Transitions from Aerobic to Anaerobic Metabolism and Oxygen Debt during Elective Major and Emergency Non-Cardiac Surgery
Abstract
1. Introduction
2. Materials and Methods
2.1. Study Objectives
2.2. Description of the Elective Major Non-Cardiac Surgery Cohort
Anesthetic Management
2.3. Description of the Emergency Surgery Cohort
Anesthetic Management
2.4. Measurements
2.4.1. Systemic Hemodynamics
2.4.2. Calculation of Mean Circulatory Filling Pressure Analogue and Related Variables
2.4.3. Sublingual Microcirculation Analysis
2.4.4. Oxygen Extraction and Transitions of Metabolism
2.5. Data Collection, Monitoring, and Management
2.6. Statistical Analysis
3. Results
3.1. TRANAM during Elective Major Non-Cardiac Surgery
3.1.1. Anesthesia Characteristics and Intraoperative Variation of Oxygen Dept
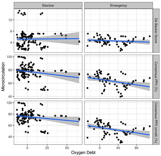
3.1.2. Association of TRANAM with Hemodynamic and Metabolic Variables
3.1.3. Association of TRANAM with Comprehensive Complication Index
3.2. TRANAM during Emergency Abdominal Surgery
3.2.1. Anesthesia Characteristics and Intraoperative Variation of Oxygen Dept
3.2.2. Association of TRANAM with Hemodynamics and Metabolic Variables
3.2.3. Association of TRANAM with Comprehensive Complication Index
4. Discussion
5. Conclusions
Supplementary Materials
Author Contributions
Funding
Institutional Review Board Statement
Informed Consent Statement
Data Availability Statement
Conflicts of Interest
References
- Chalkias, A.; Xenos, M. Relationship of Effective Circulating Volume with Sublingual Red Blood Cell Velocity and Microvessel Pressure Difference: A Clinical Investigation and Computational Fluid Dynamics Modeling. J. Clin. Med. 2022, 11, 4885. [Google Scholar] [CrossRef] [PubMed]
- Laou, E.; Papagiannakis, N.; Michou, A.; Ntalarizou, N.; Ragias, D.; Angelopoulou, Z.; Sessler, D.I.; Chalkias, A. Association between mean arterial pressure and sublingual microcirculation during major non-cardiac surgery: Post hoc analysis of a prospective cohort. Microcirculation 2023, 30, e12804. [Google Scholar] [CrossRef] [PubMed]
- Chalkias, A.; Papagiannakis, N.; Saugel, B.; Flick, M.; Kolonia, K.; Angelopoulou, Z.; Ragias, D.; Papaspyrou, D.; Bouzia, A.; Ntalarizou, N.; et al. Association of Preoperative Basal Inflammatory State, Measured by Plasma suPAR Levels, with Intraoperative Sublingual Microvascular Perfusion in Patients Undergoing Major Non-Cardiac Surgery. J. Clin. Med. 2022, 11, 3326. [Google Scholar] [CrossRef] [PubMed]
- Granger, D.N.; Senchenkova, E. Inflammation and the Microcirculation. In Colloquium Series on Integrated Systems Physiology: From Molecule to Function to Disease; Granger, D.N., Granger, J.P., Eds.; Morgan & Claypool Life Sciences: San Rafael, CA, USA, 2010; pp. 1–65. [Google Scholar]
- Payne, G.W. Effect of inflammation on the aging microcirculation: Impact on skeletal muscle blood flow control. Microcirculation 2006, 13, 343–352. [Google Scholar] [CrossRef] [PubMed]
- Becker, B.F.; Jacob, M.; Leipert, S.; Salmon, A.H.; Chappell, D. Degradation of the endothelial glycocalyx in clinical settings: Searching for the sheddases. Br. J. Clin. Pharmacol. 2015, 80, 389–402. [Google Scholar] [CrossRef] [PubMed]
