Abstract
Background: Patients with IgA nephropathy (IgAN), a chronic kidney disease (CKD), are significantly more likely to have cardiovascular (CV) mortality and morbidity than the general population. The occurrence of metabolic syndrome (MetS) and metabolic risk factors are independent risk factors for CV disease and renal progression. The purpose of this study was to determine how metabolic characteristics in a homogeneous population of CKD patients relate to prognosis. Methods: A total of 145 patients with CKD stages 1–4 diagnosed with IgA nephropathy (92 men and 53 women, aged 54.7 ± 13 years) were examined and monitored for a median of 190 months. All-cause mortality and any CV event, such as stroke, myocardial infarction, revascularization (CV), end-stage renal disease, and renal replacement therapy (renal), have been included in the composite endpoints (CV and renal). Results: Patients with MetS had significantly more primary endpoint events (23/65 patients vs. 15/60 patients, p < 0.001) compared to the non-MetS group. The MetS group had a statistically significant increase in both primary renal and CV endpoints (18/65 vs. 10/60, p = 0.001), and in CV endpoint events (7/65 vs. 6/60, p = 0.029) among the secondary endpoints (CV and renal separately). Based on Cox regression analysis, the main endpoint independent predictors of survival were dyslipidemia, eGFR, hemoglobin, urine albuminuria, and diabetes mellitus. Independent predictors of secondary renal endpoints were dyslipidemia, hemoglobin, urine albumin, and eGFR. Predictors of secondary cardiovascular endpoints were gender, BMI, and diabetes. When Kaplan–Meier curves were analyzed at the combined endpoints (CV and renal) or each endpoint independently, significant differences were seen between MetS and non-MetS. With more MetS components, the primary endpoint rate increased significantly (MetS comp. 0 vs. MetS comp. 2+, primary endpoints, p = 0.012). Conclusions: Our results show that the metabolic profile has a prognostic role not only for renal endpoints but also for CV endpoints in IgAN. BMI, hyperuricemia, hypertension, and diabetes have a predictive value for the prognosis of IgA nephropathy.
1. Introduction
Cardiovascular (CV) morbidity and mortality in patients with chronic kidney disease (CKD) is many times higher than in the general population [,], and in primary glomerular diseases such as IgA nephropathy (IgAN), the absolute risk of cardiovascular disease (CVD) is roughly 2.5 times higher than in the population without any kidney diseases []. The classification of CVD risk in these individuals may be improved by taking into account eGFR, proteinuria, the type of glomerular disease [], and the patient’s metabolic profile. Moderate and severe CKDs are independent risk factors for cardiovascular disease []. IgA nephropathy is the most common primary glomerular disease worldwide and is a relatively common cause of end-stage kidney disease (ESKD) [,]. Long-term observational studies have shown that IgAN causes ESKD in 40% of patients within 20 years after diagnosis [,]. The clinical presentation is usually nephritic syndrome and hematuria with variable degrees of proteinuria. Pathologically, IgAN is defined by polymeric IgA1 being deposited in the glomerulus, primarily in the mesangium; mesangial hypercellularity and mesangial matrix expansion are also present, along with various degrees of interstitial fibrosis and glomerulosclerosis. The degree of glomerulosclerosis and tubulointerstitial fibrosis in renal pathology, the presence of hypertension and excessive proteinuria, and a marked decline in glomerular filtration rate (GFR) at the time of renal biopsy are all considered adverse prognostic indications [,].
Although research on MetS’s independent relationship with the onset and progression of CKD has been increasingly studied, the results are inconsistent. According to a population-based study, patients with non-diabetic early-stage CKD (stages 1–3) are the only ones whose MetS has a substantial effect on the progression of CKD; patients with non-diabetic late-stage and diabetic CKD are not affected []. Independent of diabetes grades, a different investigation found a substantial correlation between CKD and components of MetS []. Furthermore, despite a positive and considerable risk of estimated glomerular filtration rate (eGFR) decline, a previous cohort study found no correlation between MetS and incident CKD []. Several meta-analyses have been conducted to settle these disputes. According to a prior meta-analysis involving 11 cohort studies, MetS may promote the onset of CKD [].
MetS and its components are putative risk factors for albuminuria and proteinuria, according to a different meta-analysis of 57 studies []. Previous meta-analyses, however, have solely comprised research on individuals without CKD. There have not been any meta-analyses conducted to look into the relationship between ESKD and renal events like eGFR decline and MetS and its components.
Apart from the aforementioned established risk factors, new research has also linked the advancement in the progression of IgAN to other cardiovascular risk factors, including hypertriglyceridemia, hyperuricemia, excessive body weight, and smoking [,]. However, there are limited data about the prevalence of metabolic syndrome and the metabolic profile association between metabolic syndrome (MetS) and renal and cardiovascular (CV) outcomes in IgAN patients. More focus is being placed on identifying and treating the modifiable risk factors that can stop or slow down the deterioration of renal function.
Earlier cross-sectional studies have also demonstrated a link between MetS and CKD [,]. Kurella et al. conducted only one longitudinal investigation [], demonstrating a significantly increased risk of incident CKD in non-diabetic adults with MetS. However, in our study, we investigated the effects of MetS and metabolic profiles on the outcomes of IgAN. We explored metabolic syndrome components (hypertension, diabetes, obesity, dyslipidemia, hyperuricemia) separately and whether they have an impact on renal and CV outcomes.
2. Materials and Methods
We included 145 renal biopsy-proven IgAN patients in our follow-up study to our earlier 2013 investigation, and we analyzed their data prospectively (Figure 1A,B). The study procedure was approved by the University of Pécs Regional Research Ethics Committee, and all participants provided written consent for its completion.

Figure 1.
A flow chart of recruited patients (A), and a flow chart of the present study’s process (B).
The inclusion criteria for this study were confirmed IgAN and being over the age of 18. The exclusion criteria were previous or current immunosuppressive treatment (due to the modifying effects of the metabolic components) and severe comorbidities (such as malignancies that required active treatment or acute infection).
Metabolic syndrome (MetS) was defined as the NCEP ATP III (National Cholesterol Education Program Adult Treatment Panel III) criterion, which necessitates any three of the following five criteria: waist circumference (>102 cm in males, >90 cm in females) or BMI > 27 kg/m2, fasting glucose ≥ 5.6 mmol/L, triglyceride ≥ 1.7 mmol/L, HDL cholesterol <1.0 mmol/L in males and <1.3 in females, and systolic/diastolic blood pressure >130/85 mmHg.
