Frequency-Domain Features and Low-Frequency Synchronization of Photoplethysmographic Waveform Variability and Heart Rate Variability with Increasing Severity of Cardiovascular Diseases
Abstract
1. Introduction
2. Materials and Methods
2.1. Ethical Approval
2.2. Dataset
- (i)
- Confirmed clinical status or diagnosis (healthy clinical status, HTN, CAD, PMI, or AMI) in accordance with current clinical guidelines;
- (ii)
- Age from 18 to 80 years;
- (iii)
- Obtained written informed consent to use the data for further analysis.
- (i)
- HR disorders that interfere with HRV analysis;
- (ii)
- Valvular heart disease;
- (iii)
- Endocrine pathology, with the exception of compensated diabetes (only for groups of patients with CAD, PMI, or AMI);
- (iv)
- Endocrine pathology, including diabetes mellitus (only for groups of healthy individuals and patients with HTN);
- (v)
- Secondary HTN;
- (vi)
- Disorders of peripheral microcirculation;
- (vii)
- Chronic gastrointestinal diseases (hepatitis, duodenitis and cholecystitis), chronic kidney diseases and other chronic diseases in the acute stage;
- (viii)
- Subclinical organ damage in accordance with the guidelines [23] (solely for groups of healthy subjects and patients with HTN);
- (ix)
- MI less than a year ago (only for groups of healthy individuals, patients with CAD, and patients with HTN);
- (x)
- Other cardiovascular diseases (only for groups of healthy individuals and patients with HTN).
- (i)
- 53 recordings from healthy subjects (38 male; 71.7%), aged 28.1 ± 6.2 years (data presented as mean and standard deviation, M ± SD);
- (ii)
- 536 recordings from patients with HTN (176 male; 32.8%), aged 49.0 ± 8.8 years;
- (iii)
- 185 recordings from patients with CAD (110 male; 59.5%), aged 63.9 ± 9.3 years,
- (iv)
- 104 recordings from patients with PMI (60 male; 57.7%), aged 65.1 ± 11.0 years,
- (v)
- 120 recordings from patients with AMI (70 male; 58.3%), aged 64.7 ± 11.5 years.
2.3. Signal Characteristics
- (i)
- During the preliminary stage, lasting 10 min, the study subject lay in a horizontal position without signal recording;
- (ii)
- Signals were recorded for 10 min with the subject’s body in a supine position;
- (iii)
- The subject was passively placed in an upright position with a tilt angle of about 80°. To exclude transient processes, signals were not recorded for 5 min;
- (iv)
- Signals were recorded for 10 min with the subject’s body in an upright position.
2.4. Data Preprocessing
2.5. Spectral Analysis of Heart Rate Variability
2.6. Spectral Analysis of Photoplethysmographic Waveform Variability
2.7. Assessment of Synchronization between the Low-Frequency Oscillations in Heart Rate Variability and Photoplethysmographic Waveform Variability
2.8. Statistical Analyses
3. Results
3.1. Comparison of Cardiovascular Autonomic Indices between Study Groups
3.2. Orthostatic Dynamics of Cardiovascular Autonomic Indices
3.3. Comparison of Spectral Indices of Heart Rate Variability and Photoplethysmography Waveform Variability
3.4. Associations between Cardiovascular Autonomic Indices
4. Discussion
4.1. Photoplethysmographic Waveform Variability for Assessing Cardiovascular Autonomic Control
4.2. Synchronization between Low-Frequency Oscillations in Heart Rate Variability and Photoplethysmographic Waveform Variability
4.3. Orthostatic Dynamics of Spectral Indices: PPGV vs. HRV
5. Conclusions
- (1)
- The PPGV frequency-domain indices (LF%, HF%, and LF/HF) are highly sensitive markers of any cardiovascular disease development, surpassing the HRV indices in this regard;
- (2)
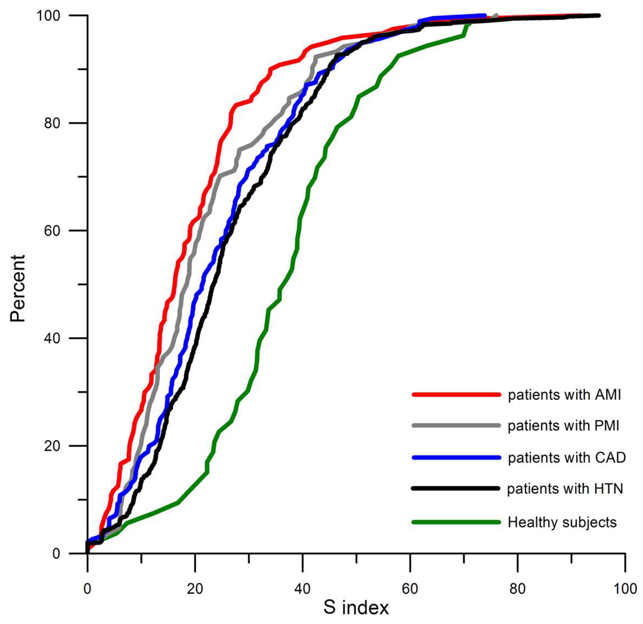
- Changes in all frequency-domain indices and the S index were observed along the following gradient: healthy subjects → patients with HTN → patients with CAD → patients with PMI → patients with AMI;
- (3)
- Similar frequency-domain indices of PPGV and HRV are weakly associated with each other;
- (4)
- The S index is a parameter independent of frequency-domain indices, exhibiting the greatest difference in values between healthy subjects and patients during the passive head-up tilt test.