- Convertino, V.A.; Lye, K.R.; Koons, N.J.; Joyner, M.J. Physiological comparison of hemorrhagic shock and VO2 max: A conceptual framework for defining the limitation of oxygen delivery. Exp. Biol. Med. 2019, 244, 690–701. [Google Scholar] [CrossRef]
- Dunham, C.M.; Siegel, J.H.; Weireter, L.; Fabian, M.; Goodarzi, S.; Guadalupi, P.; Gettings, L.; Linberg, S.E.; Vary, T.C. Oxygen debt and metabolic acidemia as quantitative predictors of mortality and the severity of the ischemic insult in hemorrhagic shock. Crit. Care Med. 1991, 19, 231–243. [Google Scholar] [CrossRef]
- Siegel, J.H.; Fabian, M.; Smith, J.A.; Kingston, E.P.; Steele, K.A.; Wells, M.R. Oxygen debt criteria quantify the effectiveness of early partial resuscitation after hypovolemic hemorrhagic shock. J. Trauma. Inj. Infect. Crit. Care 2003, 54, 862–880. [Google Scholar] [CrossRef]
- Maheshwari, K. Principles for minimizing oxygen debt: Can they translate to clinical application and improve outcomes? Best Pract. Res. Clin. Anaesthesiol. 2021, 35, 543–549. [Google Scholar] [CrossRef]
- Laou, E.; Papagiannakis, N.; Sarchosi, S.; Kleisiaris, K.; Apostolopoulou, A.; Syngelou, V.; Kakagianni, M.; Christopoulos, A.; Ntalarizou, N.; Chalkias, A. The use of mean circulatory filling pressure analogue for monitoring hemodynamic coherence: A post-hoc analysis of the SPARSE data and proof-of-concept study. Clin. Hemorheol. Microcirc. 2023, 84, 19–32. [Google Scholar] [CrossRef]
- Chalkias, A.; Laou, E.; Mermiri, M.; Michou, A.; Ntalarizou, N.; Koutsona, S.; Chasiotis, G.; Garoufalis, G.; Agorogiannis, V.; Kyriakaki, A.; et al. Microcirculation-guided treatment improves tissue perfusion and hemodynamic coherence in surgical patients with septic shock. Eur. J. Trauma. Emerg. Surg. 2022, 48, 4699–4711. [Google Scholar] [CrossRef] [PubMed]
- Kertai, M.D.; White, W.D.; Gan, T.J. Cumulative duration of “triple low” state of low blood pressure, low bispectral index, and low minimum alveolar concentration of volatile anesthesia is not associated with increased mortality. Anesthesiology 2014, 121, 18–28. [Google Scholar] [CrossRef] [PubMed]
- Willingham, M.; Ben Abdallah, A.; Gradwohl, S.; Helsten, D.; Lin, N.; Villafranca, A.; Jacobsohn, E.; Avidan, M.; Kaiser, H. Association between intraoperative electroencephalographic suppression and postoperative mortality. Br. J. Anaesth. 2014, 113, 1001–1008. [Google Scholar] [CrossRef] [PubMed]
- Milstein, D.M.; Helmers, R.; Hackmann, S.; Belterman, C.N.; van Hulst, R.A.; de Lange, J. Sublingual microvascular perfusion is altered during normobaric and hyperbaric hyperoxia. Microvasc. Res. 2016, 105, 93–102. [Google Scholar] [CrossRef]
- Schwarte, L.A.; Schober, P.; Loer, S.A. Benefits and harms of increased inspiratory oxygen concentrations. Curr. Opin. Anaesthesiol. 2019, 32, 783–791. [Google Scholar] [CrossRef] [PubMed]
