New Neutrophil Parameters in Diseases with Various Inflammatory Processes
Abstract
1. Introduction
2. Materials and Methods
2.1. Patients
2.2. Materials
2.3. Methods: New Neutrophil-Related Sysmex Parameters
2.4. Statistical Analysis
3. Results
3.1. Basic Blood Count Tests
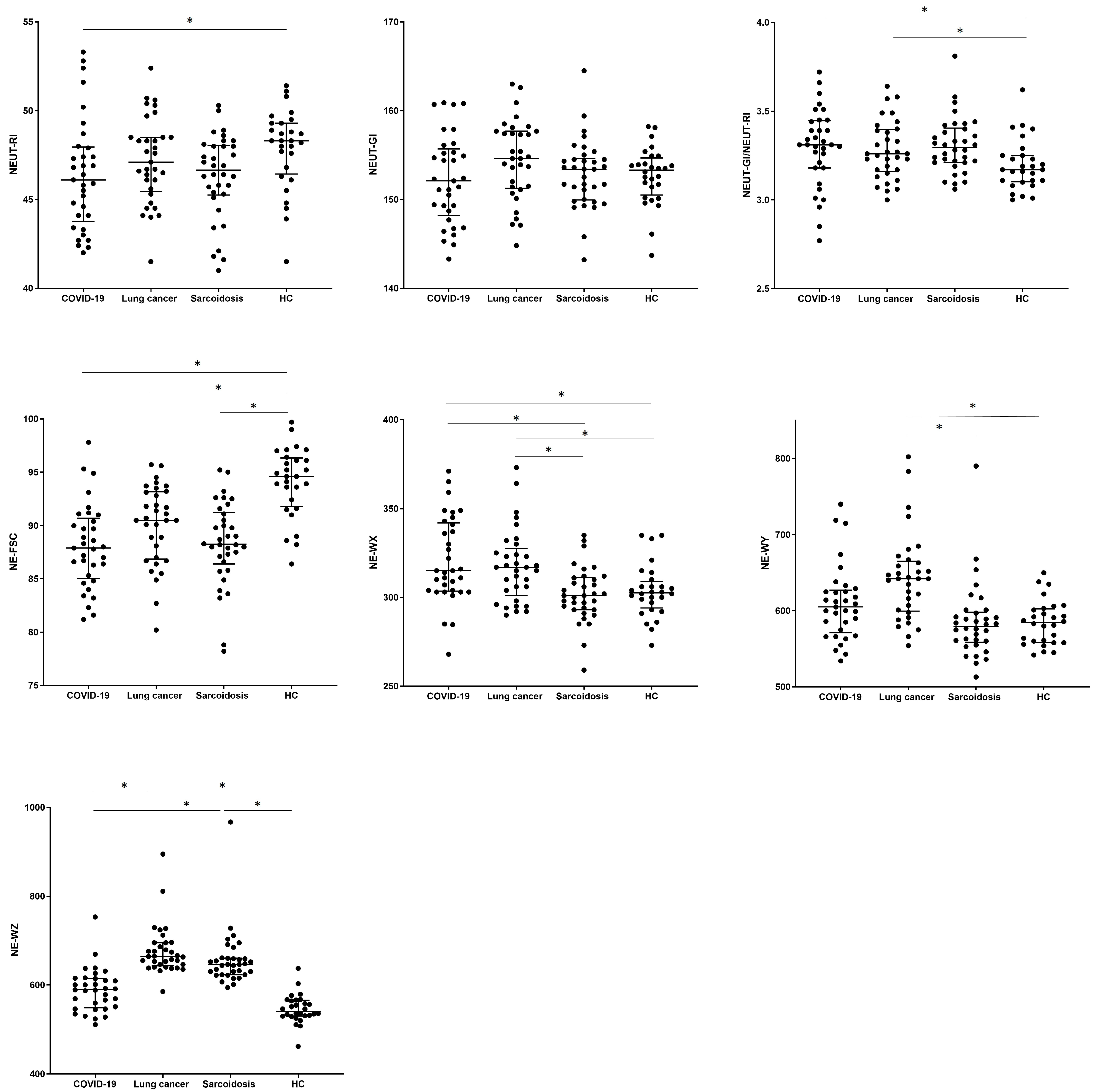
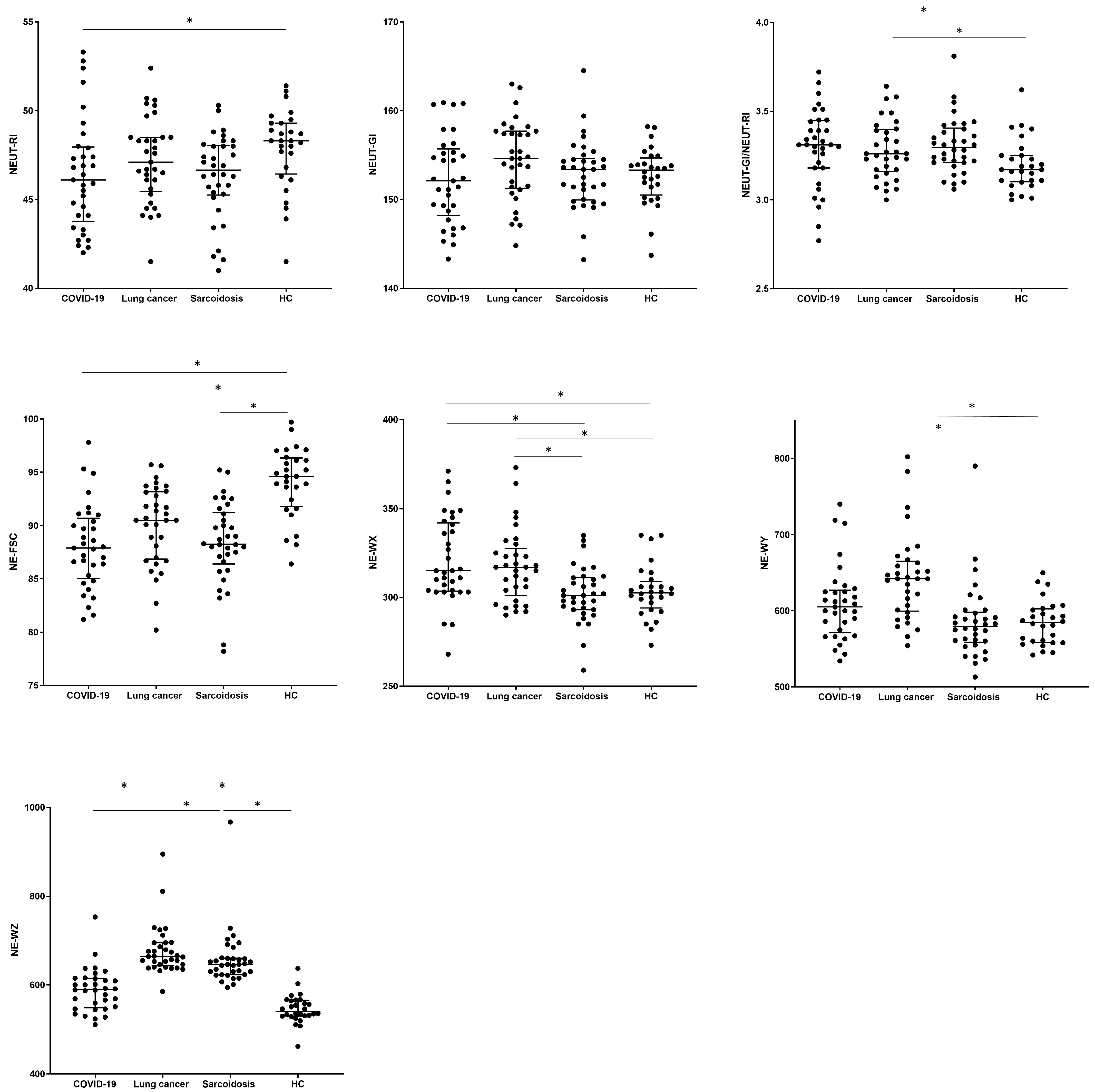
3.2. New Neutrophil-Related Sysmex Parameters
4. Discussion
5. Conclusions
Author Contributions
Funding
Institutional Review Board Statement
Informed Consent Statement
Data Availability Statement
Conflicts of Interest
References
- Malech, H.L.; Deleo, F.R.; Quinn, M.T. The role of neutrophils in the immune system: An overview. Methods Mol. Biol. 2014, 1124, 3–10. [Google Scholar] [CrossRef]
- Silvestre-Roig, C.; Fridlender, Z.G.; Glogauer, M.; Scapini, P. Neutrophil Diversity in Health and Disease. Trends Immunol. 2019, 40, 565–583. [Google Scholar] [CrossRef] [PubMed]
- Rawat, K.; Shrivastava, A. Neutrophils as emerging protagonists and targets in chronic inflammatory diseases. Inflamm. Res. 2022, 71, 1477–1488. [Google Scholar] [CrossRef] [PubMed]
- Wigerblad, G.; Kaplan, M.J. Neutrophil extracellular traps in systemic autoimmune and autoinflammatory diseases. Nat. Rev. Immunol. 2023, 23, 274–288. [Google Scholar] [CrossRef]
- Vermeren, S.; Elks, P.M.; Ellett, F. Editorial: Neutrophil Functions in Host Immunity, Inflammation and Tissue Repair. Front. Immunol. 2021, 12, 810346. [Google Scholar] [CrossRef]
- Li, Y.; Wang, W.; Yang, F.; Xu, Y.; Feng, C.; Zhao, Y. The regulatory roles of neutrophils in adaptive immunity. Cell Commun. Signal. 2019, 17, 147. [Google Scholar] [CrossRef]
- Ganesh, K.; Joshi, M.B. Neutrophil sub-types in maintaining immune homeostasis during steady state, infections and sterile inflammation. Inflamm. Res. 2023, 72, 1175–1192. [Google Scholar] [CrossRef] [PubMed]
- Sounbuli, K.; Mironova, N.; Alekseeva, L. Diverse Neutrophil Functions in Cancer and Promising Neutrophil-Based Cancer Therapies. Int. J. Mol. Sci. 2022, 23, 15827. [Google Scholar] [CrossRef] [PubMed]
- Grecian, R.; Whyte, M.K.B.; Walmsley, S.R. The role of neutrophils in cancer. Br. Med. Bull. 2018, 128, 5–14. [Google Scholar] [CrossRef] [PubMed]
- Furumaya, C.; Martinez-Sanz, P.; Bouti, P.; Kuijpers, T.W.; Matlung, H.L. Plasticity in Pro- and Anti-tumor Activity of Neutrophils: Shifting the Balance. Front. Immunol. 2020, 11, 2100. [Google Scholar] [CrossRef]
