Can Repetitive Transcranial Magnetic Stimulation (rTMS) Promote Neurogenesis and Axonogenesis in Subacute Human Ischemic Stroke?
Abstract
1. Introduction
2. Materials and Methods
2.1. Patients
2.2. Neuroimaging Techniques
2.3. TMS and Neurophysiological Measurements
2.4. Biomarker Data
2.5. Experimental Paradigm
2.6. Statistical Analysis
3. Results
3.1. Clinical Data
3.2. Neurophysiological Data
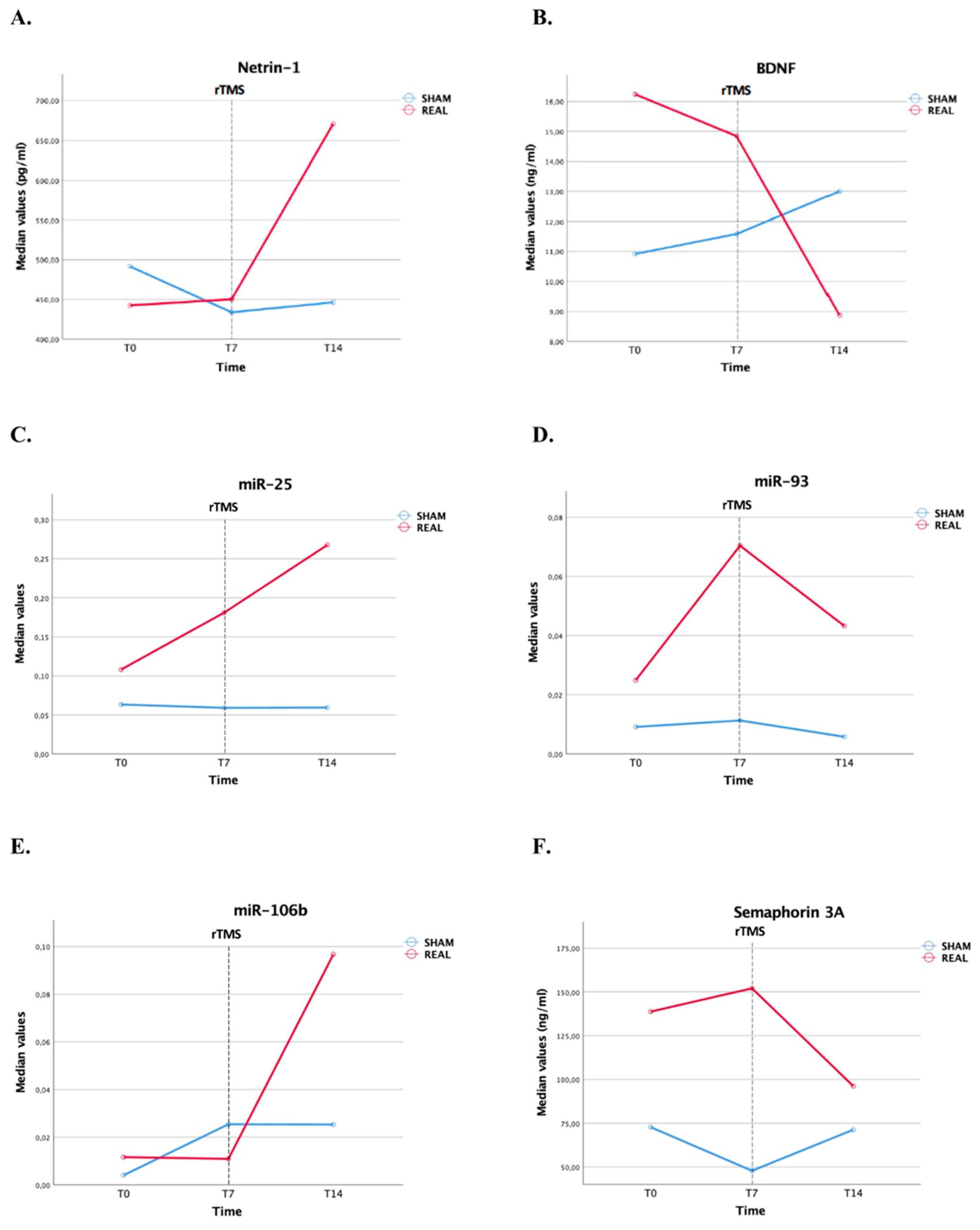
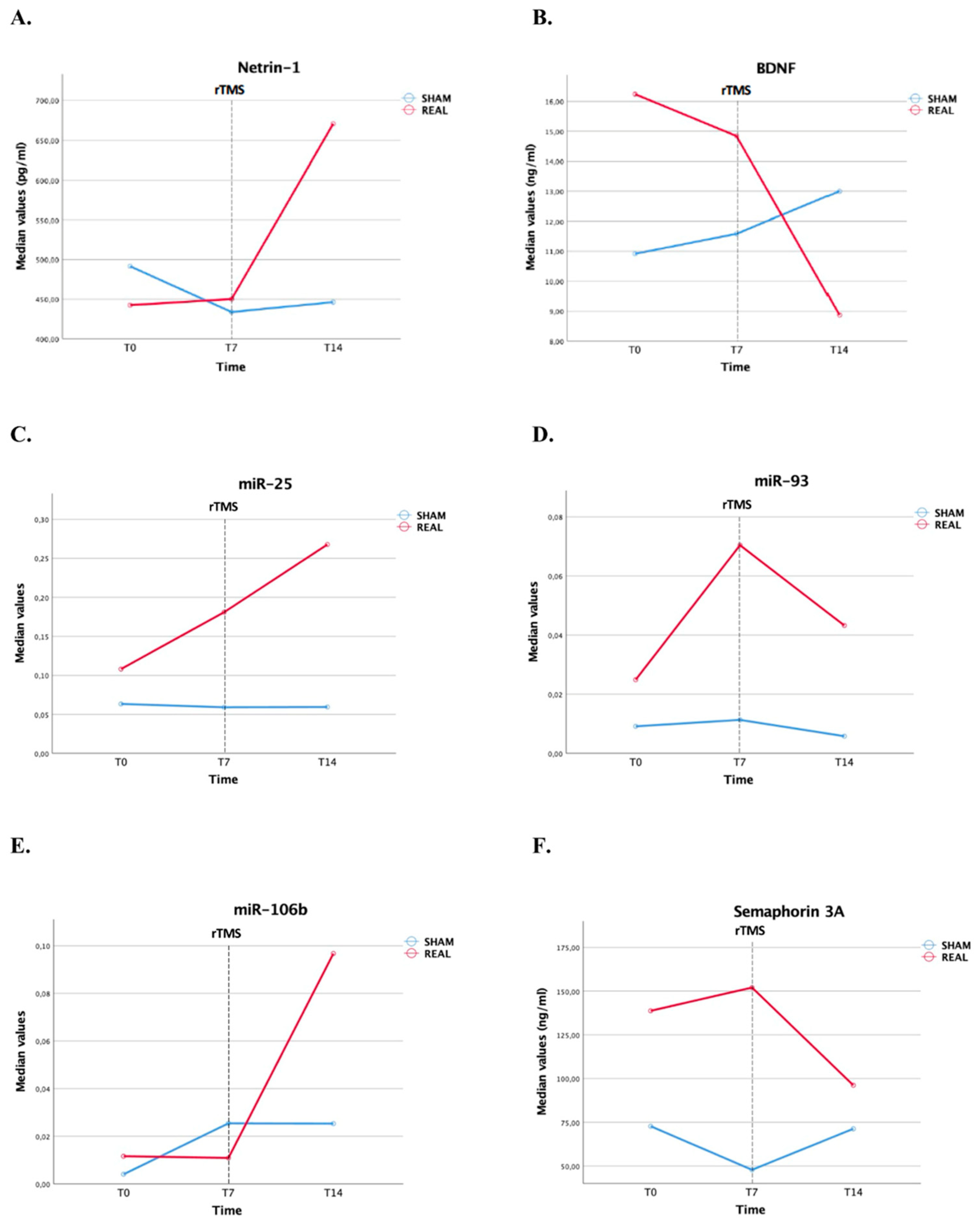
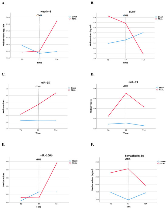
3.3. Plasma Biomarker Levels after rTMS Intervention
4. Discussion
Supplementary Materials
Author Contributions
Funding
Institutional Review Board Statement
Informed Consent Statement
Data Availability Statement
Acknowledgments
Conflicts of Interest
References
- Eriksson, P.S.; Perfilieva, E.; Björk-Eriksson, T.; Alborn, A.M.; Nordborg, C.; Peterson, D.A.; Gage, F.H. Neurogenesis in the Adult Human Hippocampus. Nat. Med. 1998, 4, 1313–1317. [Google Scholar] [CrossRef] [PubMed]
- Zhang, R.L.; Zhang, Z.G.; Zhang, L.; Chopp, M. Proliferation and Differentiation of Progenitor Cells in the Cortex and the Subventricular Zone in the Adult Rat after Focal Cerebral Ischemia. Neuroscience 2001, 105, 33–41. [Google Scholar] [CrossRef]
- Sanai, N.; Nguyen, T.; Ihrie, R.A.; Mirzadeh, Z.; Tsai, H.-H.; Wong, M.; Gupta, N.; Berger, M.S.; Huang, E.; Garcia-Verdugo, J.-M.; et al. Corridors of Migrating Neurons in the Human Brain and Their Decline during Infancy. Nature 2011, 478, 382–386. [Google Scholar] [CrossRef]
- Sorrells, S.F.; Paredes, M.F.; Cebrian-Silla, A.; Sandoval, K.; Qi, D.; Kelley, K.W.; James, D.; Mayer, S.; Chang, J.; Auguste, K.I.; et al. Human Hippocampal Neurogenesis Drops Sharply in Children to Undetectable Levels in Adults. Nature 2018, 555, 377–381. [Google Scholar] [CrossRef]
- Boldrini, M.; Fulmore, C.A.; Tartt, A.N.; Simeon, L.R.; Pavlova, I.; Poposka, V.; Rosoklija, G.B.; Stankov, A.; Arango, V.; Dwork, A.J.; et al. Human Hippocampal Neurogenesis Persists throughout Aging. Cell Stem Cell 2018, 22, 589–599.e5. [Google Scholar] [CrossRef]
- Arvidsson, A.; Collin, T.; Kirik, D.; Kokaia, Z.; Lindvall, O. Neuronal Replacement from Endogenous Precursors in the Adult Brain after Stroke. Nat. Med. 2002, 8, 963–970. [Google Scholar] [CrossRef]
- Van Praag, H.; Schinder, A.F.; Christie, B.R.; Toni, N.; Palmer, T.D.; Gage, F.H. Functional Neurogenesis in the Adult Hippocampus. Nature 2002, 415, 1030–1034. [Google Scholar] [CrossRef]
