Systemic Profiles of microRNAs, Redox Balance, and Inflammation in Lung Cancer Patients: Influence of COPD
Abstract
:1. Introduction
2. Methods
2.1. Study Subjects
2.2. Clinical Assessment
2.3. Blood Samples
2.4. Quantification of microRNAs
2.5. Quantification of Oxidative Stress Markers and Cytokines
2.6. Statistical Analysis
3. Results
3.1. Clinical Characteristics
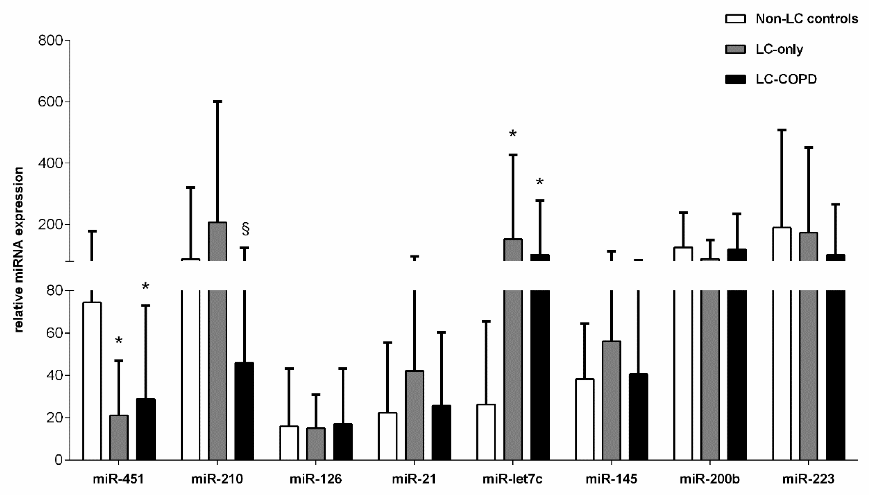
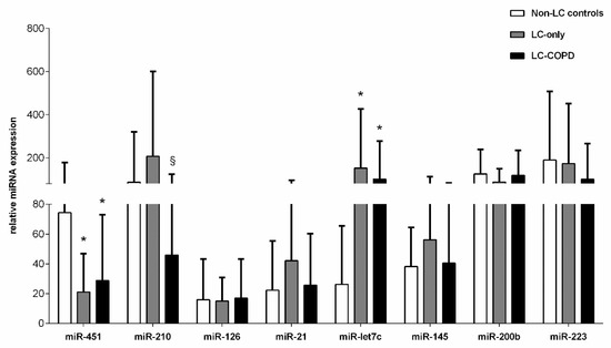
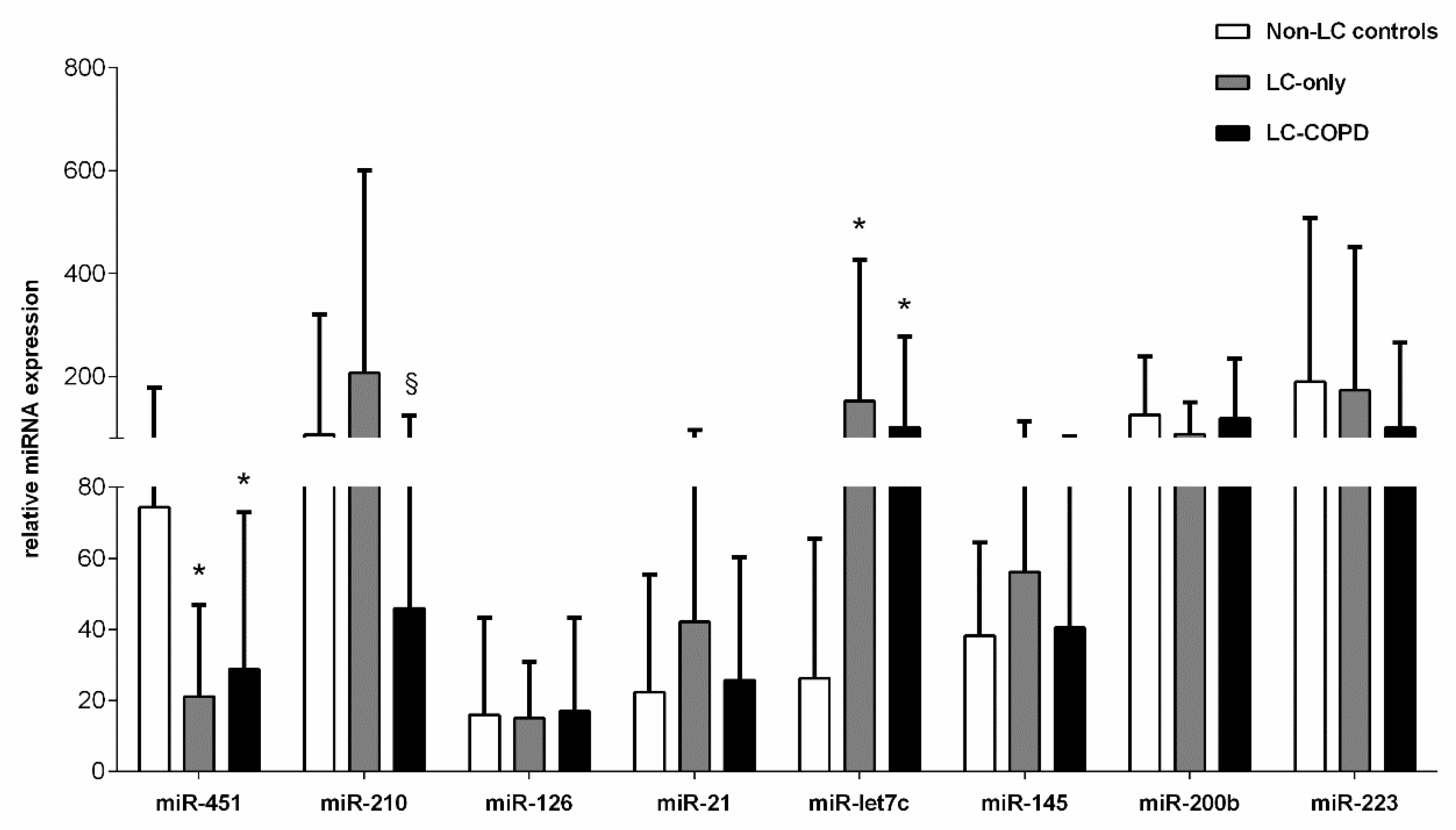
3.2. Differential Pattern of Systemic microRNA Expression in LC Patients
3.3. Redox Balance in LC Patients
3.3.1. Oxidative Stress Markers
3.3.2. Antioxidants
3.4. Cytokines in LC Patients
3.5. Bivariate Analysis
4. Discussion
5. Study Limitations
6. Conclusions
Author Contributions
Funding
Institutional Review Board Statement
Informed Consent Statement
Data Availability Statement
Conflicts of Interest
References
- Ferlay, J.; Shin, H.-R.R.; Bray, F.; Forman, D.; Mathers, C.; Parkin, D.M. Estimates of worldwide burden of cancer in 2008: GLOBOCAN 2008. Int. J. Cancer 2010, 127, 2893–2917. [Google Scholar] [CrossRef]
- Thomas, A.; Chen, Y.; Yu, T.; Jakopovic, M.; Giaccone, G. Trends and Characteristics of Young Non-Small Cell Lung Cancer Patients in the United States. Front. Oncol. 2015, 5, 113. [Google Scholar] [CrossRef] [PubMed] [Green Version]
- Siegel, R.L.; Miller, K.D.; Jemal, A. Cancer statistics, 2019. CA Cancer J. Clin. 2019, 69, 7–34. [Google Scholar] [CrossRef] [PubMed] [Green Version]
- Seijo, L.M.; Trujillo, J.C.; Zulueta, J.J. Screening in Lung Cancer: The Latest Evidence. Arch. Bronconeumol. 2020, 56, 7–8. [Google Scholar] [CrossRef] [PubMed]
- González-Marrón, A.; Martín-Sánchez, J.C.; Garcia-Alemany, F.; Martínez-Martín, E.; Matilla-Santander, N.; Cartanyà-Hueso, À.; Vidal, C.; García, M.; Martínez-Sánchez, J.M. Estimation of the Risk of Lung Cancer in Women Participating in a Population-Based Breast Cancer Screening Program. Arch. Bronconeumol. 2020, 56, 277–281. [Google Scholar] [CrossRef]
- Tang, J.; Ramis-Cabrer, D.; Curull, V.; Mateu-Jiménez, M.; Almagro, K.; Duran, X.; Pijuan, L.; Rodríguez-Fuster, A.; Aguiló, R.; Barreiro, E. Markers of Stroma in Lung Cancer: Influence of COPD. Arch. Bronconeumol. 2021, 57, 130–137. [Google Scholar] [CrossRef]
