Proof of Concept: Effects of an Immune-Enhancing Formula on Clinical Markers of Critical Coronavirus Disease 2019 Cases
Abstract
1. Introduction
2. Materials and Methods
2.1. Immune-Enhancing Formula
2.2. Data Collection and Analysis Methodology
2.3. Statistical Analysis
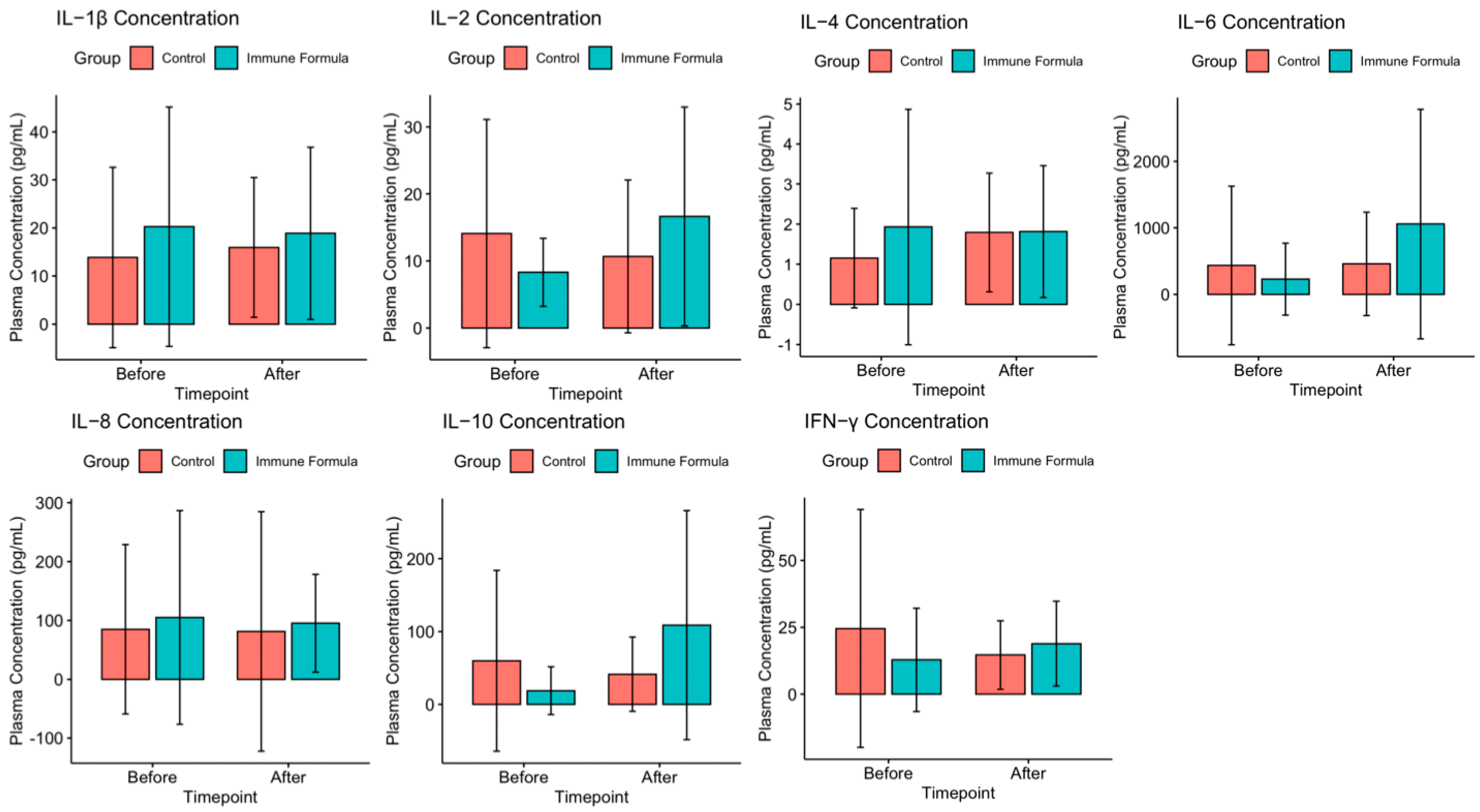
3. Results
4. Discussion
Supplementary Materials
Author Contributions
Funding
Institutional Review Board Statement
Informed Consent Statement
Data Availability Statement
Acknowledgments
Conflicts of Interest
Abbreviations
| COVID-19 | Coronavirus disease 2019 |
| ARDS | Acute respiratory distress syndrome |
| IL | Interleukins |
| SOFA | Sequential organ failure assessment |
| BMI | Body mass index |
| REE | Resting energy expenditure |
| TER | Total energy requirement |
| APACHE II | Acute physiology and chronic health evaluation II |
| UBW | Usual body weight |
| SCFAs | Short-chain fatty acids |
References
- Fukihara, J.; Kondoh, Y. COVID-19 and interstitial lung diseases: A multifaceted look at the relationship between the two diseases. Respir. Investig. 2023, 61, 601–617. [Google Scholar] [CrossRef]
- Montazersaheb, S.; Hosseiniyan Khatibi, S.M.; Hejazi, M.S.; Tarhriz, V.; Farjami, A.; Ghasemian Sorbeni, F.; Farahzadi, R.; Ghasemnejad, T. COVID-19 infection: An overview on cytokine storm and related interventions. Virol. J. 2022, 19, 92. [Google Scholar] [CrossRef] [PubMed]
- van Willigen, H.D.G.; Wynberg, E.; Verveen, A.; Dijkstra, M.; Verkaik, B.J.; Figaroa, O.J.A.; de Jong, M.C.; van der Veen, A.; Makowska, A.; Koedoot, N.; et al. One-fourth of COVID-19 patients have an impaired pulmonary function after 12 months of disease onset. PLoS ONE 2023, 18, e0290893. [Google Scholar] [CrossRef] [PubMed]
- Calder, P.C. Nutrition, immunity and COVID-19. BMJ Nutr. Prev. Health 2020, 3, 74–92. [Google Scholar] [CrossRef]
- Alam, S.; Bhuiyan, F.R.; Emon, T.H.; Hasan, M. Prospects of nutritional interventions in the care of COVID-19 patients. Heliyon 2021, 7, e06285. [Google Scholar] [CrossRef]
- Ojo, O.; Ojo, O.O.; Feng, Q.; Boateng, J.; Wang, X.; Brooke, J.; Adegboye, A.R.A. The Effects of Enteral Nutrition in Critically Ill Patients with COVID-19: A Systematic Review and Meta-Analysis. Nutrients 2022, 14, 1120. [Google Scholar] [CrossRef]
- Grillo-Ardila, C.F.; Tibavizco-Palacios, D.; Triana, L.C.; Rugeles, S.J.; Vallejo-Ortega, M.T.; Calderon-Franco, C.H.; Ramirez-Mosquera, J.J. Early Enteral Nutrition (within 48 h) for Patients with Sepsis or Septic Shock: A Systematic Review and Meta-Analysis. Nutrients 2024, 16, 1560. [Google Scholar] [CrossRef] [PubMed]