- Hou, S.-W.; Wang, Y.-Q.; Xu, M.; Shen, D.-H.; Wang, J.-J.; Huang, F.; Yu, Z.; Sun, F.-Y. Functional Integration of Newly Generated Neurons Into Striatum After Cerebral Ischemia in the Adult Rat Brain. Stroke 2008, 39, 2837–2844. [Google Scholar] [CrossRef]
- Marlier, Q.; Verteneuil, S.; Vandenbosch, R.; Malgrange, B. Mechanisms and Functional Significance of Stroke-Induced Neurogenesis. Front. Neurosci. 2015, 9, 172635. [Google Scholar] [CrossRef] [PubMed]
- Palma-Tortosa, S.; García-Culebras, A.; Moraga, A.; Hurtado, O.; Perez-Ruiz, A.; Durán-Laforet, V.; Parra, J.D.L.; Cuartero, M.I.; Pradillo, J.M.; Moro, M.A.; et al. Specific Features of SVZ Neurogenesis After Cortical Ischemia: A Longitudinal Study. Sci. Rep. 2017, 7, 16343. [Google Scholar] [CrossRef] [PubMed]
- Martí-Fàbregas, J.; Romaguera-Ros, M.; Gómez-Pinedo, U.; Martínez-Ramírez, S.; Jiménez-Xarrié, E.; Marín, R.; Martí-Vilalta, J.-L.; García-Verdugo, J.-M. Proliferation in the Human Ipsilateral Subventricular Zone after Ischemic Stroke. Neurology 2010, 74, 357–365. [Google Scholar] [CrossRef] [PubMed]
- Tatebayashi, K.; Tanaka, Y.; Nakano-Doi, A.; Sakuma, R.; Kamachi, S.; Shirakawa, M.; Uchida, K.; Kageyama, H.; Takagi, T.; Yoshimura, S.; et al. Identification of Multipotent Stem Cells in Human Brain Tissue Following Stroke. Stem Cells Dev. 2017, 26, 787–797. [Google Scholar] [CrossRef]
- Beppu, M.; Nakagomi, T.; Takagi, T.; Nakano-Doi, A.; Sakuma, R.; Kuramoto, Y.; Tatebayashi, K.; Matsuyama, T.; Yoshimura, S. Isolation and Characterization of Cerebellum-Derived Stem Cells in Poststroke Human Brain. Stem Cells Dev. 2019, 28, 528–542. [Google Scholar] [CrossRef]
- Siebner, H.R.; Funke, K.; Aberra, A.S.; Antal, A.; Bestmann, S.; Chen, R.; Classen, J.; Davare, M.; Di Lazzaro, V.; Fox, P.T.; et al. Transcranial Magnetic Stimulation of the Brain: What Is Stimulated?—A Consensus and Critical Position Paper. Clin. Neurophysiol. 2022, 140, 59–97. [Google Scholar] [CrossRef] [PubMed]
- Vucic, S.; Stanley Chen, K.-H.; Kiernan, M.C.; Hallett, M.; Benninger, D.H.; Di Lazzaro, V.; Rossini, P.M.; Benussi, A.; Berardelli, A.; Currà, A.; et al. Clinical Diagnostic Utility of Transcranial Magnetic Stimulation in Neurological Disorders. Updated Report of an IFCN Committee. Clin. Neurophysiol. 2023, 150, 131–175. [Google Scholar] [CrossRef] [PubMed]
- Lefaucheur, J.-P.; Aleman, A.; Baeken, C.; Benninger, D.H.; Brunelin, J.; Di Lazzaro, V.; Filipović, S.R.; Grefkes, C.; Hasan, A.; Hummel, F.C.; et al. Evidence-Based Guidelines on the Therapeutic Use of Repetitive Transcranial Magnetic Stimulation (rTMS): An Update (2014–2018). Clin. Neurophysiol. 2020, 131, 474–528. [Google Scholar] [CrossRef]