- Tang, J.; Curull, V.; Ramis-Cabrer, D.; Duran, X.; Rodríguez-Fuster, A.; Aguiló, R.; Barreiro, E. Preoperative Body Weight and Albumin Predict Survival in Patients With Resectable Lung Neoplasms: Role of COPD. Arch. Bronconeumol. 2021, 57, 51–60. [Google Scholar] [CrossRef]
- Tang, J.; Curull, V.; Wang, X.; Ampurdanés, C.; Duran, X.; Pijuan, L.; Rodríguez-Fuster, A.; Aguiló, R.; Yélamos, J.; Barreiro, E. Increased PARP Activity and DNA Damage in NSCLC Patients: The Influence of COPD. Cancers 2020, 12, 3333. [Google Scholar] [CrossRef]
- Tang, J.; Ramis-Cabrer, D.; Curull, V.; Wang, X.; Mateu-Jiménez, M.; Pijuan, L.; Duran, X.; Qin, L.; Rodríguez-Fuster, A.; Aguiló, R.; et al. B Cells and Tertiary Lymphoid Structures Influence Survival in Lung Cancer Patients with Resectable Tumors. Cancers 2020, 12, 2644. [Google Scholar] [CrossRef]
- Tang, J.; Ramis-Cabrer, D.; Curull, V.; Wang, X.; Qin, L.; Mateu-Jiménez, M.; Duran, X.; Pijuan, L.; Rodríguez-Fuster, A.; Espases, R.A.; et al. Immune Cell Subtypes and Cytokines in Lung Tumor Microenvironment: Influence of COPD. Cancers 2020, 12, 1217. [Google Scholar] [CrossRef]
- Mateu-Jiménez, M.; Sánchez-Font, A.; Rodríguez-Fuster, A.; Aguiló, R.; Pijuan, L.; Fermoselle, C.; Gea, J.; Curull, V.; Barreiro, E. Redox imbalance in lung cancer of patients with underlying chronic respiratory conditions. Mol. Med. 2016, 22, 85–98. [Google Scholar] [CrossRef]
- Mateu-Jimenez, M.; Curull, V.; Pijuan, L.; Sánchez-Font, A.; Rivera-Ramos, H.; Rodríguez-Fuster, A.; Aguiló, R.; Gea, J.; Barreiro, E. Systemic and Tumor Th1 and Th2 Inflammatory Profile and Macrophages in Lung Cancer: Influence of Underlying Chronic Respiratory Disease. J. Thorac. Oncol. 2017, 12, 235–248. [Google Scholar] [CrossRef] [Green Version]
- Mateu-Jimenez, M.; Curull, V.; Rodríguez-Fuster, A.; Aguiló, R.; Sánchez-Font, A.; Pijuan, L.; Gea, J.; Barreiro, E. Profile of epigenetic mechanisms in lung tumors of patients with underlying chronic respiratory conditions. Clin. Epigenetics 2018, 10, 7. [Google Scholar] [CrossRef] [PubMed] [Green Version]
