Patient-Derived Cancer-Associated Fibroblasts Support the Colonization of Tumor Cells in Head and Neck Squamous Cell Carcinoma
Abstract
1. Introduction
2. Materials and Methods
2.1. Patient Information
2.2. Cell Line
2.3. Spheroids, CAFs, and SCC-25 Cells in CAF Culture
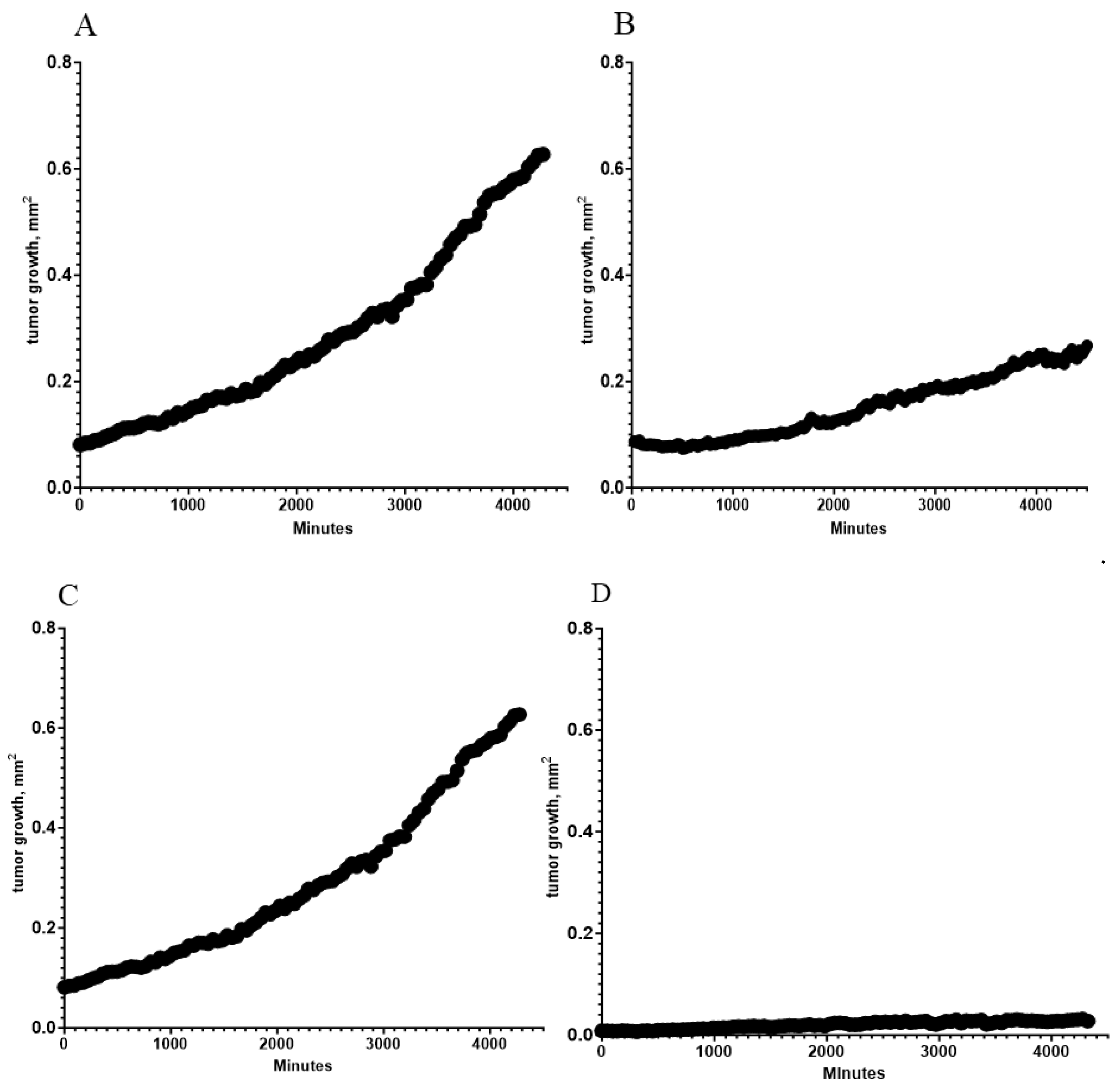
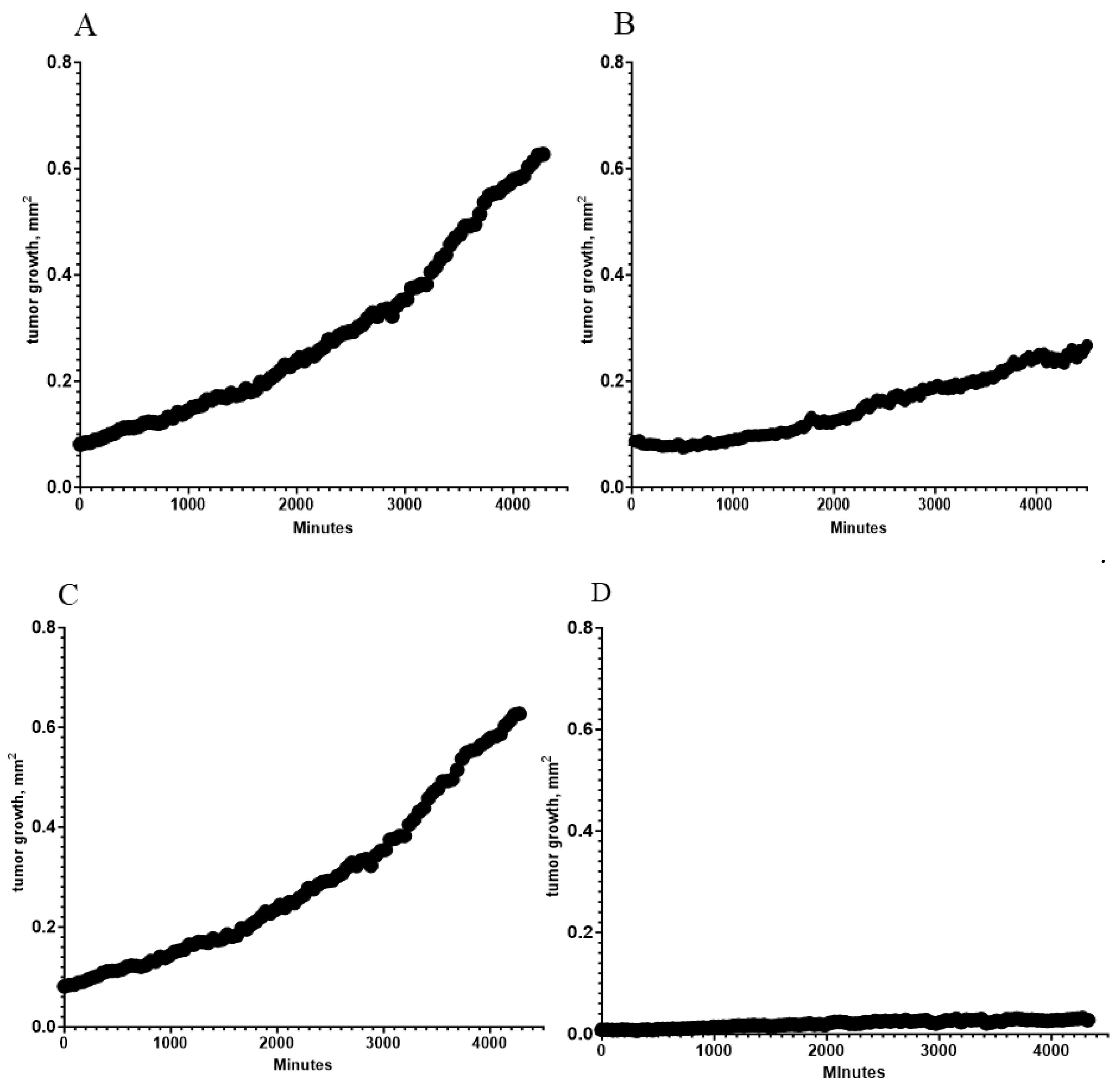
2.4. Cancer Cell Nest Growth Evaluations Using Live Videos
2.5. Three-Dimensional Holotomographic Microscopy
2.6. Experimental Radiation Therapy
2.7. Flow Cytometric Assessment of Passaged Cultured Cells
2.8. Western Blot
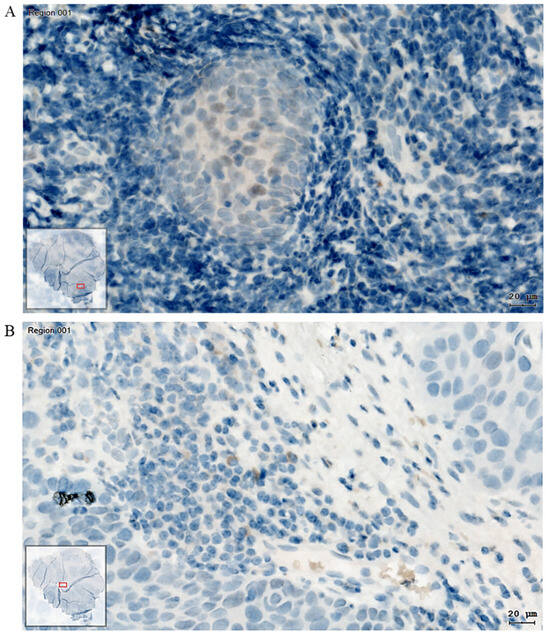
2.9. Immunohistochemistry and Image Acquisition
2.10. Data Analysis
3. Results
3.1. Characterization of Patient-Derived Cell Culture
3.2. Patient-Derived CAF Behavior and the Potential to Influence Tumor Cell Growth in HNSCC
3.3. Clonogenic Survival and Cell Viability After Radiation of CAF-Educated SCC-25 Cells
3.4. Radiation Sustains Pospho-p38 Signaling and Promotes pEMT
3.5. Detection of p38 MAPK Phosphorylation in the HNSCC Patient Tumor Tissue
4. Discussion
Supplementary Materials
Author Contributions
Funding
Institutional Review Board Statement
Informed Consent Statement
Data Availability Statement
Acknowledgments
Conflicts of Interest
Abbreviations
| CAFs | Cancer-associated fibroblasts |
| DMF | Dose-modifying factors |
| HT | Holotomographic microscopy |
| ECM | Extracellular matrix |
| NFs | Normal fibroblasts |
| pEMT | Partial epithelial–mesenchymal transition |
| PORT | Post-operative radiotherapy |
| p38-MAPK | p38 mitogen-activated protein kinase |
| TME | Tumor microenvironment |
References
- Hu, C.; Zhang, Y.; Wu, C.; Huang, Q. Heterogeneity of cancer-associated fibroblasts in head and neck squamous cell carcinoma: Opportunities and challenges. Cell Death Discov. 2023, 9, 124. [Google Scholar] [CrossRef]
- Biffi, G.; Tuveson, D.A. Diversity and Biology of Cancer-Associated Fibroblasts. Physiol. Rev. 2021, 101, 147–176. [Google Scholar] [CrossRef]
- Magan, M.; Wiechec, E.; Roberg, K. CAFs affect the proliferation and treatment response of head and neck cancer spheroids during co-culturing in a unique in vitro model. Cancer Cell Int. 2020, 20, 599. [Google Scholar] [CrossRef] [PubMed]
