Inverse Association between High-Density Lipoprotein Cholesterol and Adverse Outcomes among Acute Ischemic Stroke Patients with Diabetes Mellitus
Abstract
1. Introduction
2. Materials and Methods
2.1. Study Design
2.2. Study Population
2.3. Baseline Data Collection
2.4. Blood Sample Collection and Laboratory Tests
2.5. Follow-Up and Outcomes
2.6. Statistical Analyses
3. Results
3.1. Baseline Characteristics of Patient Population
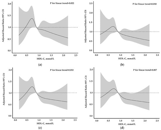
3.2. Associations between HDL-C Levels and Adverse Outcomes
4. Discussion
5. Conclusions
Supplementary Materials
Author Contributions
Funding
Institutional Review Board Statement
Informed Consent Statement
Data Availability Statement
Acknowledgments
Conflicts of Interest
References
- Prospective Studies Collaboration. Blood cholesterol and vascular mortality by age, sex, and blood pressure: A meta-analysis of individual data from 61 prospective studies with 55,000 vascular deaths. Lancet 2007, 370, 1829–1839. [Google Scholar] [CrossRef]
- Sun, L.; Clarke, R.; Bennett, D.; Guo, Y.; Walters, R.G.; Hill, M.; Parish, S.; Millwood, I.Y.; Bian, Z.; Chen, Y.; et al. Causal associations of blood lipids with risk of ischemic stroke and intracerebral hemorrhage in Chinese adults. Nat. Med. 2019, 25, 569–574. [Google Scholar] [CrossRef]
- Zhang, Y.; Tuomilehto, J.; Jousilahti, P.; Wang, Y.; Antikainen, R.; Hu, G. Total and high-density lipoprotein cholesterol and stroke risk. Stroke 2012, 43, 1768–1774. [Google Scholar] [CrossRef]
- Navab, M.; Hama, S.Y.; Cooke, C.J.; Anantharamaiah, G.M.; Chaddha, M.; Jin, L.; Subbanagounder, G.; Faull, K.F.; Reddy, S.T.; Miller, N.E.; et al. Normal high density lipoprotein inhibits three steps in the formation of mildly oxidized low density lipoprotein: Step 1. J. Lipid Res. 2000, 41, 1481–1494. [Google Scholar] [CrossRef]
- Navab, M.; Hama, S.Y.; Anantharamaiah, G.M.; Hassan, K.; Hough, G.P.; Watson, A.D.; Reddy, S.T.; Sevanian, A.; Fonarow, G.C.; Fogelman, A.M. Normal high density lipoprotein inhibits three steps in the formation of mildly oxidized low density lipoprotein: Steps 2 and 3. J. Lipid Res. 2000, 41, 1495–1508. [Google Scholar] [CrossRef]
- Lee, C.K.; Liao, C.W.; Meng, S.W.; Wu, W.K.; Chiang, J.Y.; Wu, M.S. Lipids and Lipoproteins in Health and Disease: Focus on Targeting Atherosclerosis. Biomedicines 2021, 9, 985. [Google Scholar] [CrossRef] [PubMed]
- Hoang, A.; Murphy, A.J.; Coughlan, M.T.; Thomas, M.C.; Forbes, J.M.; O’Brien, R.; Cooper, M.E.; Chin-Dusting, J.P.; Sviridov, D. Advanced glycation of apolipoprotein A-I impairs its anti-atherogenic properties. Diabetologia 2007, 50, 1770–1779. [Google Scholar] [CrossRef]