- Sundar, I.K.; Mullapudi, N.; Yao, H.; Spivack, S.D.; Rahman, I. Lung cancer and its association with chronic obstructive pulmonary disease: Update on nexus of epigenetics. Curr. Opin. Pulm. Med. 2011, 17, 279–285. [Google Scholar] [CrossRef] [Green Version]
- Houghton, A.M.G. Mechanistic links between COPD and lung cancer. Nat. Rev. Cancer 2013, 13, 233–245. [Google Scholar] [CrossRef] [PubMed]
- Blandino, G.; Fazi, F.; Donzelli, S.; Kedmi, M.; Sas-Chen, A.; Muti, P.; Strano, S.; Yarden, Y. Tumor suppressor microRNAs: A novel non-coding alliance against cancer. FEBS Lett. 2014, 588, 2639–2652. [Google Scholar] [CrossRef] [PubMed] [Green Version]
- Van Pottelberge, G.R.; Mestdagh, P.; Bracke, K.R.; Thas, O.; van Durme, Y.M.T.A.; Joos, G.F.; Vandesompele, J.; Brusselle, G.G.; Van Pottelberge, G.R.; Mestdagh, P.; et al. MicroRNA expression in induced sputum of smokers and patients with chronic obstructive pulmonary disease. Am. J. Respir. Crit. Care Med. 2011, 183, 898–906. [Google Scholar] [CrossRef] [PubMed]
- Liloglou, T.; Bediaga, N.G.; Brown, B.R.B.B.; Field, J.K.; Davies, M.P.A.A. Epigenetic biomarkers in lung cancer. Cancer Lett. 2014, 342, 200–212. [Google Scholar] [CrossRef] [PubMed]
- Barreiro, E.; Fermoselle, C.; Mateu-Jimenez, M.; Sánchez-Font, A.; Pijuan, L.; Gea, J.; Curull, V. Oxidative stress and inflammation in the normal airways and blood of patients with lung cancer and COPD. Free Radic. Biol. Med. 2013, 65, 859–871. [Google Scholar] [CrossRef]
- Climent, M.; Viggiani, G.; Chen, Y.-W.W.; Coulis, G.; Castaldi, A. MicroRNA and ROS Crosstalk in Cardiac and Pulmonary Diseases. Int. J. Mol. Sci. 2020, 21, 4370. [Google Scholar] [CrossRef]
- Cho, W.C.S.S.; Kwan, C.K.; Yau, S.; So, P.P.F.F.; Poon, P.C.M.M.; Au, J.S.K.K. The role of inflammation in the pathogenesis of lung cancer. Expert Opin. Ther. Targets 2011, 15, 1127–1137. [Google Scholar] [CrossRef] [PubMed]
- O’Byrne, K.J.; Dalgleish, A.G. Chronic immune activation and inflammation as the cause of malignancy. Br. J. Cancer 2001, 85, 473–483. [Google Scholar] [CrossRef] [PubMed]