- Feng, B.; Wu, J.; Shen, B.; Jiang, F.; Feng, J. Cancer-associated fibroblasts and resistance to anticancer therapies: Status, mechanisms, and countermeasures. Cancer Cell Int. 2022, 22, 166. [Google Scholar] [CrossRef] [PubMed]
- Ingruber, J.; Dudás, J.; Savic, D.; Schweigl, G.; Steinbichler, T.B.; Greier, M.D.C.; Santer, M.; Carollo, S.; Trajanoski, Z.; Riechelmann, H. EMT-related transcription factors and protein stabilization mechanisms involvement in cadherin switch of head and neck squamous cell carcinoma. Exp. Cell Res. 2022, 414, 113084. [Google Scholar] [CrossRef]
- Dudas, J.; Ladanyi, A.; Ingruber, J.; Steinbichler, T.B.; Riechelmann, H. Epithelial to Mesenchymal Transition: A Mechanism that Fuels Cancer Radio/Chemoresistance. Cells 2020, 9, 428. [Google Scholar] [CrossRef] [PubMed]
- Federspiel, J.; Greier, M.D.C.; Ladányi, A.; Dudas, J. p38 Mitogen-Activated Protein Kinase Inhibition of Mesenchymal Transdifferentiated Tumor Cells in Head and Neck Squamous Cell Carcinoma. Biomedicines 2023, 11, 3301. [Google Scholar] [CrossRef] [PubMed]
- Ingruber, J.; Dudas, J.; Sprung, S.; Lungu, B.; Mungenast, F. Interplay between Partial EMT and Cisplatin Resistance as the Drivers for Recurrence in HNSCC. Biomedicines 2022, 10, 2482. [Google Scholar] [CrossRef]
- Cappellesso, R.; Marioni, G.; Crescenzi, M.; Giacomelli, L.; Guzzardo, V.; Mussato, A.; Staffieri, A.; Martini, A.; Blandamura, S.; Fassina, A. The prognostic role of the epithelial-mesenchymal transition markers E-cadherin and Slug in laryngeal squamous cell carcinoma. Histopathology 2015, 67, 491–500. [Google Scholar] [CrossRef] [PubMed]
- Riechelmann, H.; Steinbichler, T.B.; Sprung, S.; Santer, M.; Runge, A.; Ganswindt, U.; Gamerith, G.; Dudas, J. The Epithelial-Mesenchymal Transcription Factor Slug Predicts Survival Benefit of Up-Front Surgery in Head and Neck Cancer. Cancers 2021, 13, 772. [Google Scholar] [CrossRef]
- Steinbichler, T.B.; Alshaimaa, A.; Maria, M.V.; Daniel, D.; Herbert, R.; Jozsef, D.; Ira-Ida, S. Epithelial-mesenchymal crosstalk induces radioresistance in HNSCC cells. Oncotarget 2018, 9, 3641–3652. [Google Scholar] [CrossRef] [PubMed]