An echocardiography examination was performed at the beginning of patient enrollment, and information about classic CV risk factors such as smoking, lipid abnormalities, obesity, diabetes, hypertension, and antihypertensive medications (ACEI/ARB, BB, and CCB) was also recorded. The obesity inclusion criterion was a BMI over 27 kg/m2. The CKD-EPI formula was used to estimate renal function (eGFR, mL/min, 1.73 m2). A 24 h blood pressure monitor was used, provided by ABPM (Meditech, Budapest, Hungary) devices, to determine the patient’s 24 h average systolic and diastolic blood pressure, pulse pressure, and diurnal index. At the start of the study, arterial stiffness and pulse wave velocity (PWV) were measured by a SphygmoCor System (AtCor Medical, Sydney, Australia). During these visits, medical events that had occurred since the previous visit were recorded, the patient’s physical status was examined, and detailed laboratory tests were performed. Blood pressure values were determined from the average of three measurements taken after 10 min of rest. Serum parameters were determined by implementing routine, standardized laboratory methods.
2.1. Endpoint Definition
The primary composite endpoints were all-cause mortality and any CV event, such as stroke, myocardial infarction, or revascularization. Secondary cardiovascular (CV) endpoints were any CV event, such as stroke, myocardial infarction, or any revascularization. Secondary renal endpoints were reaching end-stage renal disease and starting renal replacement therapy. We collected these data prospectively.
2.2. Statistical Analysis
Statistical analyses were performed using SPSS 21.0 software (SPSS, Inc., Chicago, IL, USA). A comparison of clinical and laboratory parameters was made using Student’s t-test and ANOVA, as appropriate. The mean SD was used to express data from a normal distribution. Correlations between continuous variables were evaluated with linear regression using the Pearson test, and for categorical variables, the Spearman correlation test was used. The survival rates of the two groups were examined by using the Mantel-Cox log-rank test. The effect of metabolic syndrome components on survival was evaluated by using Cox regression analysis. Values of p < 0.05 were considered statistically significant.
3. Results
This study included 145 patients, but 20 patients were excluded: 10 patients due to immunosuppressive therapy, 9 patients lost before follow-up, and 1 patient who withdrew informed consent; so, in total, 125 patients’ data were investigated. The average age was 53.0 ± 12.7 years, and 92 were male. The median follow-up time was 190 ± 170 months. Patients were divided into two groups based on MetS presence or absence. Baseline clinical data are shown in Table 1. There were significant differences between the two groups in systolic blood pressure, pulse pressure, systolic diurnal rhythm, diastolic dysfunction, BMI, pre-diabetes (impaired fasting glucose: IFG; impaired glucose tolerance: IGT), eGFR, PWV, HDL cholesterol, TG, and uric acid, but not in age or gender. The distribution of metabolic parameters in the MetS presence and MetS absence groups is summarized in Table 2.

Table 1.
Baseline clinical data of IgAN patients.

Table 2.
Distribution of metabolic parameters in MetS − and MetS + groups.
Primary combined endpoint and secondary renal and CV endpoint event rates are presented in Table 3 in cases of the presence of MetS components and MetS combined with PWV.

Table 3.
Primary combined endpoint and secondary renal and CV endpoint event rates.
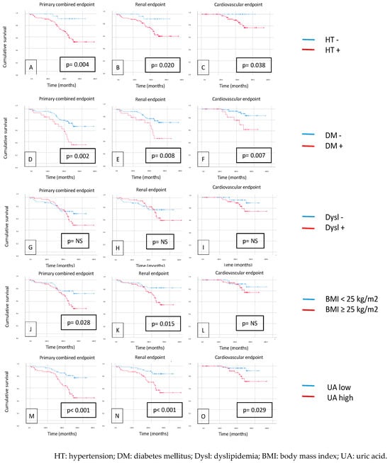
When we investigated MetS components (HT, DM, BMI, dyslipidemia), the K-M curves showed significantly worse survival in cases of hypertension (primary endpoint: p = 0.004, secondary renal endpoint: p = 0.020, secondary CV endpoint: p = 0.0038), diabetes mellitus (p = 0.002, p = 0.008, p = 0.007), and a higher BMI (cut-off 25 kg/m2) (p = 0.028, p = 0.015, p = NS) in both primary and secondary endpoints. Surprisingly, there was a non-significant difference in the primary and secondary outcomes in the case of dyslipidemia, but we found significant differences in the case of hyperuricemia (cut-off 360 µmol/L) (p < 0.001, p < 0.001, p = 0.029) (see Figure 2).

Figure 2.
The Kaplan–Meier curves demonstrate the following primary endpoints: primary combined (A), renal (B), and cardiovascular (C) endpoints in patients with or without hypertension; primary combined (D), renal (E), and cardiovascular (F) endpoints in patients with diabetes; primary combined (G), renal (H), and cardiovascular (I) endpoints in patients with dyslipidemia; primary combined (J), renal (K), and cardiovascular (L) endpoints in patients with a BMI of 25 kg/m2; primary combined (M), renal (N), and cardiovascular (O) endpoints in patients with and without hyperuricemia.
There were significant differences in survival on the K-M curves in the case of the primary combined endpoint (p < 0.001) and the secondary renal (p = 0.001) and cardiovascular endpoints (p = 0.001) when we compared the IgAN patients with and without MetS (Figure 3).

Figure 3.
Kaplan–Meier curves show primary combined (A), renal (B), and cardiovascular (C) endpoints in cases of patients with and without metabolic syndrome.
There was a significant difference in survival only in the primary endpoint when we compared the patients with MetS components (0 vs. 1. vs. 2+); the secondary endpoints were not significantly different (p = 0.028) (Figure 4).

Figure 4.
Assuming metabolic syndrome components are detected, the Kaplan–Meier curves show the primary combined (A), renal (B), and cardiovascular (C) outcomes (0 vs. 1 vs. 2+).
When we combined arterial stiffness, PWV (<10 m/s vs. ≥10 m/s), and MetS presence or absence in the survival examination, there was a significant difference between the low-PWV group without MetS compared to the high-PWV group with MetS. All endpoints, the primary combined endpoint (p = 0.001) and both secondary endpoints (renal and cardiovascular) (p = 0.008; p = 0.005), were significant (Figure 5).