- Wang, J.; Yu, K.; Zeng, Y. Early enteral nutrition intervention promotes multiple functional recovery in patients with traumatic intracerebral hemorrhage: A prospective randomized controlled study. Clin. Neurol. Neurosurg. 2023, 234, 108010. [Google Scholar] [CrossRef] [PubMed]
- Haines, K.L.; Ohnuma, T.; Grisel, B.; Krishnamoorthy, V.; Raghunathan, K.; Sulo, S.; Kerr, K.W.; Besecker, B.; Cassady, B.A.; Wischmeyer, P.E. Early enteral nutrition is associated with improved outcomes in critically ill mechanically ventilated medical and surgical patients. Clin. Nutr. ESPEN 2023, 57, 311–317. [Google Scholar] [CrossRef]
- Battaglini, D.; Robba, C.; Fedele, A.; Tranca, S.; Sukkar, S.G.; Di Pilato, V.; Bassetti, M.; Giacobbe, D.R.; Vena, A.; Patroniti, N.; et al. The Role of Dysbiosis in Critically Ill Patients With COVID-19 and Acute Respiratory Distress Syndrome. Front. Med. 2021, 8, 671714. [Google Scholar] [CrossRef] [PubMed]
- Cavalcante, A.A.; Campelo, M.W.; de Vasconcelos, M.P.; Ferreira, C.M.; Guimaraes, S.B.; Garcia, J.H.; de Vasconcelos, P.R. Enteral nutrition supplemented with L-glutamine in patients with systemic inflammatory response syndrome due to pulmonary infection. Nutrition 2012, 28, 397–402. [Google Scholar] [CrossRef] [PubMed]
- Fiorentino, G.; Coppola, A.; Izzo, R.; Annunziata, A.; Bernardo, M.; Lombardi, A.; Trimarco, V.; Santulli, G.; Trimarco, B. Effects of adding L-arginine orally to standard therapy in patients with COVID-19: A randomized, double-blind, placebo-controlled, parallel-group trial. Results of the first interim analysis. eClinicalMedicine 2021, 40, 101125. [Google Scholar] [CrossRef] [PubMed]
- World Health Organization. COVID-19 Weekly Epidemiological Update; World Health Organization: Geneva, Switzerland, 2021. [Google Scholar]
- Xia, Q.; Yang, Y.; Wang, F.; Huang, Z.; Qiu, W.; Mao, A. Case fatality rates of COVID-19 during epidemic periods of variants of concern: A meta-analysis by continents. Int. J. Infect. Dis. 2024, 141, 106950. [Google Scholar] [CrossRef] [PubMed]
- Viner Smith, E.; Lambell, K.; Tatucu-Babet, O.A.; Ridley, E.; Chapple, L.A. Nutrition considerations for patients with persistent critical illness: A narrative review. JPEN J. Parenter. Enteral Nutr. 2024, 48, 658–666. [Google Scholar] [CrossRef] [PubMed]
- Buonacera, A.; Stancanelli, B.; Colaci, M.; Malatino, L. Neutrophil to Lymphocyte Ratio: An Emerging Marker of the Relationships between the Immune System and Diseases. Int. J. Mol. Sci. 2022, 23, 3636. [Google Scholar] [CrossRef]