- Orbegozo Cortés, D.; Puflea, F.; Donadello, K.; Taccone, F.S.; Gottin, L.; Creteur, J.; Vincent, J.L.; De Backer, D. Normobaric hyperoxia alters the microcirculation in healthy volunteers. Microvasc. Res. 2015, 98, 23–28. [Google Scholar] [CrossRef] [PubMed]
- Rhodes, A.; Evans, L.E.; Alhazzani, W.; Levy, M.M.; Antonelli, M.; Ferrer, R.; Kumar, A.; Sevransky, J.E.; Sprung, C.L.; Nunnally, M.E.; et al. Surviving Sepsis Campaign: International Guidelines for Management of Sepsis and Septic Shock: 2016. Intensive Care Med. 2017, 43, 304–377. [Google Scholar] [CrossRef] [PubMed]
- Özarslan, N.G.; Ayhan, B.; Kanbak, M.; Çelebioğlu, B.; Demircin, M.; Ince, C.; Aypar, Ü. Comparison of the effects of sevoflurane, isoflurane, and desflurane on microcirculation in coronary artery bypass graft surgery. J. Cardiothorac. Vasc. Anesth. 2012, 26, 791–798. [Google Scholar] [CrossRef] [PubMed]
- Chalkias, A.; Laou, E.; Papagiannakis, N.; Spyropoulos, V.; Kouskouni, E.; Theodoraki, K.; Xanthos, T. Assessment of Dynamic Changes in Stressed Volume and Venous Return during Hyperdynamic Septic Shock. J. Pers. Med. 2022, 12, 724. [Google Scholar] [CrossRef]
- Parkin, W.G.; Leaning, M.S. Therapeutic control of the circulation. J. Clin. Monit. Comput. 2008, 22, 391–400. [Google Scholar] [CrossRef]
- Chalkias, A.; Laou, E.; Papagiannakis, N.; Varvarousi, G.; Ragias, D.; Koutsovasilis, A.; Makris, D.; Varvarousis, D.; Iacovidou, N.; Pantazopoulos, I.; et al. Determinants of venous return in steady-state physiology and asphyxia-induced circulatory shock and arrest: An experimental study. Intensive Care Med. Exp. 2022, 10, 13. [Google Scholar] [CrossRef]
- Wijnberge, M.; Sindhunata, D.P.; Pinsky, M.R.; Vlaar, A.P.; Ouweneel, E.; Jansen, J.R.; Veelo, D.P.; Geerts, B.F. Estimating mean circulatory filling pressure in clinical practice: A systematic review comparing three bedside methods in the critically ill. Ann. Intensive Care 2018, 8, 73. [Google Scholar] [CrossRef]
- Massey, M.J.; Larochelle, E.; Najarro, G.; Karmacharla, A.; Arnold, R.; Trzeciak, S.; Angus, D.C.; Shapiro, N.I. The microcirculation image quality score: Development and preliminary evaluation of a proposed approach to grading quality of image acquisition for bedside videomicroscopy. J. Crit. Care 2013, 28, 913–917. [Google Scholar] [CrossRef]
- Dobbe, J.G.; Streekstra, G.J.; Atasever, B.; van Zijderveld, R.; Ince, C. Measurement of functional microcirculatory geometry and velocity distributions using automated image analysis. Med. Biol. Eng. Comput. 2008, 46, 659–670. [Google Scholar] [CrossRef]
- Ince, C.; Boerma, E.C.; Cecconi, M.; De Backer, D.; Shapiro, N.I.; Duranteau, J.; Pinsky, M.R.; Artigas, A.; Teboul, J.L.; Reiss, I.K.M.; et al. Second consensus on the assessment of sublingual microcirculation in critically ill patients: Results from a task force of the European Society of Intensive Care Medicine. Intensive Care Med. 2018, 44, 281–299. [Google Scholar] [CrossRef]
- Shoemaker, W.C.; Appel, P.L.; Kram, H.B. Tissue oxygen debt as a determinant of lethal and nonlethal postoperative organ failure. Crit. Care Med. 1988, 16, 1117–1120. [Google Scholar] [CrossRef]
