The Demographic and Clinical Characteristics, Prognostic Factors, and Survival Outcomes of Head and Neck Carcinosarcoma: A SEER Database Analysis
Abstract
1. Introduction
2. Materials and Methods
2.1. Data Source and Patient Selection
2.2. Statistical Analysis
2.3. Method for Constructing and Validating the Nomogram
3. Results
3.1. Patient Clinicopathological Data
3.2. Identification of Independent Prognostic Factors for HNCS Using Univariate and Multivariate Analyses
3.3. Survival Statistics
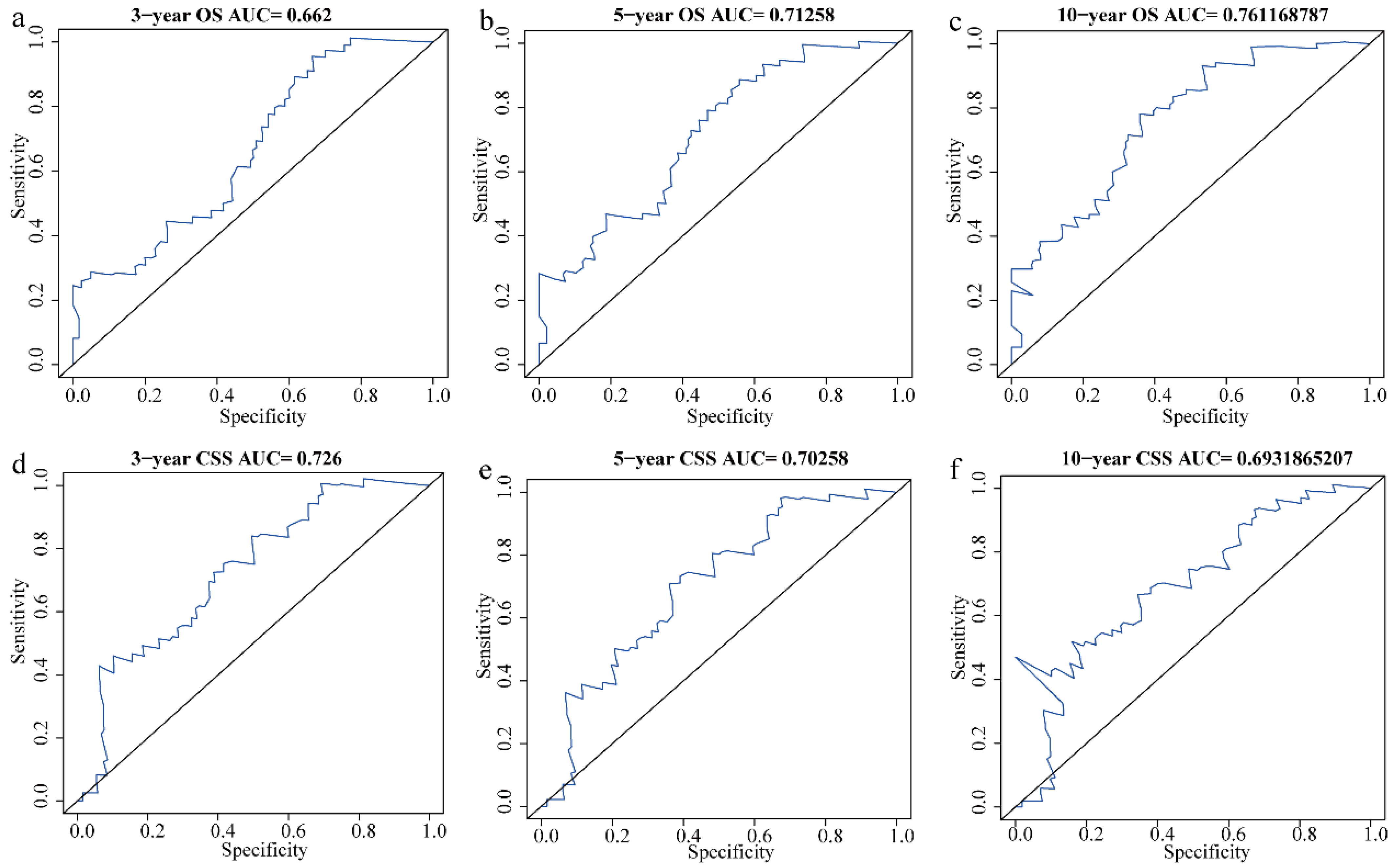
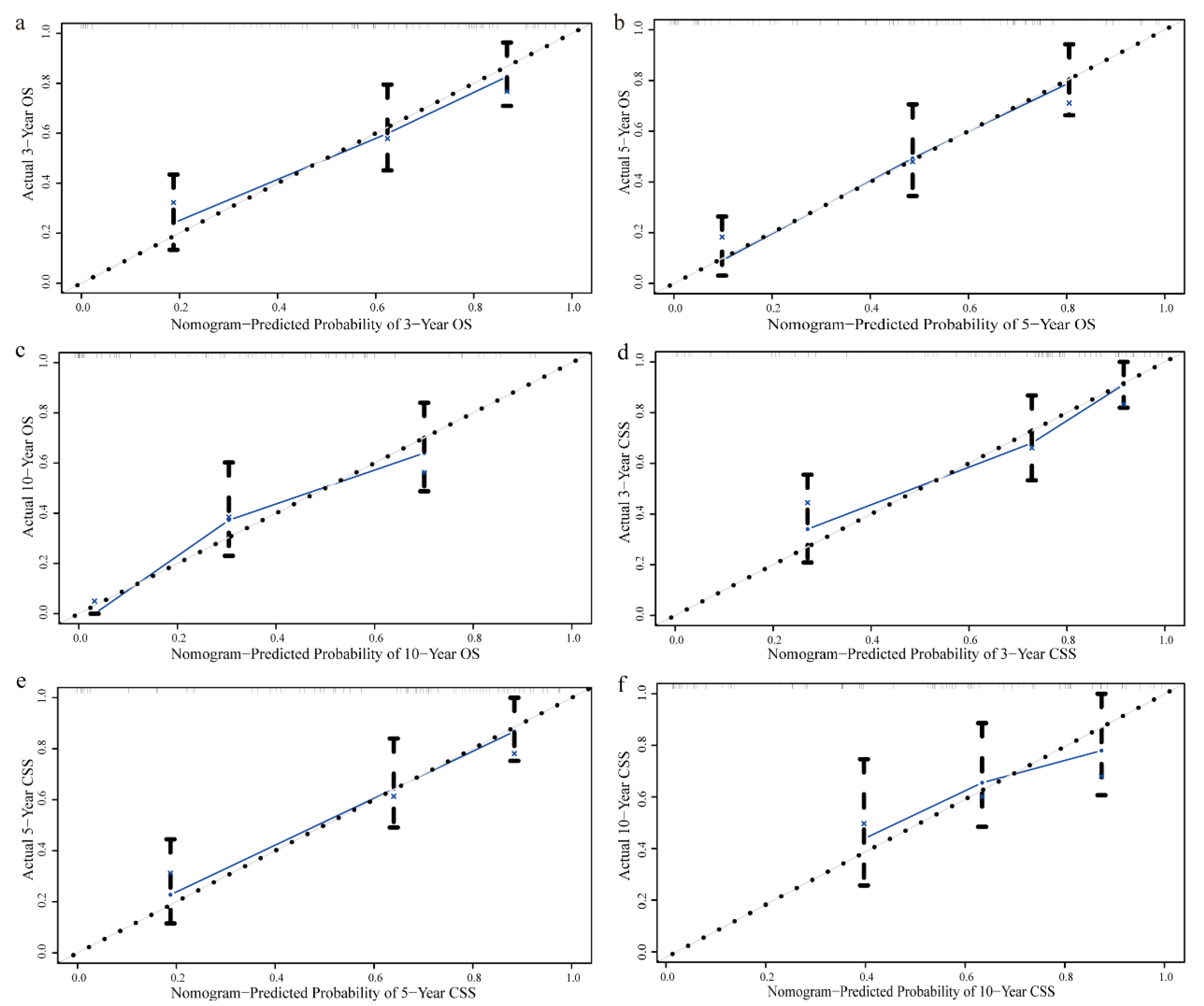
3.4. Construction and Validation of Nomograms
3.5. K-M Analysis
4. Discussion
Supplementary Materials
Author Contributions
Funding
Institutional Review Board Statement
Informed Consent Statement
Data Availability Statement
Conflicts of Interest
References
- Zhang, M.; Zhao, L.M.; Li, X.M.; Zhou, L.; Lin, L.; Wang, S.Y. True carcinosarcoma of the larynx. J. Laryngol. Otol. 2013, 127, 100–103. [Google Scholar] [CrossRef] [PubMed][Green Version]
- Liu, Y.; Hao, H.; Guo, X.; Xu, J.; Kang, L.; Zheng, G.; Zhao, H. Rare pancreatic carcinosarcoma in a patient with medical history of esophageal cancer: A case report and literature review. Medicine 2019, 98, e15238. [Google Scholar] [CrossRef] [PubMed]
- Takata, T.; Nikai, H.; Ogawa, I.; Ijuhin, N. Ultrastructural and immunohistochemical observations of a true malignant mixed tumor (carcinosarcoma) of the tongue. J. Oral Pathol. Med. 1990, 19, 261–265. [Google Scholar] [CrossRef] [PubMed]
