Salivary Profile Analysis Based on Oral Cancer Risk Habits: An Observational Cross-Sectional Study
Abstract
1. Introduction
2. Materials and Methods
2.1. Collection of Unstimulated Salivary Samples
2.2. Assessment of the Color, Turbidity, Viscosity, and pH of Saliva
2.3. Examination of IL-1β and IL-8 Levels Using an Enzyme-Linked Immunosorbent Assay (ELISA)
2.4. Data Analysis
3. Results
3.1. Subject Characteristics
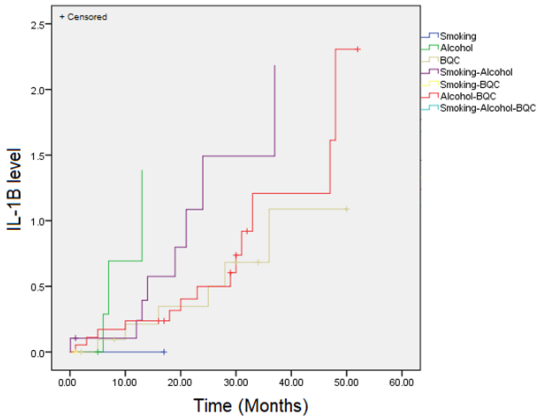
3.2. pH, Salivary Flow Rates, and Interleukin Level between Risk Factor Groups
3.3. Correlation between Duration of Risk Factor Habit and Salivary Viscosity
3.4. Comparison of Duration of Risk Factor Habit and Salivary Flow Rate
4. Discussion
5. Conclusions
Author Contributions
Funding
Institutional Review Board Statement
Informed Consent Statement
Data Availability Statement
Conflicts of Interest
References
- WHO IARC. Monographs Programme Finds Betel-Quid and Areca-Nut Chewing Carcinogenic to Humans. 2003. Available online: https://www.who.int/news/item/07-08-2003-iarc-monographs-programme-finds-betel-quid-and-areca-nut-chewing-carcinogenic-to-humans (accessed on 5 February 2023).
- Petrušić, N.; Posavac, M.; Sabol, I.; Mravak-Stipetić, M. The Effect of Tobacco Smoking on Salivation. Acta Stomatol. Croat. 2015, 49, 309–315. [Google Scholar] [CrossRef] [PubMed]
- Davoudi-Kiakalayeh, A.; Mohammadi, R.; Pourfathollah, A.A.; Siery, Z.; Davoudi-Kiakalayeh, S. Alloimmunization in Tha-lassemia Patients: New Insight for Healthcare. Int. J. Prev. Med. 2020, 11, 182–187. [Google Scholar] [CrossRef]
- IARC. Betel-Quid and Areca-Nut Chewing and Some Areca-Nut Derived Nitrosamines. IARC Monogr. Eval. Carcinog. Risks Hum. 2004, 85, 1–334. [Google Scholar]
- Amtha, R.; Gunardi, I.; Hartanto, F.K. Unique Risk Habit and Dysplasia Status of OPML in Indonesia Selected Area. In Proceedings of the South East Asian Division Meeting; International Association for Dental Research, Bali, Indonesia, 14–15 August; 2015. [Google Scholar]
- IARC. Tobacco Smoke and Involuntary Smoking. IARC Monogr. Eval. Carcinog. Risks Hum. 2004, 83, 1–1438. [Google Scholar]
- Dodds, M.; Roland, S.; Edgar, M.; Thornhill, M. Saliva A review of its role in maintaining oral health and preventing dental disease. BDJ Team 2015, 2, 15123. [Google Scholar] [CrossRef]
- Ramya, A.S.; Uppala, D.; Majumdar, S.; Surekha, C.; Deepak, K.G.K. Are Salivary Amylase and pH—Prognostic Indicators of Cancers? J. Oral Biol. Craniofacial Res. 2015, 5, 81–85. [Google Scholar] [CrossRef] [PubMed]
- Kantak, Y.; Kadashetti, V.; Shivakumar, K.M.; Baad, R.; Vibhute, N.; Belgaumi, U.; Bommanavar, S.; Kamate, W.; Pawaskar, A.; Malgundkar, N. Consequences of Habitual Arecanut Chewing on Unstimulated Whole Mouth Salivary Flow Rate and PH. Int. J. Curr. Res. 2017, 9, 51237–51240. [Google Scholar]
- Vila, T.; Rizk, A.M.; Sultan, A.S.; Jabra-Rizk, M.A. The power of saliva: Antimicrobial and beyond. PLoS Pathog. 2019, 15, e1008058. [Google Scholar] [CrossRef] [PubMed]