- Agha, R.; Abdall-Razak, A.; Crossley, E.; Dowlut, N.; Iosifidis, C.; Mathew, G.; STROCSS Group. STROCSS 2019 Guideline: Strengthening the reporting of cohort studies in surgery. Int. J. Surg. 2019, 72, 156–165. [Google Scholar] [CrossRef]
- Michel, P.G.; Claudia, P.H.; Andrea, R.S.; Maria, D.A.; Henry, R.A. Oxygen debt as a predictor of high-flow nasal cannula therapy failure in SARS-CoV-2 patients with acute respiratory failure: A retrospective cohort study. Heart Lung 2024, 64, 176–181. [Google Scholar] [CrossRef]
- Krogh, A.; Lindhard, J. The changes in respiration at the transition from work to rest. J. Physiol. 1920, 53, 431–439. [Google Scholar] [CrossRef] [PubMed]
- Jakobsson, J.; Norén, C.; Hagel, E.; Kalman, S.; Bartha, E. Peri-operative oxygen consumption revisited: An observational study in elderly patients undergoing major abdominal surgery. Eur. J. Anaesthesiol. 2021, 38, 4–12. [Google Scholar] [CrossRef] [PubMed]
- Jakobsson, J.; Vadman, S.; Hagel, E.; Kalman, S.; Bartha, E. The effects of general anaesthesia on oxygen consumption: A meta-analysis guiding future studies on perioperative oxygen transport. Acta Anaesthesiol. Scand. 2019, 63, 144–153. [Google Scholar] [CrossRef] [PubMed]
- Pesenti, A.; Slobod, D.; Magder, S. The forgotten relevance of central venous pressure monitoring. Intensive Care Med. 2023, 49, 868–870. [Google Scholar] [CrossRef] [PubMed]
- Laou, E.; Papagiannakis, N.; Ntalarizou, N.; Choratta, T.; Angelopoulou, Z.; Annousis, K.; Sakellakis, M.; Kyriakaki, A.; Ragias, D.; Michou, A.; et al. The Relation of Calculated Plasma Volume Status to Sublingual Microcirculatory Blood Flow and Organ Injury. J. Pers. Med. 2023, 13, 1085. [Google Scholar] [CrossRef] [PubMed]
- Miller, T.E.; Myles, P.S. Perioperative Fluid Therapy for Major Surgery. Anesthesiology 2019, 130, 825–832. [Google Scholar] [CrossRef] [PubMed]
- Myles, P.S.; Bellomo, R.; Corcoran, T.; Forbes, A.; Peyton, P.; Story, D.; Christophi, C.; Leslie, K.; McGuinness, S.; Parke, R.; et al. Restrictive versus Liberal Fluid Therapy for Major Abdominal Surgery. N. Engl. J. Med. 2018, 378, 2263–2274. [Google Scholar] [CrossRef] [PubMed]
- Lugo, G.; Arizpe, D.; Domínguez, G.; Ramírez, M.; Tamariz, O. Relationship between oxygen consumption and oxygen delivery during anesthesia in high-risk surgical patients. Crit. Care Med. 1993, 21, 64–69. [Google Scholar] [CrossRef] [PubMed]
- Marik, P.E.; Kaufman, D. The effects of neuromuscular paralysis on systemic and splanchnic oxygen utilization in mechanically ventilated patients. Chest 1996, 109, 1038–1042. [Google Scholar] [CrossRef]
- Larvin, J.; Edwards, M.; Martin, D.S.; Feelisch, M.; Grocott, M.P.W.; Cumpstey, A.F. Perioperative oxygenation-what’s the stress? BJA Open 2024, 10, 100277. [Google Scholar] [CrossRef] [PubMed]
- Schaible, B.; Schaffer, K.; Taylor, C.T. Hypoxia, innate immunity and infection in the lung. Respir. Physiol. Neurobiol. 2010, 174, 235–243. [Google Scholar] [CrossRef]