- Balercia, G.; Bhan, A.K.; Dickersin, G.R. Sarcomatoid carcinoma: An ultrastructural study with light microscopic and immunohistochemical correlation of 10 cases from various anatomic sites. Ultrastruct. Pathol. 1995, 19, 249–263. [Google Scholar] [CrossRef] [PubMed]
- Patel, T.D.; Vázquez, A.; Plitt, M.A.; Baredes, S.; Eloy, J.A. A case-control analysis of survival outcomes in sinonasal carcinosarcoma. Am. J. Otolaryngol. 2015, 36, 200–204. [Google Scholar] [CrossRef] [PubMed]
- Hasnaoui, J.; Anajar, S.; Tatari, M.; Abada, R.; Rouadi, S.; Roubal, M.; Mahtar, M. Carcinosarcoma of the maxillary sinus: A rare case report. Ann. Med. Surg. 2017, 19, 41–44. [Google Scholar] [CrossRef] [PubMed]
- Qiu, M.Z.; Shi, S.M.; Chen, Z.H.; Yu, H.E.; Sheng, H.; Jin, Y.; Wang, D.S.; Wang, F.H.; Li, Y.H.; Xie, D.; et al. Frequency and clinicopathological features of metastasis to liver, lung, bone, and brain from gastric cancer: A SEER-based study. Cancer Med. 2018, 7, 3662–3672. [Google Scholar] [CrossRef] [PubMed]
- Ma, K.; Sun, F.; Yang, X.; Wang, S.; Wang, L.; Jin, Y.; Shi, Y.; Jiang, W.; Zhan, C.; Wang, Q. Prognosis of patients with primary malignant main stem bronchial tumors: 7,418 cases based on the SEER database. OncoTargets Ther. 2018, 11, 83–95. [Google Scholar] [CrossRef] [PubMed]
- Song, W.; Zhu, Z.G.; Wu, Q.; Lv, C.G.; Wang, Y.G.; Chen, L.; Miao, D.L. A nomogram to predict overall survival for biliary tract cancer. Cancer Manag. Res. 2018, 10, 1535–1541. [Google Scholar] [CrossRef] [PubMed]
- Wolbers, M.; Koller, M.T.; Witteman, J.C.; Steyerberg, E.W. Prognostic models with competing risks: Methods and application to coronary risk prediction. Epidemiology 2009, 20, 555–561. [Google Scholar] [CrossRef] [PubMed]
