Evaluation of the Effect of mRNA and Inactivated SARS-CoV-2 Vaccines on the Levels of Cytokines IL-2, IFN-γ, and Anti-RBD Spike SARS-CoV-2 Antibodies in People Living with HIV (PLHIV)
Abstract
1. Introduction
2. Materials and Methods
2.1. Study Design and Participants
2.2. Chemiluminescence Microparticle Immunoassay (CMIA) for RBD SARS-CoV-2 IgG
2.3. Analysis of IFN and IL-2 Level
2.4. Statistical Analysis
3. Results
3.1. PLHIV Had Lower Levels of Anti-SARS-CoV-2 RBD IgG in Response to Inactivated Vaccination but Similar Levels to HCs in Response to mRNA Vaccines
3.2. PLHIV Who Received the SARS-CoV-2 mRNA Vaccine Had High Neutralising Antibody Levels after the First Vaccination
3.3. High Levels of IL-2 and IFN-γ Were Present in PLHIV with the First Dose of the Inactivated SARS-CoV-2 Vaccine and Then Decreased on the Second Dose of Vaccination
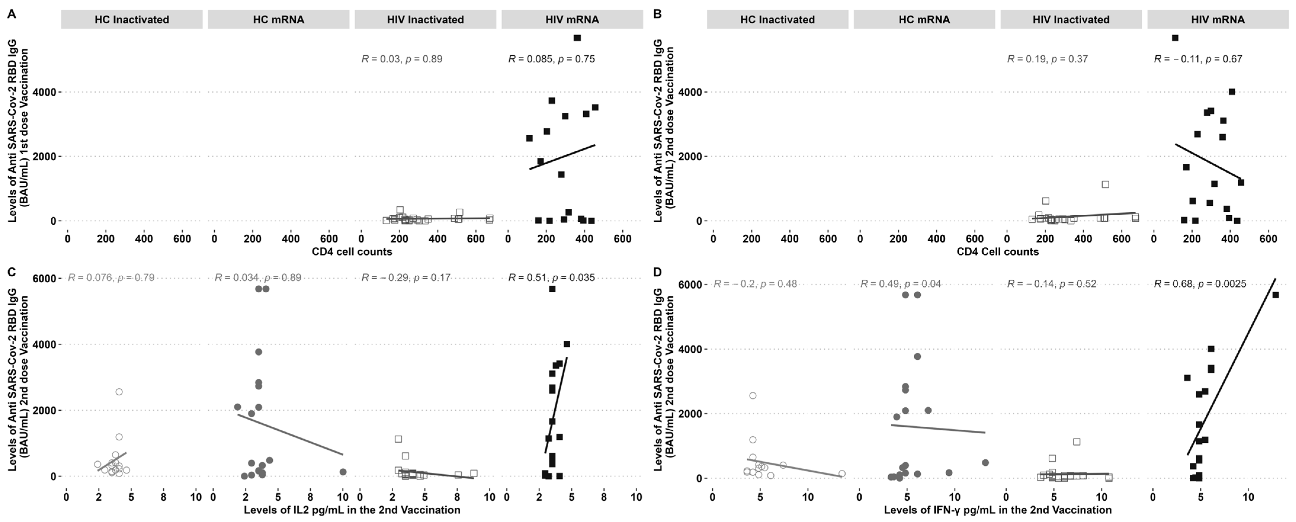
3.4. IL-2 and IFN-γ Levels Were Strongly Linked to Anti-RBD SARS-CoV-2 IgG in the Second Dose of Vaccination, Regardless of CD4 Cell Counts in PLHIV Receiving mRNA Vaccination
4. Discussion
5. Conclusions
Author Contributions
Funding
Institutional Review Board Statement
Informed Consent Statement
Data Availability Statement
Acknowledgments
Conflicts of Interest
References
- Nastri, B.M.; Pagliano, P.; Zannella, C.; Folliero, V.; Masullo, A.; Rinaldi, L.; Galdiero, M.; Franci, G. HIV and Drug-Resistant Subtypes. Microorganisms 2023, 11, 221. [Google Scholar] [CrossRef] [PubMed]
- Karim, F.; Riou, C.; Bernstein, M.; Jule, Z.; Lustig, G.; van Graan, S.; Keeton, R.S.; Upton, J.-L.; Ganga, Y.; Khan, K.; et al. Clearance of Persistent SARS-CoV-2 Associates with Increased Neutralizing Antibodies in Advanced HIV Disease Post-ART Initiation. Nat. Commun. 2024, 15, 2360. [Google Scholar] [CrossRef] [PubMed]
- Sanyaolu, A.; Okorie, C.; Marinkovic, A.; Patidar, R.; Younis, K.; Desai, P.; Hosein, Z.; Padda, I.; Mangat, J.; Altaf, M. Comorbidity and Its Impact on Patients with COVID-19. SN Compr. Clin. Med. 2020, 2, 1069–1076. [Google Scholar] [CrossRef] [PubMed]
- Wang, B.; Yuan, S.; Ruan, S.; Ning, X.; Li, H.; Liu, Y.; Li, X. Associations between Underlying Diseases with COVID-19 and Its Symptoms among Adults: A Cross-Sectional Study. Front. Public Health 2023, 11, 1210800. [Google Scholar] [CrossRef]
- Bociąga-Jasik, M.; Lara, M.; Raczyńska, A.; Wizner, B.; Polański, S.; Mlicka-Kowalczyk, E.; Garlicki, A.; Sanak, M. Effectiveness and Safety of SARS-CoV-2 Vaccination in HIV-Infected Patients—Real-World Study. Vaccines 2023, 11, 893. [Google Scholar] [CrossRef]
- Guidance for COVID-19 and People With HIV. Available online: https://clinicalinfo.hiv.gov/en/guidelines/archived-guidelines/guidance-covid-19-and-people-hiv-archive (accessed on 26 July 2024).
