Analysis of Circulating Catestatin in Early Pregnancy: A Preliminary Investigation
Abstract
1. Introduction
2. Materials and Methods
2.1. Study Design and Ethical Considerations
2.2. Subjects and Inclusion/Exclusion Criteria
2.3. Clinical and Laboratory Evaluations
2.4. Statistical Analysis
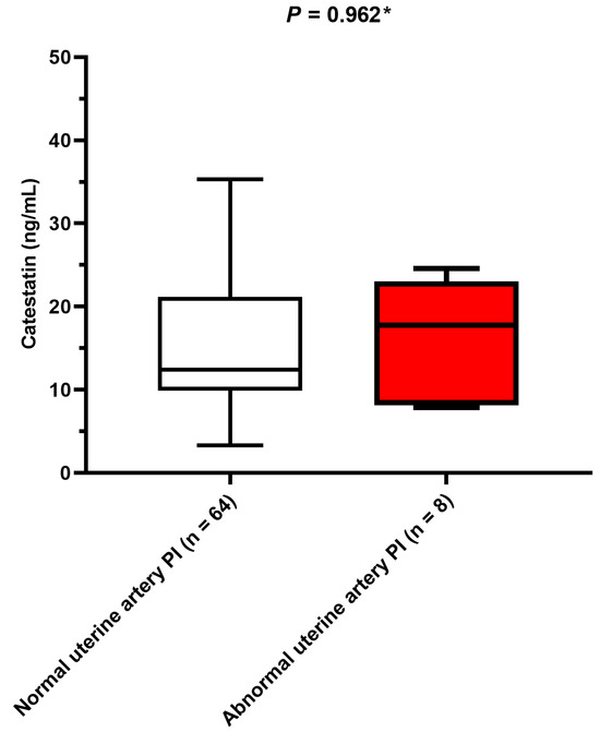
3. Results
4. Discussion
Author Contributions
Funding
Institutional Review Board Statement
Informed Consent Statement
Data Availability Statement
Conflicts of Interest
References
- Capeless, E.L.; Clapp, J.F. Cardiovascular changes in early phase of pregnancy. Am. J. Obstet. Gynecol. 1989, 161, 1449–1453. [Google Scholar] [CrossRef] [PubMed]
- Spradley, F.T. Sympathetic nervous system control of vascular function and blood pressure during pregnancy and preeclampsia. J. Hypertens. 2019, 37, 476–487. [Google Scholar] [CrossRef] [PubMed]
- Jarvis, S.S.; Shibata, S.; Bivens, T.B.; Okada, Y.; Casey, B.M.; Levine, B.D.; Fu, Q. Sympathetic activation during early pregnancy in humans. J. Physiol. 2012, 590, 3535–3543. [Google Scholar] [CrossRef] [PubMed]
- Kennedy, B.P.; Mahata, S.K.; O’Connor, D.T.; Ziegler, M.G. Mechanism of cardiovascular actions of the chromogranin A fragment catestatin in vivo. Peptides 1998, 19, 1241–1248. [Google Scholar] [CrossRef]
- Zalewska, E.; Kmieć, P.; Sworczak, K. Role of Catestatin in the Cardiovascular System and Metabolic Disorders. Front. Cardiovasc. Med. 2022, 9, 909480. [Google Scholar] [CrossRef]
- Mahata, S.K.; O’Connor, D.T.; Mahata, M.; Yoo, S.H.; Taupenot, L.; Wu, H.; Gill, B.M.; Parmer, R.J. Novel autocrine feedback control of catecholamine release. A discrete chromogranin a fragment is a noncompetitive nicotinic cholinergic antagonist. J. Clin. Investig. 1997, 100, 1623–1633. [Google Scholar] [CrossRef]
- Mahata, S.K.; Mahata, M.; Fung, M.M.; O’Connor, D.T. Catestatin: A multifunctional peptide from chromogranin A. Regul. Pept. 2010, 162, 33–43. [Google Scholar] [CrossRef]
- Kiranmayi, M.; Chirasani, V.R.; Allu, P.K.R.; Subramanian, L.; Martelli, E.E.; Sahu, B.S.; Vishnuprabu, D.; Kumaragurubaran, R.; Sharma, S.; Bodhini, D.; et al. Catestatin Gly364Ser Variant Alters Systemic Blood Pressure and the Risk for Hypertension in Human Populations via Endothelial Nitric Oxide Pathway. Hypertension 2016, 68, 334–347. [Google Scholar] [CrossRef]
- Fung, M.M.; Salem, R.M.; Mehtani, P.; Thomas, B.; Lu, C.F.; Perez, B.; Rao, F.; Stridsberg, M.; Ziegler, M.G.; Mahata, S.K.; et al. Direct Vasoactive Effects of the Chromogranin A (CHGA) Peptide Catestatin in Humans In Vivo. Clin. Exp. Hypertens. 2010, 32, 278–287. [Google Scholar] [CrossRef]