- Regolo, M.; Vaccaro, M.; Sorce, A.; Stancanelli, B.; Colaci, M.; Natoli, G.; Russo, M.; Alessandria, I.; Motta, M.; Santangelo, N.; et al. Neutrophil-to-Lymphocyte Ratio (NLR) Is a Promising Predictor of Mortality and Admission to Intensive Care Unit of COVID-19 Patients. J. Clin. Med. 2022, 11, 2235. [Google Scholar] [CrossRef]
- Li, G.; Fan, Y.; Lai, Y.; Han, T.; Li, Z.; Zhou, P.; Pan, P.; Wang, W.; Hu, D.; Liu, X.; et al. Coronavirus infections and immune responses. J. Med. Virol. 2020, 92, 424–432. [Google Scholar] [CrossRef]
- Matthay, M.A.; Zemans, R.L. The acute respiratory distress syndrome: Pathogenesis and treatment. Annu. Rev. Pathol. 2011, 6, 147–163. [Google Scholar] [CrossRef] [PubMed]
- Krishnamurthy, P.; Rajasingh, J.; Lambers, E.; Qin, G.; Losordo, D.W.; Kishore, R. IL-10 inhibits inflammation and attenuates left ventricular remodeling after myocardial infarction via activation of STAT3 and suppression of HuR. Circ. Res. 2009, 104, e9–e18. [Google Scholar] [CrossRef] [PubMed]
- Lu, L.; Zhang, H.; Dauphars, D.J.; He, Y.W. A Potential Role of Interleukin 10 in COVID-19 Pathogenesis. Trends Immunol. 2021, 42, 3–5. [Google Scholar] [CrossRef]
- Scarcella, M.; Scarpellini, E.; Piergallini, S.; Rinninella, E.; Routhiaux, K.; Rasetti, C.; Abenavoli, L.; De Robertis, E.; Manzi, P.; Commissari, R.; et al. Effect of Immuno-Nutrition on Malnutrition, Inflammatory Response and Clinical Course of Semi-Critically Ill COVID-19 Patients: A Pilot Perspective Study. Nutrients 2023, 15, 1250. [Google Scholar] [CrossRef] [PubMed]
- Lopez-Delgado, J.C.; Grau-Carmona, T.; Trujillano-Cabello, J.; Garcia-Fuentes, C.; Mor-Marco, E.; Bordeje-Laguna, M.L.; Portugal-Rodriguez, E.; Lorencio-Cardenas, C.; Vera-Artazcoz, P.; Macaya-Redin, L.; et al. The Effect of Enteral Immunonutrition in the Intensive Care Unit: Does It Impact on Outcomes? Nutrients 2022, 14, 1904. [Google Scholar] [CrossRef]
- Tome, D. Amino acid metabolism and signalling pathways: Potential targets in the control of infection and immunity. Nutr. Diabetes 2021, 11, 20. [Google Scholar] [CrossRef] [PubMed]
- Yu, H.R.; Tsai, C.C.; Chang, L.S.; Huang, H.C.; Cheng, H.H.; Wang, J.Y.; Sheen, J.M.; Kuo, H.C.; Hsieh, K.S.; Huang, Y.H.; et al. l-Arginine-Dependent Epigenetic Regulation of Interleukin-10, but Not Transforming Growth Factor-beta, Production by Neonatal Regulatory T Lymphocytes. Front. Immunol. 2017, 8, 487. [Google Scholar] [CrossRef] [PubMed]
