Rewriting the Treatment Paradigm: Ilizarov Method Achieves High Success in Septic Non-Unions Without Local Antibiotics or Biologic Adjuncts
Abstract
1. Introduction
2. Materials and Methods
- -
- adult patients (>18 years);
- -
- diagnosis of infected non-union of long bones of the lower extremity according to the Fracture-Related Infection (FRI) consensus definition by the European Bone and Joint Infection Society (EBJIS) [39];
- -
- treatment with the Ilizarov method at our institution.
- -
- known inflammatory systemic diseases at the time of enrolment;
- -
- patients who have undergone any bone transport other than longitudinal;
- -
- patients who did not consent for the use of their data in clinical research at the time of admission.
2.1. Study Objectives
2.2. Statistical Analysis
3. Results
3.1. Patient Characteristics
3.2. Treatment Description
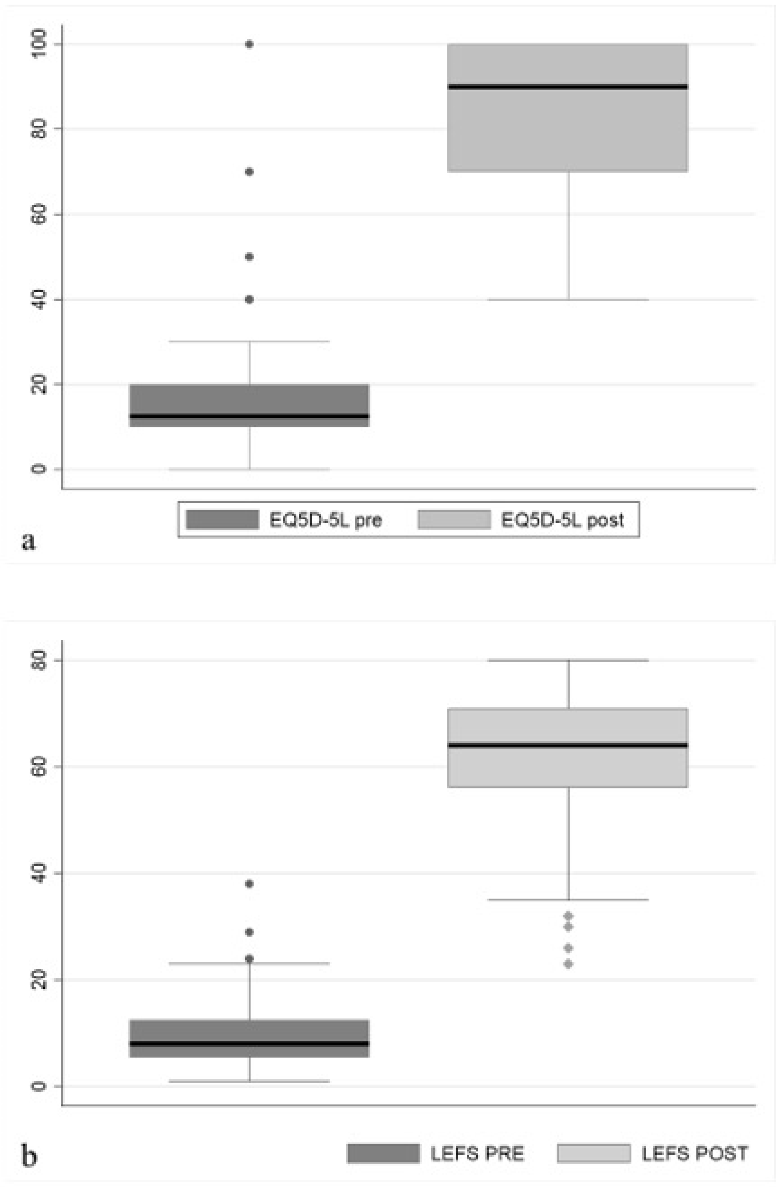
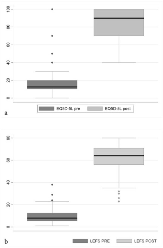
3.3. Outcomes
3.4. Unplanned Revisions and Re-Interventions
4. Discussion
5. Conclusions
Author Contributions
Funding
Institutional Review Board Statement
Informed Consent Statement
Data Availability Statement
Acknowledgments
Conflicts of Interest
References
- Metsemakers, W.J.; Kuehl, R.; Moriarty, T.F.; Richards, R.G.; Verhofstad, M.H.J.; Borens, O.; Kates, S.; Morgenstern, M. Infection after Fracture Fixation: Current Surgical and Microbiological Concepts. Injury 2016, 49, 511–522. [Google Scholar] [CrossRef] [PubMed]
- Kanakaris, N.K.; Tosounidis, T.H.; Giannoudis, P.V. Surgical Management of Infected Non-Unions: An Update. Injury 2015, 46, S25–S32. [Google Scholar] [CrossRef] [PubMed]
- Food and Drug Administration. Guidance Document for Industry and CDRH Staff for the Preparation of Investigational Device Exemptions and Premarket Approval Applications for Bone Growth Stimulator Devices; Draft; Availability. Fed. Regist. 1998, 63, 23292–23293. [Google Scholar]
- Cunningham, B.P.; Brazina, S.; Morshed, S.; Miclau, T., 3rd. Fracture Healing: A Review of Clinical, Imaging and Laboratory Diagnostic Options. Injury 2017, 48 (Suppl. 1), S69–S75. [Google Scholar]
- Nicholson, J.; Makaram, N.; Simpson, A.; Keating, J. Fracture Nonunion in Long Bones: A Literature Review of Risk Factors and Surgical Management. Injury 2021, 52, S3–S11. [Google Scholar] [CrossRef]
- Tetsworth, K.; Paley, D.; Sen, C.; Jaffe, M.; Maar, D.C.; Glatt, V.; Hohmann, E.; Herzenberg, J.E. Bone Transport versus Acute Shortening for the Management of Infected Tibial Non-Unions with Bone Defects. Injury 2017, 48, 2276–2284. [Google Scholar] [CrossRef]
- Teraa, M.; Blokhuis, T.J.; Tang, L.; Leenen, L.P.H. Segmental Tibial Fractures: An Infrequent but Demanding Injury. Clin. Orthop. Relat. Res. 2013, 471, 2790–2796. [Google Scholar] [CrossRef]