- Huang, X.; Nepovimova, E.; Adam, V.; Sivak, L.; Heger, Z.; Valko, M.; Wu, Q.; Kuca, K. Neutrophils in Cancer immunotherapy: Friends or foes? Mol. Cancer 2024, 23, 107. [Google Scholar] [CrossRef]
- Yu, X.; Li, C.; Wang, Z.; Xu, Y.; Shao, S.; Shao, F.; Wang, H.; Liu, J. Neutrophils in cancer: Dual roles through intercellular interactions. Oncogene 2024, 43, 1163–1177. [Google Scholar] [CrossRef] [PubMed]
- Tarasidis, A.; Arce, S. Immune response biomarkers as indicators of sarcoidosis presence, prognosis, and possible treatment: An Immunopathogenic perspective. Autoimmun. Rev. 2020, 19, 102462. [Google Scholar] [CrossRef] [PubMed]
- Zissel, G.; Muller-Quernheim, J. Cellular Players in the Immunopathogenesis of Sarcoidosis. Clin. Chest Med. 2015, 36, 549–560. [Google Scholar] [CrossRef]
- Reusch, N.; De Domenico, E.; Bonaguro, L.; Schulte-Schrepping, J.; Bassler, K.; Schultze, J.L.; Aschenbrenner, A.C. Neutrophils in COVID-19. Front. Immunol. 2021, 12, 652470. [Google Scholar] [CrossRef]
- Cornet, E.; Boubaya, M.; Troussard, X. Contribution of the new XN-1000 parameters NEUT-RI and NEUT-WY for managing patients with immature granulocytes. Int. J. Lab. Hematol. 2015, 37, e123–e126. [Google Scholar] [CrossRef]
- Dinsdale, R.J.; Devi, A.; Hampson, P.; Wearn, C.M.; Bamford, A.L.; Hazeldine, J.; Bishop, J.; Ahmed, S.; Watson, C.; Lord, J.M.; et al. Changes in novel haematological parameters following thermal injury: A prospective observational cohort study. Sci. Rep. 2017, 7, 3211. [Google Scholar] [CrossRef]
- Lee, J.; Gu, J.; Seo, J.E.; Kim, J.W.; Kim, H.K. Diagnostic and Prognostic Values of Neutrophil Reactivity Intensity (NEUT-RI) in Pediatric Systemic Inflammatory Response Syndrome and Sepsis. Ann. Clin. Lab. Sci. 2023, 53, 173–180. [Google Scholar]
- Zeeshan-Haider, R.; Urrechaga, E.; Uddin-Ujjan, I.; Sultan-Shamsi, T. Neutrophil Scattering Data Driven Pre-Microscopic Flagging of Acute Leukemic Cases. Rev. Investig. Clin. 2020, 72, 37–45. [Google Scholar] [CrossRef]
- Maenhout, T.M.; Marcelis, L. Immature granulocyte count in peripheral blood by the Sysmex haematology XN series compared to microscopic differentiation. J. Clin. Pathol. 2014, 67, 648–650. [Google Scholar] [CrossRef]
- Daves, M.; Roccaforte, V.; Lombardi, F.; Panella, R.; Pastori, S.; Spreafico, M.; Jani, E.; Piccin, A. Modern hematology analyzers beyond the simple blood cells count (with focus on the red blood cells). J. Lab. Precis. Med. 2023, 9. [Google Scholar] [CrossRef]