- Bralewska, M.; Pietrucha, T.; Sakowicz, A. The Role of Catestatin in Preeclampsia. Int. J. Mol. Sci. 2024, 25, 2461. [Google Scholar] [CrossRef]
- Gómez, O.; Figueras, F.; Fernández, S.; Bennasar, M.; Martínez, J.M.; Puerto, B.; Gratacós, E. Reference ranges for uterine artery mean pulsatility index at 11–41 weeks of gestation. Ultrasound Obstet. Gynecol. 2008, 32, 128–132. [Google Scholar] [CrossRef] [PubMed]
- Kumric, M.; Vrdoljak, J.; Dujic, G.; Supe-Domic, D.; Kurir, T.T.; Dujic, Z.; Bozic, J. Serum Catestatin Levels Correlate with Ambulatory Blood Pressure and Indices of Arterial Stiffness in Patients with Primary Hypertension. Biomolecules 2022, 12, 1204. [Google Scholar] [CrossRef] [PubMed]
- Borovac, J.A.; Glavas, D.; Grabovac, Z.S.; Domic, D.S.; D’Amario, D.; Bozic, J. Catestatin in Acutely Decompensated Heart Failure Patients: Insights from the CATSTAT-HF Study. J. Clin. Med. 2019, 8, 1132. [Google Scholar] [CrossRef] [PubMed]
- Mahata, S.K.; Kiranmayi, M.; Mahapatra, N.R. Catestatin: A Master Regulator of Cardiovascular Functions. Curr. Med. Chem. 2018, 25, 1352–1374. [Google Scholar] [CrossRef]
- Bralewska, M.; Pietrucha, T.; Sakowicz, A. Chromogranin A: An Endocrine Factor of Pregnancy. Int. J. Mol. Sci. 2023, 24, 4986. [Google Scholar] [CrossRef]
- Bralewska, M.; Biesiada, L.; Grzesiak, M.; Rybak-Krzyszkowska, M.; Huras, H.; Gach, A.; Pietrucha, T.; Sakowicz, A. Chromogranin A demonstrates higher expression in preeclamptic placentas than in normal pregnancy. BMC Pregnancy Childbirth 2021, 21, 680. [Google Scholar] [CrossRef]
- Palmrich, P.; Schirwani-Hartl, N.; Haberl, C.; Haslinger, P.; Heinzl, F.; Zeisler, H.; Binder, J. Catestatin—A Potential New Therapeutic Target for Women with Preeclampsia? An Analysis of Maternal Serum Catestatin Levels in Preeclamptic Pregnancies. J. Clin. Med. 2023, 12, 5931. [Google Scholar] [CrossRef]
- Tüten, N.; Güralp, O.; Gök, K.; Hamzaoglu, K.; Oner, Y.O.; Makul, M.; Bulut, H.; Irmak, K.; Tüten, A.; Malik, E. Serum catestatin level is increased in women with preeclampsia. J. Obstet. Gynaecol. 2022, 42, 55–60. [Google Scholar] [CrossRef]
- Özalp, M.; Yaman, H.; Demir, Ö.; Garip, S.A.; Aran, T.; Osmanağaoğlu, M.A. The role of maternal serum catestatin in the evaluation of preeclampsia and fetal cardiac functions. Turk. J. Obstet. Gynecol. 2021, 18, 272–278. [Google Scholar] [CrossRef]
- Kumric, M.; Dujic, G.; Vrdoljak, J.; Svagusa, K.; Kurir, T.T.; Supe-Domic, D.; Dujic, Z.; Bozic, J. CBD supplementation reduces arterial blood pressure via modulation of the sympatho-chromaffin system: A substudy from the HYPER-H21-4 trial. Biomed. Pharmacother. 2023, 160, 114387. [Google Scholar] [CrossRef]