- McMahon, S.E.; Little, Z.E.; Smith, T.O.; Trompeter, A.; Hing, C.B. The Management of Segmental Tibial Shaft Fractures: A Systematic Review. Injury 2016, 47, 568–573. [Google Scholar] [CrossRef]
- Santolini, E.; West, R.; Giannoudis, P.V. Risk Factors for Long Bone Fracture Non-Union: A Stratification Approach Based on the Level of the Existing Scientific Evidence. Injury 2015, 46 (Suppl. 8), S8–S19. [Google Scholar] [CrossRef]
- Struijs, P.A.A.; Poolman, R.W.; Bhandari, M. Infected Nonunion of the Long Bones. J. Orthop. Trauma 2007, 21, 507. [Google Scholar] [CrossRef]
- Jain, A.K.; Sinha, S. Infected Nonunion of the Long Bones. Clin. Orthop. Relat. Res. 2005, 431, 57–65. [Google Scholar] [CrossRef]
- Rupp, M.; Kern, S.; Weber, T.; Menges, T.D.; Schnettler, R.; Heiß, C.; Alt, V. Polymicrobial Infections and Microbial Patterns in Infected Nonunions—A Descriptive Analysis of 42 Cases. BMC Infect. Dis. 2020, 20, 667. [Google Scholar] [CrossRef] [PubMed]
- Chaudhary, M.M. Infected Nonunion of Tibia. Indian J. Orthop. 2017, 51, 256–268. [Google Scholar] [CrossRef]
- Marsh, J.; Prokuski, L.; Biermann, J.S. Chronic Infected Tibial Nonunions with Bone Loss. Conventional Techniques versus Bone Transport. Clin. Orthop. Relat. Res. 1994, 301, 139–146. [Google Scholar] [CrossRef]
- Papakostidis, C.; Giannoudis, P.V. Reconstruction of Infected Long Bone Defects: Issues and Challenges. Injury 2023, 54, 807–810. [Google Scholar] [CrossRef]
- Malkova, T.A.; Borzunov, D.Y. International Recognition of the Ilizarov Bone Reconstruction Techniques: Current Practice and Research (dedicated to 100th Birthday of G. A. Ilizarov). World J. Orthop. 2021, 12, 515–533. [Google Scholar] [CrossRef]
- Paley, D.; Maar, D.C. Ilizarov Bone Transport Treatment for Tibial Defects. J. Orthop. Trauma 2000, 14, 76. [Google Scholar] [CrossRef]
- Cattaneo, R.; Catagni, M.; Johnson, E.E. The Treatment of Infected Nonunions and Segmental Defects of the Tibia by the Methods of Ilizarov. Clin. Orthop. Relat. Res. 1992, 280, 143–152. [Google Scholar] [CrossRef]
- Xu, K.; Fu, X.; Li, Y.-M.; Wang, C.-G.; Li, Z.-J. A Treatment for Large Defects of the Tibia Caused by Infected Nonunion: Ilizarov Method with Bone Segment Extension. Ir. J. Med. Sci. 2014, 183, 423–428. [Google Scholar] [CrossRef]
- Dendrinos, G.K.; Kontos, S.; Lyritsis, E. Use of the Ilizarov Technique for Treatment of Non-Union of the Tibia Associated with Infection. J. Bone Joint Surg. Am. 1995, 77, 835. [Google Scholar] [CrossRef]
- Hosny, G.; Shawky, M.S. The Treatment of Infected Non-Union of the Tibia by Compression-Distraction Techniques Using the Ilizarov External Fixator. Int. Orthop. 1998, 22, 298–302. [Google Scholar] [CrossRef]