- Keller, S.; Sanderson, M.P.; Stoeck, A.; Altevogt, P. Exosomes: From biogenesis and secretion to biological function. Immunol. Lett. 2006, 107, 102–108. [Google Scholar] [CrossRef] [PubMed]
- Steinbichler, T.B.; Dudas, J.; Skvortsov, S.; Ganswindt, U.; Riechelmann, H.; Skvortsova, I. Therapy resistance mediated by exosomes. Mol. Cancer 2019, 18, 58. [Google Scholar] [CrossRef] [PubMed]
- Rheinwald, J.G.; Beckett, M.A. Tumorigenic keratinocyte lines requiring anchorage and fibroblast support cultured from human squamous cell carcinomas. Cancer Res. 1981, 41, 1657–1663. [Google Scholar]
- Dudas, J.; Bitsche, M.; Schartinger, V.; Falkeis, C.; Sprinzl, G.M.; Riechelmann, H. Fibroblasts produce brain-derived neurotrophic factor and induce mesenchymal transition of oral tumor cells. Oral Oncol. 2011, 47, 98–103. [Google Scholar] [CrossRef]
- Driehuis, E.; Spelier, S.; Hernández, I.B.; de Bree, R.; Willems, S.M.; Clevers, H.; Oliveira, S. Patient-Derived Head and Neck Cancer Organoids Recapitulate EGFR Expression Levels of Respective Tissues and Are Responsive to EGFR-Targeted Photodynamic Therapy. J. Clin. Med. 2019, 8, 1880. [Google Scholar] [CrossRef] [PubMed]
- Park, K.S.; Kim, J.-Y.; Ki, C.-S.; Lee, N.Y. Comparison of the Digene HPV Genotyping LQ Test and the PANArray HPV Genotyping Chip for Detection of High-Risk or Probable High-Risk Human Papillomavirus Genotypes. Ann. Lab. Med. 2014, 34, 279. [Google Scholar] [CrossRef] [PubMed][Green Version]
- Ingruber, J.; Savic, D.; Steinbichler, T.B.; Sprung, S.; Fleischer, F.; Glueckert, R.; Schweigl, G.; Skvortsova, I.-I.; Riechelmann, H.; Dudás, J. KLF4, Slug and EMT in Head and Neck Squamous Cell Carcinoma. Cells 2021, 10, 539. [Google Scholar] [CrossRef] [PubMed]
- Rosenberg, I. Radiation Oncology Physics: A Handbook for Teachers and Students. Br. J. Cancer 2008, 98, 1020. [Google Scholar] [CrossRef]
- Steinbichler, T.B.; Dudas, J.; Ingruber, J.; Glueckert, R.; Sprung, S.; Fleischer, F.; Cidlinsky, N.; Dejaco, D.; Kofler, B.; Giotakis, A.I.; et al. Slug Is A Surrogate Marker of Epithelial to Mesenchymal Transition (EMT) in Head and Neck Cancer. J. Clin. Med. 2020, 9, 2061. [Google Scholar] [CrossRef] [PubMed]