- Rutkowska, E.; Kwiecien, I.; Kulik, K.; Chelstowska, B.; Klos, K.; Rzepecki, P.; Chcialowski, A. Usefulness of the New Hematological Parameter: Reactive Lymphocytes RE-LYMP with Flow Cytometry Markers of Inflammation in COVID-19. Cells 2021, 10, 82. [Google Scholar] [CrossRef]
- Kwiecien, I.; Rutkowska, E.; Klos, K.; Wiesik-Szewczyk, E.; Jahnz-Rozyk, K.; Rzepecki, P.; Chcialowski, A. Maturation of T and B Lymphocytes in the Assessment of the Immune Status in COVID-19 Patients. Cells 2020, 9, 2615. [Google Scholar] [CrossRef] [PubMed]
- Henry, B.; Cheruiyot, I.; Vikse, J.; Mutua, V.; Kipkorir, V.; Benoit, J.; Plebani, M.; Bragazzi, N.; Lippi, G. Lymphopenia and neutrophilia at admission predicts severity and mortality in patients with COVID-19: A meta-analysis. Acta Biomed. 2020, 91, e2020008. [Google Scholar] [CrossRef]
- Distefano, G.; Vancheri, A.; Palermo, M.; Tiralongo, F.; Foti, P.V.; Mauro, L.A.; Vancheri, C.; Basile, A.; Palmucci, S. Morphological Patterns of Sarcoidosis and Clinical Outcome: Retrospective Analysis through a Multidisciplinary Approach. Diagnostics 2020, 10, 212. [Google Scholar] [CrossRef]
- Aloe, C.; Wang, H.; Vlahos, R.; Irving, L.; Steinfort, D.; Bozinovski, S. Emerging and multifaceted role of neutrophils in lung cancer. Transl. Lung Cancer Res. 2021, 10, 2806–2818. [Google Scholar] [CrossRef] [PubMed]
- Mantovani, A.; Allavena, P.; Sica, A.; Balkwill, F. Cancer-related inflammation. Nature 2008, 454, 436–444. [Google Scholar] [CrossRef] [PubMed]
- Nozawa, H.; Chiu, C.; Hanahan, D. Infiltrating neutrophils mediate the initial angiogenic switch in a mouse model of multistage carcinogenesis. Proc. Natl. Acad. Sci. USA 2006, 103, 12493–12498. [Google Scholar] [CrossRef] [PubMed]
- Che, Y.Q.; Shen, D.; Zhang, S.M.; Qi, J. Identification of immature granulocytes in cancer chemotherapy patients by cell counting vs. microscopic examination of blood smears. Mol. Clin. Oncol. 2014, 2, 207–211. [Google Scholar] [CrossRef]
- Kwiecien, I.; Rutkowska, E.; Gawronski, K.; Kulik, K.; Dudzik, A.; Zakrzewska, A.; Raniszewska, A.; Sawicki, W.; Rzepecki, P. Usefulness of New Neutrophil-Related Hematologic Parameters in Patients with Myelodysplastic Syndrome. Cancers 2023, 15, 2488. [Google Scholar] [CrossRef]
- Lu, Q.; Li, Y.; Li, T.; Hou, T.; Zhao, Y.; Feng, S.; Yang, X.; Zhu, M.; Shen, Y. Evaluation of immature granulocyte parameters in myeloid neoplasms assayed by Sysmex XN hematology analyzer. J. Hematop. 2022, 15, 1–6. [Google Scholar] [CrossRef] [PubMed]