- Carpagnano, G.E.; Spanevello, A.; Curci, C.; Salerno, F.; Palladino, G.P.; Resta, O.; Di Gioia, G.; Carpagnano, F.; Foschino Barbaro, M.P. IL-2, TNF-α, and Leptin: Local Versus Systemic Concentrations in NSCLC Patients. Oncol. Res. Featur. Preclin. Clin. Cancer Ther. 2006, 16, 375–381. [Google Scholar] [CrossRef]
- Hanahan, D.; Weinberg, R.A. Hallmarks of Cancer: The Next Generation. Cell 2011, 144, 646–674. [Google Scholar] [CrossRef] [PubMed] [Green Version]
- Marwick, J.A.; Kirkham, P.; Gilmour, P.S.; Donaldson, K.; MacNEE, W.; Rahman, I. Cigarette smoke-induced oxidative stress and TGF-beta1 increase p21waf1/cip1 expression in alveolar epithelial cells. Ann. N. Y. Acad. Sci. 2002, 973, 278–283. [Google Scholar] [CrossRef] [PubMed]
- Miravitlles, M.; Calle, M.; Soler-Cataluña, J.J. GesEPOC 2021: One More Step Towards Personalized Treatment of COPD. Arch. Bronconeumol. 2021, 57, 9–10. [Google Scholar] [CrossRef] [PubMed]
- Soriano, J.B.; Alfageme, I.; Miravitlles, M.; de Lucas, P.; Soler-Cataluña, J.J.; García-Río, F.; Casanova, C.; Rodríguez González-Moro, J.M.; Cosío, B.G.; Sánchez, G.; et al. Prevalence and Determinants of COPD in Spain: EPISCAN II. Arch. Bronconeumol. 2020, 57, 61–69. [Google Scholar] [CrossRef]
- Slatore, C.G.; Horeweg, N.; Jett, J.R.; Midthun, D.E.; Powell, C.A.; Wiener, R.S.; Wisnivesky, J.P.; Gould, M.K. An Official American Thoracic Society research statement: A research framework for pulmonary nodule evaluation and management. Am. J. Respir. Crit. Care Med. 2015, 192, 500–514. [Google Scholar] [CrossRef] [Green Version]
- Kozower, B.D.; Larner, J.M.; Detterbeck, F.C.; Jones, D.R. Special Treatment Issues in Non-small Cell Lung Cancer. Chest 2013, 143, e369S–e399S. [Google Scholar] [CrossRef] [Green Version]
- Livak, K.J.; Schmittgen, T.D. Analysis of Relative Gene Expression Data Using Real-Time Quantitative PCR and the 2−ΔΔCT Method. Methods 2001, 25, 402–408. [Google Scholar] [CrossRef]
- Puig-Vilanova, E.; Aguiló, R.; Rodríguez-Fuster, A.; Martínez-Llorens, J.; Gea, J.; Barreiro, E. Epigenetic Mechanisms in Respiratory Muscle Dysfunction of Patients with Chronic Obstructive Pulmonary Disease. PLoS ONE 2014, 9, e111514. [Google Scholar] [CrossRef] [PubMed]
