Association between FT3 Levels and Exercise-Induced Cardiac Remodeling in Elite Athletes
Abstract
1. Introduction
2. Materials and Methods
- -
- (1) Power: weightlifting, Greco-Roman wrestling, judo, javelin, shot-putting, bobsleigh, skeleton, snowboard, swimming (under 800 m), alpine skiing, athletics (sprinting, shot putting, and discus), luge.
- -
- (2) Skill: archery, equestrian, golf, shooting, figure skating, sailing, curling, diving, equestrian sports.
- -
- (3) Endurance: cycling, rowing, canoeing, triathlon, long-distance running, long-distance swimming (over 800 m), cross-country skiing, pentathlon, biathlon, speed-skating, Nordic combined.
- -
- (4) Mixed: soccer, volleyball, basketball, tennis, fencing, water polo, rhythmic gymnastics, taekwondo, badminton, beach volley, softball.
Statistical Analysis
3. Results
4. Discussion
Limitations
5. Conclusions
Author Contributions
Funding
Institutional Review Board Statement
Informed Consent Statement
Data Availability Statement
Conflicts of Interest
References
- Klein, I.; Ojamaa, K. Thyroid hormone and the cardiovascular system. N. Engl. J. Med. 2001, 344, 501–509. [Google Scholar] [CrossRef] [PubMed]
- Kahaly, G.J.; Dillmann, W.H. Thyroid hormone action in the heart. Endocr. Rev. 2005, 26, 704–728. [Google Scholar] [CrossRef] [PubMed]
- Pingitore, A.; Mastorci, F.; Lazzeri, M.F.L.; Vassalle, C. Thyroid and Heart: A Fatal Pathophysiological Attraction in a Controversial Clinical Liaison. Endocrines 2023, 4, 722–741. [Google Scholar] [CrossRef]
- Klein, I.; Danzi, S. Thyroid disease and the heart. Circulation 2007, 116, 1725–1735. [Google Scholar] [CrossRef]
- Bogdan, C.; Ivan, V.M.; Apostol, A.; Sandu, O.E.; Maralescu, F.-M.; Lighezan, D.F. Hypothyroidism and Heart Rate Variability: Implications for Cardiac Autonomic Regulation. Diagnostics 2024, 14, 1261. [Google Scholar] [CrossRef]
- Danzi, S.; Klein, I. Thyroid hormone and the cardiovascular system. Med. Clin. N. Am. 2012, 96, 257–268. [Google Scholar] [CrossRef]
- Everts, M.E. Effects of thyroid hormones on contractility and cation transport in skeletal muscle. Acta Physiol. Scand 1996, 156, 325–333. [Google Scholar] [CrossRef]
- Polikar, R.; Burger, A.G.; Scherrer, U.; Nicod, P. The thyroid and the heart. Circulation 1993, 87, 1435–1441. [Google Scholar] [CrossRef]
- Kobori, H.; Ichihara, A.; Miyashita, Y.; Hayashi, M.; Saruta, T. Local renin-angiotensin system contributes to hyperthyroidism-induced cardiac hypertrophy. J. Endocrinol. 1999, 160, 43–47. [Google Scholar] [CrossRef]
- Hu, L.W.; Benvenuti, L.A.; Liberti, E.A.; Carneiro-Ramos, M.S.; Barreto-Chaves, M.L. Thyroxine-induced cardiac hypertrophy: Influence of adrenergic nervous system versus renin-angiotensin system on myocyte remodeling. Am. J. Physiol. Regul. Integr. Comp. Physiol. 2003, 285, R1473–R1480. [Google Scholar] [CrossRef] [PubMed]
- Jabbar, A.; Pingitore, A.; Pearce, S.H.; Zaman, A.; Iervasi, G.; Razvi, S. Thyroid hormones and cardiovascular disease. Nat. Rev. Cardiol. 2017, 14, 39–55. [Google Scholar] [CrossRef]
- Dillmann, W. Cardiac hypertrophy and thyroid hormone signaling. Heart Fail. Rev. 2010, 15, 125–132. [Google Scholar] [CrossRef]
- Dorr, M.; Wolff, B.; Robinson, D.M.; John, U.; Ludemann, J.; Meng, W.; Felix, S.B.; Völzke, H. The association of thyroid function with cardiac mass and left ventricular hypertrophy. J. Clin. Endocrinol. Metab. 2005, 90, 673–677. [Google Scholar] [CrossRef]