6. Limitations
Author Contributions
Funding
Institutional Review Board Statement
Informed Consent Statement
Data Availability Statement
Conflicts of Interest
References
- Malik, M.; Bigger, T.J.; Camm, J.A.; Kleiger, R.E.; Malliani, A.; Moss, A.J.; Schwartz, P.S. Heart rate variability. Standards of measurement, physiological interpretation, and clinical use. Task Force of the European Society of Cardiology and the North American Society of Pacing and Electrophysiology. Eur. Heart J. 1996, 17, 354–381. [Google Scholar] [CrossRef]
- Cygankiewicz, I.; Zareba, W. Heart rate variability. Handb. Clin. Neurol. 2013, 117, 379–393. [Google Scholar] [CrossRef] [PubMed]
- La Rovere, M.T.; Bigger, J.T., Jr.; Marcus, F.I.; Mortara, A.; Schwartz, P.J. Baroreflex sensitivity and heart-rate variability in prediction of total cardiac mortality after myocardial infarction. ATRAMI (Autonomic Tone and Reflexes After Myocardial Infarction) Investigators. Lancet 1998, 351, 478–484. [Google Scholar] [CrossRef]
- Moak, J.P.; Goldstein, D.S.; Eldadah, B.A.; Saleem, A.; Holmes, C.; Pechnik, S.; Sharabi, Y. Supine low-frequency power of heart rate variability reflects baroreflex function, not cardiac sympathetic innervation. Heart Rhythm. 2007, 4, 1523–1529. [Google Scholar] [CrossRef]
- Baumert, M.; Lambert, G.W.; Dawood, T.; Lambert, E.A.; Esler, M.D.; McGrane, M.; Barton, D.; Sanders, P.; Nalivaiko, E. Short-term heart rate variability and cardiac norepinephrine spillover in patients with depression and panic disorder. Am. J. Physiol. Heart Circ. Physiol. 2009, 297, H674–H679. [Google Scholar] [CrossRef] [PubMed]
- Akselrod, S.; Gordon, D.; Ubel, F.A.; Shannon, D.C.; Berger, A.C.; Cohen, R.J. Power spectrum analysis of heart rate fluctuation: A quantitative probe of beat-to-beat cardiovascular control. Science 1981, 213, 220–222. [Google Scholar] [CrossRef] [PubMed]
- Pagani, M.; Lombardi, F.; Guzzetti, S.; Rimoldi, O.; Furlan, R.; Pizzinelli, P.; Sandrone, G.; Malfatto, G.; Dell’Orto, S.; Piccaluga, E.; et al. Power spectral analysis of heart rate and arterial pressure variabilities as a marker of sympatho-vagal interaction in man and conscious dog. Circ. Res. 1986, 59, 178–193. [Google Scholar] [CrossRef]
- Allen, J. Photoplethysmography and its application in clinical physiological measurement. Physiol. Meas. 2007, 28, R1–R39. [Google Scholar] [CrossRef]
- Rhee, S.; Yang, B.H.; Asada, H. Theoretical evaluation of the influence of displacement on finger photoplethysmography for wearable health monitoring sensors. In Proceedings of the Symposium on Dynamics, Control, and Design of Biomechanical Systems ASME International Mechanical Engineering Congress and Exposition, Nashville, TN, USA, 14–19 November 1999. [Google Scholar]
- Kamshilin, A.A.; Margaryants, N.B. Origin of photoplethysmographic waveform at green light. Phys. Procedia 2017, 86, 72–80. [Google Scholar] [CrossRef]
- Kiselev, A.R.; Mironov, S.A.; Karavaev, A.S.; Kulminskiy, D.D.; Skazkina, V.V.; Borovkova, E.I.; Shvartz, V.A.; Ponomarenko, V.I.; Prokhorov, M.D. A comprehensive assessment of cardiovascular autonomic control using photoplethysmograms recorded from the earlobe and fingers. Physiol. Meas. 2016, 37, 580–595. [Google Scholar] [CrossRef]
- Bernardi, L.; Radaelli, A.; Solda, P.L.; Coats, A.J.; Reeder, M.; Calciati, A.; Garrard, C.S.; Sleight, P. Autonomic control of skin microvessels: Assessment by power spectrum of photoplethysmographic waves. Clin. Sci. 1996, 90, 345–355. [Google Scholar] [CrossRef] [PubMed]
- Middleton, P.M.; Chan, G.S.; Steel, E.; Malouf, P.; Critoph, C.; Flynn, G.; O’Lone, E.; Celler, B.G.; Lovell, N.H. Fingertip photoplethysmographic waveform variability and systemic vascular resistance in intensive care unit patients. Med. Biol. Eng. Comput. 2011, 49, 859–866. [Google Scholar] [CrossRef] [PubMed]
- Middleton, P.M.; Tang, C.H.; Chan, G.S.; Bishop, S.; Savkin, A.V.; Lovell, N.H. Peripheral photoplethysmography variability analysis of sepsis patients. Med. Biol. Eng. Comput. 2011, 49, 337–347. [Google Scholar] [CrossRef]
- González, H.; Infante, O.; Lerma, C. Response to Active Standing of Heart Beat Interval, Systolic Blood Volume and Systolic Blood Pressure: Recurrence Plot Analysis. Transl. Recurrences Springer Proc. Math. Stat. 2014, 103, 109–123. [Google Scholar] [CrossRef]