- Puig-Vilanova, E.; Ausin, P.; Martinez-Llorens, J.; Gea, J.; Barreiro, E. Do Epigenetic Events Take Place in the Vastus Lateralis of Patients with Mild Chronic Obstructive Pulmonary Disease? PLoS ONE 2014, 9, e102296. [Google Scholar] [CrossRef] [Green Version]
- Goto, A.; Tanaka, M.; Yoshida, M.; Umakoshi, M.; Nanjo, H.; Shiraishi, K.; Saito, M.; Kohno, T.; Kuriyama, S.; Konno, H.; et al. The low expression of miR-451 predicts a worse prognosis in non-small cell lung cancer cases. PLoS ONE 2017, 12, e0181270. [Google Scholar] [CrossRef] [Green Version]
- Cheng, D.; Xu, Y.; Sun, C.; He, Z. MicroRNA-451 sensitizes lung cancer cells to cisplatin through regulation of Mcl-1. Mol. Cell. Biochem. 2016, 423, 85–91. [Google Scholar] [CrossRef]
- Bian, H.-B.B.; Pan, X.; Yang, J.-S.S.; Wang, Z.-X.X.; De, W. Upregulation of microRNA-451 increases cisplatin sensitivity of non-small cell lung cancer cell line (A549). J. Exp. Clin. Cancer Res. 2011, 30, 20. [Google Scholar] [CrossRef] [Green Version]
- Zhao, B.; Han, H.; Chen, J.; Zhang, Z.; Li, S.; Fang, F.; Zheng, Q.; Ma, Y.; Zhang, J.; Wu, N.; et al. MicroRNA let-7c inhibits migration and invasion of human non-small cell lung cancer by targeting ITGB3 and MAP4K3. Cancer Lett. 2014, 342, 43–51. [Google Scholar] [CrossRef] [PubMed]
- Cui, S.-Y.Y.; Huang, J.-Y.Y.; Chen, Y.-T.T.; Song, H.-Z.Z.; Feng, B.; Huang, G.-C.C.; Wang, R.; Chen, L.-B.B.; De, W. Let-7c Governs the Acquisition of Chemo- or Radioresistance and Epithelial-to-Mesenchymal Transition Phenotypes in Docetaxel-Resistant Lung Adenocarcinoma. Mol. Cancer Res. 2013, 11, 699–713. [Google Scholar] [CrossRef] [Green Version]
- Huang, X.; Le, Q.-T.; Giaccia, A.J. MiR-210—micromanager of the hypoxia pathway. Trends Mol. Med. 2010, 16, 230–237. [Google Scholar] [CrossRef] [Green Version]
- Rahman, I.; van Schadewijk, A.A.M.; Crowther, A.J.L.; Hiemstra, P.S.; Stolk, J.; MacNee, W.; De Boer, W.I. 4-Hydroxy-2-Nonenal, a Specific Lipid Peroxidation Product, Is Elevated in Lungs of Patients with Chronic Obstructive Pulmonary Disease. Am. J. Respir. Crit. Care Med. 2002, 166, 490–495. [Google Scholar] [CrossRef] [PubMed]