- Galli, E.; Pingitore, A.; Iervasi, G. The role of thyroid hormone in the pathophysiology of heart failure: Clinical evidence. Heart Fail. Rev. 2010, 15, 155–169. [Google Scholar] [CrossRef]
- Cokkinos, D.V.; Chryssanthopoulos, S. Thyroid hormones and cardiac remodeling. Heart Fail. Rev. 2016, 21, 365–372. [Google Scholar] [CrossRef] [PubMed]
- Neves, J.S.; Fontes-Carvalho, R.; Borges-Canha, M.; Leite, A.R.; Martins, S.; Oliveira, A.; Carvalho, D.; Leite-Moreira, A.; Azevedo, A. Thyroid Hormones within the Normal Range and Cardiac Function in the General Population: The EPIPorto Study. Eur. Thyroid. J. 2021, 10, 150–160. [Google Scholar] [CrossRef]
- Roef, G.L.; Taes, Y.E.; Kaufman, J.M.; Van Daele, C.M.; De Buyzere, M.L.; Gillebert, T.C.; Rietzschel, E.R. Thyroid hormone levels within reference range are associated with heart rate, cardiac structure, and function in middle-aged men and women. Thyroid 2013, 23, 947–954. [Google Scholar] [CrossRef]
- Iida, M.; Yamamoto, M.; Ishiguro, Y.; Yamazaki, M.; Honjo, H.; Kamiya, K. Thyroid hormone within the normal range is associated with left ventricular mass in patients with hypertension. J. Am. Soc. Hypertens 2012, 6, 261–269. [Google Scholar] [CrossRef] [PubMed]
- Tian, L.; Lu, C.; Teng, W. Association between Physical Activity and Thyroid Function in American Adults: A Survey from the NHANES Database. BMC Public Health 2024, 24, 1277. [Google Scholar] [CrossRef]
- Ciloglu, F.; Peker, I.; Pehlivan, A.; Karacabey, K.; Ilhan, N.; Saygin, O.; Ozmerdivenli, R. Exercise intensity and its effects on thyroid hormones. Neuro Endocrinol. Lett. 2005, 26, 830–834. Available online: https://www.ncbi.nlm.nih.gov/pubmed/16380698 (accessed on 12 April 2024).
- Erdoğan, R. Effects of Endurance Workouts on thyroid hormone metabolism and biochemical markers in athletes. Brain. Broad Res. Artif. Intell. Neurosci. 2020, 11, 136–146. [Google Scholar] [CrossRef]
- Rone, J.K.; Dons, R.F.; Reed, H.L. The effect of endurance training on serum triiodothyronine kinetics in man: Physical conditioning marked by enhanced thyroid hormone metabolism. Clin. Endocrinol. (Oxf) 1992, 37, 325–330. [Google Scholar] [CrossRef]
- Smallridge, R.C.; Whorton, N.E.; Burman, K.D.; Ferguson, E.W. Effects of exercise and physical fitness on the pituitary-thyroid axis and on prolactin secretion in male runners. Metabolism 1985, 34, 949–954. [Google Scholar] [CrossRef] [PubMed]
- Steinacker, J.M.; Brkic, M.; Simsch, C.; Nething, K.; Kresz, A.; Prokopchuk, O.; Liu, Y. Thyroid hormones, cytokines, physical training and metabolic control. Horm. Metab. Res. 2005, 37, 538–544. [Google Scholar] [CrossRef]
- Baylor, L.S.; Hackney, A.C. Resting thyroid and leptin hormone changes in women following intense, prolonged exercise training. Eur. J. Appl. Physiol. 2003, 88, 480–484. [Google Scholar] [CrossRef]
- Boyden, T.W.; Pamenter, R.W.; Stanforth, P.; Rotkis, T.; Wilmore, J.H. Evidence for mild thyroidal impairment in women undergoing endurance training. J. Clin. Endocrinol. Metab. 1982, 54, 53–56. [Google Scholar] [CrossRef] [PubMed]
- Maron, B.J.; Pelliccia, A. The heart of trained athletes: Cardiac remodeling and the risks of sports, including sudden death. Circulation 2006, 114, 1633–1644. [Google Scholar] [CrossRef]