- Katahira, Y.; Higuchi, H.; Matsushita, H.; Yahata, T.; Yamamoto, Y.; Koike, R.; Ando, K.; Sato, K.; Imadome, K.I.; Kotani, A. Increased Granulopoiesis in the Bone Marrow following Epstein-Barr Virus Infection. Sci. Rep. 2019, 9, 13445. [Google Scholar] [CrossRef]
- Mayadas, T.N.; Cullere, X.; Lowell, C.A. The multifaceted functions of neutrophils. Annu. Rev. Pathol. 2014, 9, 181–218. [Google Scholar] [CrossRef] [PubMed]
- Colom, B.; Bodkin, J.V.; Beyrau, M.; Woodfin, A.; Ody, C.; Rourke, C.; Chavakis, T.; Brohi, K.; Imhof, B.A.; Nourshargh, S. Leukotriene B4-Neutrophil Elastase Axis Drives Neutrophil Reverse Transendothelial Cell Migration In Vivo. Immunity 2015, 42, 1075–1086. [Google Scholar] [CrossRef]
- Kwiecien, I.; Rutkowska, E.; Kulik, K.; Klos, K.; Plewka, K.; Raniszewska, A.; Rzepecki, P.; Chcialowski, A. Neutrophil Maturation, Reactivity and Granularity Research Parameters to Characterize and Differentiate Convalescent Patients from Active SARS-CoV-2 Infection. Cells 2021, 10, 2332. [Google Scholar] [CrossRef] [PubMed]
- Li, J.; Zhang, K.; Zhang, Y.; Gu, Z.; Huang, C. Neutrophils in COVID-19: Recent insights and advances. Virol. J. 2023, 20, 169. [Google Scholar] [CrossRef] [PubMed]
- Kraaijvanger, R.; Janssen Bonas, M.; Vorselaars, A.D.M.; Veltkamp, M. Biomarkers in the Diagnosis and Prognosis of Sarcoidosis: Current Use and Future Prospects. Front. Immunol. 2020, 11, 1443. [Google Scholar] [CrossRef] [PubMed]
- Ziegenhagen, M.W.; Rothe, M.E.; Schlaak, M.; Muller-Quernheim, J. Bronchoalveolar and serological parameters reflecting the severity of sarcoidosis. Eur. Respir. J. 2003, 21, 407–413. [Google Scholar] [CrossRef]
- Tutor-Ureta, P.; Citores, M.J.; Castejon, R.; Mellor-Pita, S.; Yebra-Bango, M.; Romero, Y.; Vargas, J.A. Prognostic value of neutrophils and NK cells in bronchoalveolar lavage of sarcoidosis. Cytom. B Clin. Cytom. 2006, 70, 416–422. [Google Scholar] [CrossRef] [PubMed]
- Ghasempour Alamdari, M.; Kalami, N.; Shojaan, H.; Aminizadeh, S.; Ghaedi, A.; Bazrgar, A.; Khanzadeh, S. Systematic review of the diagnostic role of neutrophil to lymphocyte ratio in sarcoidosis. Sarcoidosis Vasc. Diffus. Lung Dis. 2023, 40, e2023008. [Google Scholar] [CrossRef]
- Mantovani, E.M.A.; Formenti, P.; Pastori, S.; Roccaforte, V.; Gotti, M.; Panella, R.; Galimberti, A.; Costagliola, R.; Vetrone, F.; Umbrello, M.; et al. The Potential Role of Neutrophil-Reactive Intensity (NEUT-RI) in the Diagnosis of Sepsis in Critically Ill Patients: A Retrospective Cohort Study. Diagnostics 2023, 13, 1781. [Google Scholar] [CrossRef] [PubMed]