- Berardelli, A.; Abbruzzese, G.; Chen, R.; Orth, M.; Ridding, M.C.; Stinear, C.; Suppa, A.; Trompetto, C.; Thompson, P.D. Consensus Paper on Short-Interval Intracortical Inhibition and Other Transcranial Magnetic Stimulation Intracortical Paradigms in Movement Disorders. Brain Stimul. 2008, 1, 183–191. [Google Scholar] [CrossRef]
- Belvisi, D.; Fabbrini, A.; De Bartolo, M.I.; Costanzo, M.; Manzo, N.; Fabbrini, G.; Defazio, G.; Conte, A.; Berardelli, A. The Pathophysiological Correlates of Parkinson’s Disease Clinical Subtypes. Mov. Disord. 2021, 36, 370–379. [Google Scholar] [CrossRef]
- Menon, P.; Yiannikas, C.; Kiernan, M.C.; Vucic, S. Regional Motor Cortex Dysfunction in Amyotrophic Lateral Sclerosis. Ann. Clin. Transl. Neurol. 2019, 6, 1373–1382. [Google Scholar] [CrossRef]
- Conte, A.; Lenzi, D.; Frasca, V.; Gilio, F.; Giacomelli, E.; Gabriele, M.; Marini Bettolo, C.; Iacovelli, E.; Pantano, P.; Pozzilli, C.; et al. Intracortical Excitability in Patients with Relapsing–Remitting and Secondary Progressive Multiple Sclerosis. J. Neurol. 2009, 256, 933–938. [Google Scholar] [CrossRef]
- Civardi, C.; Collini, A.; Mazzini, L.; Monaco, F.; Geda, C. Single-pulse Transcranial Magnetic Stimulation in Amyotrophic Lateral Sclerosis. Muscle Nerve 2020, 61, 330–337. [Google Scholar] [CrossRef] [PubMed]
- Guo, Z.; Jin, Y.; Bai, X.; Jiang, B.; He, L.; McClure, M.A.; Mu, Q. Distinction of High- and Low-Frequency Repetitive Transcranial Magnetic Stimulation on the Functional Reorganization of the Motor Network in Stroke Patients. Neural Plast. 2021, 2021, 8873221. [Google Scholar] [CrossRef] [PubMed]
- Ueyama, E.; Ukai, S.; Ogawa, A.; Yamamoto, M.; Kawaguchi, S.; Ishii, R.; Shinosaki, K. Chronic Repetitive Transcranial Magnetic Stimulation Increases Hippocampal Neurogenesis in Rats. Psychiatry Clin. Neurosci. 2011, 65, 77–81. [Google Scholar] [CrossRef]
- Abbasnia, K.; Ghanbari, A.; Abedian, M.; Ghanbari, A.; Sharififar, S.; Azari, H. The Effects of Repetitive Transcranial Magnetic Stimulation on Proliferation and Differentiation of Neural Stem Cells. Anat. Cell Biol. 2015, 48, 104. [Google Scholar] [CrossRef] [PubMed]
- Guo, F.; Lou, J.; Han, X.; Deng, Y.; Huang, X. Repetitive Transcranial Magnetic Stimulation Ameliorates Cognitive Impairment by Enhancing Neurogenesis and Suppressing Apoptosis in the Hippocampus in Rats with Ischemic Stroke. Front. Physiol. 2017, 8, 559. [Google Scholar] [CrossRef]