- Millasseau, S.C.; Guigui, F.G.; Kelly, R.P.; Prasad, K.; Cockcroft, J.R.; Ritter, J.M.; Chowienczyk, P.J. Noninvasive assessment of the digital volume pulse. Comparison with the peripheral pressure pulse. Hypertension 2000, 36, 952–956. [Google Scholar] [CrossRef] [PubMed]
- Kiselev, A.R.; Karavaev, A.S.; Gridnev, V.I.; Prokhorov, M.D.; Ponomarenko, V.I.; Borovkova, E.I.; Shvartz, V.A.; Ishbulatov, Y.M.; Posnenkova, O.M.; Bezruchko, B.P. Method of estimation of synchronization strength between low-frequency oscillations in heart rate variability and photoplethysmographic waveform variability. Russ. Open Med. J. 2016, 5, e0101. [Google Scholar] [CrossRef]
- Ishbulatov, Y.M.; Karavaev, A.S.; Kiselev, A.R.; Simonyan, M.A.; Prokhorov, M.D.; Ponomarenko, V.I.; Mironov, S.A.; Gridnev, V.I.; Bezruchko, B.P.; Shvartz, V.A. Mathematical modeling of the cardiovascular autonomic control in healthy subjects during a passive head-up tilt test. Sci. Rep. 2020, 10, 16525. [Google Scholar] [CrossRef]
- Kiselev, A.R.; Gridnev, V.I.; Prokhorov, M.D.; Karavaev, A.S.; Posnenkova, O.M.; Ponomarenko, V.I.; Bezruchko, B.P. Effects of antihypertensive treatment on cardiovascular autonomic control: A prospective study. Anadolu Kardiyol. Derg. 2014, 14, 701–710. [Google Scholar] [CrossRef]
- Kiselev, A.R.; Khorev, V.S.; Gridnev, V.I.; Prokhorov, M.D.; Karavaev, A.S.; Posnenkova, O.M.; Ponomarenko, V.I.; Bezruchko, B.P.; Shvartz, V.A. Interaction of 0.1-Hz Oscillations in Heart Rate Variability and Distal Blood Flow Variability. Hum. Physiol. 2012, 38, 303–309. [Google Scholar] [CrossRef]
- Kiselev, A.R.; Gridnev, V.I.; Prokhorov, M.D.; Karavaev, A.S.; Posnenkova, O.M.; Ponomarenko, V.I.; Bezruchko, B.P. Selection of optimal dose of beta-blocker treatment in myocardial infarction patients based on changes in synchronization between 0.1 Hz oscillations in heart rate and peripheral microcirculation. J. Cardiovasc. Med. 2012, 13, 491–498. [Google Scholar] [CrossRef]
- Kiselev, A.R.; Gridnev, V.I.; Prokhorov, M.D.; Karavaev, A.S.; Posnenkova, O.M.; Ponomarenko, V.I.; Bezruchko, B.P.; Shvartz, V.A. Evaluation of 5-Year Risk of Cardiovascular Events in Patients after Acute Myocardial Infarction Using Synchronization of 0.1-Hz Rhythms in Cardiovascular System. Ann. Noninvasive Electrocardiol. 2012, 17, 204–213. [Google Scholar] [CrossRef] [PubMed]
- Mancia, G.; Fagard, R.; Narkiewicz, K.; Redón, J.; Zanchetti, A.; Böhm, M.; Christiaens, T.; Cifkova, R.; De Backer, G.; Dominiczak, A.; et al. 2013 ESH/ESC Guidelines for the management of arterial hypertension: The Task Force for the management of arterial hypertension of the European Society of Hypertension (ESH) and of the European Society of Cardiology (ESC). J. Hypertens 2013, 31, 1281–1357. [Google Scholar] [CrossRef] [PubMed]
- Montano, N.; Ruscone, T.G.; Porta, A.; Lombardi, F.; Pagani, M.; Malliani, A. Power spectrum analysis of heart rate variability to assess the changes in sympathovagal balance during graded orthostatic tilt. Circulation 1994, 90, 1826–1831. [Google Scholar] [CrossRef]
- Takase, B.; Bjerregaard, P.; Greenwalt, T.; Kotar, M.S.; Janosik, D. Heart rate variability and head-up tilt testing in patients with syncope of undetermined etiology. Jpn. Circ. J. 1996, 60, 841–852. [Google Scholar] [CrossRef] [PubMed][Green Version]
- Suzuki, M.; Hori, S.; Tomita, Y.; Aikawa, N. Orthostatic decrease in cardiac chaos during the head-up tilt test in patients with vasovagal syncope. Circ. J. 2006, 70, 902–908. [Google Scholar] [CrossRef] [PubMed][Green Version]
- Mangos, G.J.; Spaan, J.J.; Pirabhahar, S.; Brown, M.A. Markers of cardiovascular disease risk after hypertension in pregnancy. J. Hypertens. 2012, 30, 351–358. [Google Scholar] [CrossRef]
- Cozza, I.C.; Di Sacco, T.H.; Mazon, J.H.; Salgado, M.C.; Dutra, S.G.; Cesarino, E.J.; Souza, H.C. Physical exercise improves cardiac autonomic modulation in hypertensive patients independently of angiotensin-converting enzyme inhibitor treatment. Hypertens. Res. 2012, 35, 82–87. [Google Scholar] [CrossRef]
- Folino, A.F.; Migliore, F.; Porta, A.; Cerutti, S.; Iliceto, S.; Buja, G. Syncope while driving: Pathophysiological features and long-term follow-up. Auton. Neurosci. 2012, 166, 60–65. [Google Scholar] [CrossRef]