- Giotakis, A.; Dudas, J.; Glueckert, R.; Dejaco, D.; Ingruber, J.; Fleischer, F.; Innerhofer, V.; Pinggera, L.; Bektic-Tadic, L.; Gabriel, S.; et al. Characterization of epithelial cells, connective tissue cells and immune cells in human upper airway mucosa by immunofluorescence multichannel image cytometry: A pilot study. Histochem. Cell Biol. 2021, 155, 405–421. [Google Scholar] [CrossRef] [PubMed]
- Li, X.; González-Maroto, C.; Tavassoli, M. Crosstalk between CAFs and tumour cells in head and neck cancer. Cell Death Discov. 2024, 10, 303. [Google Scholar] [CrossRef]
- Fackler, O.T.; Grosse, R. Cell motility through plasma membrane blebbing. J. Cell Biol. 2008, 181, 879. [Google Scholar] [CrossRef] [PubMed]
- Schick, J.; Raz, E. Blebs—Formation, Regulation, Positioning, and Role in Amoeboid Cell Migration. Front. Cell Dev. Biol. 2022, 10, 926394. [Google Scholar] [CrossRef] [PubMed]
- Vicent, S.; Sayles, L.C.; Vaka, D.; Khatri, P.; Gevaert, O.; Chen, R.; Zheng, Y.; Gillespie, A.K.; Clarke, N.; Xu, Y.; et al. Cross-Species Functional Analysis of Cancer-Associated Fibroblasts Identifies a Critical Role for CLCF1 and IL-6 in Non–Small Cell Lung Cancer In Vivo. Cancer Res. 2012, 72, 5744–5756. [Google Scholar] [CrossRef]
- Zhang, Y.; Lv, N.; Li, M.; Liu, M.; Wu, C. Cancer-associated fibroblasts: Tumor defenders in radiation therapy. Cell Death Dis. 2023, 14, 541. [Google Scholar] [CrossRef] [PubMed]
- Sahai, E.; Astsaturov, I.; Cukierman, E.; DeNardo, D.G.; Egeblad, M.; Evans, R.M.; Fearon, D.; Greten, F.R.; Hingorani, S.R.; Hunter, T.; et al. A framework for advancing our understanding of cancer-associated fibroblasts. Nat. Rev. Cancer 2020, 20, 174–186. [Google Scholar] [CrossRef]
- Han, C.; Liu, T.; Yin, R. Biomarkers for cancer-associated fibroblasts. Biomark. Res. 2020, 8, 64. [Google Scholar] [CrossRef]
- Liu, Q.; Yu, B.; Tian, Y.; Dan, J.; Luo, Y.; Wu, X. P53 Mutant p53N236S Regulates Cancer-Associated Fibroblasts Properties Through Stat3 Pathway. OncoTargets Ther. 2020, 13, 1355. [Google Scholar] [CrossRef] [PubMed]
