Technological and Physical–Chemical Evaluation of Cotton Gauzes Impregnated with Semisolid Preparations for Wound Healing
Abstract
1. Introduction
2. Materials and Methods
2.1. Materials
2.2. pH Measurements
2.3. Rheological Tests—Shear Tests
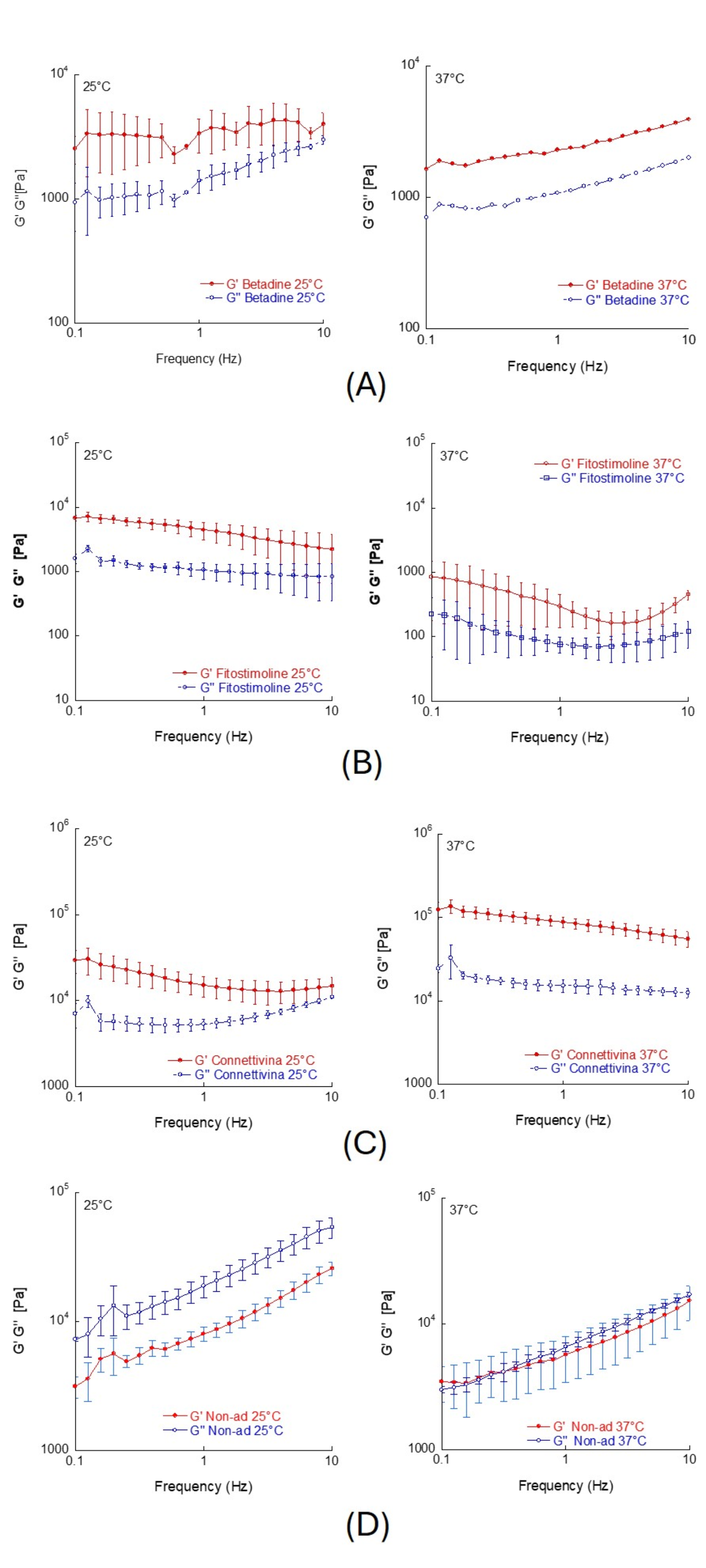
2.4. Rheological Tests—Oscillatory Tests
2.5. Adherence of Semisolid Products to the Gauze
2.6. Ex Vivo Tests
2.6.1. Tissue Preparation
2.6.2. Experimental Section
3. Results and Discussion
3.1. pH Measurements
3.2. Rheology—Shear Tests
3.3. Rheology—Oscillatory Tests
3.4. Adherence of Semisolid Product to the Gauze
3.5. Ex Vivo Experiments
4. Conclusions
Author Contributions
Funding
Institutional Review Board Statement
Informed Consent Statement
Data Availability Statement
Conflicts of Interest
References
- Falanga, V.; Isseroff, R.R.; Soulika, A.M.; Romanelli, M.; Margolis, D.; Kapp, S.; Granick, M.; Harding, K. Chronic wounds. Nat. Rev. Dis. Primers 2022, 8, 50. [Google Scholar] [CrossRef] [PubMed]
- Tottoli, E.M.; Dorati, R.; Genta, I.; Chiesa, E.; Pisani, S.; Conti, B. Skin wound healing process and new emerging technologies for skin wound care and regeneration. Pharmaceutics 2020, 12, 735. [Google Scholar] [CrossRef] [PubMed]
- Wilkinson, H.N.; Hardman, M.J. Wound healing: Cellular mechanisms and pathological outcomes. Open Biol. 2020, 10, 200223. [Google Scholar] [CrossRef]
- Gushiken, L.F.S.; Beserra, F.P.; Bastos, J.K.; Jackson, C.J.; Pellizzon, C.H. Cutaneous wound healing: An update from physiopathology to current therapies. Life 2021, 11, 665. [Google Scholar] [CrossRef]
- Kuo, S.-H.; Shen, C.-J.; Shen, C.-F.; Cheng, C.-M. Role of pH value in clinically relevant diagnosis. Diagnostics 2020, 10, 107. [Google Scholar] [CrossRef] [PubMed]
- Metcalf, D.G.; Haalboom, M.; Bowler, P.G.; Gamerith, C.; Sigl, E.; Heinzle, A.; Burnet, M.W.M. Elevated wound fluid pH correlates with increased risk of wound infection. Wound Med. 2019, 26, 100166. [Google Scholar] [CrossRef]
- Shi, C.; Wang, C.; Liu, H.; Li, Q.; Li, R.; Zhang, Y.; Liu, Y.; Shao, Y.; Wang, J. Selection of appropriate wound dressing for various wounds. Front. Bioeng. Biotechnol. 2020, 8, 182. [Google Scholar] [CrossRef]
- Sood, A.; Granick, M.S.; Tomaselli, N.L. Wound dressings and comparative effectiveness data. Adv. Wound Care 2014, 3, 511. [Google Scholar] [CrossRef] [PubMed]
- Farahani, M.; Shafiee, A. Wound Healing: From Passive to Smart Dressings. Adv. Healthc. Mater. 2021, 10, 2100477. [Google Scholar] [CrossRef]