- Baevskiy, R.M.; Ivanov, G.G.; Chireikin, L.V.; Gavrilushkin, A.P.; Dovgalevsky, P.Y.; Kukushkin, Y.A.; Mironova, T.F.; Prilutsky, D.A.; Semyonov, A.V.; Fedorov, V.F.; et al. Analysis of variability of the cardiac rhythm using different electrocardiographic systems (part 1). Bull. Arrhythm. 2002, 24, 65–86. (In Russian) [Google Scholar]
- Baevsky, R.M.; Baranov, V.M.; Funtova, I.I.; Diedrich, A.; Pashenko, A.V.; Chernikova, A.G.; Drescher, J.; Jordan, J.; Tank, J. Autonomic cardiovascular and respiratory control during prolonged spaceflights aboard the International Space Station. J. Appl. Physiol. 2007, 103, 156–161. [Google Scholar] [CrossRef]
- Tank, J.; Baevsky, R.M.; Funtova, I.I.; Diedrich, A.; Slepchenkova, I.N.; Jordan, J. Orthostatic heart rate responses after prolonged space flights. Clin. Auton. Res. 2011, 21, 121–124. [Google Scholar] [CrossRef] [PubMed]
- Welch, P.D. The use of Fast Fourier Transform for the estimation of power spectra: A method based on time averaging over short, modified periodograms. IEEE Trans. Audio Electroacoust. 1967, 15, 70–73. [Google Scholar] [CrossRef]
- Li, Y.; Pan, W.; Li, K.; Jiang, Q.; Liu, G. Sliding Trend Fuzzy Approximate Entropy as a Novel Descriptor of Heart Rate Variability in Obstructive Sleep Apnea. IEEE J. Biomed. Health Inform. 2019, 23, 175–183. [Google Scholar] [CrossRef] [PubMed]
- Kiselev, A.R.; Karavaev, A.S. The intensity of oscillations of the photoplethysmographic waveform variability at frequencies 0.04–0.4 Hz is effective marker of hypertension and coronary artery disease in males. Blood Press. 2020, 29, 55–62. [Google Scholar] [CrossRef]
- Heck, A.F.; Hall, V.R. An on-line system for measurement of opacity pulse propagation times in atraumatic screening of patients for occlusive vascular disease. Med. Instrum. 1975, 9, 88–92. [Google Scholar]
- Osmundson, P.J.; O’Fallon, W.M.; Clements, I.P.; Kazmier, F.J.; Zimmerman, B.R.; Palumbo, P.J. Reproducibility of noninvasive tests of peripheral occlusive arterial disease. J. Vasc. Surg. 1985, 2, 678–683. [Google Scholar] [CrossRef]
- Kvernebo, K.; Megerman, J.; Hamilton, G.; Abbott, W.M. Response of skin photoplethysmography, laser Doppler flowmetry and transcutaneous oxygen tensiometry to stenosis-induced reductions in limb blood flow. Eur. J. Vasc. Surg. 1989, 3, 113–120. [Google Scholar] [CrossRef]
- Gil, E.; Orini, M.; Bailon, R.; Vergara, J.M.; Mainardi, L.; Laguna, P. Time-varying spectral analysis for comparison of HRV and PPG variability during tilt table test. Conf. Proc. IEEE Eng. Med. Biol. Soc. 2010, 2010, 3579–3582. [Google Scholar] [CrossRef]
- Fallow, B.A.; Tarumi, T.; Tanaka, H. Influence of skin type and wavelength on light wave reflectance. J. Clin. Monit. Comput. 2013, 27, 313–317. [Google Scholar] [CrossRef]
- Garde, A.; Karlen, W.; Ansermino, J.M.; Dumont, G.A. Estimating respiratory and heart rates from the correntropy spectral density of the photoplethysmogram. PLoS ONE 2014, 9, e86427. [Google Scholar] [CrossRef]
- Weinschenk, S.W.; Beise, R.D.; Lorenz, J. Heart rate variability (HRV) in deep breathing tests and 5-min short-term recordings: Agreement of ear photoplethysmography with ECG measurements, in 343 subjects. Eur. J. Appl. Physiol. 2016, 116, 1527–1535. [Google Scholar] [CrossRef] [PubMed]
- Choi, A.; Shin, H. Photoplethysmography sampling frequency: Pilot assessment of how low can we go to analyze pulse rate variability with reliability? Physiol. Meas. 2017, 38, 586–600. [Google Scholar] [CrossRef] [PubMed]
- Natarajan, A.; Pantelopoulos, A.; Emir-Farinas, H.; Natarajan, P. Heart rate variability with photoplethysmography in 8 million individuals: A cross-sectional study. Lancet Digit. Health 2020, 2, e650–e657. [Google Scholar] [CrossRef]
- Wong, J.S.; Lu, W.A.; Wu, K.T.; Liu, M.; Chen, G.Y.; Kuo, C.D. A comparative study of pulse rate variability and heart rate variability in healthy subjects. J. Clin. Monit. Comput. 2012, 26, 107–114. [Google Scholar] [CrossRef] [PubMed]
- Shin, H. Ambient temperature effect on pulse rate variability as an alternative to heart rate variability in young adult. J. Clin. Monit. Comput. 2016, 30, 939–948. [Google Scholar] [CrossRef]
