The Onset of Antinuclear Antibodies (ANAs) as a Potential Risk Factor for Mortality and Morbidity in COVID-19 Patients: A Single-Center Retrospective Study
Abstract
1. Introduction
2. Materials and Methods
2.1. Study Design and Participants
2.2. Lung Function Assessment
2.3. Laboratory Assessment
2.4. HALP (Hemoglobin-Albumin-Lymphocyte-Platelet) Score
2.5. Statistical Analysis
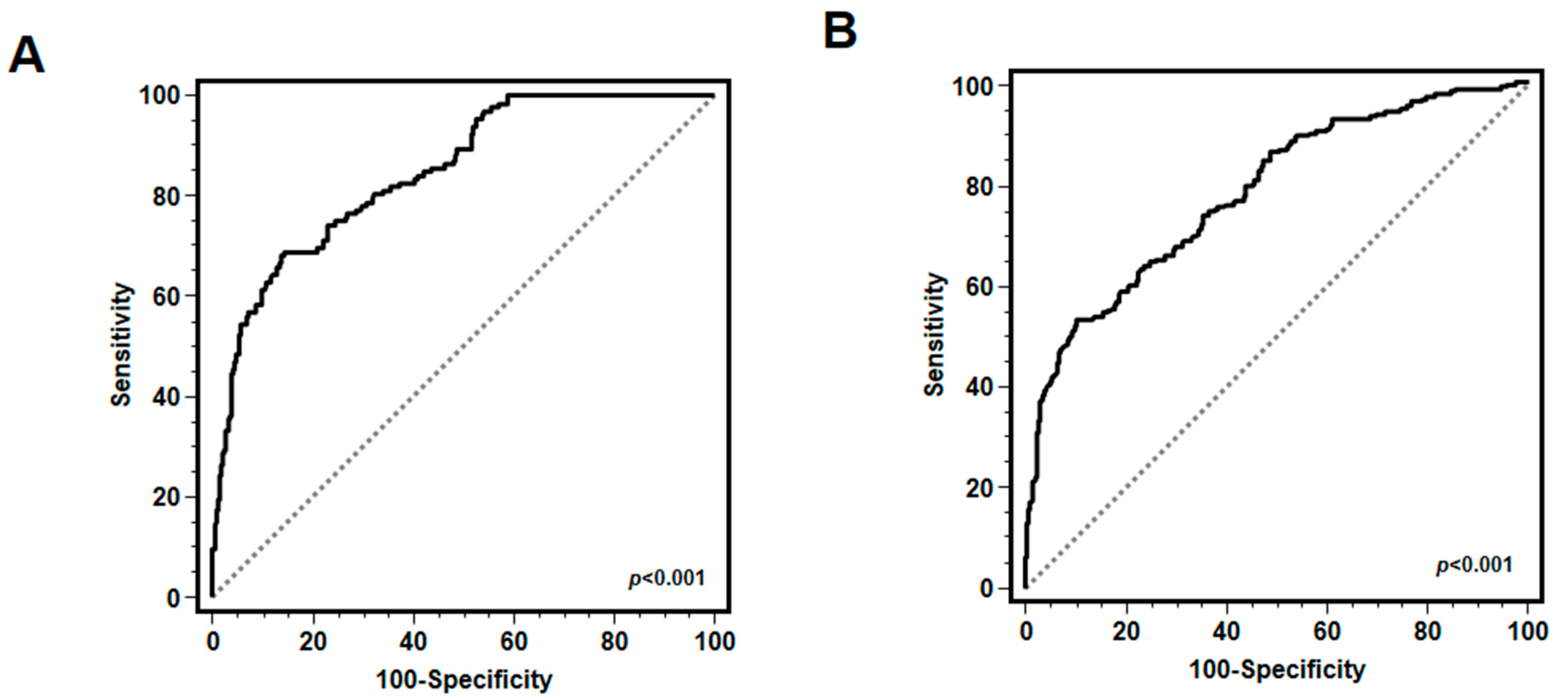
3. Results
4. Discussion
5. Conclusions
Author Contributions
Funding
Institutional Review Board Statement
Informed Consent Statement
Data Availability Statement
Acknowledgments
Conflicts of Interest
References
- Mantovani Cardoso, E.; Hundal, J.; Feterman, D.; Magaldi, J. Concomitant New Diagnosis of Systemic Lupus Erythematosus and COVID-19 with Possible Antiphospholipid Syndrome. Just a Coincidence? A Case Report and Review of Intertwining Pathophysiology. Clin. Rheumatol. 2020, 39, 2811–2815. [Google Scholar] [CrossRef] [PubMed]
- Zulfiqar, A.-A.; Lorenzo-Villalba, N.; Hassler, P.; Andrès, E. Immune Thrombocytopenic Purpura in a Patient with COVID-19. N. Engl. J. Med. 2020, 382, e43. [Google Scholar] [CrossRef] [PubMed]
- Damoiseaux, J.; Dotan, A.; Fritzler, M.J.; Bogdanos, D.P.; Meroni, P.L.; Roggenbuck, D.; Goldman, M.; Landegren, N.; Bastard, P.; Shoenfeld, Y.; et al. Autoantibodies and SARS-CoV2 Infection: The Spectrum from Association to Clinical Implication: Report of the 15th Dresden Symposium on Autoantibodies. Autoimmun. Rev. 2022, 21, 103012. [Google Scholar] [CrossRef] [PubMed]
- Gao, Z.; Zhang, H.; Liu, C.; Dong, K. Autoantibodies in COVID-19: Frequency and Function. Autoimmun. Rev. 2021, 20, 102754. [Google Scholar] [CrossRef] [PubMed]
- Muratori, P.; Lenzi, M.; Muratori, L.; Granito, A. Antinuclear Antibodies in COVID 19. Clin. Transl. Sci. 2021, 14, 1627–1628. [Google Scholar] [CrossRef] [PubMed]
- Chang, S.H.; Minn, D.; Kim, Y.K. Autoantibodies in Moderate and Critical Cases of COVID-19. Clin. Transl. Sci. 2021, 14, 1625–1626. [Google Scholar] [CrossRef] [PubMed]
- Gazzaruso, C.; Carlo Stella, N.; Mariani, G.; Nai, C.; Coppola, A.; Naldani, D.; Gallotti, P. High Prevalence of Antinuclear Antibodies and Lupus Anticoagulant in Patients Hospitalized for SARS-CoV2 Pneumonia. Clin. Rheumatol. 2020, 39, 2095–2097. [Google Scholar] [CrossRef] [PubMed]
- Amezcua-Guerra, L.M.; Rojas-Velasco, G.; Brianza-Padilla, M.; Vázquez-Rangel, A.; Márquez-Velasco, R.; Baranda-Tovar, F.; Springall, R.; Gonzalez-Pacheco, H.; Juárez-Vicuña, Y.; Tavera-Alonso, C.; et al. Presence of Antiphospholipid Antibodies in COVID-19: A Case Series Study. Ann. Rheum. Dis. 2021, 80, e73. [Google Scholar] [CrossRef]