- Caglayan, A.B.; Beker, M.C.; Caglayan, B.; Yalcin, E.; Caglayan, A.; Yulug, B.; Hanoglu, L.; Kutlu, S.; Doeppner, T.R.; Hermann, D.M.; et al. Acute and Post-Acute Neuromodulation Induces Stroke Recovery by Promoting Survival Signaling, Neurogenesis, and Pyramidal Tract Plasticity. Front. Cell. Neurosci. 2019, 13, 144. [Google Scholar] [CrossRef]
- Jeyaseelan, K.; Lim, K.Y.; Armugam, A. MicroRNA Expression in the Blood and Brain of Rats Subjected to Transient Focal Ischemia by Middle Cerebral Artery Occlusion. Stroke 2008, 39, 959–966. [Google Scholar] [CrossRef]
- Concepcion, C.P.; Bonetti, C.; Ventura, A. The MicroRNA-17-92 Family of MicroRNA Clusters in Development and Disease. Cancer J. 2012, 18, 262–267. [Google Scholar] [CrossRef]
- Tanzer, A.; Stadler, P.F. Molecular Evolution of a MicroRNA Cluster. J. Mol. Biol. 2004, 339, 327–335. [Google Scholar] [CrossRef]
- Brett, J.O.; Renault, V.M.; Rafalski, V.A.; Webb, A.E.; Brunet, A. The microRNA Cluster miR-106b~25 Regulates Adult Neural Stem/Progenitor Cell Proliferation and Neuronal Differentiation. Aging 2011, 3, 108–124. [Google Scholar] [CrossRef]
- Tang, B. Semaphorin 3A: From Growth Cone Repellent to Promoter of Neuronal Regeneration. Neural Regen. Res. 2018, 13, 795. [Google Scholar] [CrossRef]
- Kennedy, T.E. Cellular Mechanisms of Netrin Function: Long-Range and Short-Range Actions. Biochem. Cell Biol. 2000, 78, 569–575. [Google Scholar] [CrossRef]
- Pekcec, A.; Yigitkanli, K.; Jung, J.E.; Pallast, S.; Xing, C.; Antipenko, A.; Minchenko, M.; Nikolov, D.B.; Holman, T.R.; Lo, E.H.; et al. Following Experimental Stroke, the Recovering Brain Is Vulnerable to Lipoxygenase-dependent Semaphorin Signaling. FASEB J. 2013, 27, 437–445. [Google Scholar] [CrossRef] [PubMed]
- Zheng, M.; Chen, R.; Chen, H.; Zhang, Y.; Chen, J.; Lin, P.; Lan, Q.; Yuan, Q.; Lai, Y.; Jiang, X.; et al. Netrin-1 Promotes Synaptic Formation and Axonal Regeneration via JNK1/c-Jun Pathway after the Middle Cerebral Artery Occlusion. Front. Cell. Neurosci. 2018, 12, 13. [Google Scholar] [CrossRef] [PubMed]
- Sims, J.R.; Gharai, L.R.; Schaefer, P.W.; Vangel, M.; Rosenthal, E.S.; Lev, M.H.; Schwamm, L.H. ABC/2 for Rapid Clinical Estimate of Infarct, Perfusion, and Mismatch Volumes. Neurology 2009, 72, 2104–2110. [Google Scholar] [CrossRef] [PubMed]
- Rothwell, J.C.; Hallett, M.; Berardelli, A.; Eisen, A.; Rossini, P.; Paulus, W. Magnetic Stimulation: Motor Evoked Potentials. The International Federation of Clinical Neurophysiology. Electroencephalogr. Clin. Neurophysiol. Suppl. 1999, 52, 97–103. [Google Scholar] [PubMed]