- Pelliccia, A.; Culasso, F.; Di Paolo, F.M.; Maron, B.J. Physiologic left ventricular cavity dilatation in elite athletes. Ann. Intern. Med. 1999, 130, 23–31. [Google Scholar] [CrossRef]
- Martinez, M.W.; Kim, J.H.; Shah, A.B.; Phelan, D.; Emery, M.S.; Wasfy, M.M.; Fernandez, A.B.; Bunch, T.J.; Dean, P.; Danielian, A.; et al. Exercise-Induced Cardiovascular Adaptations and Approach to Exercise and Cardiovascular Disease: JACC State-of-the-Art Review. J. Am. Coll. Cardiol. 2021, 78, 1453–1470. [Google Scholar] [CrossRef]
- Weiner, R.B.; DeLuca, J.R.; Wang, F.; Lin, J.; Wasfy, M.M.; Berkstresser, B.; Stöhr, E.; Shave, R.; Lewis, G.D.; Hutter, A.M., Jr.; et al. Exercise-Induced Left Ventricular Remodeling Among Competitive Athletes: A Phasic Phenomenon. Circ. Cardiovasc. Imaging 2015, 8, e003651. [Google Scholar] [CrossRef]
- Baggish, A.L.; Wood, M.J. Athlete’s heart and cardiovascular care of the athlete: Scientific and clinical update. Circulation 2011, 123, 2723–2735. [Google Scholar] [CrossRef] [PubMed]
- Prior, D.L.; La Gerche, A. The athlete’s heart. Heart 2012, 98, 947–955. [Google Scholar] [CrossRef] [PubMed]
- Pelliccia, A.; Borrazzo, C.; Maestrini, V.; D’Ascenzi, F.; Caselli, S.; Lemme, E.; Squeo, M.R.; Di Giacinto, B. Determinants of LV mass in athletes: The impact of sport, constitutional traits and cardiovascular risk factors. Eur. J. Appl. Physiol. 2022, 123, 769–779. [Google Scholar] [CrossRef] [PubMed]
- Pluim, B.M.; Zwinderman, A.H.; van der Laarse, A.; van der Wall, E.E. The athlete’s heart. A meta-analysis of cardiac structure and function. Circulation 2000, 101, 336–344. [Google Scholar] [CrossRef] [PubMed]
- Di Gioia, G.; Crispino, S.P.; Monosilio, S.; Maestrini, V.; Nenna, A.; Segreti, A.; Squeo, M.R.; Lemme, E.; Ussia, G.P.; Grigioni, F.; et al. Cardiovascular and metabolic effects of hyperbilirubinemia in a cohort of Italian Olympic athletes. Scand J. Med. Sci. Sports 2023, 33, 2534–2547. [Google Scholar] [CrossRef] [PubMed]
- Authors/Task Force Members; Piepoli, M.F.; Hoes, A.W.; Agewall, S.; Albus, C.; Brotons, C.; Catapano, A.L.; Cooney, M.-T.; Corrà, U.; Cosyns, B.; et al. 2016 European Guidelines on cardiovascular disease prevention in clinical practice: The Sixth Joint Task Force of the European Society of Cardiology and Other Societies on Cardiovascular Disease Prevention in Clinical Practice (constituted by representatives of 10 societies and by invited experts): Developed with the special contribution of the European Association for Cardiovascular Prevention & Rehabilitation (EACPR). Eur. J. Prev. Cardiol. 2016, 23, NP1–NP96. [Google Scholar] [CrossRef]
- Visseren, F.L.J.; Mach, F.; Smulders, Y.M.; Carballo, D.; Koskinas, K.C.; Back, M.; Benetos, A.; Biffi, A.; Boavida, J.-M.; Capodanno, D.; et al. 2021 ESC Guidelines on cardiovascular disease prevention in clinical practice. Eur. Heart J. 2021, 42, 3227–3337. [Google Scholar] [CrossRef] [PubMed]
- Drezner, J.A.; Sharma, S.; Baggish, A.; Papadakis, M.; Wilson, M.G.; Prutkin, J.M.; La Gerche, A.; Ackerman, M.J.; Borjesson, M.; Salerno, J.C.; et al. International criteria for electrocardiographic interpretation in athletes: Consensus statement. Br. J. Sports Med. 2017, 51, 704–731. [Google Scholar] [CrossRef] [PubMed]
- Caselli, S.; Segui, A.V.; Quattrini, F.; Di Giacinto, B.; Milan, A.; Assorgi, R.; Verdile, L.; Spataro, A.; Pelliccia, A. Upper normal values of blood pressure response to exercise in Olympic athletes. Am. Heart J. 2016, 177, 120–128. [Google Scholar] [CrossRef]