Figure 5.
Kaplan–Meier curves show primary combined (A), renal (B), and cardiovascular (C) endpoints in cases of low or high PWV (<10 m/s vs. ≥10 m/s) and metabolic syndrome presence or absence (Met sy − vs. Met sy +).
Multivariate analyses were performed on the clinical data, metabolic parameters, echocardiographic parameters, and laboratory results. The significant factors in the competitive risk model were gender (OR = 4.333, p = 0.001), age (OR = 2.906, p = 0.026), dyslipidemia (OR = 3.474, p = 0.034), hypertension (OR = 5.806, p = 0.018), diabetes (OR = 1.912, p = 0.011), BMI (OR = 2.205, p = 0.021), eGFR (OR = 3.187, p = 0.021), hemoglobin (OR = 2.237, p = 0.029), albuminuria (OR = 2.568, p = 0.013), and uric acid level (OR = 1.837, p = 0.021) (Table 4).

Table 4.
Multivariate analyses on clinical data, metabolic parameters, echocardiographic parameters, and laboratory results in competitive risk model.
The primary endpoint independent predictors of survival were dyslipidemia, eGFR, hemoglobin, urine albuminuria, and diabetes mellitus, as determined by using Cox regression analysis. The secondary renal endpoint independent predictors were dyslipidemia, hemoglobin, urine albuminuria, and eGFR. The secondary cardiovascular endpoint predictors were gender, BMI, and diabetes (Table 5).

Table 5.
Cox regression for primary and secondary renal and cardiovascular endpoints.
Cox regression analysis adjusted for MetS components showed that the primary endpoint and the secondary renal endpoint independent predictors were uric acid and diabetes (Table 6).

Table 6.
Cox proportional hazard ratios of the metabolic syndrome parameters for the primary and secondary endpoints (adjusted for metabolic syndrome components).
4. Discussion
In the present study, we demonstrated that metabolic syndrome and its components, especially hypertension, diabetes, obesity, and hyperuricemia, were significantly associated with the primary combined endpoint (renal plus CV) and the secondary renal and cardiovascular outcomes, but dyslipidemia was not, in a relatively small number of patients, which are counterbalanced by the long follow-up. Due to the variability in serum lipids, one measurement had no impact on CV or renal endpoints. MetS development with increased pulse wave velocity (PWV) showed a worse renal and CV prognosis.
Survival curves stratified by MetS status (at least three factors from the above-mentioned ones) showed significant differences in the association with the various endpoints in a longer follow-up.
The key objective of the MetS diagnosis criteria was to identify the population most at risk of developing cardiovascular diseases [,]. In today’s world, it is undeniable that individuals with MetS have a markedly increased risk of developing both CVD and CKD [,,,,]. The majority of the observational studies covered in these articles discovered a strong correlation between MetS and CKD. Nevertheless, as most of the research was cross-sectional, it was unable to identify whether MetS is linked to long-term changes in renal function or to demonstrate a cause-and-effect relationship between the decline in kidney function and MetS.
In our earlier research, we found a strong correlation between MetS and the progressive loss of kidney function, except for ESKD, which may have an impact on the progression of the earliest stages of IgAN []. The present data support these observations, and not only the renal endpoints but also the CV endpoints are affected by the presence of MetS in IgAN.
Lee et al. found that MetS had an impact on CKD progression only in early-stage CKD patients in their short follow-up (average 10.6 months) study []. The short follow-up may be the reason that the impact of MetS was not observed among late-stage and diabetic CKD patients. In the present study, we had more than ten times longer follow-up, clearly demonstrating the effect of MetS on the primary combined (CV plus renal) and secondary renal endpoints, despite the lower number of cases.
The other important difference was that the proportion of diabetic patients was higher (in Lee et al.’s study, 53% vs. 24%), and our patients were homogenous for CKD.
The two main causes of CKD worldwide, diabetes and hypertension, are among the elements of MetS that have been extensively studied and reported. Regarding the connection between diabetes and IgAN, Fliser et al. [] reported that patients with IgAN or ADPKD who have incipient chronic renal disease already exhibit insulin resistance and hyperinsulinemia. These early changes may be worsened by other MetS factors.
At the start of the patient follow-up in our current investigation, 30 patients, or 24% of the total, had diabetes mellitus (see Table 1), which is nearly double the prevalence of DM in the whole population. It is recognized that in patients with diabetes, IgAN may also be the only renal abnormality or that it may superimpose on diabetic nephropathy. Because IgA1 immune complexes or aggregates can be more easily deposited in diabetic patients’ glomeruli due to metabolic changes, intraglomerular hypertension, and hyperfiltration, the relationship between IgAN and diabetes may not be a coincidence. Moreover, type 2 diabetes is frequently associated with malformations of the IgA immune system [].
Common in CKD patients, hypertension is a predictor of cardiovascular morbidity and mortality, the same as it is in the general population. A U-shaped relationship has been shown between blood pressure and mortality. Early mortality is predicted not only by high blood pressure but also by low mean systolic and diastolic blood pressure []. The progression of IgAN is more severe when hypertension is present []. It was therefore not surprising that among the MetS parameters examined in our investigation, hypertension had the highest impact on the prognosis of IgAN, consistent with our previous recommendation that IgAN patients require strict blood pressure control [].
Numerous epidemiological studies have linked obesity to an increased risk of developing CKD and ESKD [,,]. Regardless of the existence of diabetes or hypertension, obesity, as measured by an elevated BMI, was linked to ESKD and reduced renal function in the populations under investigation. Losing weight slows the advancement of chronic kidney disease []. Obesity was found to be a predictive factor for both the development of ESKD and hypertension in IgAN patients. Obese patients also exhibit glomerular enlargement and ultrastructural modification of the glomerular basement membrane, which are well-documented phenomena [,,]. The present study and our former observation are also able to confirm this [].
Observational studies and meta-analyses have shown dyslipidemia, namely, atherogenic dyslipidemia (high triglyceride and low HDL cholesterol), to be an independent risk factor for the onset and course of chronic kidney disease (CKD) [,]. Dyslipidemia was an important, significant factor according to Cox regression analysis in the primary combined endpoints and secondary renal endpoints (see Table 3). The lower number of secondary CV endpoints may explain the non-significant connection between secondary CV endpoints and dyslipidemia.