- Magadum, M.P.; Yadav, C.M.B.; Phaneesha, M.S.; Ramesh, L.J. Acute Compression and Lengthening by the Ilizarov Technique for Infected Nonunion of the Tibia with Large Bone Defects. J. Orthop. Surg. 2006, 14, 273–279. [Google Scholar] [CrossRef] [PubMed]
- Megas, P.; Saridis, A.; Kouzelis, A.; Kallivokas, A.; Mylonas, S.; Tyllianakis, M. The Treatment of Infected Nonunion of the Tibia Following Intramedullary Nailing by the Ilizarov Method. Injury 2010, 41, 294–299. [Google Scholar] [CrossRef] [PubMed]
- Barakat, A.S.; Elguindy, A.; Elazab, M.; Hegazy, M.; Abdel-Meguid, K.M.S.; Elbarbary, H. Management of 30 Infected Nonunited Tibial Fractures by Ilizarov External Fixator with Acute Shortening Distraction Technique with Consideration of the Causative Organism. Curr. Orthop. Pract. 2017, 28, 416. [Google Scholar] [CrossRef]
- Motsitsi, N.S. Management of Infected Nonunion of Long Bones: The Last Decade (1996–2006). Injury 2008, 39, 155–160. [Google Scholar] [CrossRef]
- Yin, P.; Ji, Q.; Li, T.; Li, J.; Li, Z.; Liu, J.; Wang, G.; Wang, S.; Zhang, L.; Mao, Z.; et al. A Systematic Review and Meta-Analysis of Ilizarov Methods in the Treatment of Infected Nonunion of Tibia and Femur. PLoS ONE 2015, 10, e0141973. [Google Scholar] [CrossRef]
- Ren, C.; Li, M.; Ma, T.; Li, Z.; Xu, Y.; Sun, L.; Lu, Y.; Wang, Q.; Xue, H.; Zhang, K. A Meta-Analysis of the Masquelet Technique and the Ilizarov Bone Transport Method for the Treatment of Infected Bone Defects in the Lower Extremities. J. Orthop. Surg. 2022, 30, 10225536221102685. [Google Scholar] [CrossRef]
- Catagni, M.A.; Guerreschi, F.; Lovisetti, L. Distraction Osteogenesis for Bone Repair in the 21st Century: Lessons Learned. Injury 2011, 42, 580–586. [Google Scholar] [CrossRef]
- Blum, A.L.L.; BongioVanni, J.C.; Morgan, S.J.; Flierl, M.A.; dos Reis, F.B. Complications Associated with Distraction Osteogenesis for Infected Nonunion of the Femoral Shaft in the Presence of a Bone Defect: A Retrospective Series. J. Bone Joint Surg. Br. 2010, 92, 565–570. [Google Scholar] [CrossRef]
- Ou, Q.; Wu, P.; Zhou, Z.; Pan, D.; Tang, J.-Y. Complication of Osteo Reconstruction by Utilizing Free Vascularized Fibular Bone Graft. BMC Surg. 2020, 20, 216. [Google Scholar] [CrossRef]
- Feltri, P.; Solaro, L.; Errani, C.; Schiavon, G.; Candrian, C.; Filardo, G. Vascularized Fibular Grafts for the Treatment of Long Bone Defects: Pros and Cons. A Systematic Review and Meta-Analysis. Arch. Orthop. Trauma Surg. 2023, 143, 29–48. [Google Scholar] [CrossRef]
- Wang, W.; Yeung, K.W.K. Bone Grafts and Biomaterials Substitutes for Bone Defect Repair: A Review. Bioact. Mater. 2017, 2, 224–247. [Google Scholar] [CrossRef] [PubMed]