- Zuniga, M.; Gomes, C.; Carsons, S.E.; Bender, M.T.; Cotzia, P.; Miao, Q.R.; Lee, D.C.; Rodriguez, A. Autoimmunity to Annexin A2 Predicts Mortality among Hospitalised COVID-19 Patients. Eur. Respir. J. 2021, 58, 2100918. [Google Scholar] [CrossRef]
- Bastard, P.; Rosen, L.B.; Zhang, Q.; Michailidis, E.; Hoffmann, H.-H.; Zhang, Y.; Dorgham, K.; Philippot, Q.; Rosain, J.; Béziat, V.; et al. Autoantibodies against Type I IFNs in Patients with Life-Threatening COVID-19. Science 2020, 370, eabd4585. [Google Scholar] [CrossRef]
- Berlin, T.; Zandman-Goddard, G.; Blank, M.; Matthias, T.; Pfeiffer, S.; Weis, I.; Toubi, E.; Singh, S.; Asherson, R.; Fraser, A.; et al. Autoantibodies in Nonautoimmune Individuals during Infections. Ann. N. Y Acad. Sci. 2007, 1108, 584–593. [Google Scholar] [CrossRef]
- Park, S.H.; Suh, J.W.; Yang, K.-S.; Kim, J.Y.; Kim, S.B.; Sohn, J.W.; Yoon, Y.K. Clinical Significance of Antinuclear Antibody Positivity in Patients with Severe Coronavirus Disease 2019. Korean J. Intern. Med. 2023, 38, 417–426. [Google Scholar] [CrossRef] [PubMed]
- Vahabi, M.; Mirsharif, E.S.; Ghazanfari, T. Is COVID-19 Severity Unrelated to Antinuclear Antibodies? Transpl. Immunol. 2023, 78, 101791. [Google Scholar] [CrossRef]
- Farag, C.M.; Antar, R.; Akosman, S.; Ng, M.; Whalen, M.J. What Is Hemoglobin, Albumin, Lymphocyte, Platelet (HALP) Score? A Comprehensive Literature Review of HALP’s Prognostic Ability in Different Cancer Types. Oncotarget 2023, 14, 153–172. [Google Scholar] [CrossRef] [PubMed]
- Calder, P.C. Nutrition and Immunity: Lessons for COVID-19. Nutr. Diabetes 2021, 11, 19. [Google Scholar] [CrossRef]
- Al-Beltagi, M.; Saeed, N.K.; Bediwy, A.S. COVID-19 Disease and Autoimmune Disorders: A Mutual Pathway. World J. Methodol. 2022, 12, 200–223. [Google Scholar] [CrossRef]
- Zhou, J.; Yang, D. Prognostic Significance of Hemoglobin, Albumin, Lymphocyte and Platelet (HALP) Score in Hepatocellular Carcinoma. J. Hepatocell. Carcinoma 2023, 10, 821–831. [Google Scholar] [CrossRef] [PubMed]
- Xing, Y.; Li, Y.; Feng, L.; Huo, R.; Ma, X.; Dong, Y.; Liu, D.; Niu, Y.; Tian, X.; Chen, E. Predictors of COVID-19 Severity in Elderly Patients Infected by Omicron in China, 18 December 2022–5 February 2023. Infect. Drug Resist. 2023, 16, 4505–4518. [Google Scholar] [CrossRef]
- Lacedonia, D.; Quarato, C.M.I.; Mirijello, A.; Trovato, G.M.; Del Colle, A.; Rea, G.; Scioscia, G.; Foschino Barbaro, M.P.; Sperandeo, M. COVID-19 Pneumonia: The Great Ultrasonography Mimicker. Front. Med. 2021, 8, 709402. [Google Scholar] [CrossRef]