- Chen, R. Studies of Human Motor Physiology with Transcranial Magnetic Stimulation. Muscle Nerve 2000, 23, S26–S32. [Google Scholar] [CrossRef]
- Khedr, E.M.; Ahmed, M.A.; Fathy, N.; Rothwell, J.C. Therapeutic Trial of Repetitive Transcranial Magnetic Stimulation after Acute Ischemic Stroke. Neurology 2005, 65, 466–468. [Google Scholar] [CrossRef] [PubMed]
- Khedr, E.M.; Etraby, A.E.; Hemeda, M.; Nasef, A.M.; Razek, A.A.E. Long-Term Effect of Repetitive Transcranial Magnetic Stimulation on Motor Function Recovery after Acute Ischemic Stroke: rTMS in Acute Ischemic Stroke. Acta Scand. 2010, 121, 30–37. [Google Scholar] [CrossRef] [PubMed]
- Piscopo, P.; Grasso, M.; Fontana, F.; Crestini, A.; Puopolo, M.; Del Vescovo, V.; Venerosi, A.; Calamandrei, G.; Vencken, S.F.; Greene, C.M.; et al. Reduced miR-659-3p Levels Correlate with Progranulin Increase in Hypoxic Conditions: Implications for Frontotemporal Dementia. Front. Mol. Neurosci. 2016, 9, 31. [Google Scholar] [CrossRef]
- Piscopo, P.; Grasso, M.; Puopolo, M.; D’Acunto, E.; Talarico, G.; Crestini, A.; Gasparini, M.; Campopiano, R.; Gambardella, S.; Castellano, A.E.; et al. Circulating miR-127-3p as a Potential Biomarker for Differential Diagnosis in Frontotemporal Dementia. JAD 2018, 65, 455–464. [Google Scholar] [CrossRef] [PubMed]
- Grasso, M.; Piscopo, P.; Talarico, G.; Ricci, L.; Crestini, A.; Tosto, G.; Gasparini, M.; Bruno, G.; Denti, M.A.; Confaloni, A. Plasma microRNA Profiling Distinguishes Patients with Frontotemporal Dementia from Healthy Subjects. Neurobiol. Aging 2019, 84, 240.e1–240.e12. [Google Scholar] [CrossRef] [PubMed]
- Guo, F.; Han, X.; Zhang, J.; Zhao, X.; Lou, J.; Chen, H.; Huang, X. Repetitive Transcranial Magnetic Stimulation Promotes Neural Stem Cell Proliferation via the Regulation of MiR-25 in a Rat Model of Focal Cerebral Ischemia. PLoS ONE 2014, 9, e109267. [Google Scholar] [CrossRef] [PubMed]
- Iglesias, A.H. Transcranial Magnetic Stimulation as Treatment in Multiple Neurologic Conditions. Curr. Neurol. Neurosci. Rep. 2020, 20, 1. [Google Scholar] [CrossRef]
- Rossi, S.; Antal, A.; Bestmann, S.; Bikson, M.; Brewer, C.; Brockmöller, J.; Carpenter, L.L.; Cincotta, M.; Chen, R.; Daskalakis, J.D.; et al. Safety and Recommendations for TMS Use in Healthy Subjects and Patient Populations, with Updates on Training, Ethical and Regulatory Issues: Expert Guidelines. Clin. Neurophysiol. 2021, 132, 269–306. [Google Scholar] [CrossRef]