- Wu, Z.; Huang, Z.; Lichtenstein, A.H.; Jin, C.; Chen, S.; Wu, S.; Gao, X. Different associations between HDL cholesterol and cardiovascular diseases in people with diabetes mellitus and people without diabetes mellitus: A prospective community-based study. Am. J. Clin. Nutr. 2021, 114, 907–913. [Google Scholar] [CrossRef]
- Barter, P.J. High density lipoprotein: A therapeutic target in type 2 diabetes. Endocrinol. Metab. 2013, 28, 169–177. [Google Scholar] [CrossRef]
- Gu, X.; Li, Y.; Chen, S.; Yang, X.; Liu, F.; Li, Y.; Li, J.; Cao, J.; Liu, X.; Chen, J.; et al. Association of Lipids With Ischemic and Hemorrhagic Stroke. Stroke 2019, 50, 3376–3384. [Google Scholar] [CrossRef]
- Shen, Y.; Shi, L.; Nauman, E.; Katzmarzyk, P.T.; Price-Haywood, E.G.; Bazzano, A.N.; Nigam, S.; Hu, G. Inverse Association Between HDL (High-Density Lipoprotein) Cholesterol and Stroke Risk Among Patients with Type 2 Diabetes Mellitus. Stroke 2019, 50, 291–297. [Google Scholar] [CrossRef]
- Yeh, P.S.; Yang, C.M.; Lin, S.H.; Wang, W.M.; Chen, P.S.; Chao, T.H.; Lin, H.J.; Lin, K.C.; Chang, C.Y.; Cheng, T.J.; et al. Low levels of high-density lipoprotein cholesterol in patients with atherosclerotic stroke: A prospective cohort study. Atherosclerosis 2013, 228, 472–477. [Google Scholar] [CrossRef]
- Luo, Y.; Li, J.; Zhang, J.; Xu, Y. Low HDL cholesterol is correlated to the acute ischemic stroke with diabetes mellitus. Lipids Health Dis. 2014, 13, 171. [Google Scholar] [CrossRef] [PubMed][Green Version]
- Jia, Q.; Zheng, H.; Zhao, X.; Wang, C.; Liu, G.; Wang, Y.; Liu, L.; Li, H.; Zhong, L.; Wang, Y.; et al. Abnormal glucose regulation in patients with acute stroke across China: Prevalence and baseline patient characteristics. Stroke 2012, 43, 650–657. [Google Scholar] [CrossRef] [PubMed]
- Wang, Y.J.; Li, Z.X.; Gu, H.Q.; Zhai, Y.; Jiang, Y.; Zhao, X.Q.; Wang, Y.L.; Yang, X.; Wang, C.J.; Meng, X.; et al. China Stroke Statistics 2019: A Report From the National Center for Healthcare Quality Management in Neurological Diseases, China National Clinical Research Center for Neurological Diseases, the Chinese Stroke Association, National Center for Chronic and Non-communicable Disease Control and Prevention, Chinese Center for Disease Control and Prevention and Institute for Global Neuroscience and Stroke Collaborations. Stroke Vasc. Neurol. 2020, 5, 211–239. [Google Scholar] [CrossRef]
- Garber, A.J.; Handelsman, Y.; Grunberger, G.; Einhorn, D.; Abrahamson, M.J.; Barzilay, J.I.; Blonde, L.; Bush, M.A.; DeFronzo, R.A.; Garber, J.R.; et al. Consensus Statement by the American Association of Clinical Endocrinologists and American College of Endocrinology on the Comprehensive Type 2 Diabetes Management Algorithm—2020 Executive Summary. Endocr. Pract. 2020, 26, 107–139. [Google Scholar] [CrossRef]