- Katic, J.; Jurisic, Z.; Kumric, M.; Borovac, J.A.; Anic, A.; Breskovic, T.; Supe-Domic, D.; Bozic, J. Serum Catestatin Concentrations Are Increased in Patients with Atrial Fibrillation. J. Cardiovasc. Dev. Dis. 2023, 10, 85. [Google Scholar] [CrossRef] [PubMed]
- Brislane, Á.; Davenport, M.H.; Steinback, C.D. The sympathetic nervous system in healthy and hypertensive pregnancies: Physiology or pathology? Exp. Physiol. 2023, 108, 1238–1244. [Google Scholar] [CrossRef]
- Steinback, C.D.; Fraser, G.M.; Usselman, C.W.; Reyes, L.M.; Julian, C.G.; Stickland, M.K.; Chari, R.S.; Khurana, R.; Davidge, S.T.; Davenport, M.H. Blunted sympathetic neurovascular transduction during normotensive pregnancy. J. Physiol. 2019, 597, 3687–3696. [Google Scholar] [CrossRef] [PubMed]
- Schmidt, S.M.L.; Usselman, C.W.; Martinek, E.; Stickland, M.K.; Julian, C.G.; Chari, R.S.; Khurana, R.; Davidge, S.T.; Davenport, M.H.; Steinback, C.D.; et al. Activity of muscle sympathetic neurons during normotensive pregnancy. Am. J. Physiol.-Regul. Integr. Comp. Physiol. 2018, 314, R153–R160. [Google Scholar] [CrossRef] [PubMed]
- Schobel, H.P.; Fischer, T.; Heuszer, K.; Geiger, H.; Schmieder, R.E. Preeclampsia—A State of Sympathetic Overactivity. N. Engl. J. Med. 1996, 335, 1480–1485. [Google Scholar] [CrossRef] [PubMed]
- Masilamani, S.; Heesch, C.M. Effects of pregnancy and progesterone metabolites on arterial baroreflex in conscious rats. Am. J. Physiol.-Regul. Integr. Comp. Physiol. 1997, 272, R924–R934. [Google Scholar] [CrossRef]
- Usselman, C.W.; Skow, R.J.; Matenchuk, B.A.; Chari, R.S.; Julian, C.G.; Stickland, M.K.; Davenport, M.H.; Steinback, C.D.; Schmidt, S.M.L.; Martinek, E.; et al. Sympathetic baroreflex gain in normotensive pregnant women. J. Appl. Physiol. 2015, 119, 468–474. [Google Scholar] [CrossRef]
- Chapman, A.B.; Abraham, W.T.; Zamudio, S.; Coffin, C.; Merouani, A.; Young, D.; Johnson, A.; Osorio, F.; Goldberg, C.; Moore, L.G.; et al. Temporal relationships between hormonal and hemodynamic changes in early human pregnancy. Kidney Int. 1998, 54, 2056–2063. [Google Scholar] [CrossRef]
- Saleh, T.M.; Connell, B.J.; Cribb, A.E. Sympathoexcitatory effects of estrogen in the insular cortex are mediated by GABA. Brain Res. 2005, 1037, 114–122. [Google Scholar] [CrossRef]
- Reyes, L.M.; Usselman, C.W.; Skow, R.J.; Charkoudian, N.; Staab, J.S.; Davenport, M.H.; Steinback, C.D. Sympathetic neurovascular regulation during pregnancy: A longitudinal case series study. Exp. Physiol. 2018, 103, 318–323. [Google Scholar] [CrossRef]
- Reyes, L.M.; Usselman, C.W.; Davenport, M.H.; Steinback, C.D. Sympathetic Nervous System Regulation in Human Normotensive and Hypertensive Pregnancies. Hypertension 2018, 71, 793–803. [Google Scholar] [CrossRef] [PubMed]
