Ischemia-Modified Albumin, Lactate, and Combination for Predicting Mortality in Patients with Septic Shock in the Emergency Department
Abstract
1. Introduction
2. Materials and Methods
2.1. Study Design and Setting
2.2. Study Population
2.3. Definitions and Data Collection
2.4. Measurements
2.5. Outcome
2.6. Sample Size Calculations
2.7. Statistical Analysis
3. Results
3.1. Baseline Characteristics
3.2. Correlation Test
3.3. Multivariable Cox Proportional Hazards Model
β1 for Infection focus: 0.789 (gastrointestinal infection), 0.330 (biliary infection), 0.507 (genitourinary infection), and 0.721 (others)
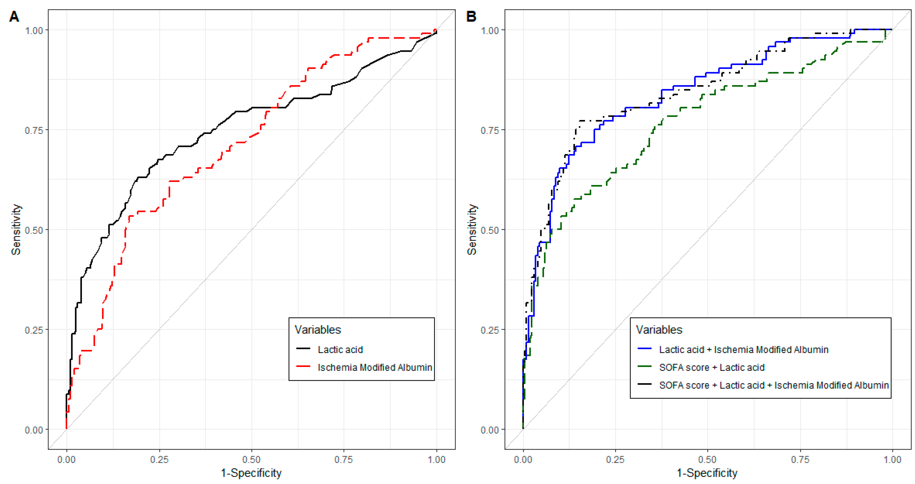
3.4. Receiver Operating Characteristic Curve
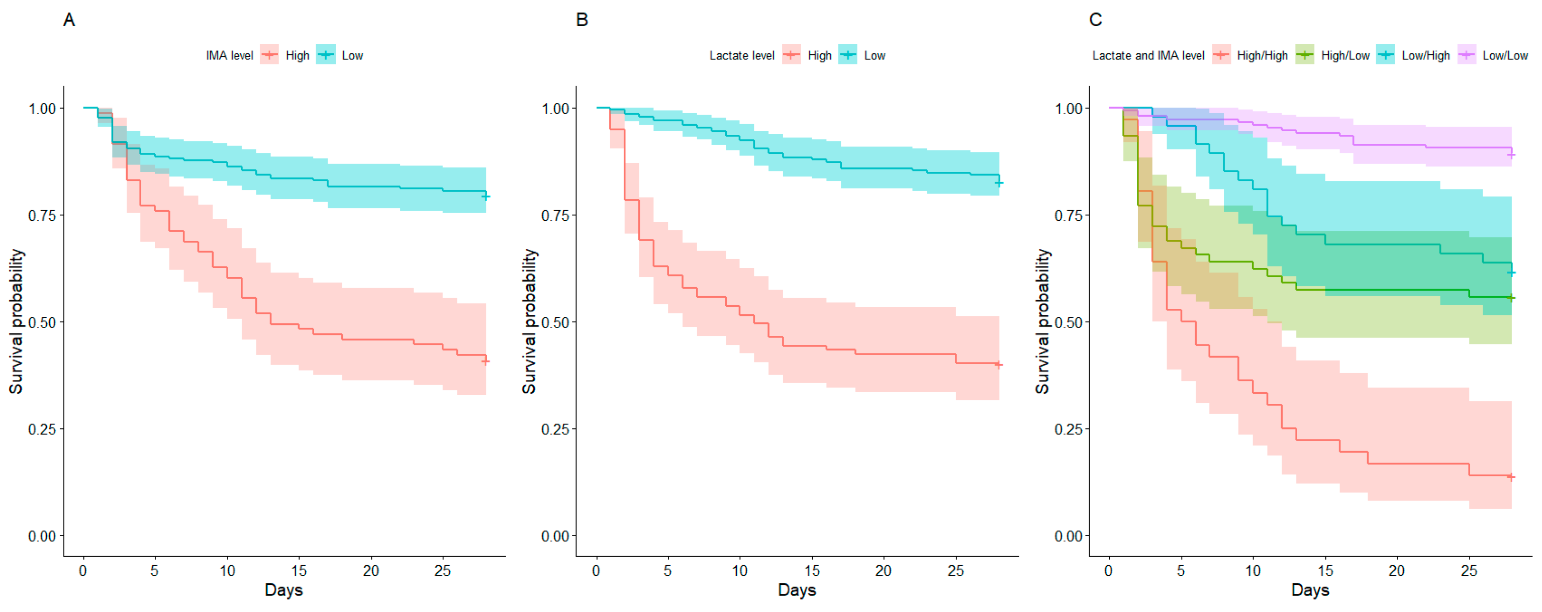
3.5. Analysis According to Group Categorized by Optimal Cutoffs of Lactate and Ischemia-Modified Albumin
3.6. Subgroup Analysis
3.7. Sensitivity Analysis
4. Discussion
5. Conclusions
Supplementary Materials
Author Contributions
Funding
Institutional Review Board Statement
Informed Consent Statement
Data Availability Statement
Conflicts of Interest
References
- Singer, M.; Deutschman, C.S.; Seymour, C.W.; Shankar-Hari, M.; Annane, D.; Bauer, M.; Bellomo, R.; Bernard, G.R.; Chiche, J.-D.; Coopersmith, C.M.; et al. The third international consensus definitions for sepsis and septic shock (Sepsis-3). JAMA 2016, 315, 801–810. [Google Scholar] [CrossRef] [PubMed]
- Reinhart, K.; Daniels, R.; Kissoon, N.; Machado, F.R.; Schachter, R.D.; Finfer, S. Recognizing sepsis as a global health priority—A WHO resolution. N. Engl. J. Med. 2017, 377, 414–417. [Google Scholar] [CrossRef] [PubMed]
- Evans, L.; Rhodes, A.; Alhazzani, W.; Antonelli, M.; Coopersmith, C.M.; French, C.; Machado, F.R.; Mcintyre, L.; Ostermann, M.; Prescott, H.C.; et al. Executive summary: Surviving sepsis campaign: International guidelines for the management of sepsis and septic shock 2021. Crit. Care Med. 2021, 49, 1974–1982. [Google Scholar] [CrossRef] [PubMed]
- Namgung, M.; Ahn, C.; Park, Y.; Kwak, I.-Y.; Lee, J.; Won, M. Mortality among adult patients with sepsis and septic shock in Korea: A systematic review and meta-analysis. Clin. Exp. Emerg. Med. 2023, 10, 157–171. [Google Scholar] [CrossRef] [PubMed]
- Vincent, J.-L.; De Backer, D. Circulatory shock. N. Engl. J. Med. 2013, 369, 1726–1734. [Google Scholar] [CrossRef] [PubMed]