- Gupta, A.; Srivastava, S.; Prasad, R.; Natu, S.M.; Mittal, B.; Negi, M.P.S.; Srivastava, A.N. Oxidative stress in non-small cell lung cancer patients after chemotherapy: Association with treatment response. Respirology 2010, 15, 349–356. [Google Scholar] [CrossRef]
- Esme, H.; Cemek, M.; Sezer, M.; Saglam, H.; Demir, A.; Melek, H.; Unlu, M. High levels of oxidative stress in patients with advanced lung cancer. Respirology 2008, 13, 112–116. [Google Scholar] [CrossRef]
- Requena, J.R.; Fu, M.-X.; Ahmed, M.U.; Jenkins, A.J.; Lyons, T.J.; Thorpe, S.R. Lipoxidation products as biomarkers of oxidative damage to proteins during lipid peroxidation reactions. Nephrol. Dial. Transplant. 1996, 11, 48–53. [Google Scholar] [CrossRef] [PubMed]
- Stadtman, E.R.; Levine, R.L. Free radical-mediated oxidation of free amino acids and amino acid residues in proteins. Amino Acids 2003, 25, 207–218. [Google Scholar] [CrossRef] [PubMed]
- Friguet, B.; Stadtman, E.R.R.; Szweda, L.I.I. Modification of glucose-6-phosphate dehydrogenase by 4-hydroxy-2-nonenal. Formation of cross-linked protein that inhibits the multicatalytic protease. J. Biol. Chem. 1994, 269, 21639–21643. [Google Scholar] [CrossRef]
- Sotgia, S.; Paliogiannis, P.; Sotgiu, E.; Mellino, S.; Zinellu, E.; Fois, A.G.; Pirina, P.; Carru, C.; Mangoni, A.A.; Zinellu, A. Systematic Review and Meta-Analysis of the Blood Glutathione Redox State in Chronic Obstructive Pulmonary Disease. Antioxidants 2020, 9, 1146. [Google Scholar] [CrossRef] [PubMed]
- Li, J.; Shen, C.; Wang, X.; Lai, Y.; Zhou, K.; Li, P.; Liu, L.; Che, G. Prognostic value of TGF-β in lung cancer: Systematic review and meta-analysis. BMC Cancer 2019, 19, 691. [Google Scholar] [CrossRef] [Green Version]





| Assay Name | Assay ID | miRbase Accession Number |
|---|---|---|
| hsa-miR-451a | 478107_mir | MIMAT0001631 |
| hsa-miR-210-3p | 477970_mir | MIMAT0000267 |
| hsa-miR-126-3p | 477887_mir | MIMAT0000445 |
| hsa-miR-21-5p | 477975_mir | MIMAT0000076 |
| hsa-let7c-5p | 478577_mir | MIMAT0000064 |
| hsa-miR-145-5p | 477916_mir | MIMAT0000437 |
| hsa-miR-200b-3p | 477963_mir | MIMAT0000318 |
| hsa-miR-223-3p | 477983_mir | MIMAT0000280 |
| ath-miR159a | 478411_mir | MIMAT0000177 |
| Non-LC Controls | LC-Only | LC-COPD | |
|---|---|---|---|
| N = 45 | N = 32 | N = 91 | |