- Formenti, P.; Isidori, L.; Pastori, S.; Roccaforte, V.; Mantovani, E.A.; Iezzi, M.; Menozzi, A.; Panella, R.; Galimberti, A.; Brenna, G.; et al. A Secondary Retrospective Analysis of the Predictive Value of Neutrophil-Reactive Intensity (NEUT-RI) in Septic and Non-Septic Patients in Intensive Care. Diagnostics 2024, 14, 821. [Google Scholar] [CrossRef]
- Ho, S.F.; Tan, S.J.; Mazlan, M.Z.; Iberahim, S.; Lee, Y.X.; Hassan, R. Exploring Extended White Blood Cell Parameters for the Evaluation of Sepsis among Patients Admitted to Intensive Care Units. Diagnostics 2023, 13, 2445. [Google Scholar] [CrossRef]
- Martens, R.J.H.; van Adrichem, A.J.; Mattheij, N.J.A.; Brouwer, C.G.; van Twist, D.J.L.; Broerse, J.; Magro-Checa, C.; van Dongen, C.M.P.; Mostard, R.L.M.; Ramiro, S.; et al. Hemocytometric characteristics of COVID-19 patients with and without cytokine storm syndrome on the sysmex XN-10 hematology analyzer. Clin. Chem. Lab. Med. 2021, 59, 783–793. [Google Scholar] [CrossRef] [PubMed]
- Shekhar, R.; Pai, S.; Srinivasan, V.K.; Srinivas, V.; Adhikary, R.; Bhavana, M.V. Alterations in leucocyte cell population data in bacteraemia: A study from a tertiary care hospital in India. Int. J. Lab. Hematol. 2021, 43, e1–e4. [Google Scholar] [CrossRef] [PubMed]
- Lee, A.J.; Kim, S.G. Mean cell volumes of neutrophils and monocytes are promising markers of sepsis in elderly patients. Blood Res. 2013, 48, 193–197. [Google Scholar] [CrossRef] [PubMed]
- Kato, Y.; Sakamoto, D.; Ohnishi, H.; Taki, T. Detection of decreased granules in neutrophils by automated hematology analyzers XR-1000 and UniCel DxH 800. Lab. Med. 2024, ahead of print. [Google Scholar] [CrossRef]
- Witter, A.R.; Okunnu, B.M.; Berg, R.E. The Essential Role of Neutrophils during Infection with the Intracellular Bacterial Pathogen Listeria monocytogenes. J. Immunol. 2016, 197, 1557–1565. [Google Scholar] [CrossRef]
- Park, S.H.; Kim, H.H.; Kim, I.S.; Yi, J.; Chang, C.L.; Lee, E.Y. Cell Population Data NE-SFL and MO-WX From Sysmex XN-3000 Can Provide Additional Information for Exclusion of Acute Promyelocytic Leukemia From Other Acute Myeloid Leukemias: A Preliminary Study. Ann. Lab. Med. 2016, 36, 607–610. [Google Scholar] [CrossRef] [PubMed]