- Bessen, C.; Plaza-Sirvent, C.; Simsek, A.; Bhat, J.; Marheinecke, C.; Urlaub, D.; Bonowitz, P.; Busse, S.; Schumann, S.; Blanco, E.V.; et al. Impact of SARS-CoV-2 Vaccination on Systemic Immune Responses in People Living with HIV. Front. Immunol. 2022, 13, 1049070. [Google Scholar] [CrossRef] [PubMed]
- Karaşın, M.F.; Bayraktar, Z.; Toygar-Deniz, M.; Akhan, S.; Özdemir, M.K. COVID-19 Vaccines and COVID-19 in People Living with HIV. Infect. Dis. Clin. Microbiol. 2024, 28, 78–82. [Google Scholar] [CrossRef]
- Batchi-Bouyou, A.L.; Djontu, J.C.; Ingoba, L.L.; Mougany, J.S.; Mouzinga, F.H.; Dollon Mbama Ntabi, J.; Kouikani, F.Y.; Christ Massamba Ndala, A.; Diafouka-kietela, S.; Ampa, R.; et al. Neutralizing Antibody Responses Assessment after Vaccination in People Living with HIV Using a Surrogate Neutralization Assay. BMC Immunol. 2024, 25, 43. [Google Scholar] [CrossRef]
- Woldemeskel, B.A.; Karaba, A.H.; Garliss, C.C.; Beck, E.J.; Wang, K.H.; Laeyendecker, O.; Cox, A.L.; Blankson, J.N. The BNT162b2 MRNA Vaccine Elicits Robust Humoral and Cellular Immune Responses in People Living With Human Immunodeficiency Virus (HIV). Clin. Infect. Dis. 2022, 74, 1268–1270. [Google Scholar] [CrossRef]
- Heftdal, L.D.; Pérez-Alós, L.; Hasselbalch, R.B.; Hansen, C.B.; Hamm, S.R.; Møller, D.L.; Pries-Heje, M.; Fogh, K.; Gerstoft, J.; Grønbæk, K.; et al. Humoral and Cellular Immune Responses Eleven Months after the Third Dose of BNT162b2 an MRNA-Based COVID-19 Vaccine in People with HIV—A Prospective Observational Cohort Study. EBioMedicine 2023, 93, 104661. [Google Scholar] [CrossRef]
- Feng, Y.; Zhang, Y.; He, Z.; Huang, H.; Tian, X.; Wang, G.; Chen, D.; Ren, Y.; Jia, L.; Wang, W.; et al. Immunogenicity of an Inactivated SARS-CoV-2 Vaccine in People Living with HIV-1: A Non-Randomized Cohort Study. EClinicalMedicine 2022, 43, 101226. [Google Scholar] [CrossRef] [PubMed]
- Mirtaleb, M.S.; Falak, R.; Heshmatnia, J.; Bakhshandeh, B.; Taheri, R.A.; Soleimanjahi, H.; Zolfaghari Emameh, R. An Insight Overview on COVID-19 MRNA Vaccines: Advantageous, Pharmacology, Mechanism of Action, and Prospective Considerations. Int. Immunopharmacol. 2023, 117, 109934. [Google Scholar] [CrossRef] [PubMed]
- Abebe, E.C.; Dejenie, T.A. Protective Roles and Protective Mechanisms of Neutralizing Antibodies against SARS-CoV-2 Infection and Their Potential Clinical Implications. Front. Immunol. 2023, 14, 1055457. [Google Scholar] [CrossRef] [PubMed]
- Chen, R.; Sang, L.; Jiang, M.; Yang, Z.; Jia, N.; Fu, W.; Xie, J.; Guan, W.; Liang, W.; Ni, Z.; et al. Longitudinal Hematologic and Immunologic Variations Associated with the Progression of COVID-19 Patients in China. J. Allergy Clin. Immunol. 2020, 146, 89–100. [Google Scholar] [CrossRef] [PubMed]