- Powers, W.J.; Rabinstein, A.A.; Ackerson, T.; Adeoye, O.M.; Bambakidis, N.C.; Becker, K.; Biller, J.; Brown, M.; Demaerschalk, B.M.; Hoh, B.; et al. Guidelines for the Early Management of Patients With Acute Ischemic Stroke: 2019 Update to the 2018 Guidelines for the Early Management of Acute Ischemic Stroke: A Guideline for Healthcare Professionals From the American Heart Association/American Stroke Association. Stroke 2019, 50, e344–e418. [Google Scholar] [CrossRef] [PubMed]
- Wang, Y.; Han, S.; Qin, H.; Zheng, H.; Jiang, B.; Cao, Y.; Gao, Y.; Guan, L.; Jia, Q.; Jiang, Y.; et al. Chinese Stroke Association guidelines for clinical management of cerebrovascular disorders: Executive summary and 2019 update of the management of high-risk population. Stroke Vasc. Neurol. 2020, 5, 270–278. [Google Scholar] [CrossRef]
- Wang, Y.; Jing, J.; Meng, X.; Pan, Y.; Wang, Y.; Zhao, X.; Lin, J.; Li, W.; Jiang, Y.; Li, Z.; et al. The Third China National Stroke Registry (CNSR-III) for patients with acute ischaemic stroke or transient ischaemic attack: Design, rationale and baseline patient characteristics. Stroke Vasc. Neurol. 2019, 4, 158–164. [Google Scholar] [CrossRef]
- Joint Committee for Guideline Revision National Expert Committee on Cardiovascular Diseases. 2016 Chinese guidelines for the management of dyslipidemia in adults. J. Geriatr. Cardiol. 2018, 15, 1–29. [Google Scholar] [CrossRef]
- Brott, T.; Adams, H.P.; Olinger, C.P.; Marler, J.R.; Barsan, W.G.; Biller, J.; Spilker, J.; Holleran, R.; Eberle, R.; Hertzberg, V. Measurements of acute cerebral infarction: A clinical examination scale. Stroke 1989, 20, 864–870. [Google Scholar] [CrossRef] [PubMed]
- Adams, H.P.; Bendixen, B.H.; Kappelle, L.J.; Biller, J.; Love, B.B.; Gordon, D.L.; Marsh, E.E. Classification of subtype of acute ischemic stroke. Definitions for use in a multicenter clinical trial. TOAST. Trial of Org 10172 in Acute Stroke Treatment. Stroke 1993, 24, 35–41. [Google Scholar] [CrossRef] [PubMed]
- Ohm, J.; Hjemdahl, P.; Skoglund, P.H.; Discacciati, A.; Sundstrom, J.; Hambraeus, K.; Jernberg, T.; Svensson, P. Lipid levels achieved after a first myocardial infarction and the prediction of recurrent atherosclerotic cardiovascular disease. Int. J. Cardiol. 2019, 296, 1–7. [Google Scholar] [CrossRef] [PubMed]
- Huxley, R.R.; Barzi, F.; Lam, T.H.; Czernichow, S.; Fang, X.; Welborn, T.; Shaw, J.; Ueshima, H.; Zimmet, P.; Jee, S.H.; et al. Isolated low levels of high-density lipoprotein cholesterol are associated with an increased risk of coronary heart disease: An individual participant data meta-analysis of 23 studies in the Asia-Pacific region. Circulation 2011, 124, 2056–2064. [Google Scholar] [CrossRef]
- Yang, W.; Xiao, J.; Yang, Z.; Ji, L.; Jia, W.; Weng, J.; Lu, J.; Shan, Z.; Liu, J.; Tian, H.; et al. Serum lipids and lipoproteins in Chinese men and women. Circulation 2012, 125, 2212–2221. [Google Scholar] [CrossRef] [PubMed]