- Zhou, X.; Qiao, B. Inhibition of HDAC3 and ATXN3 by miR-25 Prevents Neuronal Loss and Ameliorates Neurological Recovery in Cerebral Stroke Experimental Rats. J. Physiol. Biochem. 2022, 78, 139–149. [Google Scholar] [CrossRef]
- Mogilyansky, E.; Rigoutsos, I. The miR-17/92 Cluster: A Comprehensive Update on Its Genomics, Genetics, Functions and Increasingly Important and Numerous Roles in Health and Disease. Cell Death Differ. 2013, 20, 1603–1614. [Google Scholar] [CrossRef] [PubMed]
- Chao, M.V. Neurotrophins and Their Receptors: A Convergence Point for Many Signalling Pathways. Nat. Rev. Neurosci. 2003, 4, 299–309. [Google Scholar] [CrossRef] [PubMed]
- Jiang, B.; He, D. Repetitive Transcranial Magnetic Stimulation (rTMS) Fails to Increase Serum Brain-Derived Neurotrophic Factor (BDNF). Neurophysiol. Clin. 2019, 49, 295–300. [Google Scholar] [CrossRef]





| Real n = 10 | Sham n = 9 | p | Healthy Controls n = 5 | p | |
|---|---|---|---|---|---|
| Age, mean (SD) | 70.9 (13.7) | 63.4 (15.4) | 0.280 3 | 52.4 (23.9) | vs. real: 0.125 3 vs. sham: 0.310 3 |
| Sex, females; n (%) | 5 (50) | 5 (55.6) | 1.0 1 | 3 (60) | vs. real: 1.0 1 vs. sham: 1.0 1 |
| Smoking; n (%) | 2/9 (22.2) | 4 (44.4) | 0.620 1 | 1 (20) | vs. real: 1.0 1 vs. sham: 0.580 1 |
| Obesity; n (%) | 3 (30) | 2 (22.2) | 1.0 1 | 0 | vs. real: 0.505 1 vs. sham: 0.505 1 |
| Arterial hypertension; n (%) | 5 (50) | 8 (88.9) | 0.141 1 | 1 (20) | vs. real: 0.580 1 vs. sham: 0.023 1 |
| Dyslipidemia; n (%) | 3 (30) | 3 (33.3) | 1.0 1 | 0 | vs. real: 0.505 1 vs. sham: 0.258 1 |
| Atrial fibrillation; n (%) | 2 (20) | 1 (11.1) | 1.0 1 | 0 | vs. real: 0.524 1 vs. sham: 1.0 1 |
| Diabetes mellitus; n (%) | 0 | 2 (22.2) | 0.211 1 | 0 | vs. real: - vs. sham: 0.505 1 |
| NIHSS, median (IQR); | - | - | |||
| mean (SD) | |||||
| 4.50 (1.75–6.25); | 3 (1–5); | 0.282 2 | ||
| 4.1 (2.3) | 3 (2.6) | ||||
| 3.50 (0.75–7.0); | 2 (0–4); | 0.297 2 | ||
| 3.8 (3.1) | 2.3 (3.0) | ||||
| 3.50 (0.75–7.0); | 2 (0–4); | 0.166 2 | ||
| 2.5 (2.9) | 1.9 (2.1) | ||||
| Infarct volume, cm3, median (IQR) | 6.50 (2.58–21.80) | 5.40 (2.30–15.90) | 0.624 2 | - | - |
| Infarct location; n (%) | 0.744 1 | - | - | ||
| 3 (30) | 4 (44.4) | |||
| 2 (20) | 2 (22.2) | |||
| 5 (50) | 3 (33.3) | |||
| IVT; n (%) | 5 (50) | 6 (66.7) | 0.650 1 | - | - |
| IVT alone; n (%) | 5 (50) | 3 (33.3) | 0.650 1 | - | - |
| MT; n (%) | 4 (40) | 5 (55.6) | 0.656 1 | - | - |
| MT alone; n (%) | 4 (40) | 2 (22.2) | 0.628 1 | - | - |
| Bridging; n (%) | 0 | 3 (33.3) | 0.087 1 | - | - |
| HT of the index infarct; n (%) | 2 (20) | 4/8 (50) | 0.321 1 | - | - |