- Mosteller, R.D. Simplified calculation of body-surface area. N. Engl. J. Med. 1987, 317, 1098. [Google Scholar] [CrossRef]
- Lang, R.M.; Badano, L.P.; Mor-Avi, V.; Afilalo, J.; Armstrong, A.; Ernande, L.; Flachskampf, F.A.; Foster, E.; Goldstein, S.A.; Kuznetsova, T.; et al. Recommendations for cardiac chamber quantification by echocardiography in adults: An update from the American Society of Echocardiography and the European Association of Cardiovascular Imaging. J. Am. Soc. Echocardiogr. 2015, 28, 233–271.e14. [Google Scholar] [CrossRef]
- Pelliccia, A.; Caselli, S.; Sharma, S.; Basso, C.; Bax, J.J.; Corrado, D.; D’Andrea, A.; D’Ascenzi, F.; Di Paolo, F.M.; Edvardsen, T.; et al. Internal reviewers for, and Eacvi, European Association of Preventive Cardiology (EAPC) and European Association of Cardiovascular Imaging (EACVI) joint position statement: Recommendations for the indication and interpretation of cardiovascular imaging in the evaluation of the athlete’s heart. Eur. Heart J. 2018, 39, 1949–1969. [Google Scholar] [CrossRef] [PubMed]
- Devereux, R.B. Detection of left ventricular hypertrophy by M-mode echocardiography. Anatomic validation, standardization, and comparison to other methods. Hypertension 1987, 9 Pt 2, II19–II26. [Google Scholar] [CrossRef] [PubMed]
- Maragiannis, D.; Nagueh, S.F. Echocardiographic evaluation of left ventricular diastolic function: An update. Curr. Cardiol. Rep. 2015, 17, 3. [Google Scholar] [CrossRef] [PubMed]
- Nagueh, S.F.; Smiseth, O.A.; Appleton, C.P.; Byrd, B.F., 3rd; Dokainish, H.; Edvardsen, T.; Flachskampf, F.A.; Gillebert, T.C.; Klein, A.L.; Lancellotti, P.; et al. Recommendations for the Evaluation of Left Ventricular Diastolic Function by Echocardiography: An Update from the American Society of Echocardiography and the European Association of Cardiovascular Imaging. J. Am. Soc. Echocardiogr. 2016, 29, 277–314. [Google Scholar] [CrossRef] [PubMed]
- Biondi, B.; Palmieri, E.A.; Lombardi, G.; Fazio, S. Effects of thyroid hormone on cardiac function: The relative importance of heart rate, loading conditions, and myocardial contractility in the regulation of cardiac performance in human hyperthyroidism. J. Clin. Endocrinol. Metab. 2002, 87, 968–974. [Google Scholar] [CrossRef] [PubMed]
- Klein, I.; Hong, C. Effects of thyroid hormone on cardiac size and myosin content of the heterotopically transplanted rat heart. J. Clin. Investig. 1986, 77, 1694–1698. [Google Scholar] [CrossRef]
- Pelliccia, A.; Maron, B.J.; Spataro, A.; Proschan, M.A.; Spirito, P. The upper limit of physiologic cardiac hypertrophy in highly trained elite athletes. N. Engl. J. Med. 1991, 324, 295–301. [Google Scholar] [CrossRef] [PubMed]
- Pelliccia, A.; Maron, M.S.; Maron, B.J. Assessment of left ventricular hypertrophy in a trained athlete: Differential diagnosis of physiologic athlete’s heart from pathologic hypertrophy. Prog. Cardiovasc. Dis. 2012, 54, 387–396. [Google Scholar] [CrossRef]
- Pakarinen, A.; Hakkinen, K.; Alen, M. Serum thyroid hormones, thyrotropin and thyroxine binding globulin in elite athletes during very intense strength training of one week. J. Sports Med. Phys. Fitness 1991, 31, 142–146. Available online: https://www.ncbi.nlm.nih.gov/pubmed/1753718 (accessed on 15 March 2024).
