 31, 085013. [Google Scholar] [CrossRef]
- Bergmann, G.; Bender, A.; Graichen, F.; Dymke, J.; Rohlmann, A.; Trepczynski, A.; Heller, M.O.; Kutzner, I. Standardized Loads Acting in Knee Implants. PLoS ONE 2014, 9, e86035. [Google Scholar] [CrossRef]
- Portier, K.; Tolson, J.K.; Roberts, S.M. Body weight distributions for risk assessment. Risk Anal. 2007, 27, 11–26. [Google Scholar] [CrossRef]
- Helmert, U.; Strube, H. Die Entwicklung der Adipositas in Deutschland imZeitraum von 1985 bis 2002. Gesundheitswesen 2004, 66, 409–415. [Google Scholar] [CrossRef]
- Liu, R.; Qian, D.; Chen, Y.; Zou, J.; Zheng, S.; Bai, B.; Lin, Z.; Zhang, Y.; Chen, Y. Investigation of normal knees kinematics in walking and running at different speeds using a portable motion analysis system. Sports Biomech. 2021, 23, 417–430. [Google Scholar] [CrossRef]
Disclaimer/Publisher’s Note: The statements, opinions and data contained in all publications are solely those of the individual author(s) and contributor(s) and not of MDPI and/or the editor(s). MDPI and/or the editor(s) disclaim responsibility for any injury to people or property resulting from any ideas, methods, instructions or products referred to in the content. |
© 2025 by the authors. Licensee MDPI, Basel, Switzerland. This article is an open access article distributed under the terms and conditions of the Creative Commons Attribution (CC BY) license (https://creativecommons.org/licenses/by/4.0/).

