| Total leukocytes at admission, mean (SD) (/mm3) | 8806.0 (2456.9) | 8836.7 (1427.9) | 0.974 3 | - | - |
| Real n = 10 | Sham n = 9 | p | Healthy Control n = 5 | p | |
|---|---|---|---|---|---|
| Netrin-1, pg/mL, median | |||||
| (IQR) | |||||
| 442.45 | 491.69 | 0.165 | 669.73 | vs. real: 0.002 |
| (422.31–495.88) | (472.95–495.46) | (631.92–774.71) | vs. sham: 0.003 | ||
| 450.08 | 428.86 | 0.870 | n.a | |
| (407.34–481.07) | (415.15–477.36) | ||||
| 671.00 | 446.21 | 0.004 | n.a | |
| (557.76–772.02) | (427.29–498.21) | ||||
| BDNF, ng/mL, median (IQR) | |||||
| 16.24 | 11.49 | 0.050 | 9.80 | vs. real: 0.014 |
| (11.75–19.89) | (10.07–14.74) | (9.19–10.32) | vs. sham: 0.072 | ||
| 14.84 | 11.19 | 0.369 | ||
| (7.35–16.49) | (10.60–14.35) | ||||
| 8.87 | 13.0 | 0.062 | ||
| (8.01–12.16) | (10.04–16.20) | ||||
| miR-25, median (IQR) | |||||
| 0.11 | 0.06 | 0.288 | 0.08 | vs. real: 0.624 |
| (0.04–0.60) | (0.04–0.12) | (0.07–0.11) | vs. sham: 0.386 | ||
| 0.18 | 0.05 | 0.221 | ||
| (0.035–0.47) | (0.04–0.13) | ||||
| 0.27 | 0.06 | 0.008 | ||
| (0.15–1.02) | (0.04–0.19) | ||||
| miR-93, median (IQR) | |||||
| 0.03 | 0.01 | 0.142 | 0.82 | vs. real: 0.258 |
| (0.002–4.72) | (0.001–0.04) | (0.22–1.22) | vs. sham: 0.005 | ||
| 0.07 | 0.05 | 0.165 | ||
| (0.003–2.13) | (0.002–0.03) | ||||
| 0.04 | 0.01 | 0.076 | ||
| (0.009–0.58) | (0.002–0.05) | ||||
| miR-106b, median (IQR) | |||||
| 0.01 | 0.002 | 0.102 | 0.0004 | vs. real: 0.005 |
| (0.004–0.23) | (0.0004–0.02) | (0.00005–0.0007) | vs. sham: 0.064 | ||
| 0.01 | 0.02 | 0.514 | ||
| (0.005–0.27) | (0.002–0.04) | ||||
| 0.11 | 0.03 | 0.051 | ||
| (0.02–2.67) | (0.01–0.03) | ||||
| Semaphorin 3A, ng/mL, median | |||||
| (IQR) | |||||
| 138.73 | 55.36 | 0.072 | 139.96 | vs. real: 0.806 |
| (74.28–180.98) | (40.04–129.05) | (55.55–219.03) | vs. sham: 0.205 | ||
| 152.04 | 50.25 | 0.011 | ||
| (68.30–184.69) | (43.12–112.68) | ||||
| 96.17 | 71.24 | 0.374 | ||
| (52.72–191.46) | (40.77–106.80) |
| Real rTMS Baseline n = 9 | Sham rTMS Baseline n = 8 | Post Real rTMS Sessions n = 9 | Post Sham rTMS Sessions n = 8 | p Value (Real rTMS vs. Sham rTMS Baseline) | p Value (Post Real rTMS Sessions vs. Post Sham rTMS Sessions) | p-Value (Real rTMS Baseline vs. Post Real rTMS sessions) | p Value (Sham rTMS Baseline vs. Post Sham rTMS Sessions) | |
|---|---|---|---|---|---|---|---|---|
| MEPs amplitude 100% RMT (mV) | 0.14 ± 0.09 | 0.08 ± 0.06 | 0.56 ± 1.02 | 0.5 ± 0.7 | 0.270 | 0.850 | 0.027 | 0.841 |
| MEPs amplitude 120% RMT (mV) | 1.1 ± 1.07 | 0.87 ± 0.82 | 1.78 ± 2.85 | 1.01 ± 1.08 | 0.792 | 0.794 | 0.397 | 0.999 |