- Matsuyama, T.; Yoshinaga, S.K.; Shibue, K.; Mak, T.W. Comorbidity-associated glutamine deficiency is a predisposition to severe COVID-19. Cell Death Differ. 2021, 28, 3199–3213. [Google Scholar] [CrossRef] [PubMed]
- Mohajeri, M.; Horriatkhah, E.; Mohajery, R. The effect of glutamine supplementation on serum levels of some inflammatory factors, oxidative stress, and appetite in COVID-19 patients: A case-control study. Inflammopharmacology 2021, 29, 1769–1776. [Google Scholar] [CrossRef]
- Cruzat, V.; Macedo Rogero, M.; Noel Keane, K.; Curi, R.; Newsholme, P. Glutamine: Metabolism and Immune Function, Supplementation and Clinical Translation. Nutrients 2018, 10, 1564. [Google Scholar] [CrossRef] [PubMed]
- Mielle, J.; Morel, J.; Elhmioui, J.; Combe, B.; Macia, L.; Dardalhon, V.; Taylor, N.; Audo, R.; Daien, C. Glutamine promotes the generation of B10(+) cells via the mTOR/GSK3 pathway. Eur. J. Immunol. 2022, 52, 418–430. [Google Scholar] [CrossRef]
- Coeffier, M.; Dechelotte, P. Combined infusion of glutamine and arginine: Does it make sense? Curr. Opin. Clin. Nutr. Metab. Care 2010, 13, 70–74. [Google Scholar] [CrossRef] [PubMed]
- Abenavoli, L.; Scarpellini, E.; Paravati, M.R.; Scarlata, G.G.M.; Boccuto, L.; Tilocca, B.; Roncada, P.; Luzza, F. Gut Microbiota and Critically Ill Patients: Immunity and Its Modulation via Probiotics and Immunonutrition. Nutrients 2023, 15, 3569. [Google Scholar] [CrossRef]



| Baseline Characteristics | All Participants (n = 31) | Group | p-Value | |
|---|---|---|---|---|
| Control (n = 16) | Immune Formula (n = 15) | |||
| Sex | 1.000 | |||
| Female | 10 (32.3) | 5 (31.3) | 5 (33.3) | |
| Male | 21 (67.7) | 11 (68.8) | 10 (66.7) | |
| Age | 64.2 ± 10.9 | 62.0 ± 10.2 | 66.5 ± 11.4 | 0.133 |
| Height (cm) | 163.0 ± 7.7 | 164.2 ± 7.3 | 161.7 ± 8.2 | 0.394 |
| Weight on admission (kg) | 68.0 ± 11.8 | 70.1 ± 13.2 | 65.8 ± 10.1 | 0.373 |
| Weight at discharge (kg) a | 71.0 ± 11.9 | 70.94 ± 14.1 | 71.0 ± 9.8 | 0.648 |
| BMI (kg/m2) | 25.5 ± 5.3 | 26.2 ± 6.4 | 24.8 ± 3.9 | 0.984 |
| APACHE II a | ||||
| Admission to ICU | 19.6 ± 5.5 | 17.6 ± 5.9 | 21.7 ± 4.3 | 0.046 * |
| Discharge from ICU | 12.7 ± 10.3 | 13.2 ± 12.0 | 11.7 ± 5.4 | 0.859 |
| WBC (103/µL) | 8.56 ± 4.44 | 8.82 ± 2.68 | 8.28 ± 5.86 | 0.118 |
| Lymphocyte count (103/µL) | 0.80 ± 0.43 | 0.84 ± 0.46 | 0.75 ± 0.40 | 0.527 |
| NLR | 14.22 ± 17.98 | 12.77 ± 12.16 | 15.77 ± 23.01 | 0.489 |
| CRP (mg/dL) | 10.26 ± 7.19 | 8.57 ± 7.05 | 12.07 ± 7.12 | 0.173 |