- Chatterji, P.; Joo, H.; Lahiri, K. Racial/ethnic- and education-related disparities in the control of risk factors for cardiovascular disease among individuals with diabetes. Diabetes Care 2012, 35, 305–312. [Google Scholar] [CrossRef]
- Zhang, Y.; Li, J.; Liu, C.; Yu, H.; Chen, C.; Bi, C.; Fang, C.; Ma, H.; Li, A.; Dong, Q.; et al. High-Density Lipoprotein Cholesterol and the Risk of First Ischemic Stroke in a Chinese Hypertensive Population. Clin. Interv. Aging 2021, 16, 801–810. [Google Scholar] [CrossRef]
- Wang, X.; Pei, J.; Zheng, K.; Hu, X. High-density lipoprotein cholesterol levels are associated with major adverse cardiovascular events in male but not female patients with hypertension. Clin. Cardiol. 2021, 44, 723–730. [Google Scholar] [CrossRef] [PubMed]
- Kaze, A.D.; Santhanam, P.; Musani, S.K.; Ahima, R.; Echouffo-Tcheugui, J.B. Metabolic Dyslipidemia and Cardiovascular Outcomes in Type 2 Diabetes Mellitus: Findings From the Look AHEAD Study. J. Am. Heart Assoc. 2021, 10, e016947. [Google Scholar] [CrossRef] [PubMed]
- Han, B.H.; Han, K.; Yoon, K.H.; Kim, M.K.; Lee, S.H. Impact of Mean and Variability of High-Density Lipoprotein-Cholesterol on the Risk of Myocardial Infarction, Stroke, and Mortality in the General Population. J. Am. Heart Assoc. 2020, 9, e015493. [Google Scholar] [CrossRef]
- Nakazawa, M.; Arashi, H.; Yamaguchi, J.; Ogawa, H.; Hagiwara, N. Lower levels of high-density lipoprotein cholesterol are associated with increased cardiovascular events in patients with acute coronary syndrome. Atherosclerosis 2020, 303, 21–28. [Google Scholar] [CrossRef] [PubMed]
- Hayashi, T.; Kawashima, S.; Itoh, H.; Yamada, N.; Sone, H.; Watanabe, H.; Hattori, Y.; Ohrui, T.; Yokote, K.; Nomura, H.; et al. Low HDL cholesterol is associated with the risk of stroke in elderly diabetic individuals: Changes in the risk for atherosclerotic diseases at various ages. Diabetes Care 2009, 32, 1221–1223. [Google Scholar] [CrossRef] [PubMed]

| Characteristics | Overall | HDL-C Quintiles | p Value | ||||
|---|---|---|---|---|---|---|---|
| Q1, <0.71 mmol/L | Q2, 0.71–0.83 mmol/L | Q3, 0.83–0.95 mmol/L | Q4, 0.95–1.11 mmol/L | Q5, ≥1.11 mmol/L | |||
| Patients, n | 3824 | 757 | 712 | 792 | 780 | 783 | |
| Age, mean (SD), years | 62.74 ± 10.54 | 61.89 ± 10.83 | 61.39 ± 10.59 | 62.38 ± 10.51 | 62.91 ± 10.30 | 65.00 ± 10.13 | <0.001 |
| Women, n (%) | 1307 (34.18) | 188 (24.83) | 185 (25.98) | 256 (32.32) | 278 (35.64) | 400 (51.09) | <0.001 |
| BMI, mean (SD) | 25.16 ± 3.31 | 25.53 ± 3.40 | 25.33 ± 3.23 | 25.17 ± 3.17 | 25.01 ± 3.10 | 24.77 ± 3.57 | <0.001 |
| LDL-C, median (IQR), mmol/L | 2.35 (1.70–3.04) | 2.05 (1.42–2.69) | 2.22 (1.64–2.88) | 2.30 (1.70–2.94) | 2.38 (1.77–3.04) | 2.73 (2.02–3.57) | <0.001 |