- Bettocchi, S.; Murgia, F.; Greco, F.; Morena, M.G.; Palieri, T.; Pisante, A.; Fascilla, F.D.; Nappi, L. Laboratory and Instrumental Diagnostics. In Practical Clinical Andrology; Springer International Publishing: Cham, Switzerland, 2023; pp. 227–236. [Google Scholar]
- Damoiseaux, J.; von Mühlen, C.A.; Garcia-De La Torre, I.; Carballo, O.G.; de Melo Cruvinel, W.; Francescantonio, P.L.C.; Fritzler, M.J.; Herold, M.; Mimori, T.; Satoh, M.; et al. International Consensus on ANA Patterns (ICAP): The Bumpy Road towards a Consensus on Reporting ANA Results. Autoimmun. Highlights 2016, 7, 1. [Google Scholar] [CrossRef]
- Xu, H.; Zheng, X.; Ai, J.; Yang, L. Hemoglobin, Albumin, Lymphocyte, and Platelet (HALP) Score and Cancer Prognosis: A Systematic Review and Meta-Analysis of 13,110 Patients. Int. Immunopharmacol. 2023, 114, 109496. [Google Scholar] [CrossRef] [PubMed]
- Xu, S.-S.; Li, S.; Xu, H.-X.; Li, H.; Wu, C.-T.; Wang, W.-Q.; Gao, H.-L.; Jiang, W.; Zhang, W.-H.; Li, T.-J.; et al. Haemoglobin, Albumin, Lymphocyte and Platelet Predicts Postoperative Survival in Pancreatic Cancer. World J. Gastroenterol. 2020, 26, 828–838. [Google Scholar] [CrossRef] [PubMed]
- Netti, G.S.; Infante, B.; Spadaccino, F.; Godeas, G.; Corallo, M.G.; Prisciandaro, C.; Croce, L.; Rotondi, M.; Gesualdo, L.; Stallone, G.; et al. Serum Levels of BAFF and APRIL Predict Clinical Response in Anti-PLA2R-Positive Primary Membranous Nephropathy. J. Immunol. Res. 2019, 2019, 8483650. [Google Scholar] [CrossRef] [PubMed]
- Netti, G.S.; Santangelo, L.; Paulucci, L.; Piscopo, G.; Torres, D.D.; Carbone, V.; Giordano, P.; Spadaccino, F.; Castellano, G.; Stallone, G.; et al. Low C3 Serum Levels Predict Severe Forms of STEC-HUS With Neurologic Involvement. Front. Med. 2020, 7, 357. [Google Scholar] [CrossRef] [PubMed]
- Netti, G.S.; Sangregorio, F.; Spadaccino, F.; Staffieri, F.; Crovace, A.; Infante, B.; Maiorano, A.; Godeas, G.; Castellano, G.; Palma, A.M.D.; et al. LPS Removal Reduces CD80-Mediated Albuminuria in Critically Ill Patients with Gram-Negative Sepsis. Am. J. Physiol. Ren. Physiol. 2019, 316, F723–F731. [Google Scholar] [CrossRef] [PubMed]
- Netti, G.S.; Rotondi, M.; Lorenzo, A.D.; Papantonio, D.; Teri, A.; Schirone, M.; Spadaccino, F.; Croce, L.; Infante, B.; Perulli, R.; et al. Nocturnal Haemodialysis Is Associated with a Reduced Occurrence of Low Triiodothyronine Serum Levels in Haemodialysed Patients. Clin. Kidney J. 2020, 13. [Google Scholar] [CrossRef] [PubMed]
- Halpert, G.; Shoenfeld, Y. SARS-CoV-2, the Autoimmune Virus. Autoimmun. Rev. 2020, 19, 102695. [Google Scholar] [CrossRef] [PubMed]
- Zhou, Y.; Han, T.; Chen, J.; Hou, C.; Hua, L.; He, S.; Guo, Y.; Zhang, S.; Wang, Y.; Yuan, J.; et al. Clinical and Autoimmune Characteristics of Severe and Critical Cases of COVID-19. Clin. Transl. Sci. 2020, 13, 1077–1086. [Google Scholar] [CrossRef] [PubMed]