- Vennin, C.; Mélénec, P.; Rouet, R.; Nobis, M.; Cazet, A.S.; Murphy, K.J.; Herrmann, D.; Reed, D.A.; Lucas, M.C.; Warren, S.C.; et al. CAF hierarchy driven by pancreatic cancer cell p53-status creates a pro-metastatic and chemoresistant environment via perlecan. Nat. Commun. 2019, 10, 3637. [Google Scholar] [CrossRef]
- Arandkar, S.; Furth, N.; Elisha, Y.; Nataraj, N.B.; van der Kuip, H.; Yarden, Y.; Aulitzky, W.; Ulitsky, I.; Geiger, B.; Oren, M. Altered p53 functionality in cancer-associated fibroblasts contributes to their cancer-supporting features. Proc. Natl. Acad. Sci. USA 2018, 115, 6410–6415. [Google Scholar] [CrossRef]
- Martinez-Zubiaurre, I.; Hellevik, T. Cancer-associated fibroblasts in radiotherapy: Bystanders or protagonists? Cell Commun. Signal. 2023, 21, 108. [Google Scholar] [CrossRef] [PubMed]
- Higashiguchi, M.; Murakami, H.; Akita, H.; Kobayashi, S.; Takahama, S.; Iwagami, Y.; Yamada, D.; Tomimaru, Y.; Noda, T.; Gotoh, K.; et al. The impact of cellular senescence and senescence-associated secretory phenotype in cancer-associated fibroblasts on the malignancy of pancreatic cancer. Oncol. Rep. 2023, 49, 98. [Google Scholar] [CrossRef]
- Ansems, M.; Span, P.N. The tumor microenvironment and radiotherapy response; a central role for cancer-associated fibroblasts. Clin. Transl. Radiat. Oncol. 2020, 22, 90–97. [Google Scholar] [CrossRef] [PubMed]
- Joshi, R.S.; Kanugula, S.S.; Sudhir, S.; Pereira, M.P.; Jain, S.; Aghi, M.K. The Role of Cancer-Associated Fibroblasts in Tumor Progression. Cancers 2021, 13, 1399. [Google Scholar] [CrossRef] [PubMed]
- Steer, A.; Cordes, N.; Jendrossek, V.; Klein, D. Impact of Cancer-Associated Fibroblast on the Radiation-Response of Solid Xenograft Tumors. Front. Mol. Biosci. 2019, 6, 70. [Google Scholar] [CrossRef] [PubMed]
- García-Flores, N.; Jiménez-Suárez, J.; Garnés-García, C.; Fernández-Aroca, D.M.; Sabater, S.; Andrés, I.; Fernández-Aramburo, A.; Ruiz-Hidalgo, M.J.; Belandia, B.; Sanchez-Prieto, R.; et al. P38 MAPK and Radiotherapy: Foes or Friends? Cancers 2023, 15, 861. [Google Scholar] [CrossRef] [PubMed]