- Pallante, L.; Malavolta, M.; Grasso, G.; Korfiati, A.; Mavroudi, S.; Mavkov, B.; Kalogeras, A.; Alexakos, C.; Martos, V.; Amoroso, D.; et al. On the human taste perception: Molecular-level understanding empowered by computational methods. Trends Food Sci. Technol. 2021, 116, 445–459. [Google Scholar] [CrossRef]
- Weston, A.; Vladescu, S.C.; Reddyhoff, T.; Griffiths, A.; Crouzier, T.; Fielden, M.; Garnett, J.A.; Carpenter, G.H. The influence of ions on the lubricative abilities of mucin and the role of sialic acids. Colloids Surf B Biointerfaces 2023, 227, 113327. [Google Scholar] [CrossRef]
- Talha, B.; Swarnkar, S.A. Xerostomia. 2023. In StatPearls; StatPearls Publishing: Treasure Island, FL, USA, 2024. [Google Scholar] [PubMed]
- Bechir, F.; Pacurar, M.; Tohati, A.; Bataga, S.M. Comparative Study of Salivary pH, Buffer Capacity, and Flow in Patients with and without Gastroesophageal Reflux Disease. Int. J. Environ. Res. Public Health 2021, 19, 201. [Google Scholar] [CrossRef] [PubMed]
- Kumar, P.; Gupta, S.; Das, B.C. Saliva as a potential non-invasive liquid biopsy for early and easy diagnosis/prognosis of head and neck cancer. Transl. Oncol. 2024, 40, 101827. [Google Scholar] [CrossRef]
- Farag, A.F.; Sabry, D.; Hassabou, N.F.; El-Din, Y.A. MicroRNA-134/MicroRNA-200a Derived Salivary Exosomes Are Novel Diagnostic Biomarkers of Oral Squamous Cell Cracinoma. Egypt. Dent. J. 2021, 67, 367–377. [Google Scholar] [CrossRef]
- Idris, A.; Ghazali, N.B.; Koh, D. Interleukin 1β—A Potential Salivary Biomarker for Cancer Progression? Biomark. Cancer 2015, 7, 25–29. [Google Scholar] [CrossRef] [PubMed]
- O’Neill, C.M.; Lu, C.; Corbin, K.L.; Sharma, P.R.; Dula, S.B.; Carter, J.D.; Ramadan, J.W.; Xin, W.; Lee, J.K.; Nunemaker, C.S. Circulating levels of IL-1B+IL-6 cause ER stress and dysfunction in islets from prediabetic male mice. Endocrinology 2013, 154, 3077–3088. [Google Scholar] [CrossRef] [PubMed]
- Zhang, J.; Bai, C. Elevated Serum Interleukin-8 Level as a Preferable Biomarker for Identifying Uncontrolled Asthma and Glucocorticosteroid Responsiveness. Tanaffos 2017, 16, 260–269. [Google Scholar] [PubMed]
- Lopez-Labady, J.; Bologna-Molina, R.; Villarroel-Dorrego, M. Expression of Interleukin-1ß and Interleukin-8 in Oral Potentially Malignant Disorders and Carcinomas. Front. Oral Health 2021, 2, 649406. [Google Scholar] [CrossRef] [PubMed]
- Slomiany, B.L.; Piotrowski, J.; Slomiany, A. Chronic Alcohol Ingestion Enhances Tumor Necrosis Factor-α Expression and Salivary Gland Apoptosis. Alcohol. Clin. Exp. Res. 1997, 21, 1530–1533. [Google Scholar] [CrossRef] [PubMed]
- Nigar, S.; Hassan, S.; Maqsood, A.; Ahmed, N.; Al-Askar, M.; Mokeem, S.A.; Alqutub, M.N.; Aldahian, N.; Alsagob, E.I.; Almubarak, A.A.; et al. An Assessment Of Unstimulated Salivary Flow Rate, IgA, And Clinical Oral Dryness Among Active And Passive Smokers. Int. J. Occup. Med. Environ. Health 2022, 35, 39–51. [Google Scholar] [CrossRef]
- Lee, C.H.; Chang, J.S.M.; Syu, S.H.; Wong, T.S.; Chan, J.Y.W.; Tang, Y.C.; Yang, Z.P.; Yang, W.C.; Chen, C.T.; Lu, S.C.; et al. IL-1β Promotes Malignant Transformation and Tumor Aggressiveness in Oral Cancer. J. Cell. Physiol. 2015, 230, 875–884. [Google Scholar] [CrossRef] [PubMed]