- Vincent, J.-L.; Quintairos e Silva, A.; Couto, L.; Taccone, F.S. The value of blood lactate kinetics in critically ill patients: A systematic review. Crit. Care 2016, 20, 257. [Google Scholar] [CrossRef] [PubMed]
- Suetrong, B.; Walley, K.R. Lactic acidosis in sepsis: It’s not all anaerobic: Implications for diagnosis and management. Chest 2016, 149, 252–261. [Google Scholar] [CrossRef] [PubMed]
- Shevtsova, A.; Gordiienko, I.; Tkachenko, V.; Ushakova, G. Ischemia-modified albumin: Origins and clinical implications. Dis. Markers 2021, 2021, 9945424. [Google Scholar] [CrossRef] [PubMed]
- Bal, W.; Sokołowska, M.; Kurowska, E.; Faller, P. Binding of transition metal ions to albumin: Sites, affinities and rates. Biochim. Biophys. Acta 2013, 1830, 5444–5455. [Google Scholar] [CrossRef] [PubMed]
- Watanabe, H.; Imafuku, T.; Otagiri, M.; Maruyama, T. Clinical implications associated with the posttranslational modification–induced functional impairment of albumin in oxidative stress–related diseases. J. Pharm. Sci. 2017, 106, 2195–2203. [Google Scholar] [CrossRef]
- Lu, J.; Stewart, A.J.; Sadler, P.J.; Pinheiro, T.J.T.; Blindauer, C.A. Allosteric inhibition of cobalt binding to albumin by fatty acids: Implications for the detection of myocardial ischemia. J. Med. Chem. 2012, 55, 4425–4430. [Google Scholar] [CrossRef] [PubMed]
- Sinha, M.K.; Vazquez, J.M.; Calvino, R.; Gaze, D.C.; Collinson, P.O.; Kaski, J.C. Effects of balloon occlusion during percutaneous coronary intervention on circulating Ischemia Modified Albumin and transmyocardial lactate extraction. Heart 2006, 92, 1852–1853. [Google Scholar] [CrossRef] [PubMed]
- Bar-Or, D.; Winkler, J.V.; VanBenthuysen, K.; Harris, L.; Lau, E.; Hetzel, F.W. Reduced albumin-cobalt binding with transient myocardial ischemia after elective percutaneous transluminal coronary angioplasty: A preliminary comparison to creatine kinase-MB, myoglobin, and troponin I. Am. Heart J. 2001, 141, 985–991. [Google Scholar] [CrossRef] [PubMed]
- Yin, M.; Liu, X.; Chen, X.; Li, C.; Qin, W.; Han, H.; Guo, H.; Yang, H.; Cao, D.; Du, Z.; et al. Ischemia-modified albumin is a predictor of short-term mortality in patients with severe sepsis. J. Crit. Care 2017, 37, 7–12. [Google Scholar] [CrossRef] [PubMed]
- Park, J.; Ahn, S.; Lee, S.; Song, J.; Moon, S.; Kim, J.; Cho, H. Association of ischemia modified albumin with mortality in qSOFA positive sepsis patients by sepsis-3 in the emergency department. Am. J. Emerg. Med. 2021, 44, 72–77. [Google Scholar] [CrossRef] [PubMed]