- Giannoudis, P.V.; Einhorn, T.A.; Marsh, D. Fracture Healing: The Diamond Concept. Injury 2007, 38, S3–S6. [Google Scholar] [CrossRef] [PubMed]
- Kallala, R.; Graham, S.M.; Nikkhah, D.; Kyrkos, M.; Heliotis, M.; Mantalaris, A.; Tsiridis, E. In Vitro and in Vivo Effects of Antibiotics on Bone Cell Metabolism and Fracture Healing. Expert Opin. Drug Saf. 2012, 11, 15–32. [Google Scholar] [CrossRef]
- Beuttel, E.; Bormann, N.; Pobloth, A.-M.; Duda, G.N.; Wildemann, B. Impact of Gentamicin-Loaded Bone Graft on Defect Healing in a Sheep Model. Materials 2019, 12, 1116. [Google Scholar] [CrossRef]
- Ferguson, J.Y.; Dudareva, M.; Riley, N.D.; Stubbs, D.; Atkins, B.L.; McNally, M.A. The Use of a Biodegradable Antibiotic-Loaded Calcium Sulphate Carrier Containing Tobramycin for the Treatment of Chronic Osteomyelitis: A Series of 195 Cases: A Series of 195 Cases. Bone Joint J. 2014, 96, 829–836. [Google Scholar] [CrossRef]
- Freischmidt, H.; Armbruster, J.; Rothhaas, C.; Titze, N.; Guehring, T.; Nurjadi, D.; Kretzer, J.P.; Schmidmaier, G.; Grützner, P.A.; Helbig, L. Efficacy of an Antibiotic Loaded Ceramic-Based Bone Graft Substitute for the Treatment of Infected Non-Unions. Biomedicines 2022, 10, 2513. [Google Scholar] [CrossRef]
- Vandenbulcke, F.; Renne, S.L.; Anzillotti, G.; Conte, P.; Ravasio, G.; Meroni, G.; Riva, F.; Kon, E. “Anti-Bios”: Can Local Antibiotics Affect Bone Union in Infected Bone Defects Treated with Degradable Bone Substitutes. Biomedicines 2025, 13, 1070. [Google Scholar] [CrossRef]
- Metsemakers, W.J.; Morgenstern, M.; McNally, M.A.; Moriarty, T.F.; McFadyen, I.; Scarborough, M.; Athanasou, N.A.; Ochsner, P.E.; Kuehl, R.; Raschke, M.; et al. Fracture-Related Infection: A Consensus on Definition from an International Expert Group. Injury 2017, 49, 505–510. [Google Scholar] [CrossRef]
- Einhorn, T.A.; Gerstenfeld, L.C. Fracture Healing: Mechanisms and Interventions. Nat. Rev. Rheumatol. 2015, 11, 45–54. [Google Scholar] [CrossRef]
- Calori, G.M.; Colombo, M.; Mazza, E.L.; Mazzola, S.; Malagoli, E.; Marelli, N.; Corradi, A. Validation of the Non-Union Scoring System in 300 Long Bone Non-Unions. Injury 2014, 45, S93–S97. [Google Scholar] [CrossRef]
- Mauffrey, C.; Barlow, B.T.; Smith, W. Management of Segmental Bone Defects. J. Am. Acad. Orthop. Surg. 2015, 23, 143–153. [Google Scholar] [PubMed]
- Flores, M.J.; Brown, K.E.; O’Marr, J.M.; Adejuyigbe, B.; Rodarte, P.; Gomez-Alvarado, F.; Nwachuku, K.; Urva, M.; Shearer, D. The Economic Impact of Infection And/or Nonunion on Long-Bone Shaft Fractures: A Systematic Review. OTA Int. 2024, 7, e337. [Google Scholar] [CrossRef] [PubMed]