Moreover, the progressive deterioration of renal function may increase oxidative stress and inflammation, which may trigger several metabolic changes, including hypertriglyceridemia, diabetes, and insulin resistance. These changes have the potential to create vicious cycles. In the study of Syrjänen et al. [], elevated triglyceride levels were associated with progressive IgAN. Our long-term follow-up also supports these findings (see Table 3).
According to recent epidemiologic and experimental data, hyperuricemia may play a part in IgAN as well as serving as a risk factor for the onset and progression of renal illness and a marker of decreased kidney function [,].
In addition to being linked to renal tissue inflammation in patients with IgAN, serum uric acid may also have another role in the development of tubulointerstitial lesions []. In the Jerusalem Lipid Research Clinic cohort trial, serum uric acid was a long-term predictor of acute kidney injury and CKD. This was not dependent on GFR [], based on a follow-up of 2449 patients. Our results were very similar in a homogenous but lower number of patient groups with long follow-ups.
Previous meta-analyses have indicated that individuals with MetS have a higher chance of developing chronic kidney disease (CKD), as evidenced by albuminuria or proteinuria [] and a reduction in eGFR [,]. The results of previous research that examined the role of MetS and its components in the risk of developing renal disease in addition to incident CKD are inconsistent. The significant role that MetS plays in the evolution of CKD was highlighted by a large prospective cohort study conducted across the United States. This demonstrated that people with MetS had a two-fold increased risk of developing ESKD compared to people without the condition [].
On the other hand, an African American study’s secondary analysis showed that MetS is not directly linked to the advancement of CKD. The relationship between it and CKD acceleration is complicated by other variables [].
Li et al.’s meta-analysis provided evidence for a strong correlation between MetS and the acceleration of renal failure, indicating that MetS may be a separate predictor of disease progression from acute CKD []. In both industrialized and developing nations, diabetes and hypertension are the main causes of both CKD and ESKD []. However, their study indicated that the risk was highest for increased blood pressure and lowest for IFG. Similar results were observed among our IgAN patients (see Table 5). A few investigations have confirmed the link between increased blood pressure and renal insufficiency [,]. The present study’s risk estimate is consistent with earlier meta-analyses [], which found a positive correlation between high blood pressure and poor kidney function, with an odds ratio (RR) of 1.37 (1.29–1.46).
Conversely, prior research examining the correlation between glycemic status and renal disease has produced contradictory results. According to a recent meta-analysis, the risk of CKD was found to be slightly enhanced by pre-diabetes (RR = 1.11, 95% CI 1.02–1.21), which includes IFG (IGT), and elevated glycated hemoglobin A1c []. In the non-diabetic group, IFG was not causally linked to the development of CKD, according to a Mendelian randomization study []. This difference may be due to the unique characteristics of the study participants. Individuals with diabetes at baseline or during follow-up may have been included in studies addressing IFG as part of MetS, whereas individuals with IGT may not have been included. Therefore, depending on different glycemic exposures, the link between IFG and renal impairment may change. Therefore, it is important to consider MetS when interpreting the risk estimations. IFG is not usually reported by itself; rather, it is thought to be the outcome of intricate interactions between several MetS components [], especially in individuals with chronic kidney disease (CKD) who are more likely to have prior cardiovascular disease, diabetes, hypertension, and abnormal lipid metabolism [,]. This may also explain the inconsistency in our results.
In an individual-level meta-analysis of 5.5 million people in 39 general population cohorts, BMI values of 30, 35, and 40 kg/m2 were associated with an elevated risk of eGFR drop ≥40% by 18%, 69%, and 102%, respectively []. When comparing patients with and without baseline CKD, the relationship was quite similar.
Studies on dyslipidemia and renal dysfunction have looked at different phases of chronic kidney disease. A cohort study found that among individuals without chronic kidney disease (CKD), increased TG was a risk factor contributing to the observed link between MetS and deterioration in renal function []. The data from a different investigation revealed that while high TG levels had no or inverse relationships with time to end-stage renal disease (ESKD) in CKD stages 4–5, they were linked to a higher incidence of CKD and a faster deterioration in renal function in non-CKD and CKD stage 3 []. In a different study, there was also no significant link found between TG and HDL cholesterol levels and the development of renal replacement therapy and rapid renal progression in CKD stages 3–5 [].
The consequences of hyperlipidemia in patients with advanced chronic kidney disease (CKD), especially those with end-stage renal disease (ESKD), may be obscured by the presence of more potent conventional CVD risk factors.
Our results allow nephrologists to concentrate on the initial phases of chronic kidney disease (CKD), perhaps resulting in the early implementation of therapies for metabolic disorders, like dietary changes or medication. Furthermore, prior research has shown that the distribution of fat, namely, the amount in the abdomen rather than overall obesity, is a significant factor in poor renal outcomes []. However, the current study did not perform a subgroup analysis based on fat distribution. There was a significantly higher abdominal circumference in males (p = 0.030) and females (p = 0.023) in the MetS group compared to the non-MetS group.
Lin et al. demonstrated that blood pressure is the most important component of MetS for renal outcomes in CKD 1–4 stage patients. The MetS group had a higher risk for renal outcomes and all-cause mortality (HR: 1.62 and 1.43) [], and our results also confirm this (see Table 4).
We demonstrated in our previous study that arterial stiffness had predictive value for renal and CV prognosis in autosomal polycystic kidney disease [], and the etiology of the kidney disease did not similarly alter the vascular function of different CKD groups. Blood pressure was an independent risk factor for PWV []. Arterial stiffness was associated with GFR and left ventricular hypertrophy (LVH) in IgAN []. In this study, we could demonstrate that if we combined MetS with an arterial stiffness parameter (PWV), the renal and cardiovascular risk prediction would be more pronounced. Vascular stiffness measurements could help nephrologists with further risk assessment.
In our other earlier study, we found an association between LVH and eGFR in IgAN. There was a strong correlation between the left ventricular mass index (LVMI) and renal function in a homogenous immunocomplex-mediated CKD population of IgAN patients. An independent predictor of the LVMI was the initial stage of renal function. Renal composite endpoints and CV were higher when the LVMI was higher. An independent predictor of ESKD and CV events may be a higher LVMI. An increased LVMI should draw attention to CKD patients who require closer monitoring, referral for additional CV testing, and maximal renal and heart protection since they have a higher risk of cardiovascular and renal disease at an early stage of the disease (II–IV) []. In our current study, there was no significant difference in the LVMI between the MetS and non-MetS groups.