- Reddy, M.; Naik, S.; Bagga, O.; Chuttani, H. Effect of Chronic Tobacco Betel Lime Quid Chewing on Human Salivary Scerections. Am. J. Clin. Nutr. 1980, 33, 77–80. [Google Scholar] [CrossRef] [PubMed]
- Anand, R.; Dhingra, C.; Prasad, S.; Menon, I. Betel Nut Chewing and Its Deleterious Effects on Oral Cavity. J. Cancer Res. Ther. 2014, 10, 499–505. [Google Scholar] [CrossRef] [PubMed]
- Horne, J.; Hayes, J.; Lawless, H.T. Turbidity as a Measure of Salivary Protein Reactions with Astringent Substances. Chem. Senses 2002, 27, 653–659. [Google Scholar] [CrossRef] [PubMed]
- Venkatesh, D.; Puranik, R.; Vanaki, S.; Puranik, S. Study of Salivary Arecoline in Areca Nut Chewers. J. Oral Maxillofac. Pathol. 2018, 22, 446. [Google Scholar] [CrossRef] [PubMed]
- Rooban, T.; Mishra, G.; Elizabeth, J.; Ranganathan, K.; Saraswathi, T.R. Effect of Habitual Arecanut Chewing on Resting Whole Mouth Salivary Flow Rate and PH. Indian J. Med. Sci. 2006, 60, 95–105. [Google Scholar] [CrossRef] [PubMed]
- Inenaga, K.; Ono, K.; Hitomi, S.; Kuroki, A.; Ujihara, I. Thirst Sensation and Oral Dryness Following Alcohol Intake. Jpn. Dent. Sci. Rev. 2017, 53, 78–85. [Google Scholar] [CrossRef]
- Atif, S.; Syed, S.A.; Sherazi, U.R.; Rana, S. Determining the Relationship among Stress, Xerostomia, Salivary Flow Rate, and the Quality of Life of Undergraduate Dental Students. J. Taibah Univ. Med. Sci. 2021, 16, 9–15. [Google Scholar] [CrossRef]
- Lin, C.F.; Der Wang, J.; Chen, P.H.; Chang, S.J.; Yang, Y.H.; Ko, Y.C. Predictors of Betel Quid Chewing Behavior and Cessation Patterns in Taiwan Aborigines. BMC Public. Health 2006, 6, 271. [Google Scholar] [CrossRef][Green Version]
- Rao, S.V.K.; Mejia, G.; Roberts-Thomson, K.; Logan, R. Epidemiology of Oral Cancer in Asia in the Past Decade—An Update (2000–2012). Asian Pacific J. Cancer Prev. 2013, 14, 5567–5577. [Google Scholar] [CrossRef]
- Sumali, R.; Sumithrarachchi, S.; Pemasiri, W.A.U.C.; Pathiranage, A.M.S.D.; Jayasooriya, P.R. Betel Quid, Smoking and Alcohol De-pendency among Patients with Oral Potentially Malignant Disorders and Oral Cancer in Sri Lanka; A Preliminary Case-Control Study. Asian Pacific J. Cancer Biol. 2021, 6, 207–212. [Google Scholar] [CrossRef]
- Amtha, R.; Gunardi, I.; Ching, C.S.; Zain, R.B. Oral Mucosal Lesion Detection Accuracy Post Lectures and Tests in Clinical Dental Students. J. Int. Dent. Med. Res. 2016, 11, 101–106. [Google Scholar]
- Orlan, E.; Duncan, K.; Amtha, R.; Parascandola, M. Characteristics of Current Betel Quid/Chewing Tobacco Users, Smokers and Dual Users in Indonesia: An Analysis of GATS 2011 Data. Subst. Use Misuse 2020, 55, 1509–1512. [Google Scholar] [CrossRef] [PubMed]
- Sari, E.F.; Zhang, P.; Mccullough, M.; Cirillo, N. 4th Meeting International Association of Dental Research—Asia Pacific Region. In Proceedings of the From Chairside to Bench: OSF Prevalence and betel Quid Assessment. Journal of Dental Research. 2020. Available online: https://iadr.abstractarchives.com/abstract/20iags-3369617/from-chairside-to-bench-osf-prevalence-and-betel-quid-assessment (accessed on 16 January 2023).