| REE (kcal) | 1396.9 ± 252.6 | 1462.4 ± 287.0 | 1327.0 ± 195.7 | 0.109 |
| TER UBW (kcal) | 1994.1 ± 390.6 | 2105.9 ± 413.4 | 1874.9 ± 338.2 | 0.101 |
| Total length of stay (days) | 33.3 ± 20.4 | 30.6 ± 15.6 | 36.1 ± 24.7 | 0.621 |
| Biomarkers | Groups | p-Value | |
| Control (n = 16) | Immune Formula (n = 15) | ||
| IL-1β (pg/mL) | 2.06 ± 21.86 | −1.37 ± 32.78 | 0.733 |
| IL-2 (pg/mL) | −3.42 ± 22.77 | 7.33 ± 16.26 | 0.144 |
| IL-4 (pg/mL) | 0.64 ± 1.91 | 0.32 ± 1.73 | 0.632 |
| IL-6 (pg/mL) | 23.69 ± 1272.36 | 829.58 ± 1743.52 | 0.150 |
| IL-8 (pg/mL) | −3.60 ± 252.80 | −9.61 ± 213.78 | 0.944 |
| IL-10 (pg/mL) | −18.41 ± 129.60 | 89.77 ± 161.40 | 0.048 * |
| IFN-γ (pg/mL) | −9.90 ± 49.71 | 6.07 ± 20.69 | 0.258 |
Disclaimer/Publisher’s Note: The statements, opinions and data contained in all publications are solely those of the individual author(s) and contributor(s) and not of MDPI and/or the editor(s). MDPI and/or the editor(s) disclaim responsibility for any injury to people or property resulting from any ideas, methods, instructions or products referred to in the content. |
© 2025 by the authors. Licensee MDPI, Basel, Switzerland. This article is an open access article distributed under the terms and conditions of the Creative Commons Attribution (CC BY) license (https://creativecommons.org/licenses/by/4.0/).
Share and Cite
Hou, Y.-C.; Lin, S.-T.; Yang, C.-H.; Tsai, K.-W.; Wu, J.-H.; Huang, H.-Y.; Su, W.-L. Proof of Concept: Effects of an Immune-Enhancing Formula on Clinical Markers of Critical Coronavirus Disease 2019 Cases. Biomedicines 2025, 13, 309. https://doi.org/10.3390/biomedicines13020309
Hou Y-C, Lin S-T, Yang C-H, Tsai K-W, Wu J-H, Huang H-Y, Su W-L. Proof of Concept: Effects of an Immune-Enhancing Formula on Clinical Markers of Critical Coronavirus Disease 2019 Cases. Biomedicines. 2025; 13(2):309. https://doi.org/10.3390/biomedicines13020309
Chicago/Turabian StyleHou, Yi-Cheng, Su-Ting Lin, Chin-Hsuan Yang, Kuo-Wang Tsai, Jing-Huei Wu, Hsiang-Yu Huang, and Wen-Lin Su. 2025. "Proof of Concept: Effects of an Immune-Enhancing Formula on Clinical Markers of Critical Coronavirus Disease 2019 Cases" Biomedicines 13, no. 2: 309. https://doi.org/10.3390/biomedicines13020309
APA StyleHou, Y.-C., Lin, S.-T., Yang, C.-H., Tsai, K.-W., Wu, J.-H., Huang, H.-Y., & Su, W.-L. (2025). Proof of Concept: Effects of an Immune-Enhancing Formula on Clinical Markers of Critical Coronavirus Disease 2019 Cases. Biomedicines, 13(2), 309. https://doi.org/10.3390/biomedicines13020309