- Mohkhedkar, M.; Venigalla, S.S.K.; Janakiraman, V. Untangling COVID-19 and Autoimmunity: Identification of Plausible Targets Suggests Multi Organ Involvement. Mol. Immunol. 2021, 137, 105–113. [Google Scholar] [CrossRef]
- Winchester, N.E.; Calabrese, C.; Calabrese, L. The Intersection of COVID-19 and Autoimmunity: What Is Our Current Understanding? Pathog. Immun. 2021, 6, 31–54. [Google Scholar] [CrossRef]
- Shah, S.; Danda, D.; Kavadichanda, C.; Das, S.; Adarsh, M.B.; Negi, V.S. Autoimmune and Rheumatic Musculoskeletal Diseases as a Consequence of SARS-CoV-2 Infection and Its Treatment. Rheumatol. Int. 2020, 40, 1539–1554. [Google Scholar] [CrossRef] [PubMed]
- Ramos-Casals, M.; Brito-Zerón, P.; Mariette, X. Systemic and Organ-Specific Immune-Related Manifestations of COVID-19. Nat. Rev. Rheumatol. 2021, 17, 315–332. [Google Scholar] [CrossRef] [PubMed]
- Ehrenfeld, M.; Tincani, A.; Andreoli, L.; Cattalini, M.; Greenbaum, A.; Kanduc, D.; Alijotas-Reig, J.; Zinserling, V.; Semenova, N.; Amital, H.; et al. COVID-19 and Autoimmunity. Autoimmun. Rev. 2020, 19, 102597. [Google Scholar] [CrossRef] [PubMed]
- Lerma, L.A.; Chaudhary, A.; Bryan, A.; Morishima, C.; Wener, M.H.; Fink, S.L. Prevalence of Autoantibody Responses in Acute Coronavirus Disease 2019 (COVID-19). J. Transl. Autoimmun. 2020, 3, 100073. [Google Scholar] [CrossRef] [PubMed]
- Pascolini, S.; Vannini, A.; Deleonardi, G.; Ciordinik, M.; Sensoli, A.; Carletti, I.; Veronesi, L.; Ricci, C.; Pronesti, A.; Mazzanti, L.; et al. COVID-19 and Immunological Dysregulation: Can Autoantibodies Be Useful? Clin. Transl. Sci. 2021, 14, 502–508. [Google Scholar] [CrossRef] [PubMed]
- Litwin, C.M.; Binder, S.R. ANA Testing in the Presence of Acute and Chronic Infections. J. Immunoass. Immunochem. 2016, 37, 439–452. [Google Scholar] [CrossRef] [PubMed]
- Woodruff, M.C.; Ramonell, R.P.; Nguyen, D.C.; Cashman, K.S.; Saini, A.S.; Haddad, N.S.; Ley, A.M.; Kyu, S.; Howell, J.C.; Ozturk, T.; et al. Extrafollicular B Cell Responses Correlate with Neutralizing Antibodies and Morbidity in COVID-19. Nat. Immunol. 2020, 21, 1506–1516. [Google Scholar] [CrossRef] [PubMed]
- Coomes, E.A.; Haghbayan, H. Interleukin-6 in COVID-19: A Systematic Review and meta-analysis. Rev. Med. Virol. 2020, 30, 1–9. [Google Scholar] [CrossRef]
- Wang, X.; Tang, G.; Liu, Y.; Zhang, L.; Chen, B.; Han, Y.; Fu, Z.; Wang, L.; Hu, G.; Ma, Q.; et al. The Role of IL-6 in Coronavirus, Especially in COVID-19. Front. Pharmacol. 2022, 13, 1033674. [Google Scholar] [CrossRef]