| Anthropometry | |||
| Age (years) | 63 (10) | 64 (11) | 67 (9) |
| Male, N/female, N | 32/13 | 15/17 | 82/9 |
| Body weight (kg) | 75 (16) | 70 (14) | 72 (12) |
| BMI (kg/m2) | 27 (5) | 26 (4) | 25 (4) |
| Smoking history | |||
| Active, N (%) | 15 (33) | 11 (34) | 39 (43) |
| Ex-smoker, N (%) | 17 (38) | 9 (28) | 48 (53) # |
| Never smoker, N (%) | 13 (29) | 12 (38) | 4 (4) ***,### |
| Packs-year | 47 (26) | 46 (15) | 58 (21) |
| Lung function testing | |||
| FEV1, % predicted | 80 (24) | 94 (15) *** | 62 (14) ***,### |
| FEV1/FVC, % predicted | 70 (12) | 78 (6) *** | 61 (9) ***,### |
| DLCO, % predicted | 81 (22) | 82 (19) | 68 (19) **,## |
| KCO, % predicted | 82 (22) | 82 (15) | 75 (21) |
| TNM staging | |||
| Stage 0-II: N (%) | NA | 20 (62) | 53 (58) |
| Stage III: N (%) | NA | 7 (22) | 19 (21) |
| Stage IV: N (%) | NA | 5 (16) | 19 (21) |
| Blood parameters | |||
| Total leukocytes/µL | 8.2 (4.1) × 103 | 10.5 (4.2) × 103 * | 9.7 (3.6) × 103 |
| Total neutrophils/µL | 5.3 (2.8) × 103 | 8.3 (4.4) × 103 *** | 7.2 (3.5) × 103 * |
| Total lymphocytes/µL | 2.1 (1.1) × 103 | 1.4 (0.6) × 103 | 1.9 (3.0) × 103 |
| Albumin (g/dL) | 4.4 (0.6) | 4.4 (0.9) | 4.0 (0.6) **,# |
| Total proteins (g/dL) | 7.3 (0.8) | 7.0 (1.0) | 7.1 (0.8) |
| CRP (mg/dL) | 4.1 (8.2) | 5.3 (9.4) | 5.7 (7.8) |
| Fibrinogen (mg/dL) | 451 (147) | 463 (131) | 481 (157) |
| GSV (mm/h) | 16.3 (13.9) | 27.6 (15.3) * | 33.4 (22.0) ** |
| Comorbidities | |||
| Hypertension, N (%) | NA | 10 (31.3) | 45 (49.5) |
| Type 2 Diabetes mellitus, N (%) | NA | 2 (6.3) | 17 (18.7) |
| Dyslipidemia, N (%) | NA | 2 (6.3) | 26 (28.6) |
| Treatments | |||
| Diuretic, N (%) | NA | 5 (15.6) | 20 (22.2) |
| Angiotensin converting enzyme inhibitors, N (%) | NA | 2 (6.3) | 6 (28.6) |
| Angiotensin-2 receptor blockers, N (%) | NA | 2 (6.3) | 14 (15.4) |
| Beta blockers, N (%) | NA | 3 (9.4) | 5 (5.5) |
| Calcium channel blockers, N (%) | NA | 2 (6.3) | 7 (7.7) |
| HMG-CoA-reductase, N (%) | NA | 2 (6.3) | 17 (18.7) |
| Biguanides, N (%) | NA | 2 (6.3) | 26 (28.6) |
| LAMA, N (%) | NA | NA | 60 (65.9) |
| LABA, N (%) | NA | NA | 30 (33) |
| Inhaled corticosteroids, N (%) | NA | NA | 17 (18.7) |
| LC-Only | LC-COPD | p Value | |