- Priyanka, K.; Sudhir, K.M.; Reddy, V.C.S.; Krishna Kumar, R.V.S.; Srinivasulu, G. Impact of Alcohol Dependency on Oral Health—A Cross-Sectional Comparative Study. J. Clin. Diagn. Res. 2017, 11, ZC43–ZC46. [Google Scholar] [CrossRef]
- Singh, M.; Yadav, P.; Ingle, N.; Ingle, E.; Kaur, N. Effect of Long-Term Smoking on Salivary Flow Rate and Salivary PH. J. Indian Assoc. Public Health Dent. 2015, 13, 11. [Google Scholar] [CrossRef]
- Prasetyaningtyas, N.; Jatiatmaja, N.A.; Radithia, D.; Hendarti, H.T.; Parmadiati, A.E.; Hadi, P.; Mahdani, F.Y.; Ernawati, D.S.; Zain, R.B.A.N. The Response of the Tongue Epithelial on Cigarette Smoke Exposure as a Risk Factor for Oral Cancer Development. Eur. J. Dent. 2021, 15, 320–324. [Google Scholar] [CrossRef] [PubMed]
- Van de Loo, A.J.A.E.; Mackus, M.; Kwon, O.; Krishnakumar, I.M.; Garssen, J.; Kraneveld, A.D.; Scholey, A.; Verster, J.C. The Inflammatory Response to Alcohol Consumption and Its Role in the Pathology of Alcohol Hangover. J. Clin. Med. 2020, 9, 2081. [Google Scholar] [CrossRef] [PubMed]
- Rosa, D.F.; Sarandy, M.M.; Novaes, R.D.; Da Matta, S.L.P.; Gonçalves, R.V. Effect of a High-Fat Diet and Alcohol on Cutaneous Repair: A Systematic Review of Murine Experimental Models. PLoS ONE 2017, 12, 2. [Google Scholar] [CrossRef] [PubMed]
- Mio, T.; Romberger, D.J.; Thompson, A.B.; Robbins, R.A.; Heires, A.; Rennard, S.I. Cigarette Smoke Induces Interleukin-8 Release from Human Bronchial Epithelial Cells. Am. J. Respir. Crit. Care Med. 1997, 155, 1770–1776. [Google Scholar] [CrossRef]
- Huang, Y.S.; Wu, J.C.; Chang, F.Y.; Lee, S.D. Interleukin-8 and Alcoholic Liver Disease. Chin. Med. J. 1999, 62, 395–401. [Google Scholar]
- Sahibzada, H.A.; Khurshid, Z.; Khan, R.S.; Naseem, M.; Siddique, K.M.; Mali, M.; Zafar, M.S. Salivary IL-8, IL-6 and TNF-α as Potential Diagnostic Biomarkers for Oral Cancer. Diagnostics 2017, 7, 21. [Google Scholar] [CrossRef]
- Vychaktami, K.K.; Amtha, R.; Gunardi, I.; Zain, R.B. The Effect of Herbal Medicine in Reducing the Severity of Oral Lichen Planus: A Systematic Review and Meta-Analysis. Dent. J. 2022, 55, 165–173. [Google Scholar] [CrossRef]
- Jasim, A.; Li, X.; Octavia, A.; Gunardi, I.; Crocombe, L.; Sari, E.F. The association between betel quid use and oral potentially malignant and malignant disorders in Southeast Asian and Pacific regions: A systematic review and meta-analysis with GRADE evidence profile. Front. Oral Health 2024, 5, 1397179. [Google Scholar] [CrossRef] [PubMed]




| Variable | Risk Factor | Non-Risk Factors | Total | p-Values | ||
|---|---|---|---|---|---|---|
| n | % | n | % | n | ||
| Gender | 0.008 ** | |||||
| Male | 14 | 93.33 | 1 | 6.67 | 15 | |
| Female | 35 | 56.45 | 27 | 43.55 | 62 | |
| Age (years) | 0.035 * | |||||
| <35.3 | 12 | 46.15 | 14 | 53.85 | 26 | |
| >35.3–42.7 | 16 | 64 | 9 | 36 | 25 | |
| >42.7 | 21 | 80.77 | 5 | 19.23 | 26 | |
| Salivary viscosity | 0.459 | |||||
| Dilute | 30 | 60 | 20 | 40 | 50 | |
| Thick | 19 | 70.37 | 8 | 29.63 | 27 | |
| Color | 0.476 | |||||
| Colorless | 29 | 60.42 | 19 | 39.58 | 48 | |
| Colored | 20 | 68.97 | 9 | 31.03 | 29 | |