| TG, median (IQR), mmol/L | 1.50 (1.14–2.11) | 1.79 (1.32–2.54) | 1.64 (1.26–2.32) | 1.53 (1.18–2.09) | 1.40 (1.08–1.88) | 1.24 (0.98–1.71) | <0.001 |
| Medical history, n (%) | |||||||
| Hypertension | 3502 (91.58) | 704 (93.00) | 637 (89.47) | 732 (92.42) | 702 (90.00) | 727 (92.85) | 0.027 |
| Dyslipidemia | 2900 (75.84) | 757 (100.00) | 712 (100.00) | 792 (100.00) | 417 (53.46) | 222 (28.35) | <0.001 |
| Current smoking | 1143 (29.89) | 266 (35.14) | 256 (35.96) | 243 (30.68) | 220 (28.21) | 158 (20.18) | <0.001 |
| Drinking | 517 (13.52) | 105 (13.87) | 98 (13.76) | 108 (13.64) | 104 (13.33) | 102 (13.03) | 0.989 |
| Stroke | 941 (24.61) | 204 (26.95) | 171 (24.02) | 203 (25.63) | 182 (23.33) | 181 (23.12) | 0.350 |
| Coronary heart disease | 503 (13.15) | 112 (14.80) | 75 (10.53) | 107 (13.51) | 113 (14.49) | 96 (12.26) | 0.095 |
| Atrial fibrillation | 230 (6.01) | 44 (5.81) | 32 (4.49) | 34 (4.29) | 58 (7.44) | 62 (7.92) | 0.005 |
| Medication history, n (%) | |||||||
| Antiplatelet agents | 764 (19.98) | 173 (22.85) | 146 (20.51) | 166 (20.96) | 134 (17.18) | 145 (18.52) | 0.052 |
| Lipid-lowering agents | 489 (12.79) | 107 (14.13) | 90 (12.64) | 107 (13.51) | 87 (11.15) | 98 (12.52) | 0.473 |
| NIHSS on admission, median (IQR) | 4.00 (2.00–6.00) | 4.00 (2.00–6.00) | 4.00 (2.00–6.00) | 4.00 (2.00–6.00) | 4.00 (2.00–6.00) | 4.00 (2.00–6.00) | 0.595 |
| Ischemic stroke subtype, n (%) | 0.023 | ||||||
| Large-artery atherosclerosis | 1059 (27.69) | 217 (28.67) | 219 (30.76) | 234 (29.55) | 195 (25.00) | 194 (24.78) | |
| Cardiac embolism | 212 (5.54) | 37 (4.89) | 29 (4.07) | 36 (4.55) | 54 (6.92) | 56 (7.15) | |
| Small-vessel occlusion | 863 (22.57) | 166 (21.93) | 169 (23.74) | 185 (23.36) | 175 (22.44) | 168 (21.46) | |
| Other | 1690 (44.19) | 337 (44.52) | 295 (41.43) | 337 (42.55) | 356 (45.64) | 365 (46.62) | |
| Medication at discharge, n (%) | |||||||
| Antiplatelet agents | 3529 (92.55) | 699 (92.83) | 658 (92.68) | 740 (93.43) | 723 (92.93) | 709 (90.90) | 0.373 |
| Anticoagulant agents | 84 (2.20) | 16 (2.12) | 14 (1.97) | 15 (1.89) | 23 (2.96) | 16 (2.05) | 0.613 |
| Statins | 3540 (99.72) | 696 (99.57) | 657 (99.70) | 736 (99.73) | 729 (99.73) | 722 (99.86) | 0.896 |
| Outcome | HDL-C Quintiles, mmol/L | P for Trend | Each 1-mmol/L Increase in HDL-C | ||||
|---|---|---|---|---|---|---|---|
| Q1, <0.71 mmol/L | Q2, 0.71–0.83 mmol/L | Q3, 0.83–0.95 mmol/L | Q4, 0.95–1.11 mmol/L | Q5, ≥1.11 mmol/L | |||
| 6 months | |||||||
| Recurrent stroke | |||||||
| Events, n (%) | 79 (10.44) | 72 (10.11) | 66 (8.33) | 64 (8.21) | 63 (8.05) | ||
| Adjusted HR * | 1.43 (1.02–2.00) | 1.40 (0.99–1.97) | 1.11 (0.79–1.58) | 1.08 (0.76–1.53) | 1.00 | 0.015 | 0.68 (0.46–1.01) |
| Adjusted HR † | 1.56 (1.06–2.28) | 1.50 (1.03–2.20) | 1.20 (0.82–1.75) | 1.09 (0.74–1.59) | 1.00 | 0.007 | 0.59 (0.38–0.93) |