- Nuutila, K.; Eriksson, E. Moist wound healing with commonly available dressings. Adv. Wound Care 2021, 10, 685–698. [Google Scholar] [CrossRef]
- Romano, E.; Campagnuolo, C.; Palladino, R.; Schiavo, G.; Maglione, B.; Luceri, C.; Mennini, N. Technical evaluation of a new medical device based on rigenase in the treatment of chronic skin lesions. Bioengineering 2023, 10, 1022. [Google Scholar] [CrossRef]
- Parhi, R. Recent advances in the development of semisolid dosage forms. In Pharmaceutical Drug Product Development and Process Optimization; Taylor & Francis Group: Abingdon, UK, 2020; pp. 125–189. [Google Scholar]
- Labie, H.; Blanzat, M. Hydrogels for dermal and transdermal drug delivery. Biomater. Sci. 2023, 11, 4073–4093. [Google Scholar] [CrossRef] [PubMed]
- Herbig, M.E.; Evers, D.H.; Gorissen, S.; Köllmer, M. Rational Design of Topical Semi-Solid Dosage Forms-How Far Are We? Pharmaceutics 2023, 15, 1822. [Google Scholar] [CrossRef]
- Sunil Kumar, P.; Raja Babu, P.; Jagadish Reddy, G.; Uttam, A. Povidone iodine-revisited. Indian J. Dent. Adv. 2011, 3, 617. [Google Scholar]
- De Francesco, F.; Riccio, M.; Jimi, S. Contribution of topical agents such as hyaluronic acid and silver sulfadiazine to wound healing and management of bacterial biofilm. Medicina 2022, 58, 835. [Google Scholar] [CrossRef] [PubMed]
- Antonucci, I.; Fiorentino, G.; Contursi, P.; Minale, M.; Riccio, R.; Riccio, S.; Limauro, D. Antioxidant capacity of Rigenase®, a specific aqueous extract of Triticum vulgare. Antioxidants 2018, 7, 67. [Google Scholar] [CrossRef]
- Sanguigno, L.; Minale, M.; Vannini, E.; Arato, G.; Riccio, R.; Casapullo, A.; Monti, M.C.; Riccio, R.; Formisano, S.; Di Renzo, G.; et al. Oligosaccharidic fractions derived from Triticum vulgare extract accelerate tissutal repairing processes in in vitro and in vivo models of skin lesions. J. Ethnopharmacol. 2015, 159, 198–208. [Google Scholar] [CrossRef] [PubMed]
- Campani, V.; Scotti, L.; Silvestri, T.; Biondi, M.; De Rosa, G. Skin permeation and thermodynamic features of curcumin-loaded liposomes. J. Mater. Sci. Mater. Med. 2020, 31, 18. [Google Scholar] [CrossRef] [PubMed]
- Di Lorenzo, R.; Neri, I.; Russo, G.; Laneri, S.; Grumetto, L. Tracking Down of a Selected Panel of Parabens: A Validated Method to Evaluate Their Occurrence in Skin Layers. Cosmetics 2022, 9, 102. [Google Scholar] [CrossRef]
- Gethin, G. The significance of surface pH in chronic wounds. Wounds UK 2007, 3, 52–56. [Google Scholar]