- Tanaka, T.; Narazaki, M.; Kishimoto, T. IL-6 in Inflammation, Immunity, and Disease. Cold Spring Harb. Perspect. Biol. 2014, 6, a016295. [Google Scholar] [CrossRef]
- Ishihara, K.; Hirano, T. IL-6 in Autoimmune Disease and Chronic Inflammatory Proliferative Disease. Cytokine Growth Factor Rev. 2002, 13, 357–368. [Google Scholar] [CrossRef] [PubMed]
- Hirano, T. Interleukin 6 in Autoimmune and Inflammatory Diseases: A Personal Memoir. Proc. Jpn. Acad. Ser. B 2010, 86, 717–730. [Google Scholar] [CrossRef]
- Maeda, K.; Mehta, H.; Drevets, D.A.; Coggeshall, K.M. IL-6 Increases B-Cell IgG Production in a Feed-Forward Proinflammatory Mechanism to Skew Hematopoiesis and Elevate Myeloid Production. Blood 2010, 115, 4699–4706. [Google Scholar] [CrossRef]
- Arkatkar, T.; Du, S.W.; Jacobs, H.M.; Dam, E.M.; Hou, B.; Buckner, J.H.; Rawlings, D.J.; Jackson, S.W. B Cell–Derived IL-6 Initiates Spontaneous Germinal Center Formation during Systemic Autoimmunity. J. Exp. Med. 2017, 214, 3207–3217. [Google Scholar] [CrossRef] [PubMed]
- Peng, D.; Zhang, C.; Tang, Q.; Zhang, L.; Yang, K.; Yu, X.; Gong, Y.; Li, X.; He, Z.; Zhou, L. Prognostic Significance of the Combination of Preoperative Hemoglobin and Albumin Levels and Lymphocyte and Platelet Counts (HALP) in Patients with Renal Cell Carcinoma after Nephrectomy. BMC Urol. 2018, 18, 20. [Google Scholar] [CrossRef]
- Feng, J.-F.; Wang, L.; Yang, X. The Preoperative HALP Score (Hemoglobin, Albumin, Lymphocyte and Platelet) Is a Useful Predictor in Patients with Resectable Esophageal Squamous Cell Carcinoma. Bosn. J. Basic Med. Sci. 2021, 21, 773. [Google Scholar] [CrossRef]
- Liu, X.; Zhang, R.; He, G. Hematological Findings in Coronavirus Disease 2019: Indications of Progression of Disease. Ann. Hematol. 2020, 99, 1421–1428. [Google Scholar] [CrossRef] [PubMed]
- Oh, S.M.; Skendelas, J.P.; Macdonald, E.; Bergamini, M.; Goel, S.; Choi, J.; Segal, K.R.; Vivek, K.; Nair, S.; Leff, J. On-Admission Anemia Predicts Mortality in COVID-19 Patients: A Single Center, Retrospective Cohort Study. Am. J. Emerg. Med. 2021, 48, 140–147. [Google Scholar] [CrossRef] [PubMed]
- Bellmann-Weiler, R.; Lanser, L.; Barket, R.; Rangger, L.; Schapfl, A.; Schaber, M.; Fritsche, G.; Wöll, E.; Weiss, G. Prevalence and Predictive Value of Anemia and Dysregulated Iron Homeostasis in Patients with COVID-19 Infection. J. Clin. Med. 2020, 9, 2429. [Google Scholar] [CrossRef]
- Haraj, N.E.; El Aziz, S.; Chadli, A.; Dafir, A.; Mjabber, A.; Aissaoui, O.; Barrou, L.; El Kettani El Hamidi, C.; Nsiri, A.; AL Harrar, R.; et al. Nutritional Status Assessment in Patients with COVID-19 after Discharge from the Intensive Care Unit. Clin. Nutr. ESPEN 2021, 41, 423–428. [Google Scholar] [CrossRef]