- D’Amico, F.; Pruna, A.; Putowski, Z.; Dormio, S.; Ajello, S.; Scandroglio, A.M.; Lee, T.C.; Zangrillo, A.; Landoni, G. Low Versus High Blood Pressure Targets in Critically Ill and Surgical Patients: A Systematic Review and Meta-Analysis of Randomized Controlled Trials. Crit. Care Med. 2024; epub ahead of print. [Google Scholar] [CrossRef]
- Michard, F.; Joosten, A.; Futier, E. Intraoperative blood pressure: Could less be more? Br. J. Anaesth. 2023, 131, 810–812. [Google Scholar] [CrossRef]
- Qi, Y.; Chang, S.S.; Wang, Y.; Chen, C.; Baek, K.I.; Hsiai, T.; Roper, M. Hemodynamic regulation allows stable growth of microvascular networks. Proc. Natl. Acad. Sci. USA 2024, 121, e2310993121. [Google Scholar] [CrossRef] [PubMed]
- Chalkias, A. Shear Stress and Endothelial Mechanotransduction in Trauma Patients with Hemorrhagic Shock: Hidden Coagulopathy Pathways and Novel Therapeutic Strategies. Int. J. Mol. Sci. 2023, 24, 17522. [Google Scholar] [CrossRef] [PubMed]
- Fejes, R.; Rutai, A.; Juhász, L.; Poles, M.Z.; Szabó, A.; Kaszaki, J.; Boros, M.; Tallósy, S.P. Microcirculation-driven mitochondrion dysfunction during the progression of experimental sepsis. Sci. Rep. 2024, 14, 7153. [Google Scholar] [CrossRef] [PubMed]
- Ngo, J.; Osto, C.; Villalobos, F.; Shirihai, O.S. Mitochondrial Heterogeneity in Metabolic Diseases. Biology 2021, 10, 927. [Google Scholar] [CrossRef] [PubMed]






| Elective Surgery (n = 13) | Emergency Surgery (n = 13) | |
|---|---|---|
| Age (years), median (IQR) | 66 (62–72) | 72 (63–76) |
| Sex (male), n (%) | 7 (53.8) | 9 (69.2) |
| ASA class, n (%) | ||
| II | 1 (7.7) | 0 (0) |
| III | 8 (61.5) | 0 (0) |
| IV | 4 (30.8) | 0 (0) |
| IVE | 0 (0) | 13 (100) |
| Type of surgery, n (%) | ||
| Gastrointestinal | 9 (69.2) | 9 (69.2) |
| Hepatobiliary | 0 (0) | 2 (15.4) |
| Urological | 2 (15.4) | 1 (7.7) |
| Vascular | 2 (15.4) | 0 (0) |
| Gastrointestinal/Vascular | 0 (0) | 1 (7.7) |
| Comorbidities | ||
| Arterial hypertension, n (%) | 6 (46.2) | 10 (77) |
| Hypercholesterolemia, n (%) | 5 (38.5) | 8 (61.5) |
| Diabetes, n (%) | 2 (15.4) | 6 (46.2) |
| Stroke, n (%) | 1 (7.7) | 3 (23.1) |
| COPD, n (%) | 1 (7.7) | 4 (30.8) |
| Ischemic heart disease, n (%) | 0 (0) | 5 (38.5) |
| Medication | ||
| Beta blocker, n (%) | 4 (30.8) | 8 (61.5) |
| Diuretic, n (%) | 3 (23.1) | 4 (30.8) |
| Antithrombotic, n (%) | 0 (0) | 10 (77) |
| ACE inhibitor, n (%) | 0 (0) | 8 (61.5) |
| Other, (%) | 7 (53.8) | 0 (0) |
| Variable | Elective Surgery | Emergency Surgery |
|---|---|---|
| Cardiac output (L min−1) | 4.61 (1) | 5.31 (0.98) |
| Cardiac index (L min−1 m−2) | 2.32 (0.53) | 2.7 (0.52) |
| Stroke volume variation (%) | 9.38 (2.98) | 9.49 (3.73) |
| Systolic arterial pressure (mmHg) | 116.4 (10.66) | 111.69 (15.71) |
| Diastolic arterial pressure (mmHg) | 64.06 (6.22) | 64.66 (13.88) |
| Mean arterial pressure (mmHg) | 81.51 (6.67) | 80.26 (14) |
| Systemic vascular resistance (dynes s cm−5) | 1295 (294) | 995 (188) |
| Central venous pressure (mmHg) | 9.52 (1.78) | 9.55 (3.35) |
| Mean circulatory filling pressure analogue (mmHg) | 16.1 (2.18) | 15.1 (4.99) |
| Pressure gradient for venous return (mmHg) | 6.57 (1) | 6 (2.39) |
| Resistance to venous return (mmHg min−1 L−1) | 1.45 (0.21) | 1.19 (0.36) |