- Bennison, L.; Miller, C.; Summers, R.H.; Minnis, A.; Sussman, G.; McGuines, W.J. The pH of wounds during healing and infection: A descriptive literature review. Wound Pract. Res. J. Aust. Wound Manag. Assoc. 2017, 25, 63–69. [Google Scholar]
- Schneider, L.A.; Korber, A.; Grabbe, S.; Dissemond, J. Influence of pH on wound-healing: A new perspective for wound-therapy? Arch. Dermatol. Res. 2007, 298, 413–420. [Google Scholar] [CrossRef] [PubMed]
- Ruiz Martinez, M.A.; López-Viota Gallardo, J.; Muñoz de Benavides, M.; de Dios García López-Duran, J.; Gallardo Lara, V. Rheological behavior of gels and meloxicam release. Int. J. Pharm. 2017, 333, 17–23. [Google Scholar] [CrossRef] [PubMed]
- Islam, M.T.; Rodríguez-Hornedo, N.; Ciotti, S.; Ackermann, C. Rheological Characterization of Topical Carbomer Gels Neutralized to Different pH. Pharm. Res. 2004, 21, 1192–1199. [Google Scholar] [CrossRef] [PubMed]
- Olivieri, J.F.; Hynes, J.T.; Laage, D. Confined water’s dielectric constant reduction is due to the surrounding low dielectric media and not to interfacial molecular ordering. J. Phys. Chem. Lett. 2021, 12, 4319–4326. [Google Scholar] [CrossRef]
- Hou, R.; Quan, Y.; Pan, D. Dielectric constant of supercritical water in a large pressure–temperature range. J. Chem. Phys. 2020, 153, 101103. [Google Scholar] [CrossRef]




| Product | Composition of Semisolid Product |
|---|---|
| Betadine® 10% gauze | Povidone iodine, PEG 400, PEG 4000, PEG 6000, purified water. |
| Connettivina® Bio Plus gauze | Hyaluronic acid sodium salt, silver sulphadiazine, PEG 4000, glycerol, purified water. |
| Fitostimoline® Plus gauze | Rigenase®, polyhexanide, PEG 400, PEG 600, PEG 1500, PEG 4000, glycerin, phenoxyethanol, purified water. |
| Non-Ad® gauze | Petrolatum, liquid paraffin. |
| Fitostimoline® Plus | Connettivina® Bio Plus | Betadine® 10% | |||
|---|---|---|---|---|---|
| Aspect (10% w/v aqueous solution) | Opalescent | Aspect (10% w/v aqueous solution) | Milky | Aspect (1 gauze soaked in 10 mL of water) | Brown |
| pH (10% w/v aqueous solution) | pH (10% w/v aqueous solution) | pH (1 gauze soaked in 10 mL of water) | |||
| Mean value | Mean value | Mean value | |||
| Sample 1 | 4.46 | Sample 1 | 4.60 | Sample 1 | 2.73 |
| Sample 2 | 4.53 | Sample 2 | 4.40 | Sample 2 | 2.65 |
| Sample 3 | 4.52 | Sample 3 | 4.49 | Sample 3 | 2.65 |
| Mean value | 4.50 ± 0.03 | Mean value | 4.50 ± 0.08 | Mean value | 2.66 ± 0.04 |
| A | B | C | D | |||||
|---|---|---|---|---|---|---|---|---|
| 25 °C | 37 °C | 25 °C | 37 °C | 25 °C | 37 °C | 25 °C | 37 °C | |
| η0 [Pa∙s] | 356 | 68.3 | 1238 | 582 | 9141 | 220 | N/D | N/D |