- Gupta, A.; Righi, E.; Konnova, A.; Sciammarella, C.; Spiteri, G.; Van Averbeke, V.; Berkell, M.; Hotterbeekx, A.; Sartor, A.; Mirandola, M.; et al. Interleukin-2-Mediated CD4 T-Cell Activation Correlates Highly with Effective Serological and T-Cell Responses to SARS-CoV-2 Vaccination in People Living with HIV. J. Med. Virol. 2024, 96, e29820. [Google Scholar] [CrossRef]
- Ghanbari Naeini, L.; Abbasi, L.; Karimi, F.; Kokabian, P.; Abdi Abyaneh, F.; Naderi, D. The Important Role of Interleukin-2 in COVID-19. J. Immunol. Res. 2023, 2023, 7097329. [Google Scholar] [CrossRef]
- Scordio, M.; Frasca, F.; Santinelli, L.; Sorrentino, L.; Pierangeli, A.; Turriziani, O.; Mastroianni, C.M.; Antonelli, G.; Viscidi, R.P.; d’Ettorre, G.; et al. High Frequency of Neutralizing Antibodies to Type I Interferon in HIV-1 Patients Hospitalized for COVID-19. Clin. Immunol. 2022, 241, 109068. [Google Scholar] [CrossRef]
- D’ettorre, G.; Recchia, G.; Ridolfi, M.; Siccardi, G.; Pinacchio, C.; Innocenti, G.P.; Santinelli, L.; Frasca, F.; Bitossi, C.; Ceccarelli, G.; et al. Analysis of Type I IFN Response and T Cell Activation in Severe COVID-19/HIV-1 Coinfection: A Case Report. Medicine 2020, 99, e21803. [Google Scholar] [CrossRef]
- Elliott, E.I.; Wang, A. Interferon Gamma Runs Interference on Persistent COVID-19. Med 2021, 2, 1111–1113. [Google Scholar] [CrossRef]
- van Laarhoven, A.; Kurver, L.; Overheul, G.J.; Kooistra, E.J.; Abdo, W.F.; van Crevel, R.; Duivenvoorden, R.; Kox, M.; ten Oever, J.; Schouten, J.; et al. Interferon Gamma Immunotherapy in Five Critically Ill COVID-19 Patients with Impaired Cellular Immunity: A Case Series. Med 2021, 2, 1163–1170.e2. [Google Scholar] [CrossRef]
- Höft, M.A.; Burgers, W.A.; Riou, C. The Immune Response to SARS-CoV-2 in People with HIV. Cell. Mol. Immunol. 2023, 21, 184–196. [Google Scholar] [CrossRef] [PubMed]
- Wei, J.; Stoesser, N.; Matthews, P.C.; Ayoubkhani, D.; Studley, R.; Bell, I.; Bell, J.I.; Newton, J.N.; Farrar, J.; Diamond, I.; et al. Antibody Responses to SARS-CoV-2 Vaccines in 45,965 Adults from the General Population of the United Kingdom. Nat. Microbiol. 2021, 6, 1140–1149. [Google Scholar] [CrossRef] [PubMed]
- Figueroa, A.L.; Ali, K.; Berman, G.; Zhou, H.; Deng, W.; Xu, W.; Lussier, S.; Girard, B.; Dutko, F.J.; Slobod, K.; et al. Safety and Durability of MRNA-1273–Induced SARS-CoV-2 Immune Responses in Adolescents: Results from the Phase 2/3 TeenCOVE Trial. EClinicalMedicine 2024, 74, 102720. [Google Scholar] [CrossRef] [PubMed]
- Luan, N.; Cao, H.; Wang, Y.; Lin, K.; Hu, J.; Liu, C. Comparison of Immune Responses between Inactivated and MRNA SARS-CoV-2 Vaccines Used for a Booster Dose in Mice. Viruses 2023, 15, 1351. [Google Scholar] [CrossRef]
- Chan, D.P.C.; Wong, N.S.; Wong, B.C.K.; Chan, J.M.C.; Lee, S.S. Three-Dose Primary Series of Inactivated COVID-19 Vaccine for Persons Living with HIV, Hong Kong. Emerg. Infect. Dis. J. 2022, 28, 2130. [Google Scholar] [CrossRef]