|---|---|---|---|
| Smoking history | |||
| Never smokers, N (%) | 12 (38) | 4 (4) | <0.001 |
| Ex-smokers, N (%) | 9 (28) | 48 (53) | 0.023 |
| Current smokers, N (%) | 11 (34) | 39 (43) | 0.414 |
| Packs-year, (SD) | 46 (15) | 58 (21) | 0.015 |
| FEV1, %, (SD) | 94 (15) | 62 (14) | <0.001 |
| FEV1/FVC, (SD) | 78 (6) | 61 (9) | <0.001 |
| DLCO, %, (SD) | 82 (19) | 68 (19) | 0.001 |
| Albumin, (SD) | 4.4 (0.9) | 4.0 (0.6) | 0.016 |
| miR-210, (SD) | 207.13 (393.11) | 45.95 (78.07) | 0.006 |
| MDA-protein adducts, (SD) | 51.52 (18.53) | 74.20 (37.97) | 0.033 |
| GSH, (SD) | 12.54 (6.17) | 6.97 (1.24) | 0.001 |
Publisher’s Note: MDPI stays neutral with regard to jurisdictional claims in published maps and institutional affiliations. |
© 2021 by the authors. Licensee MDPI, Basel, Switzerland. This article is an open access article distributed under the terms and conditions of the Creative Commons Attribution (CC BY) license (https://creativecommons.org/licenses/by/4.0/).
Share and Cite
Qin, L.; Guitart, M.; Curull, V.; Sánchez-Font, A.; Duran, X.; Tang, J.; Admetlló, M.; Barreiro, E. Systemic Profiles of microRNAs, Redox Balance, and Inflammation in Lung Cancer Patients: Influence of COPD. Biomedicines 2021, 9, 1347. https://doi.org/10.3390/biomedicines9101347
Qin L, Guitart M, Curull V, Sánchez-Font A, Duran X, Tang J, Admetlló M, Barreiro E. Systemic Profiles of microRNAs, Redox Balance, and Inflammation in Lung Cancer Patients: Influence of COPD. Biomedicines. 2021; 9(10):1347. https://doi.org/10.3390/biomedicines9101347
Chicago/Turabian StyleQin, Liyun, Maria Guitart, Víctor Curull, Albert Sánchez-Font, Xavier Duran, Jun Tang, Mireia Admetlló, and Esther Barreiro. 2021. "Systemic Profiles of microRNAs, Redox Balance, and Inflammation in Lung Cancer Patients: Influence of COPD" Biomedicines 9, no. 10: 1347. https://doi.org/10.3390/biomedicines9101347
APA StyleQin, L., Guitart, M., Curull, V., Sánchez-Font, A., Duran, X., Tang, J., Admetlló, M., & Barreiro, E. (2021). Systemic Profiles of microRNAs, Redox Balance, and Inflammation in Lung Cancer Patients: Influence of COPD. Biomedicines, 9(10), 1347. https://doi.org/10.3390/biomedicines9101347