| λ [s] | 13.3 | 4.37 | 46.1 | 9.79 | 1353 | 12.3 | N/D | N/D |
| m | 0.126 | 0.120 | 0.382 | 0.170 | 0.280 | 0.279 | N/D | N/D |
| R2 | >0.99 | >0.99 | 0.968 | 0.968 | 0.970 | 0.989 | N/D | N/D |
| Betadine® 10% Gauze | Connettivina® Bio Plus Gauze | Fitostimoline® Plus Gauze | Non-Ad® Gauze | |
|---|---|---|---|---|
| Cream weight [g] | 2.38 ± 0.04 | 2.54 ± 0.15 | 2.86 ± 0.05 | 0.96 ± 0.09 |
| Gauze weight [g] | 0.5 ± 0.01 | 0.7 ± 0.01 | 0.5 ± 0.01 | 0.8 ± 0.05 |
Disclaimer/Publisher’s Note: The statements, opinions and data contained in all publications are solely those of the individual author(s) and contributor(s) and not of MDPI and/or the editor(s). MDPI and/or the editor(s) disclaim responsibility for any injury to people or property resulting from any ideas, methods, instructions or products referred to in the content. |
© 2024 by the authors. Licensee MDPI, Basel, Switzerland. This article is an open access article distributed under the terms and conditions of the Creative Commons Attribution (CC BY) license (https://creativecommons.org/licenses/by/4.0/).
Share and Cite
Villapiano, F.; Di Lorenzo, R.; Sparaco, R.; Magli, E.; Frecentese, F.; Laneri, S.; D’Orsi, A.; Nele, V.; Biondi, M.; Mayol, L.; et al. Technological and Physical–Chemical Evaluation of Cotton Gauzes Impregnated with Semisolid Preparations for Wound Healing. Biomedicines 2024, 12, 777. https://doi.org/10.3390/biomedicines12040777
Villapiano F, Di Lorenzo R, Sparaco R, Magli E, Frecentese F, Laneri S, D’Orsi A, Nele V, Biondi M, Mayol L, et al. Technological and Physical–Chemical Evaluation of Cotton Gauzes Impregnated with Semisolid Preparations for Wound Healing. Biomedicines. 2024; 12(4):777. https://doi.org/10.3390/biomedicines12040777
Chicago/Turabian StyleVillapiano, Fabrizio, Ritamaria Di Lorenzo, Rosa Sparaco, Elisa Magli, Francesco Frecentese, Sonia Laneri, Alessandra D’Orsi, Valeria Nele, Marco Biondi, Laura Mayol, and et al. 2024. "Technological and Physical–Chemical Evaluation of Cotton Gauzes Impregnated with Semisolid Preparations for Wound Healing" Biomedicines 12, no. 4: 777. https://doi.org/10.3390/biomedicines12040777
APA StyleVillapiano, F., Di Lorenzo, R., Sparaco, R., Magli, E., Frecentese, F., Laneri, S., D’Orsi, A., Nele, V., Biondi, M., Mayol, L., Campani, V., Santagada, V., & De Rosa, G. (2024). Technological and Physical–Chemical Evaluation of Cotton Gauzes Impregnated with Semisolid Preparations for Wound Healing. Biomedicines, 12(4), 777. https://doi.org/10.3390/biomedicines12040777