- Murawska-Ciałowicz, E.; Kaczmarek, A.; Kałwa, M.; Oniszczuk, A. Influence of Training and Single Exercise on Leptin Level and Metabolism in Obese Overweight and Normal-Weight Women of Different Age. Int. J. Environ. Res. Public Health 2022, 19, 12168. [Google Scholar] [CrossRef] [PubMed]
- Perseghin, G.; Lattuada, G.; Ragogna, F.; Alberti, G.; La Torre, A.; Luzi, L. Free leptin index and thyroid function in male highly trained athletes. Eur. J. Endocrinol. 2009, 161, 871–876. [Google Scholar] [CrossRef] [PubMed]
- Hackney, A.C.; Saeidi, A. The thyroid axis, prolactin, and exercise in humans. Curr. Opin. Endocr. Metab. Res. 2019, 9, 45–50. [Google Scholar] [CrossRef]
- Athanasiou, N.; Bogdanis, G.C.; Mastorakos, G. Endocrine Responses of the Stress System to Different Types of Exercise. Rev. Endocr. Metab. Disord. 2023, 24, 251–266. [Google Scholar] [CrossRef] [PubMed]




| Male | Female | p | ||
|---|---|---|---|---|
| n, (%) | 760 (56.6) | 582 (43.4) | ||
| Thyroid function | TSH, uUI/mL | 2.08 ± 0.8 | 2.03 ± 0.8 | 0.29 |
| fT3, pmol/L | 5.3 ± 0.6 | 4.7 ± 0.7 | <0.0001 | |
| fT4, pmol/L | 16.7 ± 2.3 | 15.4 ± 2.3 | <0.0001 | |
| General | Age, years | 25.9 ± 5.2 | 25.4 ± 4.9 | 0.048 |
| Black, n (%) | 32 (4.2) | 24 (4.1) | 0.99 | |
| Smokers, n (%) | 65 (8.5) | 44 (7.6) | 0.54 | |
| BSA | 2.02 ± 0.2 | 1.72 ± 0.2 | <0.0001 | |
| Weight, kg | 81.2 ± 13.7 | 63.7 ± 10.6 | <0.0001 | |
| BMI, kg/m2 | 24.2 ± 3 | 22 ± 2.7 | <0.0001 | |
| Fat mass, % | 11.8 ± 5.1 | 20.6 ± 5.3 | <0.0001 | |
| Echocardiogram | LVEDDi, mm | 27.3 ± 2.5 | 29 ± 3.9 | <0.0001 |
| LVESDi, mm | 16.9 ± 2.1 | 17.7 ± 2.8 | <0.0001 | |
| LVEDVi, mL | 75.7 ± 17.6 | 63.2 ± 14.9 | <0.0001 | |
| LVESVi, mL | 27.4 ± 7.6 | 22.3 ± 6.4 | <0.0001 | |
| IVS, mm | 10.1 ± 1 | 8.9 ± 0.9 | <0.0001 | |
| PW, mm | 9.8 ± 1 | 8.5 ± 0.4 | <0.0001 | |
| EF, % | 63.8 ± 5 | 64.7 ± 5 | 0.0005 | |
| LVMi, gr | 105.2 ± 20.1 | 87.8 ± 18 | <0.0001 | |
| RWT | 0.36 ± 0.03 | 0.34 ± 0.03 | <0.0001 | |
| LA, mm | 37.1 ± 4.4 | 33.3 ± 3.6 | <0.0001 | |