- Di Luise, D.; Giannotta, J.A.; Ammirabile, M.; De Zordi, V.; Torricelli, S.; Bottalico, S.; Chiaretto, M.L.; Fattizzo, B.; Migliorini, A.C.; Ceriotti, F. Cell Population Data NE-WX, NE-FSC, LY-Y of Sysmex XN-9000 can provide additional information to differentiate macrocytic anaemia from myelodysplastic syndrome: A preliminary study. Int. J. Lab. Hematol. 2022, 44, e40–e43. [Google Scholar] [CrossRef]
- Mowery, Y.M.; Luke, J.J. NETosis Impact on Tumor Biology, Radiation, and Systemic Therapy Resistance. Clin. Cancer Res. 2024, ahead of print. [Google Scholar] [CrossRef]
- Kaminski, T.W.; Brzoska, T.; Li, X.; Vats, R.; Katoch, O.; Dubey, R.K.; Bagale, K.; Watkins, S.C.; McVerry, B.J.; Pradhan-Sundd, T.; et al. Lung microvascular occlusion by platelet-rich neutrophil-platelet aggregates promotes cigarette smoke-induced severe flu. JCI Insight 2024, 9, e167299. [Google Scholar] [CrossRef] [PubMed]



| SA | COVID | LC | HC | |
|---|---|---|---|---|
| Number of patients | 34 | 33 | 33 | 28 |
| Sex F/M (n) | 9/25 | 12/21 | 19/14 | 25/3 |
| Age (mean ± SD years) | 45.2 ± 13.0 | 58.0 ± 17.5 | 67.0 ± 8.5 | 50 ± 11.3 |
| Stage I/II/III/IV | 11/23/ n/a/ n/a | n/a | 2/4/17/10 | n/a |
| LC histological subtype | n/a | n/a | SCLC 20, 60.6% SQCLC 4, 30.8% ADC 7, 30.8% NOS 1, 7.7% LCC 1, 7.7% | n/a |
| DLCO (>80%/<80%) (n/n) | 17/17 | n/a | n/a | n/a |
| Saturation (mean ± SD%) | n/a | 91.0 ± 7.5% | n/a | n/a |
| Conventional (passive) oxygen therapy (n,%) | n/a | 7, 30.4% | n/a | n/a |
| Mechanical ventilation therapy (n,%) | n/a | 3, 13.0% | n/a | n/a |
| Parameter | Parameter Description |
|---|---|
| NEUT-RI/NE-SFL | The mean value of fluorescence intensity; reflects metabolic activity of neutrophils |
| NEUT-GI/NE-SSC | Provides information about the density or complexity of the cell and depicts the granularity of the cells |
| IG | Immature granulocytes |
| NE-FSC | Intensity of frontally scattered light; neutrophil size |
| NE-WX | Laterally scattered light intensity; width of dispersion of neutrophil complexity |
| NE-WY | Intensity of fluorescent light; width of dispersion of neutrophil fluorescence |
| NE-WZ | Intensity of frontally scattered light; width of dispersion of neutrophil size |
| Hematological Parameters | COVID-19 (A) Median (Q1–Q3) | Lung Cancer (B) Median (Q1–Q3) | Sarcoidosis (C) Median (Q1–Q3) | Healthy Control (D) Median (Q1–Q3) | * p < 0.05 Group A-B-C ANOVA, Kruskal–Wallis | * p < 0.05 Group, in Groups Post Hoc |
|---|---|---|---|---|---|---|
| WBC [103/µL] | 4.58 (3.89–6.81) | 8.31 (6.50–11.87) | 5.73 (4.89–7.46) | 5.95 (4.78–6.53) | * p < 0.001 | A-B * p < 0.0001 B-D * p = 0.0053 B-C * p = 0.0050 |