- Wang, Q.; Ning, J.; Chen, Y.; Li, B.; Shi, L.; He, T.; Zhang, F.; Chen, X.; Zhai, A.; Wu, C. The BBIBP-CorV Inactivated COVID-19 Vaccine Induces Robust and Persistent Humoral Responses to SARS-CoV-2 Nucleocapsid, besides Spike Protein in Healthy Adults. Front. Microbiol. 2022, 13, 1008420. [Google Scholar] [CrossRef] [PubMed]
- Balcells, M.E.; Le Corre, N.; Durán, J.; Ceballos, M.E.; Vizcaya, C.; Mondaca Sebastián and Dib, M.; Rabagliati, R.; Sarmiento Mauricio and Burgos, P.I.; Espinoza, M.; Ferrés, M.; et al. Reduced Immune Response to Inactivated Severe Acute Respiratory Coronavirus 2 Vaccine in a Cohort of Immunocompromised in Chile. Clin. Infect. Dis. 2022, 75, e594–e602. [Google Scholar] [CrossRef]
- Safont, G.; Villar-Hernández, R.; Smalchuk, D.; Stojanovic, Z.; Marín, A.; Lacoma, A.; Pérez-Cano, C.; López-Martínez, A.; Molina-Moya, B.; Solis, A.J.; et al. Measurement of IFN-γ and IL-2 for the Assessment of the Cellular Immunity against SARS-CoV-2. Sci. Rep. 2024, 14, 1137. [Google Scholar] [CrossRef]
- Wang, X.; Li, Y.; Jin, J.; Chai Xiaoran and Ma, Z.; Duan, J.; Zhang, G.; Huang, T.; Zhang, X.; Zhang, T.; Wu, H.; et al. SARS-CoV-2-Specific T-Cell Responses Are Induced in People with Human Immunodeficiency Virus after Booster. Chin. Med. J. 2024. [Google Scholar] [CrossRef]
- Lim, J.M.E.; Hang, S.K.; Hariharaputran, S.; Chia, A.; Tan, N.; Lee, E.S.; Chng, E.; Lim, P.L.; Young, B.E.; Lye, D.C.; et al. A Comparative Characterization of SARS-CoV-2-Specific T-Cells Induced by MRNA or Inactive Virus COVID-19 Vaccines. Cell Rep. Med. 2022, 3, 100793. [Google Scholar] [CrossRef]
- Cherneha, M.; Zydek, I.; Braß, P.; Korth, J.; Jansen, S.; Esser, S.; Karsten, C.B.; Meyer, F.; Kraiselburd, I.; Dittmer, U.; et al. Immunogenicity of the Monovalent Omicron XBB.1.5-Adapted BNT162b2 COVID-19 Vaccine in People Living with HIV (PLWH). Vaccines 2024, 12, 785. [Google Scholar] [CrossRef] [PubMed]
- Mounika, V.L.; Kumar, V.U.; Dhingra, S.; Ravichandiran, V.; Pandey, K.; Parihar, V.K.; Murti, K. CD4+ Count: A Variable to Be Considered to Prioritize COVID-19 Vaccination in PLHIV. Curr. Pharmacol. Rep. 2023, 9, 90–97. [Google Scholar] [CrossRef] [PubMed]
- Antinori, A.; Cicalini, S.; Meschi, S.; Bordoni, V.; Lorenzini, P.; Vergori, A.; Lanini, S.; De Pascale, L.; Matusali, G.; Mariotti, D.; et al. Humoral and Cellular Immune Response Elicited by MRNA Vaccination Against Severe Acute Respiratory Syndrome Coronavirus 2 (SARS-CoV-2) in People Living With Human Immunodeficiency Virus Receiving Antiretroviral Therapy Based on Current CD4 T-Lymphocyte Count. Clin. Infect. Dis. 2022, 75, e552–e563. [Google Scholar] [CrossRef] [PubMed]