| LAVi, mL | 22.5 ± 7.1 | 19.7 ± 5.8 | <0.0001 | |
| AR, mm | 32.3 ± 3.2 | 28 ± 2.8 | <0.0001 | |
| AA, mm | 28 ± 3.1 | 25.4 ± 2.9 | <0.0001 | |
| PASP, mmHg | 23.1 ± 4.3 | 22.2 ± 4 | 0.0003 | |
| E wave, cm/s | 82.1 ± 15.3 | 88.2 ± 15.4 | <0.0001 | |
| A wave, cm/s | 45.7 ± 10 | 47.3 ± 11.6 | 0.006 | |
| LV E’, m/s | 12.4 ± 2.2 | 12.5 ± 2.2 | 0.41 | |
| LV A’, m/s | 6.8 ± 1.6 | 6.1 ± 1.3 | <0.0001 | |
| LV S’, m/s | 8.3 ± 1.4 | 7.8 ± 1.3 | <0.0001 | |
| TAPSE, mm | 27.2 ± 4.6 | 25.9 ± 3.9 | <0.0001 | |
| E/A | 1.87 ± 0.5 | 1.96 ± 0.5 | 0.004 | |
| E/E’ | 6.75 ± 1.4 | 7.21 ± 1.6 | <0.0001 | |
| RAi, mm2 | 9.9 ± 2.2 | 8.8 ± 2.1 | 0.0004 | |
| Stress-test | Rest HR, bpm | 68.3 ± 13.5 | 69.5 ± 13.7 | 0.15 |
| Peak HR, bpm | 164.1 ± 11.1 | 166.3 ± 10 | 0.0002 | |
| MTHR, % | 85 ± 5.4 | 85.7 ± 4.9 | 0.009 | |
| Rest SBP, mmHg | 114.5 ± 10.6 | 104.7 ± 10.4 | <0.0001 | |
| Rest DBP, mmHg | 71.3 ± 8 | 65.7 ± 7.1 | <0.0001 | |
| Peak SBP, mmHg | 185.2 ± 18.5 | 165.5 ± 15.7 | <0.0001 | |
| Peak DBP, mmHg | 75.3 ± 8.6 | 71 ± 8.6 | <0.0001 | |
| Watt | 279.4 ± 60.7 | 201.6 ± 41.6 | <0.0001 |
| Power | Skill | Endurance | Mixed | P Pooled | P Pairwise | ||
|---|---|---|---|---|---|---|---|
| MALE | n, (%) | 222 (29.2) | 98 (12.9) | 167 (22) | 273 (35.9) | ||
| Age, years | 25.6 ± 4.7 | 27.9 ± 6.1 | 26.6 ± 4.3 | 25.1 ± 5.5 | <0.0001 | P vs. S, p = 0.0003; P vs. E, p = 0.052; S vs. E, p = 0.035; S vs. M, p < 0.0001; E vs. M, p = 0.004; P vs. M, p = 0.257. | |
| TSH, uUI/mL | 2.06 ± 0.8 | 1.98 ± 0.8 | 1.96 ± 0.8 | 2.20 ± 0.7 | 0.007 | E vs. M, p = 0.001; P vs. M, p = 0.049; S vs. M, p = 0.019; P vs. S, p = 0.437; P vs. E, p = 0.192; S vs. E, p = 0.781 | |
| fT3, pmol/L | 5.3 ± 0.6 | 5.3 ± 0.7 | 5.1 ± 0.7 | 5.3 ± 0.7 | 0.001 | E vs. M, p = 0.0004; P vs. E, p = 0.001; S vs. E, p = 0.010; P vs. S, p = 0.843; P vs. M, p = 0.649; S vs. M, p = 0.888 | |
| fT4, pmol/L | 17 ± 2.5 | 16.9 ± 2.2 | 15.8 ± 2.3 | 17.1 ± 2.1 | <0.0001 | E vs. M, p < 0.0001; P vs. E, p < 0.0001; S vs. E, p = 0.0006; P vs. S, p = 0.748; P vs. M, p = 0.538; S vs. M, p = 0.386 | |