| NEUTROPHILS [103/µL] | 2.89 (2.20–4.06) | 5.62 (4.35–9.69) | 3.61 (2.75–4.70) | 3.63 (2.36–3.90) | * p < 0.001 | A-B * p < 0.0001 B-C * p = 0.0031 B-D * p = 0.0002 |
| LYMPHOCYTES [103/µL] | 1.23 (0.70–1.57) | 1.48 (1.17–1.99) | 1.39 (1.03–1.59) | 1.63 (1.30–2.08) | * p = 0.0137 | A-D * p = 0.0016 |
| MONOCYTES [103/µL] | 0.40 (0.27–0.64) | 0.62 (0.49–0.78) | 0.53 (0.42–0.68) | 0.54 (0.36–0.65) | * p = 0.0100 | A-B * p = 0.0073 |
| EOSINOPHILS [103/µL] | 0.06 (0.00–0.10) | 0.08 (0.04–0.14) | 0.15 (0.03–0.06) | 0.12 (0.08–0.19) | * p < 0.001 | A-C * p < 0.0001 A-D * p = 0.0127 |
| BASOPHILS [103/µL] | 0.02 (0.01–0.02) | 0.04 (0.02–0.05) | 0.04 (0.03–0.06) | 0.04 (0.02–0.04) | * p <0.001 | A-B * p = 0.0002 A-C * p < 0.0001 A-D * p = 0.0026 |
| IG [103/µL] | 0.02 (0.01–0.05) | 0.04 (0.02–0.07) | 0.02 (0.01–0.03) | 0.02 (0.01–0.02) | * p = 0.0014 | B-C * p = 0.0250 B-D * p = 0.0016 |
| PLT [103/µL] | 210 (177–292) | 248 (184–308) | 238 (186–308) | 249 (213–278) | p = 0.7209 | - |
| NEUTROPHILS [%] | 62.3 (55.1–75-3) | 74.0 (63.6–76.9) | 62.9 (55.5–69.3) | 57.2 (52.8–61.8) | * p < 0.001 | A-B * p = 0.0259 B-C * p = 0.0224 B-D * p < 0.0001 |
| LYMPHOCYTES [%] | 26.9 (18.1–34.0) | 18.6 (14.8–25.0) | 22.1 (18.8–30.6) | 29.7 (25.8–33.4) | * p = 0.001 | A-B * p = 0.0171 B-D * p < 0.0001 |
| MONOCYTES [%] | 8.2 (5.5–10.3) | 7.7 (6.2–9.1) | 8.5 (7.2–11.5) | 8.6 (6.7–9.9) | p = 0.2311 | - |
| EOSINOPHILS [%] | 0.9 (0.0–2.2) | 0.9 (0.3–2.4) | 2.1 (1.6–4.1) | 2.1 (1.2–3.1) | * p < 0.001 | A-C * p < 0.0001 A-D * p = 0.0164 B-C * p = 0.0007 |
| BASOPHILS [%] | 0.4 (0.2–0.5) | 0.6 (0.3–0.8) | 0.6 (0.4–1.0) | 0.6 (0.5–0.8) | * p = 0.001 | A-C * p < 0.0001 A-D * p = 0.0049 |
| IG [%] | 0.5 (0.3–1.0) | 0.4 (0.3–0.6) | 0.3 (0.2–0.5) | 0.3 (0.2–0.3) | * p = 0.002 | A-D * p = 0.0004 B-D * p = 0.0038 |
| Hematological Parameters | COVID-19 (A) Median (Q1–Q3) | Lung Cancer (B) Median (Q1–Q3) | Sarcoidosis (C) Median (Q1–Q3) | Healthy Control (D) Median (Q1–Q3) | * p < 0.05 Group A-B-C ANOVA, Kruskal–Wallis | * p < 0.05 Group, in Groups Post Hoc |
|---|---|---|---|---|---|---|
| NEUT-RI [FI] or NE-SFL [ch] | 46.1 (44.1–47.9) | 47.1 (45.6–48.5) | 46.6 (45.3–48.0) | 48.3 (46.6–49.3) | * p = 0.0273 | A-D * p = 0.0428 |
| NEUT-GI [SI] or NE-SSC [ch] | 152.1 (146.7–155.3) | 154.6 (151.4–157.7) | 153.4 (150.0–154.5) | 153.3 (150.8–154.4) | p = 0.1649 | - |
| Ratio NEUT-GI/NEUT-RI | 3.31 (3.18–3.46) | 3.26 (3.16–3.39) | 3.29 (3.21–3.40) | 3.17 (3.10–3.25)) | * p < 0.0229 | A-D * p = 0.0396 C-D * p = 0.0404 |