- Greenwood, J.P.; Scott, E.M.; Stoker, J.B.; Walker, J.J.; Mary, D.A. Sympathetic Neural Mechanisms in Normal and Hypertensive Pregnancy in Humans. Circulation 2001, 104, 2200–2204. [Google Scholar] [CrossRef] [PubMed]
- Greenwood, J.P.; Scott, E.M.; Walker, J.J.; Stoker, J.B.; Mary, D.A. The magnitude of sympathetic hyperactivity in pregnancy-induced hypertension and preeclampsia. Am. J. Hypertens. 2003, 16, 194–199. [Google Scholar] [CrossRef] [PubMed]
- Badrov, M.B.; Park, S.Y.; Yoo, J.K.; Hieda, M.; Okada, Y.; Jarvis, S.S.; Stickford, A.S.; Best, S.A.; Nelson, D.B.; Fu, Q. Role of Corin in Blood Pressure Regulation in Normotensive and Hypertensive Pregnancy: A Prospective Study. Hypertension 2019, 73, 432–439. [Google Scholar] [CrossRef]
- Fischer, T.; Schobel, H.P.; Frank, H.; Andreae, M.; Schneider, K.T.M.; Heusser, K. Pregnancy-induced sympathetic overactivity: A precursor of preeclampsia. Eur. J. Clin. Investig. 2004, 34, 443–448. [Google Scholar] [CrossRef]
- Reyes, L.M.; Usselman, C.W.; Khurana, R.; Chari, R.S.; Stickland, M.K.; Davidge, S.T.; Julian, C.G.; Steinback, C.D.; Davenport, M.H. Preeclampsia is not associated with elevated muscle sympathetic reactivity. J. Appl. Physiol. 2021, 130, 139–148. [Google Scholar] [CrossRef]
- Greenwall, K.M.; Brislane, Á.; Matenchuk, B.A.; Sivak, A.; Davenport, M.H.; Steinback, C.D. Muscle sympathetic nerve activity during pregnancy: A systematic review and meta-analysis. Physiol. Rep. 2023, 11, e15626. [Google Scholar] [CrossRef]
- Bozic, J.; Kumric, M.; Kurir, T.T.; Urlic, H.; Martinovic, D.; Vilovic, M.; Mrcela, N.T.; Borovac, J.A. Catestatin as a Biomarker of Cardiovascular Diseases: A Clinical Perspective. Biomedicines 2021, 9, 1757. [Google Scholar] [CrossRef]



| Characteristic | Non-Pregnant Women (n = 57) | Pregnant Women (n = 72) | p * |
|---|---|---|---|
| Age, years | 31 (27–39) | 31 (29–34) | 0.747 |
| Body mass index, kg/m2 | 24.4 (22.3–26.5) | 23.3 (21.5–26.1) | 0.191 |
| Smoker, n (%) | 6 (10.5) | 24 (31.2) | 0.005 |
| Office blood pressure | |||
| SBP, mmHg | 120 (114–126) | 110 (105–120) | <0.001 |
| DBP, mmHg | 73 (68–89) | 70 (69–80) | 0.610 |
| Hemoglobin, g/L | 129.5 ± 7.3 | 135.7 ± 11.4 | <0.001 |
| Fasting blood glucose, mmol/L | 4.96 ± 0.48 | 4.52 ± 0.47 | <0.001 |
| Cholesterol, mmol/L | 4.6 (4.2–5.5) | 5.1 (4.3–5.9) | 0.094 |
| LDL cholesterol, mmol/L | 2.8 (2.3–3.4) | 2.6 (2.1–3.2) | 0.018 |
| HDL cholesterol, mmol/L | 1.4 (1.2–1.7) | 1.9 (1.5–2.2) | <0.001 |
| Triglycerides, mmol/L | 1.22 ± 0.63 | 1.54 ± 0.47 | 0.014 |
| Characteristic | Pregnant Women (n = 72) |
|---|---|
| Gestation, weeks * | 12 (11–14) |
| Gravidity, n (%) | |