| MEPs amplitude 140% RMT (mV) | 2.09 ± 1.72 | 1.94 ± 1.24 | 2.76 ± 2.66 | 1.48 ± 1.13 | 0.977 | 0.671 | 0.683 | 0.847 |
| SICI value (%) * | 33.3 ± 26.44 | 35 ± 33 | 57.7 ± 47.51 | 24.31 ± 21.36 | 0.776 | 0.222 | 0.245 | 0.69 |
| ICF value (%) * | 65 ± 83.8 | 87 ± 89 | 105.26 ± 132 | 31.93 ± 26.79 | 0.618 | 0.309 | 0.875 | 0.85 |
Disclaimer/Publisher’s Note: The statements, opinions and data contained in all publications are solely those of the individual author(s) and contributor(s) and not of MDPI and/or the editor(s). MDPI and/or the editor(s) disclaim responsibility for any injury to people or property resulting from any ideas, methods, instructions or products referred to in the content. |
© 2024 by the authors. Licensee MDPI, Basel, Switzerland. This article is an open access article distributed under the terms and conditions of the Creative Commons Attribution (CC BY) license (https://creativecommons.org/licenses/by/4.0/).
Share and Cite
De Michele, M.; Piscopo, P.; Costanzo, M.; Lorenzano, S.; Crestini, A.; Rivabene, R.; Manzini, V.; Petraglia, L.; Iacobucci, M.; Berto, I.; et al. Can Repetitive Transcranial Magnetic Stimulation (rTMS) Promote Neurogenesis and Axonogenesis in Subacute Human Ischemic Stroke? Biomedicines 2024, 12, 670. https://doi.org/10.3390/biomedicines12030670
De Michele M, Piscopo P, Costanzo M, Lorenzano S, Crestini A, Rivabene R, Manzini V, Petraglia L, Iacobucci M, Berto I, et al. Can Repetitive Transcranial Magnetic Stimulation (rTMS) Promote Neurogenesis and Axonogenesis in Subacute Human Ischemic Stroke? Biomedicines. 2024; 12(3):670. https://doi.org/10.3390/biomedicines12030670
Chicago/Turabian StyleDe Michele, Manuela, Paola Piscopo, Matteo Costanzo, Svetlana Lorenzano, Alessio Crestini, Roberto Rivabene, Valeria Manzini, Luca Petraglia, Marta Iacobucci, Irene Berto, and et al. 2024. "Can Repetitive Transcranial Magnetic Stimulation (rTMS) Promote Neurogenesis and Axonogenesis in Subacute Human Ischemic Stroke?" Biomedicines 12, no. 3: 670. https://doi.org/10.3390/biomedicines12030670
APA StyleDe Michele, M., Piscopo, P., Costanzo, M., Lorenzano, S., Crestini, A., Rivabene, R., Manzini, V., Petraglia, L., Iacobucci, M., Berto, I., Schiavo, O. G., Conte, A., Belvisi, D., Berardelli, A., & Toni, D. (2024). Can Repetitive Transcranial Magnetic Stimulation (rTMS) Promote Neurogenesis and Axonogenesis in Subacute Human Ischemic Stroke? Biomedicines, 12(3), 670. https://doi.org/10.3390/biomedicines12030670