5. Limitations of this Study
Firstly, this study has a relatively small sample size and a small endpoint event rate, but this is a medium-term follow-up study conducted at a single center. Secondly, this cohort provides the basis for the cut-off value and the single baseline measurement. It might not be suitable for other racial and ethnic groups as a result. Thirdly, residual confounding effects from lifting style, drugs that alter CV risk, and comorbidity might introduce bias into prospective analyses. For this reason, larger sample sizes and more prospective research are required. Fourth, there were more men than women in this study, which could have influenced the findings.
6. Conclusions
In conclusion, our study proved that despite the lower number of cases, but longer prospective follow-up, the importance of metabolic changes at the start of IgAN have an important impact on the outcome. Therefore, risk stratification of IgAN patients is very helpful in identifying high-risk individuals, especially when the metabolic profile is combined with an increased arterial stiffness evaluation for additional risk. Further, multicenter, randomized clinical trials with a large number of patients are warranted to confirm our results.
Our results also confirm that complex metabolic risk reduction therapy is necessary in all IgAN patients, especially in high-risk groups, which contains ACEI/ARB, statins, uric acid-lowering agents in cases of lower GFR (<60 mL/min) and proteinuria, as well as today’s SGLT-2-inhibitors [,].
Author Contributions
B.S.: conceived and designed the study, collected the clinical data, and drafted and approved the manuscript. B.C.: identified the study plot and contributed to the interpretation and drafting approval of the manuscript. T.V.: identified the study plot, identified the classification of biopsies, performed statistical analyses, and reviewed and approved the manuscript. J.N.: drafted an application to the committee of ethics, organized the database, and reviewed and approved the manuscript. T.J.K.: revised the manuscript. All authors have read and agreed to the published version of the manuscript.
Funding
This research received no external funding.
Institutional Review Board Statement
This study was approved by the University of Pécs Clinical Center Regional Research Ethical Committee (Reference No. 3170/2008). Informed consent was obtained from all subjects involved in this study. This study was conducted according to the Declaration of Helsinki.
Informed Consent Statement
Not applicable.
Data Availability Statement
The data underlying this article cannot be shared publicly due to Hungarian regulations and the privacy of individuals who participated in this study. The data could be shared upon reasonable request to the corresponding author if accepted by the Regional Committee for Medical and Health Research Ethics and local data protection officials.
Acknowledgments
The authors give special thanks to Ilona Varga Sámikné for their help with data collection.
Conflicts of Interest
The authors declare no conflicts of interest.
Abbreviations
ACEI/ARB | angiotensin-converting enzyme inhibitor/angiotensin receptor blocker |
ADPKD | autosomal dominant polycystic kidney disease |
AU | albuminuria |
BB | beta blocker |
BMI | body mass index |
BP | blood pressure |
CAD | coronary artery disease |
CCB | calcium channel blocker |
CKD | chronic kidney disease |
COPD | chronic pulmonary obstructive disease |
CV | cardiovascular |
CVD | cardiovascular disease |
DD | diastolic dysfunction |
DM | diabetes mellitus |
E/A | early and late mitral inflow |
eGFR | estimated glomerular filtration rate |
ESKD | end-stage kidney disease |
Hb | hemoglobin |
HDL | high-density lipoprotein |
HT | hypertension |
IFG | impaired fasting glucose |
IgAN | immunoglobulin-A nephropathy |
IGT | impaired glucose tolerance |
LVEF | left ventricle ejection fraction |
LVEDD | left ventricular end-diastolic diameter |
LVH | left ventricular hypertrophy |
LVMI | left ventricular mass index |
MetS | metabolic syndrome |
NCEP | ATP III National Cholesterol Education Program Adult Treatment Panel III |
cfPWV | carotid–femoral pulse wave velocity |
SGLT-2-inhibitor | sodium–glucose transporter-2-inhibitor |
TG | triglyceride |
UA | uric acid |
References
- Jha, V.; Garcia-Garcia, G.; Iseki, K.; Li, Z.; Naicker, S.; Plattner, B.; Saran, R.; Wang, A.Y.; Yang, C.W. Chronic kidney disease: Global dimension and perspectives. Lancet 2013, 382, 260–272. [Google Scholar] [CrossRef]
- Gansevoort, R.T.; Correa-Rotter, R.; Hemmelgarn, B.R.; Jafar, T.H.; Heerspink, H.J.; Mann, J.F.; Matsushita, K.; Wen, C.P. Chronic kidney disease and cardiovascular risk: Epidemiology, mechanisms, and prevention. Lancet 2013, 382, 339–352. [Google Scholar] [CrossRef]
- Canney, M.; Gunning, H.M.; Zheng, Y.; Rose, C.; Jauhal, A.; Hur, S.A.; Sahota, A.; Reich, H.N.; Barbour, S.J. Risk of Cardiovascular Events in Individuals with Primary Glomerular Diseases. Am. J. Kidney Dis. 2022, 80, 740–750. [Google Scholar] [CrossRef]