| Turbidity | 1.000 | |||||
| Clear | 8 | 61.54 | 5 | 38.46 | 13 | |
| Cloudy | 41 | 64.06 | 23 | 35.94 | 64 | |
| Salivary flow rate (mL/10 min) | 0.235 | |||||
| <3.2 | 20 | 55.55 | 16 | 44.44 | 36 | |
| >3.2 | 29 | 70.73 | 12 | 29.27 | 41 | |
| Risk factor habit | ||||||
| Smoking (S) | 1 | 2.04 | - | - | 1 | |
| Alcohol drinking (A) | 5 | 10.2 | - | - | 5 | |
| BQ Chewing (BQ) | 12 | 24.48 | - | - | 12 | |
| S + A | 10 | 20.40 | - | - | 10 | |
| S + BQ | 1 | 2.04 | - | - | 1 | |
| A + BQ | 19 | 38.77 | - | - | 19 | |
| S + A + BQ | 1 | 2.04 | - | - | 1 | |
| BQ Chewing composition | ||||||
| Betel leaf, areca nut, lime | 16 | 100 | - | - | 16 | |
| Betel leaf, areca nut, lime, tobacco | 1 | 100 | - | - | 1 | |
| Betel fruit, areca nut, lime | 2 | 100 | - | - | 2 | |
| Betel fruit, betel leaf, areca nut, lime | 13 | 100 | - | - | 13 | |
| Betel fruit, betel leaf, areca nut, lime, gambier, tobacco | 1 | 100 | - | - | 1 | |
| Variable | Duration (Year) | |||||
|---|---|---|---|---|---|---|
| Smoking | Alcohol Drinking | Betel Quid Chewing | ||||
| Mean (SD) | p | Mean (SD) | p | Mean (SD) | p | |
| Salivary viscosity | 0.22 | 0.151 | 0.526 | |||
| Dilute | 22.94 (11.91) | 16.60 (12.92) | 17.42 (11.25) | |||
| Thick | 29.73 (18.28) | 24.84 (19.30) | 23.80 (22.26) | |||
| Duration habit | 20.08 (16.12) | 19.85 (15.98) | 25.79 (15.02) | |||
Disclaimer/Publisher’s Note: The statements, opinions and data contained in all publications are solely those of the individual author(s) and contributor(s) and not of MDPI and/or the editor(s). MDPI and/or the editor(s) disclaim responsibility for any injury to people or property resulting from any ideas, methods, instructions or products referred to in the content. |
© 2024 by the authors. Licensee MDPI, Basel, Switzerland. This article is an open access article distributed under the terms and conditions of the Creative Commons Attribution (CC BY) license (https://creativecommons.org/licenses/by/4.0/).
Share and Cite
Amtha, R.; Gunardi, I.; Widyarman, A.S.; Herwanto, T.; Hartanto, F.K.; Vincent-Chong, V.K. Salivary Profile Analysis Based on Oral Cancer Risk Habits: An Observational Cross-Sectional Study. Biomedicines 2024, 12, 1748. https://doi.org/10.3390/biomedicines12081748
Amtha R, Gunardi I, Widyarman AS, Herwanto T, Hartanto FK, Vincent-Chong VK. Salivary Profile Analysis Based on Oral Cancer Risk Habits: An Observational Cross-Sectional Study. Biomedicines. 2024; 12(8):1748. https://doi.org/10.3390/biomedicines12081748
Chicago/Turabian StyleAmtha, Rahmi, Indrayadi Gunardi, Armelia Sari Widyarman, Tiffany Herwanto, Firstine Kelsi Hartanto, and Vui King Vincent-Chong. 2024. "Salivary Profile Analysis Based on Oral Cancer Risk Habits: An Observational Cross-Sectional Study" Biomedicines 12, no. 8: 1748. https://doi.org/10.3390/biomedicines12081748
APA StyleAmtha, R., Gunardi, I., Widyarman, A. S., Herwanto, T., Hartanto, F. K., & Vincent-Chong, V. K. (2024). Salivary Profile Analysis Based on Oral Cancer Risk Habits: An Observational Cross-Sectional Study. Biomedicines, 12(8), 1748. https://doi.org/10.3390/biomedicines12081748