| Efficiency of the heart | 0.41 (0.05) | 0.44 (0.11) |
| De Backer score (mm−1) | 5.2 (3.03) | 4.59 (1.33) |
| Consensus PPV (%) | 77.63 (10.8) | 63.06 (9.64) |
| Consensus PPV (small) (%) | 74.94 (11.28) | 53.11 (10.67) |
| Variable | Rho | Adjusted p Value |
|---|---|---|
| Cardiac output (L min−1) | 0.01 (−0.168–0.188) | 0.912 |
| Cardiac index (L min−1 m−2) | 0.075 (−0.105–0.249) | 0.414 |
| Stroke volume variation (%) | 0.185 (0.007–0.351) | 0.041 |
| Systolic arterial pressure (mmHg) | −0.154 (−0.322–0.025) | 0.091 |
| Diastolic arterial pressure (mmHg) | 0.044 (−0.135–0.22) | 0.631 |
| Mean arterial pressure (mmHg) | −0.049 (−0.225–0.13) | 0.592 |
| Systemic vascular resistance (dynes s cm−5) | 0.0147 (−0.0431–0.0238) | 0.872 |
| Central venous pressure (mmHg) | −0.247 (−0.407–−0.072) | 0.006 |
| Mean circulatory filling pressure analogue (mmHg) | −0.153 (−0.322–0.025) | 0.091 |
| Pressure gradient for venous return (mmHg) | 0.069 (−0.11–0.244) | 0.448 |
| Resistance to venous return (mmHg min−1 L−1) | 0.052 (−0.127–0.227) | 0.573 |
| Efficiency of the heart (mmHg) | 0.268 (0.095–0.426) | 0.002 |
| De Backer score (mm−1) | 0.076 (−0.103–0.251) | 0.403 |
| Consensus PPV (%) | −0.098 (−0.271–0.081) | 0.281 |
| Consensus PPV (small) (%) | −0.047 (−0.223–0.132) | 0.606 |
| End-tidal carbon dioxide (mmHg) | −0.285 (−0.44–−0.113) | 0.001 |
| Peripheral capillary oxygen saturation (%) | 0.163 (−0.015–0.331) | 0.072 |
| Arterial oxygen saturation (%) | 0.034 (−0.145–0.21) | 0.713 |
| Central venous oxygen saturation (%) | −0.092 (−0.265–0.087) | 0.313 |
| Arterial partial pressure of oxygen (mmHg) | 0.013 (−0.165–0.191) | 0.883 |
| Arterial partial pressure of carbon dioxide (mmHg) | −0.492 (−0.616–−0.344) | <0.001 |
| Bicarbonate | −0.778 (−0.84–−0.697) | <0.001 |
| Base deficit (mmol L−1) | −0.939 (−0.957–−0.913) | <0.001 |
| Oxygen extraction ratio (%) | 0.103 (−0.077–0.275) | 0.26 |
| Venous-to-arterial carbon dioxide difference (mmHg) | 0.437 (0.281–0.57) | <0.001 |
| Variable | Rho | Adjusted p Value |
|---|---|---|
| Cardiac output (L min−1) | −0.235 (−0.45–0.005) | 0.055 |
| Cardiac index (L min−1 m−2) | −0.352 (−0.546–−0.123) | 0.003 |
| Stroke volume variation (%) | −0.056 (−0.292–0.187) | 0.561 |
| Systolic arterial pressure (mmHg) | 0.159 (−0.084–0.385) | 0.198 |
| Diastolic arterial pressure (mmHg) | 0.338 (0.106–0.534) | 0.005 |
| Mean arterial pressure (mmHg) | 0.278 (0.041–0.486) | 0.023 |
| Systemic vascular resistance (dynes s cm−5) | 0.296 (0.06–0.501) | 0.015 |
| Central venous pressure (mmHg) | −0.049 (−0.286–0.194) | 0.694 |
| Mean circulatory filling pressure analogue (mmHg) | −0.113 (−0.344–0.131) | 0.362 |
| Pressure gradient for venous return (mmHg) | −0.036 (−0.274–0.206) | 0.771 |
| Resistance to venous return (mmHg min−1 L−1) | 0.22 (−0.021–0.437) | 0.074 |
| Efficiency of the heart (mmHg) | 0.010 (−0.042–0.019) | 0.94 |
| De Backer score (mm−1) | −0.16 (−0.385–0.084) | 0.196 |
| Consensus PPV (%) | −0.438 (−0.613–−0.221) | <0.001 |
| Consensus PPV (small) (%) | −0.434 (−0.61–−0.216) | <0.001 |