- Loesch, M.; Chen, G. The p38 MAPK stress pathway as a tumor suppressor or more? Front. Biosci. A J. Virtual Libr. 2008, 13, 3581. [Google Scholar] [CrossRef]






Disclaimer/Publisher’s Note: The statements, opinions and data contained in all publications are solely those of the individual author(s) and contributor(s) and not of MDPI and/or the editor(s). MDPI and/or the editor(s) disclaim responsibility for any injury to people or property resulting from any ideas, methods, instructions or products referred to in the content. |
© 2025 by the authors. Licensee MDPI, Basel, Switzerland. This article is an open access article distributed under the terms and conditions of the Creative Commons Attribution (CC BY) license (https://creativecommons.org/licenses/by/4.0/).
Share and Cite
Federspiel, J.; Steinbichler, T.B.; Vorbach, S.M.; Eling, M.T.; Borena, W.; Seifarth, C.; Hofauer, B.G.; Dudas, J. Patient-Derived Cancer-Associated Fibroblasts Support the Colonization of Tumor Cells in Head and Neck Squamous Cell Carcinoma. Biomedicines 2025, 13, 358. https://doi.org/10.3390/biomedicines13020358
Federspiel J, Steinbichler TB, Vorbach SM, Eling MT, Borena W, Seifarth C, Hofauer BG, Dudas J. Patient-Derived Cancer-Associated Fibroblasts Support the Colonization of Tumor Cells in Head and Neck Squamous Cell Carcinoma. Biomedicines. 2025; 13(2):358. https://doi.org/10.3390/biomedicines13020358
Chicago/Turabian StyleFederspiel, Julia, Teresa Bernadette Steinbichler, Samuel Moritz Vorbach, Marie Theres Eling, Wegene Borena, Christof Seifarth, Benedikt Gabriel Hofauer, and Jozsef Dudas. 2025. "Patient-Derived Cancer-Associated Fibroblasts Support the Colonization of Tumor Cells in Head and Neck Squamous Cell Carcinoma" Biomedicines 13, no. 2: 358. https://doi.org/10.3390/biomedicines13020358
APA StyleFederspiel, J., Steinbichler, T. B., Vorbach, S. M., Eling, M. T., Borena, W., Seifarth, C., Hofauer, B. G., & Dudas, J. (2025). Patient-Derived Cancer-Associated Fibroblasts Support the Colonization of Tumor Cells in Head and Neck Squamous Cell Carcinoma. Biomedicines, 13(2), 358. https://doi.org/10.3390/biomedicines13020358