- Ak, R.; Doğanay, F.; Yilmaz, E. Comparison of C-Reactive Protein and C-Reactive Protein-to-Albumin Ratio in Predicting Mortality among Geriatric Coronavirus Disease 2019 Patients. Rev. Assoc. Med. Bras. 2022, 68, 82–86. [Google Scholar] [CrossRef]
- Eckart, A.; Struja, T.; Kutz, A.; Baumgartner, A.; Baumgartner, T.; Zurfluh, S.; Neeser, O.; Huber, A.; Stanga, Z.; Mueller, B.; et al. Relationship of Nutritional Status, Inflammation, and Serum Albumin Levels During Acute Illness: A Prospective Study. Am. J. Med. 2020, 133, 713–722.e7. [Google Scholar] [CrossRef]
- Violi, F.; Cangemi, R.; Romiti, G.F.; Ceccarelli, G.; Oliva, A.; Alessandri, F.; Pirro, M.; Pignatelli, P.; Lichtner, M.; Carraro, A.; et al. Is Albumin Predictor of Mortality in COVID-19? Antioxid. Redox Signal. 2021, 35, 139–142. [Google Scholar] [CrossRef]
- Aziz, M.; Fatima, R.; Lee-Smith, W.; Assaly, R. The Association of Low Serum Albumin Level with Severe COVID-19: A Systematic Review and Meta-Analysis. Crit. Care 2020, 24, 255. [Google Scholar] [CrossRef]
- Ruan, Q.; Yang, K.; Wang, W.; Jiang, L.; Song, J. Clinical Predictors of Mortality Due to COVID-19 Based on an Analysis of Data of 150 Patients from Wuhan, China. Intensive Care Med. 2020, 46, 846–848. [Google Scholar] [CrossRef] [PubMed]
- Lin, L.; Lu, L.; Cao, W.; Li, T. Hypothesis for Potential Pathogenesis of SARS-CoV-2 Infection–a Review of Immune Changes in Patients with Viral Pneumonia. Emerg. Microbes Infect. 2020, 9, 727–732. [Google Scholar] [CrossRef]
- Huang, I.; Pranata, R. Lymphopenia in Severe Coronavirus Disease-2019 (COVID-19): Systematic Review and Meta-Analysis. J. Intensive Care 2020, 8, 36. [Google Scholar] [CrossRef] [PubMed]
- Chen, N.; Zhou, M.; Dong, X.; Qu, J.; Gong, F.; Han, Y.; Qiu, Y.; Wang, J.; Liu, Y.; Wei, Y.; et al. Epidemiological and Clinical Characteristics of 99 Cases of 2019 Novel Coronavirus Pneumonia in Wuhan, China: A Descriptive Study. Lancet 2020, 395, 507–513. [Google Scholar] [CrossRef] [PubMed]
- Guan, W.; Ni, Z.; Hu, Y.; Liang, W.; Ou, C.; He, J.; Liu, L.; Shan, H.; Lei, C.; Hui, D.S.C.; et al. Clinical Characteristics of Coronavirus Disease 2019 in China. N. Engl. J. Med. 2020, 382, 1708–1720. [Google Scholar] [CrossRef]
- Yang, X.; Yang, Q.; Wang, Y.; Wu, Y.; Xu, J.; Yu, Y.; Shang, Y. Thrombocytopenia and Its Association with Mortality in Patients with COVID-19. J. Thromb. Haemost. 2020, 18, 1469–1472. [Google Scholar] [CrossRef]
- Wolszczak-Biedrzycka, B.; Dorf, J.; Milewska, A.; Łukaszyk, M.; Naumnik, W.; Kosidło, J.W.; Dymicka-Piekarska, V. The Diagnostic Value of Inflammatory Markers (CRP, IL6, CRP/IL6, CRP/L, LCR) for Assessing the Severity of COVID-19 Symptoms Based on the MEWS and Predicting the Risk of Mortality. J. Inflamm. Res. 2023, 16, 2173–2188. [Google Scholar] [CrossRef] [PubMed]