| Primipara | 36 (50) |
| Second | 19 (26.4) |
| Third or more | 17 (23.6) |
| History of miscarriage, n (%) | 9 (12.5) |
| IVF, n (%) | 3 (4.2) |
| Mean uterine artery PI (Left) | 1.6 ± 0.6 |
| Mean uterine artery PI (Right) | 1.7 ± 0.6 |
| Abnormal uterine artery PI, n (%) | 8 (11.1) |
| CRL, mm | 62.3 ± 7.6 |
| NB, n (%) | 66 (91.7) |
| NT, mm | 1.1 (1.0–1.7) |
| BPD, mm | 21.0 (19.9–23.4) |
| BetaHCG [MoM] | 0.98 (0.62–1.39) |
| PAPP-a [MoM] | 1.4 (0.9–2.0) |
| NT [MoM] | 0.72 (0.64–0.93) |
| Parameter | r—Correlation Coefficient * | p |
|---|---|---|
| Age | 0.153 | 0.200 |
| Left uterine artery PI | 0.019 | 0.879 |
| Right uterine artery PI | −0.036 | 0.769 |
| Fasting plasma glucose | −0.127 | 0.288 |
| LDL cholesterol | 0.107 | 0.426 |
| SBP (gravid women) | −0.008 | 0.489 |
| SBP (control group) | 0.335 | 0.011 |
| BMI | −0.080 | 0.504 |
| Beta-HCG (MoM) | 0.062 | 0.606 |
| PAPP-A (MoM) | −0.028 | 0.819 |
| NT (MoM) | −0.065 | 0.594 |
Disclaimer/Publisher’s Note: The statements, opinions and data contained in all publications are solely those of the individual author(s) and contributor(s) and not of MDPI and/or the editor(s). MDPI and/or the editor(s) disclaim responsibility for any injury to people or property resulting from any ideas, methods, instructions or products referred to in the content. |
© 2024 by the authors. Licensee MDPI, Basel, Switzerland. This article is an open access article distributed under the terms and conditions of the Creative Commons Attribution (CC BY) license (https://creativecommons.org/licenses/by/4.0/).
Share and Cite
Sunjic Lovric, Z.; Resic Karara, J.; Mimica, B.; Kumric, M.; Supe-Domic, D.; Santic, R.; Bozic, J. Analysis of Circulating Catestatin in Early Pregnancy: A Preliminary Investigation. Biomedicines 2024, 12, 2626. https://doi.org/10.3390/biomedicines12112626
Sunjic Lovric Z, Resic Karara J, Mimica B, Kumric M, Supe-Domic D, Santic R, Bozic J. Analysis of Circulating Catestatin in Early Pregnancy: A Preliminary Investigation. Biomedicines. 2024; 12(11):2626. https://doi.org/10.3390/biomedicines12112626
Chicago/Turabian StyleSunjic Lovric, Zdenka, Jasminka Resic Karara, Bianka Mimica, Marko Kumric, Daniela Supe-Domic, Roko Santic, and Josko Bozic. 2024. "Analysis of Circulating Catestatin in Early Pregnancy: A Preliminary Investigation" Biomedicines 12, no. 11: 2626. https://doi.org/10.3390/biomedicines12112626
APA StyleSunjic Lovric, Z., Resic Karara, J., Mimica, B., Kumric, M., Supe-Domic, D., Santic, R., & Bozic, J. (2024). Analysis of Circulating Catestatin in Early Pregnancy: A Preliminary Investigation. Biomedicines, 12(11), 2626. https://doi.org/10.3390/biomedicines12112626