| End-tidal carbon dioxide (mmHg) | −0.28 (−0.487–−0.043) | 0.022 |
| Peripheral capillary oxygen saturation (%) | −0.087 (−0.32–0.156) | 0.484 |
| Arterial oxygen saturation (%) | 0.253 (0.014–0.465) | 0.039 |
| Central venous oxygen saturation (%) | −0.127 (−0.356–0.117) | 0.306 |
| Arterial partial pressure of oxygen (mmHg) | 0.224 (−0.018–0.44) | 0.069 |
| Arterial partial pressure of carbon dioxide (mmHg) | −0.243 (−0.457–−0.003) | 0.047 |
| Bicarbonate | −0.639 (−0.762–−0.471) | <0.001 |
| Base deficit (mmol L−1) | −0.9 (−0.938–−0.842) | <0.001 |
| Oxygen extraction ratio (%) | 0.142 (−0.102–0.369) | 0.253 |
| Venous-to-arterial carbon dioxide difference (mmHg) | 0.215 (−0.027–0.433) | 0.081 |
| Elective Surgery (n = 13) | Emergency Surgery (n = 13) | |
|---|---|---|
| Respiratory failure, n (%) | 1 (7.7) | 2 (15.4) |
| Hemorrhage, n (%) | 1 (7.7) | 1 (7.7) |
| Acute kidney injury, n (%) | 0 (0) | 1 (7.7) |
| Pneumonia, n (%) | 0 (0) | 1 (7.7) |
| Acute coronary syndrome, n (%) | 0 (0) | 1 (7.7) |
| Re-operation, n (%) | 1 (7.7) | 2 (15.4) |
Disclaimer/Publisher’s Note: The statements, opinions and data contained in all publications are solely those of the individual author(s) and contributor(s) and not of MDPI and/or the editor(s). MDPI and/or the editor(s) disclaim responsibility for any injury to people or property resulting from any ideas, methods, instructions or products referred to in the content. |
© 2024 by the authors. Licensee MDPI, Basel, Switzerland. This article is an open access article distributed under the terms and conditions of the Creative Commons Attribution (CC BY) license (https://creativecommons.org/licenses/by/4.0/).
Share and Cite
Papagiannakis, N.; Ragias, D.; Ntalarizou, N.; Laou, E.; Kyriakaki, A.; Mavridis, T.; Vahedian-Azimi, A.; Sakellakis, M.; Chalkias, A. Transitions from Aerobic to Anaerobic Metabolism and Oxygen Debt during Elective Major and Emergency Non-Cardiac Surgery. Biomedicines 2024, 12, 1754. https://doi.org/10.3390/biomedicines12081754
Papagiannakis N, Ragias D, Ntalarizou N, Laou E, Kyriakaki A, Mavridis T, Vahedian-Azimi A, Sakellakis M, Chalkias A. Transitions from Aerobic to Anaerobic Metabolism and Oxygen Debt during Elective Major and Emergency Non-Cardiac Surgery. Biomedicines. 2024; 12(8):1754. https://doi.org/10.3390/biomedicines12081754
Chicago/Turabian StylePapagiannakis, Nikolaos, Dimitrios Ragias, Nicoleta Ntalarizou, Eleni Laou, Aikaterini Kyriakaki, Theodoros Mavridis, Amir Vahedian-Azimi, Minas Sakellakis, and Athanasios Chalkias. 2024. "Transitions from Aerobic to Anaerobic Metabolism and Oxygen Debt during Elective Major and Emergency Non-Cardiac Surgery" Biomedicines 12, no. 8: 1754. https://doi.org/10.3390/biomedicines12081754
APA StylePapagiannakis, N., Ragias, D., Ntalarizou, N., Laou, E., Kyriakaki, A., Mavridis, T., Vahedian-Azimi, A., Sakellakis, M., & Chalkias, A. (2024). Transitions from Aerobic to Anaerobic Metabolism and Oxygen Debt during Elective Major and Emergency Non-Cardiac Surgery. Biomedicines, 12(8), 1754. https://doi.org/10.3390/biomedicines12081754