| Total (n = 638) | ANA Negative (n = 511) | ANA Positive (n = 127) | p-Value | |
|---|---|---|---|---|
| Clinical characteristics | ||||
| Female gender, n (%) | 41.8% | 40.5% | 47.2% | 0.191 |
| Age (years) | 65.5 ± 18.0 | 64.3 ± 17.7 | 70.3 ± 18.6 | <0.001 |
| Hospital stay (days) | 22 ± 15 | 22.1 ± 15.1 | 22.3 ± 16.5 | 0.876 |
| Comorbidities | ||||
| Hypertension, n (%) | 227 (35.9%) | 178 (34.8%) | 51 (40.5%) | 0.310 |
| Diabetes, n (%) | 123 (19.3%) | 97 (19.0%) | 26 (20.5%) | 0.798 |
| Obesity (BMI > 25), n (%) | 108 (16.9%) | 84 (16.4%) | 24 (18.9%) | 0.508 |
| CAD, n (%) | 48 (7.5%) | 35 (6.8%) | 13 (10.2%) | 0.195 |
| Underlying PD, n (%) | 34 (5.3%) | 24 (4.7%) | 10 (7.9%) | 0.154 |
| Malignancies, n (%) | 31 (4.9%) | 22 (4.3%) | 9 (7.1%) | 0.192 |
| Laboratory Assessment | ||||
| hs-CRP, mg/L | 68.5 ± 66.1 | 68.2 ± 72.7 | 69.4 ± 67.7 | 0.869 |
| Procalcitonin, mcg/L | 0.21 ± 0.26 | 0.18 ± 0.20 | 0.25 ± 0,21 | 0.296 |
| Fibrinogen, g/L | 5,43 ± 1.86 | 5.51 ± 2.14 | 5.11 ± 0,99 | 0.732 |
| D-dimers, ng/mL | 3140 ± 376 | 3193 ± 325 | 2927 ± 1310 | 0.859 |
| PT, sec | 13.3 ± 6.8 | 13.4 ± 7.4 | 12.9 ± 3.6 | 0.343 |
| aPTT, sec | 32.0 ± 5.2 | 32.3 ± 5.2 | 30.8 ± 4.9 | 0.108 |
| INR, ratio | 1.18 ± 0.53 | 1.18 ± 0.58 | 1.17 ± 0.91 | 0.687 |
| Ferritin, mcg/mL | 435 ± 483 | 452 ± 508 | 369 ± 428 | 0.476 |
| WBC, ×103/mcL | 8.73 ± 4.58 | 8.62 ± 4.73 | 9.17 ± 3.89 | 0.169 |
| Lymphocytes, % | 16.9 ± 11.8 | 18.1 ± 11.9 | 12.5 ± 11.4 | 0.043 |
| Monocytes, % | 5.1 ± 2.0 | 4.9 ± 2.1 | 5.7 ± 1.9 | 0.637 |
| Neutrophils, % | 76.3 ± 14.6 | 76.1 ± 14.4 | 77.1 ± 14.8 | 0.662 |
| Thrombocytes, ×103/mcL | 244 ± 102 | 240 ± 99 | 260 ± 112 | 0.025 |
| Hemoglobin, g/dL | 12.5 ± 2.1 | 12.7 ± 2.1 | 11.7 ± 2.3 | 0.015 |
| Creatinine, mg/dL | 1.58 ± 0.41 | 1.66 ± 1.51 | 1.23 ± 1.61 | 0.458 |
| Protein, g/L | 65.5 ± 7.8 | 65.7 ± 7.7 | 64.5 ± 8.5 | 0.147 |
| Albumin, g/L | 33.5 ± 7.4 | 34.3 ± 7.3 | 30.2 ± 7.4 | 0.028 |
| A | Univariate Analysis 95% CI | Multivariate Analysis 95% CI | ||||||
|---|---|---|---|---|---|---|---|---|
| HR | Lower | Higher | p-Value | HR | Lower | Higher | p-Value | |
| Gender 1 | 1.143 | 0.811 | 1.610 | 0.445 | - | - | - | - |
| hs-CRP 2 | 1.020 | 0.985 | 1.057 | 0.256 | - | - | - | - |
| Age 3 | 2.099 | 1.808 | 2.436 | <0.001 | 1.789 | 1.527 | 2.095 | <0.001 |
| ANA status 1 | 2.066 | 1.440 | 2.963 | <0.001 | 1.802 | 1.489 | 2.157 | <0.001 |
| HALP score 4 | 0.249 | 0.183 | 0.339 | <0.001 | 0.363 | 0.263 | 0.500 | <0.001 |
| B | Univariate Analysis 95% CI | Multivariate Analysis 95% CI | ||||||