- Nitzan, M.; Babchenko, A.; Khanokh, B.; Landau, D. The variability of the photoplethysmographic signal--a potential method for the evaluation of the autonomic nervous system. Physiol. Meas. 1998, 19, 93–102. [Google Scholar] [CrossRef]
- Fairfax, S.T.; Padilla, J.; Vianna, L.C.; Davis, M.J.; Fadel, P.J. Spontaneous bursts of muscle sympathetic nerve activity decrease leg vascular conductance in resting humans. Am. J. Physiol. Heart Circ. Physiol. 2013, 304, H759–H766. [Google Scholar] [CrossRef] [PubMed]
- Nitzan, M.; de Boer, H.; Turivnenko, S.; Babchenko, A.; Sapoznikov, D. Power spectrum analysis of spontaneous fluctuations in the photoplethysmographic signal. J. Basic. Clin. Physiol. Pharmacol. 1994, 5, 269–276. [Google Scholar] [CrossRef]
- Nitzan, M.; Turivnenko, S.; Milston, A.; Babchenko, A.; Mahler, Y. Low-frequency variability in the blood volume and in the blood volume pulse measured by photoplethysmography. J. Biomed. Opt. 1996, 1, 223–229. [Google Scholar] [CrossRef][Green Version]
- Babchenko, A.; Davidson, E.; Adler, D.; Ginosar, Y.; Kurz, V.; Nitzan, M. Increase in pulse transit time to the foot after epidural anaesthesia treatment. Med. Biol. Eng. Comput. 2000, 38, 674–679. [Google Scholar] [CrossRef]
- Nitzan, M.; Babchenko, A.; Shemesh, D.; Alberton, J. Influence of thoracic sympathectomy on cardiac induced oscillations in tissue blood volume. Med. Biol. Eng. Comput. 2001, 39, 579–583. [Google Scholar] [CrossRef]
- Tanaka, G.; Sawada, Y. Examination of normalized pulse volume-blood volume relationship: Toward a more valid estimation of the finger sympathetic tone. Int. J. Psychophysiol. 2003, 48, 293–306. [Google Scholar] [CrossRef]
- Colombo, R.; Marchi, A.; Borghi, B.; Fossali, T.; Rech, R.; Castelli, A.; Corona, A.; Guzzetti, S.; Raimondi, F. Pulse photoplethysmographic analysis estimates the sympathetic activity directed to heart and vessels. Anesthesiology 2015, 123, 336–345. [Google Scholar] [CrossRef]
- Martínez-García, P.; Lerma, C.; Infante, Ó. Relation of the baroreflex mechanism with the photoplethysmographic volume in healthy humans during orthostatism. Arch. Cardiol. Mex. 2012, 82, 82–90. [Google Scholar]
- Buchs, A.; Slovik, Y.; Rapoport, M.; Rosenfeld, C.; Khanokh, B.; Nitzan, M. Right-left correlation of the sympathetically induced fluctuations of photoplethysmographic signal in diabetic and non-diabetic subjects. Med. Biol. Eng. Comput. 2005, 43, 252–257. [Google Scholar] [CrossRef]
- Grinevich, A.A.; Tankanag, A.V.; Safronova, V.G.; Chemeris, N.K. Role of additive stochastic modulation of the heart activity in the formation of 0.1-Hz blood flow oscillations in the human cardiovascular system. Dokl. Biol. Sci. 2016, 468, 106–111. [Google Scholar] [CrossRef]
- Hart, E.C.; Joyner, M.J.; Wallin, B.G.; Karlsson, T.; Curry, T.B.; Charkoudian, N. Baroreflex control of muscle sympathetic nerve activity: A nonpharmacological measure of baroreflex sensitivity. Am. J. Physiol. Heart Circ. Physiol. 2010, 298, H816–H822. [Google Scholar] [CrossRef]
- Gandhi, P.G.; Rao, G.H. The spectral analysis of photoplethysmography to evaluate an independent cardiovascular risk factor. Int. J. Gen. Med. 2014, 7, 539–547. [Google Scholar] [CrossRef]
- Ursino, M.; Magosso, E. Role of short-term cardiovascular regulation in heart period variability: A modeling study. Am. J. Physiol. Heart Circ. Physiol. 2003, 284, H1479–H1493. [Google Scholar] [CrossRef]
- Yalçin, F.; Abraham, M.R.; Garcia, M.J. Stress and Heart in Remodeling Process: Multiple Stressors at the Same Time Kill. J. Clin. Med. 2024, 13, 2597. [Google Scholar] [CrossRef]
- Malpas, S.C. Neural influences on cardiovascular variability: Possibilities and pitfalls. Am. J. Physiol. Heart Circ. Physiol. 2002, 282, H6–H20. [Google Scholar] [CrossRef]
- Cohen, M.A.; Taylor, J.A. Short-term cardiovascular oscillations in man: Measuring and modelling the physiologies. J. Physiol. 2002, 542 Pt 3, 669–683. [Google Scholar] [CrossRef]
- Ocon, A.J.; Medow, M.S.; Taneja, I.; Stewart, J.M. Respiration drives phase synchronization between blood pressure and RR interval following loss of cardiovagal baroreflex during vasovagal syncope. Am. J. Physiol. Heart Circ. Physiol. 2011, 300, H527–H540. [Google Scholar] [CrossRef]