- Ortiz, A.; Wanner, C.; Gansevoort, R. Chronic kidney disease as cardiovascular risk factor in routine clinical practice: A position statement by the Council of the European Renal Association. Eur. J. Prev. Cardiol. 2022, 29, 2211–2215. [Google Scholar] [CrossRef]
- Kwon, C.S.; Daniele, P.; Forsythe, A.; Ngai, C. A Systematic Literature Review of the Epidemiology, Health-Related Quality of Life Impact, and Economic Burden of Immunoglobulin A Nephropathy. J. Health Econ. Outcomes Res. 2021, 8, 36–45. [Google Scholar] [CrossRef]
- Schena, F.P.; Pesce, F. Epidemiology and ancestral difference. In Recent Advances in IgA Nephropathy; Lai, K.N., Ed.; World Scientific Publishing Co.: Hackensack, NJ, USA, 2009; pp. 9–20. [Google Scholar]
- Berthoux, C.B.; Mohey, H. Clinical course of primary IgA nephropathy. In Recent Advances in IgA Nephropathy; Lai, K.N., Ed.; World Scientific Publishing Co.: Hackensack, NJ, USA, 2009; pp. 107–120. [Google Scholar]
- Floege, J.; Feehally, J. IgA nephropathy: Recent developments. J. Am. Soc. Nephrol. 2000, 11, 2395–2403. [Google Scholar] [CrossRef]
- Barrat, J.; Feehally, J. IgA nephropathy. J. Am. Soc. Nephrol. 2005, 16, 2088–2097. [Google Scholar] [CrossRef]
- Bonnet, F.; Deprele, C.; Sassolas, A.; Moulin, P.; Berthezène, F.; Berthoux, F. Excessive body weight as a new independent risk factor for clinical and pathological progression in primary IgA nephritis. Am. J. Kidney Dis. 2001, 37, 720–727. [Google Scholar] [CrossRef]
- Lee, C.-C.; Sun, C.; Wu, I.-W.; Wang, S.-Y.; Wu, M.-S. Metabolic syndrome loses its predictive power in late-stage chronic kidney disease progression—A paradoxical phenomenon. Clin. Nephrol. 2011, 75, 141–149. [Google Scholar] [CrossRef]
- Wang, Y.; Sun, B.; Sheng, L.T.; Pan, X.F.; Zhou, Y.; Zhu, J.; Li, X.; Yang, K.; Guo, K.; Zhang, X.; et al. Association between weight status, metabolic syndrome, and chronic kidney disease among middle-aged and elderly Chinese. Nutr. Metab. Cardiovasc. Dis. 2020, 30, 2017–2026. [Google Scholar] [CrossRef]
- Li, Y.; Xie, D.; Qin, X.; Tang, G.; Xing, H.; Li, Z.; Xu, X.; Xu, X.; Hou, F. Metabolic syndrome, but not insulin resistance, is associated with an increased risk of renal function decline. Clin. Nutr. 2015, 34, 269–275. [Google Scholar] [CrossRef]
- Thomas, G.; Sehgal, A.R.; Kashyap, S.R.; Srinivas, T.R.; Kirwan, J.P.; Navaneethan, S.D. Metabolic Syndrome and Kidney Disease: A Systematic Review and Meta-analysis. Clin. J. Am. Soc. Nephrol. 2011, 6, 2364–2373. [Google Scholar] [CrossRef]
- Rashidbeygi, E.; Safabakhsh, M.; Aghdam, S.D.; Mohammed, S.H.; Alizadeh, S. Metabolic syndrome and its components are related to a higher risk for albuminuria and proteinuria: Evidence from a meta-analysis on 10,603,067 subjects from 57 studies. Diabetes Metab. Syndr. Clin. Res. Rev. 2019, 13, 830–843. [Google Scholar] [CrossRef]
- Syrjänen, J.; Mustonen, J.; Pasternack, A. Hypertriglyceridaemia and hyperuricemia are risk factors for progression of IgA nephropathy. Nephrol. Dial. Transplant. 2000, 15, 34–42. [Google Scholar] [CrossRef]
- Yamamoto, R.; Nagasawa, Y.; Shoji, T.; Iwatani, H.; Hamano, T.; Kawada, N.; Inoue, K.; Uehata, T.; Kaneko, T.; Okada, N.; et al. Cigarette smoking and progression of IgA nephropathy. Am. J. Kidney Dis. 2010, 56, 313–324. [Google Scholar] [CrossRef]
- Lakka, H.-M.; Laaksonen, D.E.; Lakka, T.A.; Niskanen, L.K.; Kumpusalo, E.; Tuomilehto, J.; Salonen, J.T. The metabolic syndrome and total and cardiovascular disease mortality in middle-aged men. JAMA 2002, 288, 2709–2716. [Google Scholar] [CrossRef]
- Chen, J.; Muntner, P.; Hamm, L.L.; Jones, D.W.; Batuman, V.; Fonseca, V.; Whelton, P.K.; He, J. The metabolic syndrome and chronic kidney disease in US adults. Ann. Intern. Med. 2004, 140, 167–174. [Google Scholar] [CrossRef]
- Kurella, M.; Lo, J.C.; Chertow, G.M. Metabolic syndrome and the risk for chronic kidney disease among nondiabetic adults. J. Am. Soc. Nephrol. 2005, 16, 2134–2140. [Google Scholar] [CrossRef]
- Grundy, S.M.; Cleeman, J.I.; Daniels, S.R.; Donato, K.A.; Eckel, R.H.; Franklin, B.A.; Gordon, D.J.; Krauss, R.M.; Savage, P.J.; Smith, S.C., Jr.; et al. Diagnosis and management of the metabolic syndrome: American Heart Association/National Heart, Lung, and Blood Institute scientific statement. Circulation 2005, 112, 2735–2752. [Google Scholar] [CrossRef]
- Reaven, G. Metabolic syndrome: Pathophysiology and implications for management of cardiovascular disease. Circulation 2002, 106, 286–292. [Google Scholar] [CrossRef]
- Kovács, T.; Vas, T.; Kovesdy, C.P.; Késõi, I.; Sági, B.; Wittmann, I.; Nagy, J. Metabolic syndrome and other cardiovascular risk factors associated with the progression of IgA nephropathy. Clin. Kidney J. 2013, 6, 395–401. [Google Scholar] [CrossRef]
- Lastra, G.; Manrique, C.; McFarlane, S.I.; Sowers, J.R. Cardiometabolic syndrome and chronic kidney disease. Curr. Diabetes Rep. 2006, 6, 207–212. [Google Scholar] [CrossRef]
- Natali, A.; Pucci, G.; Boldrini, B.; Schillaci, G. Metabolic syndrome: At the crossroads of cardiorenal risk. J. Nephrol. 2009, 22, 29–38. [Google Scholar]