- Charlson, M.E.; Pompei, P.; Ales, K.L.; MacKenzie, C.R. A new method of classifying prognostic comorbidity in longitudinal studies: Development and validation. J. Chronic Dis. 1987, 40, 373–383. [Google Scholar] [CrossRef] [PubMed]
- Van Buuren, S.; Groothuis-Oudshoorn, K. mice: Multivariate Imputation by Chained Equations in R. J. Stat. Softw. 2011, 45, 1–67. [Google Scholar] [CrossRef]
- Cetin, M.; Oray, N.; Bayram, B.; Calan, O. The prognostic value of ischemia-modified albumin in patients with sepsis. Niger. J. Clin. Pr. 2021, 24, 680–684. [Google Scholar] [CrossRef] [PubMed]
- Lelubre, C.; Vincent, J.-L. Mechanisms and treatment of organ failure in sepsis. Nat. Rev. Nephrol. 2018, 14, 417–427. [Google Scholar] [CrossRef] [PubMed]
- Joffre, J.; Hellman, J. Oxidative stress and endothelial dysfunction in sepsis and acute inflammation. Antioxid. Redox Signal. 2021, 35, 1291–1307. [Google Scholar] [CrossRef] [PubMed]
- Yang, G.; Zhou, Y.; He, H.; Pan, X.; Chai, X. Ischemia-modified albumin, a novel predictive marker of in-hospital mortality in acute aortic dissection patients. Front. Physiol. 2019, 10, 1253. [Google Scholar] [CrossRef] [PubMed]
- Tomandlova, M.; Novotny, T.; Staffa, R.; Smutna, J.; Krivka, T.; Kruzliak, P.; Slaby, O.; Kubicek, L.; Vlachovsky, R.; Radova, L.; et al. Kinetics of d-lactate and ischemia-modified albumin after abdominal aortic surgery and their ability to predict intestinal ischemia. Clin. Biochem. 2023, 112, 43–47. [Google Scholar] [CrossRef] [PubMed]
- Radwan, T.A.; Fahmy, R.S.; El Emady, M.F.; Khedr, A.S.; Osman, S.H.; ElSonbaty, M.I.; El-Kholy, B.M.B.; Thabit, M.A.; Elkatatny, A.M. Ischemia-modified albumin as a biomarker for prediction of poor outcome in patients with traumatic brain injury: An observational cohort study. J. Neurosurg. Anesthesiol. 2019, 33, 254–257. [Google Scholar] [CrossRef] [PubMed]
- Turedi, S.; Gunduz, A.; Mentese, A.; Dasdibi, B.; Karahan, S.C.; Sahin, A.; Tuten, G.; Kopuz, M.; Alver, A. Investigation of the possibility of using ischemia-modified albumin as a novel and early prognostic marker in cardiac arrest patients after cardiopulmonary resuscitation. Resuscitation 2009, 80, 994–999. [Google Scholar] [CrossRef] [PubMed]
- Yucel, H.; Turkdogan, K.A.; Zorlu, A.; Aydin, H.; Kurt, R.; Yilmaz, M.B. Association between oxidative stress index and post-CPR early mortality in cardiac arrest patients: A prospective observational study. Anatol. J. Cardiol. 2015, 15, 737–743. [Google Scholar] [CrossRef] [PubMed]