| MACEs | |||||||
| Events, n (%) | 83 (10.96) | 76 (10.67) | 72 (9.09) | 67 (8.59) | 65 (8.30) | ||
| Adjusted HR * | 1.46 (1.05–2.03) | 1.43 (1.02–2.00) | 1.18 (0.84–1.65) | 1.10 (0.78–1.54) | 1.00 | 0.009 | 0.66 (0.45–0.96) |
| Adjusted HR † | 1.59 (1.10–2.31) | 1.54 (1.07–2.24) | 1.27 (0.88–1.84) | 1.08 (0.74–1.57) | 1.00 | 0.003 | 0.56 (0.36–0.87) |
| 12 months | |||||||
| Recurrent stroke | |||||||
| Events, n (%) | 93 (12.29) | 89 (12.50) | 85 (10.73) | 76 (9.74) | 75 (9.58) | ||
| Adjusted HR * | 1.41 (1.04–1.93) | 1.45 (1.06–1.98) | 1.20 (0.88–1.64) | 1.07 (0.78–1.48) | 1.00 | 0.007 | 0.70 (0.49–1.00) |
| Adjusted HR † | 1.59 (1.12–2.25) | 1.57 (1.11–2.21) | 1.32 (0.94–1.86) | 1.11 (0.78–1.57) | 1.00 | 0.002 | 0.59 (0.40–0.88) |
| MACEs | |||||||
| Events, n (%) | 97 (12.81) | 94 (13.20) | 93 (11.74) | 80 (10.26) | 79 (10.09) | ||
| Adjusted HR * | 1.39 (1.03–1.88) | 1.44 (1.06–1.96) | 1.24 (0.92–1.68) | 1.07 (0.78–1.46) | 1.00 | 0.007 | 0.70 (0.49–0.98) |
| Adjusted HR † | 1.53 (1.09–2.15) | 1.54 (1.11–2.16) | 1.36 (0.98–1.88) | 1.07 (0.76–1.50) | 1.00 | 0.002 | 0.59 (0.40–0.87) |
Publisher’s Note: MDPI stays neutral with regard to jurisdictional claims in published maps and institutional affiliations. |
© 2021 by the authors. Licensee MDPI, Basel, Switzerland. This article is an open access article distributed under the terms and conditions of the Creative Commons Attribution (CC BY) license (https://creativecommons.org/licenses/by/4.0/).
Share and Cite
Hu, G.; Pan, Y.; Wang, M.; Meng, X.; Jiang, Y.; Li, Z.; Li, H.; Wang, Y.; Wang, Y. Inverse Association between High-Density Lipoprotein Cholesterol and Adverse Outcomes among Acute Ischemic Stroke Patients with Diabetes Mellitus. Biomedicines 2021, 9, 1947. https://doi.org/10.3390/biomedicines9121947
Hu G, Pan Y, Wang M, Meng X, Jiang Y, Li Z, Li H, Wang Y, Wang Y. Inverse Association between High-Density Lipoprotein Cholesterol and Adverse Outcomes among Acute Ischemic Stroke Patients with Diabetes Mellitus. Biomedicines. 2021; 9(12):1947. https://doi.org/10.3390/biomedicines9121947
Chicago/Turabian StyleHu, Guoliang, Yuesong Pan, Mengxing Wang, Xia Meng, Yong Jiang, Zixiao Li, Hao Li, Yongjun Wang, and Yilong Wang. 2021. "Inverse Association between High-Density Lipoprotein Cholesterol and Adverse Outcomes among Acute Ischemic Stroke Patients with Diabetes Mellitus" Biomedicines 9, no. 12: 1947. https://doi.org/10.3390/biomedicines9121947
APA StyleHu, G., Pan, Y., Wang, M., Meng, X., Jiang, Y., Li, Z., Li, H., Wang, Y., & Wang, Y. (2021). Inverse Association between High-Density Lipoprotein Cholesterol and Adverse Outcomes among Acute Ischemic Stroke Patients with Diabetes Mellitus. Biomedicines, 9(12), 1947. https://doi.org/10.3390/biomedicines9121947