- Zoccali, C. Overweight, obesity and metabolic alterations in chronic kidney disease. Contrib. Soc. Biol. Med. Sci. MASA 2009, 30, 17–31. [Google Scholar]
- Fliser, D.; Pacini, G.; Engelleiter, R.; Kautzky-Willer, A.; Prager, R.; Franek, E.; Ritz, E. Insulin resistance and hyperinsulinemia are already present in patients with incipient renal disease. Kidney Int. 1998, 53, 1343–1347. [Google Scholar] [CrossRef]
- Ștefan, G.; Zugravu, A.; Stancu, S. Mortality in IgA Nephropathy: A Long-Term Follow-Up of an Eastern European Cohort. Medicina 2024, 60, 247. [Google Scholar] [CrossRef]
- Nagy, J.; Kovacs, T. Special clinical syndromes. In Recent Advances in IgA Nephropathy; Lai, K.N., Ed.; World Scientific Publishing Co.: Hackensack, NJ, USA, 2009; pp. 121–138. [Google Scholar]
- Kovesdy, C.P.; Trivedi, B.K.; Kalantar-Zadeh, K.; Anderson, J.E. Association of low blood pressure with increased mortality in patients with moderate to severe chronic kidney disease. Nephrol. Dial. Transplant. 2006, 21, 1257–1262. [Google Scholar] [CrossRef]
- Nagy, J.; Kovács, T.; Wittmann, I. Renal protection in IgA nephropathy requires strict blood pressure control. Nephrol. Dial. Transplant. 2005, 20, 1533–1539. [Google Scholar] [CrossRef][Green Version]
- Kwan, B.C.H.; Murtaugh, M.A.; Beddhu, S. Associations of body size with metabolic syndrome and mortality in moderate chronic kidney disease. Clin. J. Am. Nephrol. 2007, 2, 992–998. [Google Scholar] [CrossRef]
- Kopple, J.D.; Feroze, U. The effect of obesity on chronic kidney disease. J. Ren. Nutr. 2011, 21, 66–71. [Google Scholar] [CrossRef]
- Hsu, C.-Y.; McCulloch, C.E.; Iribarren, C.; Darbinian, J.; Go, A.S. Body mass index and risk for end-stage renal disease. Ann. Intern. Med. 2006, 144, 21–28. [Google Scholar] [CrossRef]
- Madero, M.; Sarnak, M.J.; Wang, X.; Sceppa, C.C.; Greene, T.; Beck, G.J.; Kusek, J.W.; Collins, A.J.; Levey, A.S.; Menon, V. Body mass index and mortality in CKD. Am. J. Kidney Dis. 2007, 3, 404–411. [Google Scholar] [CrossRef]
- Tanaka, M.; Yamada, S.; Iwasaki, Y.; Sugishita, T.; Yonemoto, S.; Tsukamoto, T.; Fukui, S.; Takasu, K.; Muso, E. Impact of obesity on IgA nephropathy: Comparative ultrastructural study between obese and non-obese patients. Nephron Clin. Pract. 2009, 112, 71–78. [Google Scholar] [CrossRef]
- Shimamoto, M.; Ohsawa, I.; Suzuki, H.; Hisada, A.; Nagamachi, S.; Honda, D.; Inoshita, H.; Shimizu, Y.; Horikoshi, S.; Tomino, Y. Impact of Body Mass Index on Progression of IgA Nephropathy Among Japanese Patients. J. Clin. Lab. Anal. 2015, 29, 353–360. [Google Scholar] [CrossRef]
- Muntner, P.; Coresh, J.; Smith, J.C.; Eckfeldt, J.; Klag, M.J. Plasma lipids and risk of developing renal dysfunction: The atherosclerosis risk in community study. Kidney Int. 2000, 58, 293–301. [Google Scholar] [CrossRef]
- Fried, F.; Orchard, T.J.; Kasiske, B.L. Effect of lipid reduction on the progression of renal disease: A meta-analysis. Kidney Int. 2001, 59, 260–269. [Google Scholar] [CrossRef]
- Feig, I.D. Uric acid: A novel mediator and marker of risk in chronic kidney disease. Curr. Opin. Nephrol. Hypertens. 2009, 18, 526–530. [Google Scholar] [CrossRef]
- Obermayr, R.P.; Temml, C.; Gutjahr, G.; Knechtelsdorfer, M.; Oberbauer, R.; Klauser-Braun, R. Elevated uric acid increases the risk for kidney disease. J. Am. Soc. Nephrol. 2008, 19, 2407–2413. [Google Scholar] [CrossRef]
- Myllymäki, J.; Honkanen, T.; Syrjänen, J.; Helin, H.; Rantala, I.; Pasternack, A.; Mustonen, J. Uric acid correlates with the severity of histopathological parameters in IgA nephropathy. Nephrol. Dial. Transplant. 2005, 20, 89–95. [Google Scholar] [CrossRef]
- Ben-Dov, I.Z.; Kark, J.D. Serum uric acid is a GFR-independent long-term predictor of acute and chronic renal insufficiency: The Jerusalem Lipid Research Clinic cohort study. Nephrol. Dial. Transplant. 2011, 26, 2558–2566. [Google Scholar] [CrossRef]
- Alizadeh, S.; Ahmadi, M.; Nejad, B.G.; Djazayeri, A.; Shab-Bidar, S. Metabolic syndrome and its components are associated with increased chronic kidney disease risk: Evidence from a meta-analysis on 11 109 003 participants from 66 studies. Int. J. Clin. Pract. 2018, 72, e13201. [Google Scholar] [CrossRef]
- Panwar, B.; Hanks, L.J.; Tanner, R.M.; Muntner, P.; Kramer, H.; McClellan, W.M.; Warnock, D.G.; Judd, S.E.; Gutiérrez, O.M. Obesity, metabolic health, and the risk of end-stage renal disease. Kidney Int. 2015, 87, 1216–1222. [Google Scholar] [CrossRef]
- Lea, J.; Cheek, D.; Thornley-Brown, D.; Appel, L.; Agodoa, L.; Contreras, G.; Gassman, J.; Lash, J.; Miller, E.R., 3rd; Randall, O.; et al. Metabolic Syndrome, Proteinuria, and the Risk of Progressive CKD in Hypertensive African Americans. Am. J. Kidney Dis. 2008, 51, 732–740. [Google Scholar] [CrossRef]
- Li, X.; Liang, Q.; Zhong, J.; Gan, L.; Zuo, L. The Effect of Metabolic Syndrome and Its Individual Components on Renal Function: A Meta-Analysis. J. Clin. Med. 2023, 12, 1614. [Google Scholar] [CrossRef]
- Drawz, P.; Rahman, M. Chronic Kidney Disease. Ann. Intern. Med. 2015, 162, ITC1–ITC16. [Google Scholar] [CrossRef]