- Wouthuyzen-Bakker, M. Cultures in Periprosthetic Joint Infections, the Imperfect Gold Standard? EFORT Open Rev. 2023, 8, 175–179. [Google Scholar] [CrossRef] [PubMed]
- Nauth, A.; Crist, B.D.; Morshed, S.; Watson, J.T.; Pape, H.-C. Management of Aseptic Nonunions and Severe Bone Defects: Let Us Get This Thing Healed! OTA Int. 2023, 6, e258. [Google Scholar] [CrossRef]





| Characteristics | Value |
|---|---|
| Age at surgery—years | |
| Average ± SD | 43.0 ± 14.4 |
| Sex—no (%) | |
| Male | 56 (75.7%) |
| Affected site—no (%) | |
| Diaphyseal femur | 5 (6.8%) |
| Distal metaphyseal femur | 11 (14.9%) |
| Proximal metaphyseal tibia | 7 (9.5%) |
| Diaphyseal tibia | 22 (29.7%) |
| Distal metaphyseal tibia | 29 (39.2%) |
| NUSS | |
| Average (SD)—points | 69.9 ± 8.6 |
| Patients > 75 points—no (%) | 24 (32.4%) |
| Previous surgical procedures—no | |
| Median (range) | 3 (1–32) |
| Time since the injury—months | |
| Median (range) | 14.3 (0.7–298.1) |
| Candidates for amputation before our intervention—no (%) | 33 (46.5%) |
| Main Surgical Procedure | |
| Variable | Value |
| Removed hardware—no (%) | |
| No hardware | 27 (36.48%) |
| Plates and screws | 17 (22.97%) |
| External fixators | 13 (17.56%) |
| Intramedullary nails | 12 (16.21%) |
| Other (screws, cement spacer) | 4 (5.4%) |
| Treatment strategy after resection | |
| One-stage ASR | 32 (43.24%) |
| Two-stage ASR | 10 (13.51%) |
| One-stage BT (without DS revision) | 14 (18.91%) |
| Two-stage BT (with DS revision) | 10 (13.51%) |
| Fixation | 8 (10.81%) |
| Bone defect—cm | |
| Average ± SD | 5.4 ± 2.7 |
| Surgical time—minutes | |
| Average ± SD | 196.1 ± 43.4 |
| Time from 1st to 2nd surgical stage—months | |
| Average ± SD | 4.7 ± 3.1 |
| Hospital stay—days | |
| Median (range) | 4 (1–21) |
| Need for blood transfusion—no (%) | |
| 1 (1.35%) | |
| Culture exam results—no (%) | |
| Monomicrobial | 38 (51.35%) |
| Polymicrobic | 15 (20.27%) |
| Negative | 17 (22.97%) |
| N/A | 4 (5.4%) |
| Isolated microorganisms—no (%) | |
| Staphylococcus aureus | 24% |
| Other staphylococci (epidermidis, capitis, haemolyticus) | 32% |
| Enterobacteriaceae (E. cloacae, K. pneumoniae, E. coli) | 15% |
| Enterococci (faecalis, faecium) | 12% |
| Pseudomonas aeruginosa | 6% |
| Others (P. mirabilis, A. niger, S. mitis, C. striatum) | 8% |
| Unplanned Revisions or Re-Interventions | |
| Variable | Value |
| UR—no (%) | |
| None | 63 (85.13%) |
| One | 10 (13.51%) |
| Two * | 3 (4.05%) |
| Time to 1st UR—months | |
| Average ± SD | 7.44 ± 2.11 |
| Reason for UR—no (%) | |
| Delayed union | 5 |
| Half-pin/wires loosening | 3 |
| Infection persistence | 2 |
| Re-interventions—no (%) | 11 (14.86%) |
| Re-fractures | 10 (13.51%) |
| Infection recurrence | 1 (1.35%) |