| NE-FSC [ch] | 87.9 (85.3–90.4) | 90.5 (87.0–93.1) | 88.3 (86.6–91.1) | 94.6 (92.0–96.2) | * p < 0.001 | A-D * p < 0.0001 B-D * p = 0.0027 C-D * p < 0.0001 |
| NE-WX | 315.0 (304.0–341.0) | 317.0 (304.0–325.0) | 301.0 (293.0–311.0) | 302.5 (295.0–308.0) | * p = 0.001 | A-C * p = 0.0015 A-D * p = 0.0072 B-D * p = 0.0323 B-C * p = 0.0086 |
| NE-WY | 605.0 (575.0–625.0) | 642.0 (601.0–663.0) | 579.5 (560.0–597.0) | 584.5 (559.0–602.0) | * p< 0.001 | B-C * p < 0.0001 B-D * p = 0.0001 |
| NE-WZ | 589.0 (551.0–614.0) | 664.0 (646.0–695.0) | 646.0 (623.0–660.0) | 541.0 (530.5–565.0) | * p< 0.001 | A-B * p < 0.0001 A-C * p = 0.0001 B-D * p < 0.0001 C-D * p < 0.0001 |
Disclaimer/Publisher’s Note: The statements, opinions and data contained in all publications are solely those of the individual author(s) and contributor(s) and not of MDPI and/or the editor(s). MDPI and/or the editor(s) disclaim responsibility for any injury to people or property resulting from any ideas, methods, instructions or products referred to in the content. |
© 2024 by the authors. Licensee MDPI, Basel, Switzerland. This article is an open access article distributed under the terms and conditions of the Creative Commons Attribution (CC BY) license (https://creativecommons.org/licenses/by/4.0/).
Share and Cite
Rutkowska, E.; Kwiecień, I.; Raniszewska, A.; Sokołowski, R.; Bednarek, J.; Jahnz-Różyk, K.; Chciałowski, A.; Rzepecki, P. New Neutrophil Parameters in Diseases with Various Inflammatory Processes. Biomedicines 2024, 12, 2016. https://doi.org/10.3390/biomedicines12092016
Rutkowska E, Kwiecień I, Raniszewska A, Sokołowski R, Bednarek J, Jahnz-Różyk K, Chciałowski A, Rzepecki P. New Neutrophil Parameters in Diseases with Various Inflammatory Processes. Biomedicines. 2024; 12(9):2016. https://doi.org/10.3390/biomedicines12092016
Chicago/Turabian StyleRutkowska, Elżbieta, Iwona Kwiecień, Agata Raniszewska, Rafał Sokołowski, Joanna Bednarek, Karina Jahnz-Różyk, Andrzej Chciałowski, and Piotr Rzepecki. 2024. "New Neutrophil Parameters in Diseases with Various Inflammatory Processes" Biomedicines 12, no. 9: 2016. https://doi.org/10.3390/biomedicines12092016
APA StyleRutkowska, E., Kwiecień, I., Raniszewska, A., Sokołowski, R., Bednarek, J., Jahnz-Różyk, K., Chciałowski, A., & Rzepecki, P. (2024). New Neutrophil Parameters in Diseases with Various Inflammatory Processes. Biomedicines, 12(9), 2016. https://doi.org/10.3390/biomedicines12092016