| FEMALE | n, (%) | 178 (30.6) | 73 (12.5) | 109 (18.7) | 222 (38.1) | ||
| Age, years | 24.7 ± 4.6 | 26.9 ± 6 | 26.4 ± 4.2 | 25 ± 4.6 | 0.0007 | P vs. S, p = 0.002; P vs. E, p = 0.001; S vs. M, p = 0.048; E vs. M, p = 0.007; P vs. M, p = 0.573; S vs. E, p = 0.597 | |
| TSH, uUI/mL | 1.96 ± 0.8 | 2.01 ± 0.8 | 1.89 ± 0.7 | 2.16 ± 0.8 | 0.016 | E vs. M, p = 0.004; P vs. M, p = 0.019; P vs. S, p = 0.672; P vs. E, p = 0.422; S vs. E, p = 0.278; S vs. M, p = 0.184 | |
| fT3, pmol/L | 4.8 ± 0.7 | 4.8 ± 0.6 | 4.6 ± 0.7 | 4.8 ± 0.7 | 0.350 | P vs. S, p = 0.745; P vs. E, p = 0.100; P vs. M, p = 0.760; S vs. E, p = 0.287; S vs. M, p = 0.916; E vs. M, p = 0.140 | |
| fT4, pmol/L | 15.8 ± 2.6 | 15.4 ± 1.9 | 15.1 ± 2.1 | 15.1 ± 2.1 | 0.022 | P vs. E, p = 0.015; P vs. M, p = 0.010; P vs. S, p = 0.190; S vs. E, p = 0.407; S vs. M, p = 0.509; E vs. M, p = 0.807 |
| Q1 | Q2 | Q3 | Q4 | |
|---|---|---|---|---|
| Power | 3.12–4.68 (n = 89) | 4.69–5.03 (n = 84) | 5.04–5.50 (n = 88) | 5.51–6.78 (n = 89) |
| Skill | 3.23–4.59 (n = 36) | 4.60–5.03 (n = 36) | 5.04–5.53 (n = 34) | 5.54–6.8 (n = 37) |
| Endurance | 3.18–4.48 (n = 65) | 4.49–4.94 (n = 66) | 4.95–5.38 (n = 65) | 5.39–6.8 (n = 64) |
| Mixed | 3.11–4.64 (n = 98) | 4.65–5.08 (n = 95) | 5.09–5.52 (n = 96) | 5.53–6.74 (n = 96) |
| Q1 | Q2 | Q3 | Q4 | P Pooled | P Pairwise | |
|---|---|---|---|---|---|---|
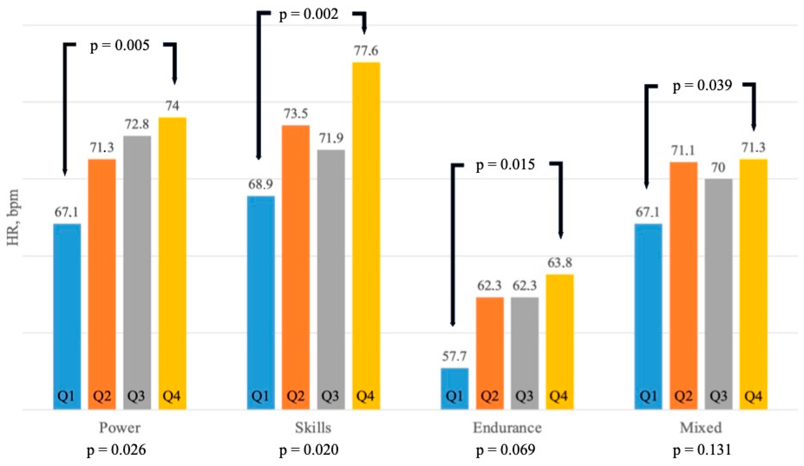
| Heart Rate, bpm | ||||||
| Power | 67.1 ± 11.3 | 71.3 ± 12.3 | 72.8 ± 14.5 | 74 ± 13.5 | 0.026 | Q1 vs. Q4, p = 0.005 |
| Skills | 68.9 ± 10.5 | 73.5 ± 11.7 | 71.9 ± 11.6 | 77.6 ± 11.8 | 0.020 | Q1 vs. Q4, p = 0.002 |
| Endurance | 57.7 ± 11.5 | 62.3 ± 13.1 | 62.3 ± 12.2 | 63.8 ± 13.9 | 0.069 | Q1 vs. Q4, p = 0.015 |
| Mixed | 67.1 ± 13.8 | 71.1 ± 12.4 | 70 ± 13 | 71.3 ± 13 | 0.131 | Q1 vs. Q4, p = 0.039 |
| LV wall thickness (IVS), mm | ||||||
| Power | 8.94 ± 1 | 9.5 ± 1.2 | 9.7 ± 1 | 10.1 ± 1.2 | <0.0001 | Q1 vs. Q4, p < 0.0001 |
| Skills | 8.77 ± 1 | 9.13 ± 1.1 | 9.26 ± 0.9 | 9.4 ± 1.1 | 0.108 | Q1 vs. Q4, p = 0.019 |