| Outcomes | |
|---|---|
| Clinical Outcome | Value |
| EFT—months | |
| Average ± SD | 11.5 ± 4.4 |
| EFI—months/cm | |
| Average ± SD | 2.49 ± 1.09 |
| Bone union rate—no (%) | |
| 73 (98.65%) | |
| Infection healing rate—no (%) | |
| 68 (91.89%) | |
| ASAMI Bone—no (%) | |
| Excellent | 63 (85.14%) |
| Good | 9 (12.16%) |
| Fair | 1 (1.35%) |
| Poor | 1 (1.35%) |
| ASAMI Functional—no (%) | |
| Excellent | 38 (51.35%) |
| Good | 28 (37.84%) |
| Fair | 7 (9.46%) |
| Poor | 0 |
| Failure | 1 (1.35%) |
| Walking aids—% | |
| No need | 92% |
| Crutch for long distances | 23% |
| Wheelchair for long distances | 4% |
| Returned to work—% | |
| Total | 93% |
| Same task as before injury | 77% |
| Re-assigned | 16% |
| PGIC | |
| Very much improved | 89% |
| Much improved | 7.8% |
| Minimally improved | 1.5% |
| No change | 0 |
| Minimally worse | 1.5% |
| Much worse | 0 |
| Very much worse | 0 |
Disclaimer/Publisher’s Note: The statements, opinions and data contained in all publications are solely those of the individual author(s) and contributor(s) and not of MDPI and/or the editor(s). MDPI and/or the editor(s) disclaim responsibility for any injury to people or property resulting from any ideas, methods, instructions or products referred to in the content. |
© 2025 by the authors. Licensee MDPI, Basel, Switzerland. This article is an open access article distributed under the terms and conditions of the Creative Commons Attribution (CC BY) license (https://creativecommons.org/licenses/by/4.0/).
Share and Cite
Vandenbulcke, F.; Dorotei, A.; Malagoli, E.; Kirienko, A. Rewriting the Treatment Paradigm: Ilizarov Method Achieves High Success in Septic Non-Unions Without Local Antibiotics or Biologic Adjuncts. Biomedicines 2025, 13, 1665. https://doi.org/10.3390/biomedicines13071665
Vandenbulcke F, Dorotei A, Malagoli E, Kirienko A. Rewriting the Treatment Paradigm: Ilizarov Method Achieves High Success in Septic Non-Unions Without Local Antibiotics or Biologic Adjuncts. Biomedicines. 2025; 13(7):1665. https://doi.org/10.3390/biomedicines13071665
Chicago/Turabian StyleVandenbulcke, Filippo, Andrea Dorotei, Emiliano Malagoli, and Alexander Kirienko. 2025. "Rewriting the Treatment Paradigm: Ilizarov Method Achieves High Success in Septic Non-Unions Without Local Antibiotics or Biologic Adjuncts" Biomedicines 13, no. 7: 1665. https://doi.org/10.3390/biomedicines13071665
APA StyleVandenbulcke, F., Dorotei, A., Malagoli, E., & Kirienko, A. (2025). Rewriting the Treatment Paradigm: Ilizarov Method Achieves High Success in Septic Non-Unions Without Local Antibiotics or Biologic Adjuncts. Biomedicines, 13(7), 1665. https://doi.org/10.3390/biomedicines13071665