- Fadel, P.J.; Ogoh, S.; Keller, D.M.; Raven, P.B. Recent insights into carotid baroreflex function in humans using the variable pressure neck chamber. Exp. Physiol. 2003, 88, 671–680. [Google Scholar] [CrossRef]
- Heymans, C.; Neil, E. Reflexogenic Areas of the Cardiovascular System; Little, Brown and Company: Boston, MA, USA, 1958. [Google Scholar]
- Faes, L.; Nollo, G.; Porta, A. Mechanisms of causal interaction between short-term RR interval and systolic arterial pressure oscillations during orthostatic challenge. J. Appl. Physiol. 2013, 114, 1657–1667. [Google Scholar] [CrossRef]
- Karavaev, A.S.; Prokhorov, M.D.; Ponomarenko, V.I.; Kiselev, A.R.; Gridnev, V.I.; Ruban, E.I.; Bezruchko, B.P. Synchronization of low-frequency oscillations in the human cardiovascular system. Chaos 2009, 19, 033112. [Google Scholar] [CrossRef] [PubMed]
- Ponomarenko, V.I.; Prokhorov, M.D.; Karavaev, A.S.; Kiselev, A.R.; Gridnev, V.I.; Bezruchko, B.P. Synchronization of low-frequency oscillations in the cardiovascular system: Application to medical diagnostics and treatment. Eur. Phys. J. Spec. Top. 2013, 222, 2687–2696. [Google Scholar] [CrossRef]
- Söderström, T.; Stefanovska, A.; Veber, M.; Svensson, H. Involvement of sympathetic nerve activity in skin blood flow oscillations in humans. Am. J. Physiol. Heart Circ. Physiol. 2003, 284, H1638–H1646. [Google Scholar] [CrossRef]
- Bandrivskyy, A.; Bernjak, A.; McClintock, P.V.E.; Stefanovska, A. Waveletphase coherence analysis: Application to skin temperature andblood flow. Cardiovasc. Eng. 2004, 4, 89–93. [Google Scholar] [CrossRef]
- Anschütz, S.; Schubert, R. Modulation of the myogenic response by neurogenic influences in rat small arteries. Br. J. Pharmacol. 2005, 146, 226–233. [Google Scholar] [CrossRef]
- Bernjak, A.; Clarkson, P.B.; McClintock, P.V.; Stefanovska, A. Low-frequency blood flow oscillations in congestive heart failure and after beta1-blockade treatment. Microvasc. Res. 2008, 76, 224–232. [Google Scholar] [CrossRef]
- Carter, R., 3rd; Hinojosa-Laborde, C.; Convertino, V.A. Variability in integration of mechanisms associated with high tolerance to progressive reductions in central blood volume: The compensatory reserve. Physiol. Rep. 2016, 4, e12705. [Google Scholar] [CrossRef]
- Kiselev, A.R.; Shvartz, V.A.; Karavaev, A.S.; Mironov, S.A.; Ponomarenko, V.I.; Gridnev, V.I.; Prokhorov, M.D. Correlations Between Cardiovascular Autonomic Control Indices During the Two-hour Immobilization Test in Healthy Subjects. Open Cardiovasc. Med. J. 2016, 10, 35–43. [Google Scholar] [CrossRef][Green Version]
- Jacobsen, T.N.; Morgan, B.J.; Scherrer, U.; Vissing, S.F.; Lange, R.A.; Johnson, N.; Ring, W.S.; Rahko, P.S.; Hanson, P.; Victor, R.G. Relative contributions of cardiopulmonary and sinoaortic baroreflexes in causing sympathetic activation in the human skeletal muscle circulation during orthostatic stress. Circ. Res. 1993, 73, 367–378. [Google Scholar] [CrossRef]
- Taylor, J.A.; Halliwill, J.R.; Brown, T.E.; Hayano, J.; Eckberg, D.L. ‘Non-hypotensive’ hypovolaemia reduces ascending aortic dimensions in humans. J. Physiol. 1995, 483 Pt 1, 2892–2898. [Google Scholar] [CrossRef]
- Mancia, G. Influence of carotid baroreceptors on vascular responses to carotid chemoreceptor stimulation in the dog. Circ. Res. 1975, 36, 270–276. [Google Scholar] [CrossRef]
- Sanders, J.S.; Ferguson, D.W.; Mark, A.L. Arterial baroreflex control of sympathetic nerve activity during elevation of blood pressure in normal man: Dominance of aortic baroreflexes. Circulation 1988, 77, 279–288. [Google Scholar] [CrossRef]
- Iwase, S.; Mano, T.; Watanabe, T.; Saito, M.; Kobayashi, F. Age-related changes of sympathetic outflow to muscles in humans. J. Gerontol. 1991, 46, M1–M5. [Google Scholar] [CrossRef]
- Cooke, W.H.; Hoag, J.B.; Crossman, A.A.; Kuusela, T.A.; Tahvanainen, K.U.; Eckberg, D.L. Human responses to upright tilt: A window on central autonomic integration. J. Physiol. 1999, 517 Pt 2, 617–628. [Google Scholar] [CrossRef]
- Fu, Q.; Okazaki, K.; Shibata, S.; Shook, R.P.; VanGunday, T.B.; Galbreath, M.M.; Reelick, M.F.; Levine, B.D. Menstrual cycle effects on sympathetic neural responses to upright tilt. J. Physiol. 2009, 587 Pt. 9, 2019–2031. [Google Scholar] [CrossRef]