| Variables | Survived on Day 28 (n = 202) | Died (n = 92) | p-Value |
|---|---|---|---|
| Sex | 0.558 | ||
| Men | 114 (56.4%) | 56 (60.9%) | |
| Women | 88 (43.6%) | 36 (39.1%) | |
| Age (years) | 74 [62–81] | 76 [64–83] | 0.378 |
| Infection focus | <0.001 | ||
| Respiratory | 58 (28.7%) | 52 (56.5%) | |
| Gastrointestinal | 28 (13.9%) | 10 (10.9%) | |
| Biliary | 45 (22.3%) | 7 (7.6%) | |
| Genitourinary | 58 (28.7%) | 15 (16.3%) | |
| Others | 13 (6.4%) | 8 (8.7%) | |
| SOFA score | 9 [7–10] | 11 [9–12] | <0.001 |
| Comorbidities | |||
| Age-adjusted Charlson Comorbidity Index | 4.4 ± 2.3 | 5.0 ± 2.6 | 0.050 |
| Diabetes mellitus | 80 (39.6%) | 39 (42.4%) | 0.746 |
| Hypertension | 123 (60.9%) | 48 (52.2%) | 0.201 |
| Cardiac disease | 29 (14.4%) | 8 (8.7%) | 0.243 |
| Liver disease | 9 (4.5%) | 6 (6.5%) | 0.645 |
| Chronic kidney disease | 19 (9.4%) | 14 (15.2%) | 0.206 |
| Lung disease | 7 (3.5%) | 5 (5.4%) | 0.636 |
| Stroke | 32 (15.8%) | 12 (13.0%) | 0.655 |
| Malignancy | 39 (19.3%) | 25 (27.2%) | 0.173 |
| Initial vital signs | |||
| Systolic blood pressure (mmHg) | 106 [91–123] | 102 [87.5–130.5] | 0.432 |
| Diastolic blood pressure (mmHg) | 63 [55–75] | 61 [52–76] | 0.339 |
| Heart rate (/min) | 104 [90–122] | 110.5 [88–128] | 0.231 |
| Respiratory rate (/min) | 20 [18–23] | 22 [16–28] | 0.471 |
| Body temperature | 37.3 ± 1.3 | 36.6 ± 1.3 | <0.001 |
| Laboratory results | |||
| Hemoglobin (g/dL) | 11.9 ± 2.6 | 11.1 ± 3.0 | 0.034 |
| White blood cell (*103/μL) | 12.0 ± 8.4 | 10.6 ± 8.8 | 0.178 |
| Platelets (*103/μL) | 156 [108–233] | 168 [82–253] | 0.872 |
| Creatinine (mg/dL) | 1.4 [0.9–2.0] | 1.6 [1.0–2.4] | 0.194 |
| Total bilirubin (mg/dL) | 0.8 [0.5–1.4] | 0.9 [0.4–1.8] | 0.357 |
| CRP (mg/dL) | 9.4 [3.2–20.8] | 10.8 [6.7–19.8] | 0.303 |
| Procalcitonin (ng/mL) | 6.4 [1.2–26.0] | 4.2 [1.4–17.0] | 0.415 |
| Lactate (mmol/L) | 3.8 [2.9–6.1] | 9.0 [4.4–14.8] | <0.001 |
| Albumin (g/dL) | 3.5 [3.1–3.9] | 3.0 [2.6–3.3] | <0.001 |
| Ischemia-modified albumin (U/mL) | 83.8 ± 6.2 | 89.1 ± 7.2 | <0.001 |
| Variables | Adjusted Hazard Ratio | 95% Confidence Interval | p-Value |
|---|---|---|---|
| Infection focus | |||
| Respiratory | Reference | ||
| Gastrointestinal | 0.789 | 0.391–1.591 | 0.507 |
| Biliary | 0.330 | 0.147–0.742 | 0.007 |
| Genitourinary | 0.507 | 0.277–0.929 | 0.028 |