| HR | Lower | Higher | p-Value | HR | Lower | Higher | p-Value | |
| Gender 1 | 1.222 | 0.948 | 1.575 | 0.122 | - | - | - | - |
| hs-CRP 2 | 1.003 | 0.966 | 1.041 | 0.883 | - | - | - | - |
| Age 3 | 1.846 | 1.672 | 2.038 | <0.001 | 1.628 | 1.467 | 1.807 | <0.001 |
| ANA status 1 | 2.996 | 2.297 | 3.910 | <0.001 | 1.905 | 1.441 | 2.518 | <0.001 |
| HALP score 4 | 0.404 | 0.338 | 0.483 | <0.001 | 0.600 | 0.495 | 0.726 | <0.001 |
Disclaimer/Publisher’s Note: The statements, opinions and data contained in all publications are solely those of the individual author(s) and contributor(s) and not of MDPI and/or the editor(s). MDPI and/or the editor(s) disclaim responsibility for any injury to people or property resulting from any ideas, methods, instructions or products referred to in the content. |
© 2024 by the authors. Licensee MDPI, Basel, Switzerland. This article is an open access article distributed under the terms and conditions of the Creative Commons Attribution (CC BY) license (https://creativecommons.org/licenses/by/4.0/).
Share and Cite
Netti, G.S.; Soccio, P.; Catalano, V.; De Luca, F.; Khalid, J.; Camporeale, V.; Moriondo, G.; Papale, M.; Scioscia, G.; Corso, G.; et al. The Onset of Antinuclear Antibodies (ANAs) as a Potential Risk Factor for Mortality and Morbidity in COVID-19 Patients: A Single-Center Retrospective Study. Biomedicines 2024, 12, 1306. https://doi.org/10.3390/biomedicines12061306
Netti GS, Soccio P, Catalano V, De Luca F, Khalid J, Camporeale V, Moriondo G, Papale M, Scioscia G, Corso G, et al. The Onset of Antinuclear Antibodies (ANAs) as a Potential Risk Factor for Mortality and Morbidity in COVID-19 Patients: A Single-Center Retrospective Study. Biomedicines. 2024; 12(6):1306. https://doi.org/10.3390/biomedicines12061306
Chicago/Turabian StyleNetti, Giuseppe Stefano, Piera Soccio, Valeria Catalano, Federica De Luca, Javeria Khalid, Valentina Camporeale, Giorgia Moriondo, Massimo Papale, Giulia Scioscia, Gaetano Corso, and et al. 2024. "The Onset of Antinuclear Antibodies (ANAs) as a Potential Risk Factor for Mortality and Morbidity in COVID-19 Patients: A Single-Center Retrospective Study" Biomedicines 12, no. 6: 1306. https://doi.org/10.3390/biomedicines12061306
APA StyleNetti, G. S., Soccio, P., Catalano, V., De Luca, F., Khalid, J., Camporeale, V., Moriondo, G., Papale, M., Scioscia, G., Corso, G., Foschino, M. P., Lo Caputo, S., Lacedonia, D., & Ranieri, E. (2024). The Onset of Antinuclear Antibodies (ANAs) as a Potential Risk Factor for Mortality and Morbidity in COVID-19 Patients: A Single-Center Retrospective Study. Biomedicines, 12(6), 1306. https://doi.org/10.3390/biomedicines12061306