- Fu, Q.; Iwase, S.; Niimi, Y.; Kamiya, A.; Kawanokuchi, J.; Cui, J.; Mano, T.; Suzumura, A. Effects of lower body positive pressure on muscle sympathetic nerve activity response to head-up tilt. Am. J. Physiol. Regul. Integr. Comp. Physiol. 2001, 281, R778–R785. [Google Scholar] [CrossRef]
- Giraldo, B.F.; Calvo, A.; Martínez, B.; Arcentales, A.; Jané, R.; Benito, S. Blood pressure variability analysis in supine and sitting position of healthy subjects. IFMBE Proc. 2014, 41, 1021–1022. [Google Scholar] [CrossRef]
- Wehrwein, E.A.; Joyner, M.J. Regulation of blood pressure by the arterial baroreflex and autonomic nervous system. Handb. Clin. Neurol. 2013, 117, 89–102. [Google Scholar] [CrossRef]
- Robbe, H.W.; Mulder, L.J.; Rüddel, H.; Langewitz, W.A.; Veldman, J.B.; Mulder, G. Assessment of baroreceptor reflex sensitivity by means of spectral analysis. Hypertension 1987, 10, 538–543. [Google Scholar] [CrossRef]
- La Rovere, M.T.; Pinna, G.D.; Raczak, G. Baroreflex sensitivity: Measurement and clinical implications. Ann. Noninvasive Electrocardiol. 2008, 13, 191–207. [Google Scholar] [CrossRef]
- Piccirillo, G.; Munizzi, M.R.; Fimognari, F.L.; Marigliano, V. Heart rate variability in hypertensive subjects. Int. J. Cardiol. 1996, 53, 291–298. [Google Scholar] [CrossRef]
- Grassi, G.; Cattaneo, B.M.; Seravalle, G.; Lanfranchi, A.; Mancia, G. Baroreflex control of sympathetic nerve activity in essential and secondary hypertension. Hypertension 1998, 31, 68–72. [Google Scholar] [CrossRef]
- Grassi, G. Sympathetic neural activity in hypertension and related diseases. Am. J. Hypertens. 2010, 23, 1052–1060. [Google Scholar] [CrossRef]
- Guzzetti, S.; Piccaluga, E.; Casati, R.; Cerutti, S.; Lombardi, F.; Pagani, M.; Malliani, A. Sympathetic predominance in essential hypertension: A study employing spectral analysis of heart rate variability. J. Hypertens. 1988, 6, 711–717. [Google Scholar] [CrossRef]
- Pagani, M.; Rimoldi, O.; Malliani, A. Low-frequency components of cardiovascular variabilities as markers of sympathetic modulation. Trends Pharmacol. Sci. 1992, 13, 50–54. [Google Scholar] [CrossRef]
- Pagani, M.; Lucini, D. Autonomic dysregulation in essential hypertension: Insight from heart rate and arterial pressure variability. Auton. Neurosci. 2001, 90, 76–82. [Google Scholar] [CrossRef]
- Kougias, P.; Weakley, S.M.; Yao, Q.; Lin, P.H.; Chen, C. Arterial baroreceptors in the management of systemic hypertension. Med. Sci. Monit. 2010, 16, RA1–RA8. [Google Scholar]
- Stein, P.K.; Kleiger, R.E.; Rottman, J.N. Differing effects of age on heart rate variability in men and women. Am. J. Cardiol. 1997, 80, 302–305. [Google Scholar] [CrossRef]
- Minson, C.T.; Halliwill, J.R.; Young, T.M.; Joyner, M.J. Influence of the menstrual cycle on sympathetic activity, baroreflex sensitivity, and vascular transduction in young women. Circulation 2000, 101, 862–868. [Google Scholar] [CrossRef]
- Umetani, K.; Singer, D.H.; McCraty, R.; Atkinson, M. Twenty-four hour time domain heart rate variability and heart rate: Relations to age and gender over nine decades. J. Am. Coll. Cardiol. 1998, 31, 593–601. [Google Scholar] [CrossRef]
- Molgaard, H.; Hermansen, K.; Bjerregaard, P. Spectral components of short-term RR interval variability in healthy subjects and effects of risk factors. Eur. Heart J. 1994, 15, 1174–1183. [Google Scholar] [CrossRef]



| Parameters | Healthy Subjects (n = 53) | Patients | |||
|---|---|---|---|---|---|
| HTN (n = 536) | CAD (n = 185) | PMI (n = 104) | AMI (n = 120) | ||
| S indexs, % | 37.5 (27.7, 44.9) | 23.4 (14.7, 34.7) | 21.5 (14.0, 33.3) | 18.5 (11.1, 29.4) | 16.3 (10.0, 24.6) |
| S indexu, % | 45.9 (35.4, 57.0) * | 20.7 (12.8, 30.6) * | 21.3 (11.6, 32.0) * | N/A | N/A |
| HRs, bpm | 65 (60, 73) | 68 (60, 75) | 69 (60, 78) | 66 (60, 74) | 68 (59, 75) |
| HRu, bpm | 86 (77, 97) * | 81 (71, 91) * | 76 (65, 85) * | N/A | N/A |
| Spectral indices of HRV | |||||
| HFs, ms2 | 519 (183, 958) | 187 (91, 407) | 158 (71, 291) | 214 (81, 676) | 178 (79, 438) |
| HFu, ms2 | 156 (38, 538) * | 108 (48, 190) * | 85 (35, 167) * | N/A | N/A |
| LFs, ms2 | 412 (172, 820) | 252 (129, 418) | 116 (54, 240) | 116 (65, 243) | 131 (51, 313) |
| LFu, ms2 | 644 (253, 1255) | 230 (128, 415) | 81 (46, 184) * | N/A | N/A |
| TPs, ms2 | 1238 (713, 2232) | 1120 (680, 1877) | 807 (414, 1491) | 804 (411, 1523) | 698 (353, 1559) |