| Endurance | 9.8 ± 1.2 | 10.1 ± 1.1 | 10.1 ± 1.1 | 10.3 ± 0.9 | 0.109 | Q1 vs. Q4, p = 0.013 |
| Mixed | 9.2 ± 1 | 9.8 ± 0.9 | 9.7 ± 1 | 9.9 ± 1.1 | 0.0002 | Q1 vs. Q4, p = 0.0001 |
Disclaimer/Publisher’s Note: The statements, opinions and data contained in all publications are solely those of the individual author(s) and contributor(s) and not of MDPI and/or the editor(s). MDPI and/or the editor(s) disclaim responsibility for any injury to people or property resulting from any ideas, methods, instructions or products referred to in the content. |
© 2024 by the authors. Licensee MDPI, Basel, Switzerland. This article is an open access article distributed under the terms and conditions of the Creative Commons Attribution (CC BY) license (https://creativecommons.org/licenses/by/4.0/).
Share and Cite
Di Gioia, G.; Squeo, M.R.; Lemme, E.; Maestrini, V.; Monosilio, S.; Ferrera, A.; Buzzelli, L.; Valente, D.; Pelliccia, A. Association between FT3 Levels and Exercise-Induced Cardiac Remodeling in Elite Athletes. Biomedicines 2024, 12, 1530. https://doi.org/10.3390/biomedicines12071530
Di Gioia G, Squeo MR, Lemme E, Maestrini V, Monosilio S, Ferrera A, Buzzelli L, Valente D, Pelliccia A. Association between FT3 Levels and Exercise-Induced Cardiac Remodeling in Elite Athletes. Biomedicines. 2024; 12(7):1530. https://doi.org/10.3390/biomedicines12071530
Chicago/Turabian StyleDi Gioia, Giuseppe, Maria Rosaria Squeo, Erika Lemme, Viviana Maestrini, Sara Monosilio, Armando Ferrera, Lorenzo Buzzelli, Daniele Valente, and Antonio Pelliccia. 2024. "Association between FT3 Levels and Exercise-Induced Cardiac Remodeling in Elite Athletes" Biomedicines 12, no. 7: 1530. https://doi.org/10.3390/biomedicines12071530
APA StyleDi Gioia, G., Squeo, M. R., Lemme, E., Maestrini, V., Monosilio, S., Ferrera, A., Buzzelli, L., Valente, D., & Pelliccia, A. (2024). Association between FT3 Levels and Exercise-Induced Cardiac Remodeling in Elite Athletes. Biomedicines, 12(7), 1530. https://doi.org/10.3390/biomedicines12071530