- Kim, H.W.; Park, J.T.; Joo, Y.S.; Kang, S.C.; Lee, J.Y.; Lee, S.; Chang, T.I.; Kang, E.W.; Ryu, D.-R.; Yoo, T.H. Systolic blood pressure and chronic kidney disease progression in patients with primary glomerular disease. J. Nephrol. 2021, 34, 1057–1067. [Google Scholar] [CrossRef]
- Wang, M.; Xia, M.; Yang, H.; Zhang, D.; Zhao, Y.; He, Y.; Liu, J.; Zhang, L.; Yin, C.; Bai, Y. Interaction effect of blood glucose and pressure on the risk of chronic kidney disease: A population-based prospective cohort study. Endocrine 2022, 77, 252–261. [Google Scholar] [CrossRef]
- Echouffo-Tcheugui, J.B.; Narayan, K.M.V.; Weisman, D.; Golden, S.H.; Jaar, B.G. Association between prediabetes and risk of chronic kidney disease: A systematic review and meta-analysis. Diabet. Med. 2016, 33, 1615–1624. [Google Scholar] [CrossRef]
- Kim, H.; Park, S.; Kwon, S.H.; Jeon, J.S.; Han, D.C.; Noh, H. Impaired fasting glucose and development of chronic kidney disease in non-diabetic population: A Mendelian randomization study. BMJ Open Diabetes Res. Care 2020, 8, e001395. [Google Scholar] [CrossRef]
- Swiecicka-Klama, A.; Połtyn-Zaradna, K.; Szuba, A.; Zato’nska, K. The Natural Course of Impaired Fasting Glucose. Adv. Exp. Med. Biol. 2021, 1324, 41–50. [Google Scholar]
- Barbour, S.; Er, L.; Djurdjev, O.; Karim, M.; Levin, A. The prevalence of hematologic and metabolic abnormalities during chronic kidney disease stages in different ethnic groups. Kidney Int. 2008, 74, 108–114. [Google Scholar] [CrossRef]
- Jankowski, J.; Floege, J.; Fliser, D.; Böhm, M.; Marx, N. Cardiovascular Disease in Chronic Kidney Disease: Pathophysiological Insights and Therapeutic Options. Circulation 2021, 143, 1157–1172. [Google Scholar] [CrossRef]
- Hager, M.R.; Narla, A.D.; Tannock, L.R. Dyslipidemia in patients with chronic kidney disease. Rev. Endocr. Metab. Disord. 2017, 18, 29–40. [Google Scholar] [CrossRef]
- Stefansson, V.T.; Schei, J.; Solbu, M.D.; Jenssen, T.G.; Melsom, T.; Eriksen, B.O. Metabolic syndrome but not obesity measures are risk factors for accelerated age-related glomerular filtration rate decline in the general population. Kidney Int. 2018, 93, 1183–1190. [Google Scholar] [CrossRef]
- Soohoo, M.; Hashemi, L.; Hsiung, J.-T.; Moradi, H.; Budoff, M.J.; Kovesdy, C.P.; Kalantar-Zadeh, K.; Streja, E. Association of Serum Triglycerides and Renal Outcomes among 1.6 Million US Veterans. Nephron 2022, 146, 457–468. [Google Scholar] [CrossRef]
- Rahman, M.; Yang, W.; Akkina, S.; Alper, A.; Anderson, A.H.; Appel, L.J.; He, J.; Raj, D.S.; Schelling, J.; Strauss, L.; et al. Relation of Serum Lipids and Lipoproteins with Progression of CKD: The CRIC study. Clin. J. Am. Soc. Nephrol. 2014, 9, 1190–1198. [Google Scholar] [CrossRef]
- Lin, H.Y.; Chang, L.; Niu, S.; Kuo, I.; Yen, C.; Shen, F.; Chen, P.; Chang, J.; Hung, C. High risk of renal outcome of metabolic syndrome independent of diabetes in patients with CKD stage 1-4: The ICKD database. Diabetes Metab. Res. Rev. 2023, 39, e3618. [Google Scholar] [CrossRef]
- Sági, B.; Késői, I.; Késői, B.; Vas, T.; Csiky, B.; Kovács, T.; Nagy, J. Arterial stiffness may predict renal and cardiovascular prognosis in autosomal-dominant polycystic kidney disease. Physiol. Int. 2018, 105, 145–156. [Google Scholar] [CrossRef]
- Késoi, I.; Sági, B.; Tóth, O.I.; Vas, T.; Fazekas, A.; Kovács, T.; Pintér, T.; Wittmann, I.; Nagy, J. Different effect of IgA nephropathy and polycystic kidney disease on arterial stiffness. Kidney Blood Press. Res. 2011, 34, 158–166. [Google Scholar] [CrossRef]
- Sági, B.; Késői, I.; Vas, T.; Csiky, B.; Nagy, J.; Kovács, T.J. Relationship between arterial stiffness, left ventricular diastolic function, and renal function in chronic kidney disease. BMC Nephrol. 2023, 24, 261. [Google Scholar] [CrossRef]
- Sági, B.; Késői, I.; Vas, T.; Csiky, B.; Nagy, J.; Kovács, T.J. Left ventricular myocardial mass index associated with cardiovascular and renal prognosis in IgA nephropathy. BMC Nephrol. 2022, 23, 285. [Google Scholar] [CrossRef]
- Anders, H.J.; Peired, A.J.; Romagnani, P. SGLT2 inhibition requires reconsideration of fundamental paradigms in chronic kidney disease, ‘diabetic nephropathy’, IgA nephropathy and podocytopathies with FSGS lesions. Nephrol. Dial. Transplant. 2022, 37, 1609–1615. [Google Scholar] [CrossRef]
- Caster, D.J.; Lafayette, R.A. The Treatment of Primary IgA Nephropathy: Change, Change, Change. Am. J. Kidney Dis. 2024, 83, 229–240. [Google Scholar] [CrossRef]
Disclaimer/Publisher’s Note: The statements, opinions and data contained in all publications are solely those of the individual author(s) and contributor(s) and not of MDPI and/or the editor(s). MDPI and/or the editor(s) disclaim responsibility for any injury to people or property resulting from any ideas, methods, instructions or products referred to in the content. |
© 2024 by the authors. Licensee MDPI, Basel, Switzerland. This article is an open access article distributed under the terms and conditions of the Creative Commons Attribution (CC BY) license (https://creativecommons.org/licenses/by/4.0/).