| TPu, ms2 | 967 (532, 2382) | 997 (611, 1644) * | 524 (326, 1162) * | N/A | N/A |
| HF%s, % | 41.0 (26.5, 50.9) | 17.8 (10.4, 27.7) | 23.0 (13.4, 37.9) | 35.8 (16.3, 50.5) | 29.6 (17.2, 45.5) |
| HF%u, % | 13.5 (8.0, 26.5) * | 9.9 (5.9, 16.5) * | 14.5 (7.3, 26.9) * | N/A | N/A |
| LF%s, % | 32.6 (24.9, 42.5) | 21.2 (15.8, 28.2) | 17.0 (11.2, 23.1) | 16.2 (10.6, 23.1) | 18.2 (11.8, 24.1) |
| LF%u, % | 51.4 (39.6, 63.9) * | 23.7 (16.7, 34.3) * | 15.7 (11.4, 22.3) | N/A | N/A |
| LF/HFs, CU | 0.83 (0.51, 1.41) | 1.28 (0.73, 2.12) | 0.76 (0.45, 1.39) | 0.50 (0.26, 1.13) | 0.64 (0.37, 1.08) |
| LF/HFu, CU | 3.72 (1.81, 7.39) * | 2.50 (1.27, 4.28) * | 1.00 (0.58, 2.60) * | N/A | N/A |
| Spectral indices of PPGV | |||||
| HF%s, % | 10.3 (4.9, 19.0) | 40.4 (12.8, 81.2) | 81.4 (39.0, 93.4) | 76.1 (40.6, 91.3) | 82.5 (38.7, 93.9) |
| HF%u, % | 19.8 (8.8, 71.4) * | 71.7 (42.7, 88.8) * | 79.6 (48.3, 92.5) | N/A | N/A |
| LF%s, % | 44.7 (14.4, 58.4) | 8.5 (2.3, 23.4) | 2.6 (1.6, 6.7) | 3.5 (1.4, 8.2) | 3.7 (1.4, 9.9) |
| LF%u, % | 44.4 (14.7, 60.0) | 10.4 (4.2, 25.9) | 3.6 (2.3, 7.6) | N/A | N/A |
| LF/HFs, CU | 4.79 (1.00, 8.48) | 0.28 (0.06, 1.04) | 0.04 (0.02, 0.14) | 0.06 (0.02, 0.19) | 0.04 (0.02, 0.31) |
| LF/HFu, CU | 2.00 (0.25, 6.77) * | 0.15 (0.06, 0.49) * | 0.06 (0.03, 0.17) | N/A | N/A |
: p > 0.05;
: z < 5.0, p < 0.05;
: z = 5.0–5.9, p < 0.05;
: z = 6.0–6.9, p < 0.05;
: z ≥ 7.0, p < 0.05.| HR | HRV | PPGV | |||||||||
|---|---|---|---|---|---|---|---|---|---|---|---|
| HF | LF | TP | HF% | LF% | LF/HF | HF% | LF% | LF/HF | |||
| S index | 0.04 | −0.08 | 0.03 | −0.03 | −0.11 | 0.13 | 0.17 | −0.21 | 0.17 | 0.22 | |
| HR | −0.41 | −0.36 | −0.42 | −0.15 | −0.02 | 0.14 | 0.04 | −0.06 | −0.07 | ||
| HRV | HF | 0.70 | 0.78 | 0.69 | 0.08 | −0.54 | 0.09 | 0.04 | 0.00 | ||
| LF | 0.87 | 0.13 | 0.51 | 0.15 | −0.06 | 0.13 | 0.14 | ||||
| TP | 0.15 | 0.07 | −0.08 | 0.02 | 0.06 | 0.04 | |||||
| HF% | −0.01 | −0.84 | 0.16 | −0.04 | −0.10 | ||||||
| LF% | 0.50 | −0.17 | 0.19 | 0.22 | |||||||
| LF/HF | −0.22 | 0.13 | 0.20 | ||||||||
| PPGV | HF% | −0.43 | −0.84 | ||||||||
| LF% | 0.82 | ||||||||||
Disclaimer/Publisher’s Note: The statements, opinions and data contained in all publications are solely those of the individual author(s) and contributor(s) and not of MDPI and/or the editor(s). MDPI and/or the editor(s) disclaim responsibility for any injury to people or property resulting from any ideas, methods, instructions or products referred to in the content. |
© 2024 by the authors. Licensee MDPI, Basel, Switzerland. This article is an open access article distributed under the terms and conditions of the Creative Commons Attribution (CC BY) license (https://creativecommons.org/licenses/by/4.0/).
Share and Cite
Kiselev, A.R.; Posnenkova, O.M.; Karavaev, A.S.; Shvartz, V.A.; Novikov, M.Y.; Gridnev, V.I. Frequency-Domain Features and Low-Frequency Synchronization of Photoplethysmographic Waveform Variability and Heart Rate Variability with Increasing Severity of Cardiovascular Diseases. Biomedicines 2024, 12, 2088. https://doi.org/10.3390/biomedicines12092088
Kiselev AR, Posnenkova OM, Karavaev AS, Shvartz VA, Novikov MY, Gridnev VI. Frequency-Domain Features and Low-Frequency Synchronization of Photoplethysmographic Waveform Variability and Heart Rate Variability with Increasing Severity of Cardiovascular Diseases. Biomedicines. 2024; 12(9):2088. https://doi.org/10.3390/biomedicines12092088
Chicago/Turabian StyleKiselev, Anton R., Olga M. Posnenkova, Anatoly S. Karavaev, Vladimir A. Shvartz, Mikhail Yu. Novikov, and Vladimir I. Gridnev. 2024. "Frequency-Domain Features and Low-Frequency Synchronization of Photoplethysmographic Waveform Variability and Heart Rate Variability with Increasing Severity of Cardiovascular Diseases" Biomedicines 12, no. 9: 2088. https://doi.org/10.3390/biomedicines12092088
APA StyleKiselev, A. R., Posnenkova, O. M., Karavaev, A. S., Shvartz, V. A., Novikov, M. Y., & Gridnev, V. I. (2024). Frequency-Domain Features and Low-Frequency Synchronization of Photoplethysmographic Waveform Variability and Heart Rate Variability with Increasing Severity of Cardiovascular Diseases. Biomedicines, 12(9), 2088. https://doi.org/10.3390/biomedicines12092088