| Others | 0.721 | 0.328–1.583 | 0.414 |
| SOFA score | 1.108 | 1.009–1.216 | 0.031 |
| Age-adjusted Charlson Comorbidity Index | 1.116 | 1.018–1.224 | 0.019 |
| Body temperature | 0.990 | 0.830–1.180 | 0.907 |
| Hemoglobin (g/dL) | 1.055 | 0.966–1.152 | 0.233 |
| Lactate (mmol/L) | 1.104 | 1.071–1.139 | <0.001 |
| Albumin (g/dL) | 0.845 | 0.412–1.734 | 0.646 |
| Ischemia-modified albumin (U/mL) | 1.075 | 1.016–1.138 | 0.012 |
| High Lactate (n = 97) | Low Lactate (n = 197) | |
|---|---|---|
| High ischemia-modified albumin (n = 83) | 31/36 (86.1%) | 18/47 (38.3%) |
| Low ischemia-modified albumin (n = 211) | 27/61 (44.3%) | 16/150 (10.7%) |
Disclaimer/Publisher’s Note: The statements, opinions and data contained in all publications are solely those of the individual author(s) and contributor(s) and not of MDPI and/or the editor(s). MDPI and/or the editor(s) disclaim responsibility for any injury to people or property resulting from any ideas, methods, instructions or products referred to in the content. |
© 2024 by the authors. Licensee MDPI, Basel, Switzerland. This article is an open access article distributed under the terms and conditions of the Creative Commons Attribution (CC BY) license (https://creativecommons.org/licenses/by/4.0/).
Share and Cite
Jin, B.-Y.; Lee, S.; Kim, W.; Park, J.-H.; Cho, H.; Moon, S.; Ahn, S. Ischemia-Modified Albumin, Lactate, and Combination for Predicting Mortality in Patients with Septic Shock in the Emergency Department. Biomedicines 2024, 12, 1421. https://doi.org/10.3390/biomedicines12071421
Jin B-Y, Lee S, Kim W, Park J-H, Cho H, Moon S, Ahn S. Ischemia-Modified Albumin, Lactate, and Combination for Predicting Mortality in Patients with Septic Shock in the Emergency Department. Biomedicines. 2024; 12(7):1421. https://doi.org/10.3390/biomedicines12071421
Chicago/Turabian StyleJin, Bo-Yeong, Sukyo Lee, Woosik Kim, Jong-Hak Park, Hanjin Cho, Sungwoo Moon, and Sejoong Ahn. 2024. "Ischemia-Modified Albumin, Lactate, and Combination for Predicting Mortality in Patients with Septic Shock in the Emergency Department" Biomedicines 12, no. 7: 1421. https://doi.org/10.3390/biomedicines12071421
APA StyleJin, B.-Y., Lee, S., Kim, W., Park, J.-H., Cho, H., Moon, S., & Ahn, S. (2024). Ischemia-Modified Albumin, Lactate, and Combination for Predicting Mortality in Patients with Septic Shock in the Emergency Department. Biomedicines, 12(7), 1421. https://doi.org/10.3390/biomedicines12071421