- Elfiky, A.A. Ribavirin, Remdesivir, Sofosbuvir, Galidesivir, and Tenofovir against SARS-CoV-2 RNA Dependent RNA Polymerase (RdRp): A Molecular Docking Study. Life Sci. 2020, 253, 117592. [Google Scholar] [CrossRef]



| HC | PLHIV | ||||||||
|---|---|---|---|---|---|---|---|---|---|
| mRNA Vaccine A | Inactivated Vaccine B | mRNA Vaccine C | Inactivated Vaccine D | A–D | A vs. B | C vs. D | A vs. C | B vs. D | |
| n | 18 | 15 | 17 | 24 | - | - | - | - | - |
| Sex | |||||||||
| Male | 11 | 8 | 11 | 10 | 0.45 a | - | - | - | - |
| Female | 7 | 7 | 6 | 14 | - | - | - | - | |
| Age | 31 (24–50) | 41 (19–72) | 35 (25–44) | 38 (18–50) | - | 0.1 b | 0.21 b | 0.38 b | 0.32 b |
| Time on ART (years) | - | - | 2 (1–4) | 3 (1–4) | - | 0.52 b | - | - | |
| CD4 cell counts | - | - | 299 (112–456) | 251 (131–673) | - | - | 0.89 b | - | - |
Disclaimer/Publisher’s Note: The statements, opinions and data contained in all publications are solely those of the individual author(s) and contributor(s) and not of MDPI and/or the editor(s). MDPI and/or the editor(s) disclaim responsibility for any injury to people or property resulting from any ideas, methods, instructions or products referred to in the content. |
© 2024 by the authors. Licensee MDPI, Basel, Switzerland. This article is an open access article distributed under the terms and conditions of the Creative Commons Attribution (CC BY) license (https://creativecommons.org/licenses/by/4.0/).
Share and Cite
Amanah, A.; Ariyanto, I.A.; Bela, B.; Primanagara, R.; Sudarmono, P. Evaluation of the Effect of mRNA and Inactivated SARS-CoV-2 Vaccines on the Levels of Cytokines IL-2, IFN-γ, and Anti-RBD Spike SARS-CoV-2 Antibodies in People Living with HIV (PLHIV). Biomedicines 2024, 12, 2115. https://doi.org/10.3390/biomedicines12092115
Amanah A, Ariyanto IA, Bela B, Primanagara R, Sudarmono P. Evaluation of the Effect of mRNA and Inactivated SARS-CoV-2 Vaccines on the Levels of Cytokines IL-2, IFN-γ, and Anti-RBD Spike SARS-CoV-2 Antibodies in People Living with HIV (PLHIV). Biomedicines. 2024; 12(9):2115. https://doi.org/10.3390/biomedicines12092115
Chicago/Turabian StyleAmanah, Amanah, Ibnu Agus Ariyanto, Budiman Bela, Risnandya Primanagara, and Pratiwi Sudarmono. 2024. "Evaluation of the Effect of mRNA and Inactivated SARS-CoV-2 Vaccines on the Levels of Cytokines IL-2, IFN-γ, and Anti-RBD Spike SARS-CoV-2 Antibodies in People Living with HIV (PLHIV)" Biomedicines 12, no. 9: 2115. https://doi.org/10.3390/biomedicines12092115
APA StyleAmanah, A., Ariyanto, I. A., Bela, B., Primanagara, R., & Sudarmono, P. (2024). Evaluation of the Effect of mRNA and Inactivated SARS-CoV-2 Vaccines on the Levels of Cytokines IL-2, IFN-γ, and Anti-RBD Spike SARS-CoV-2 Antibodies in People Living with HIV (PLHIV). Biomedicines, 12(9), 2115. https://doi.org/10.3390/biomedicines12092115