- Song, K.; Shi, X.; Wang, H.; Zou, F.; Lu, F.; Ma, X.; Xia, X.; Jiang, J. Can a Nomogram Help to Predict the Overall and Cancer-specific Survival of Patients with Chondrosarcoma? Clin. Orthop. Relat. Res. 2018, 476, 987–996. [Google Scholar] [CrossRef] [PubMed]
- Colizza, A.; Gilardi, A.; Greco, A.; Cialente, F.; Zoccali, F.; Ralli, M.; Minni, A.; de Vincentiis, M. Carcinosarcomas of the larynx: Systematic review of the literature of a rare nosologic entity. Eur. Arch. Oto-Rhino-Laryngol. 2022, 279, 1167–1173. [Google Scholar] [CrossRef] [PubMed]
- Gupta, A.; Koochakzadeh, S.; Neskey, D.M.; Nguyen, S.A.; Lentsch, E.J. Salivary Carcinosarcoma: An Extremely Rare and Highly Aggressive Malignancy. Laryngoscope 2020, 130, E335–E339. [Google Scholar] [CrossRef] [PubMed]
- Zhang, Y.; Huang, Z.; Gross, N.; Fang, J.; Chen, X.; Chen, X.; Hou, L.; Li, P.; Li, G.; Zhong, Q. Multimodality Treatment Options and Outcomes of Laryngeal Carcinosarcoma: A Clinical Analysis of a Rare Tumor from a Single Hospital. BioMed Res. Int. 2019, 2019, 1754675. [Google Scholar] [CrossRef] [PubMed]
- Schuch, L.F.; de Arruda, J.A.A.; Silva, L.V.O.; Abreu, L.G.; Silva, T.A.; Mesquita, R.A. Odontogenic carcinosarcoma: A systematic review. Oral Oncol. 2018, 85, 52–59. [Google Scholar] [CrossRef] [PubMed]
- Suzuki, S.; Hanata, K.; Toyoma, S.; Nanjo, H.; Saito, H.; Iikawa, N.; Ishikawa, K. Carcinosarcoma of the larynx consisting of squamous cell carcinoma and inflammatory myofibroblastic tumor components. Auris Nasus Larynx 2016, 43, 460–463. [Google Scholar] [CrossRef] [PubMed]
- Misra, P.; Husain, Q.; Svider, P.F.; Sanghvi, S.; Liu, J.K.; Eloy, J.A. Management of sinonasal teratocarcinosarcoma: A systematic review. Am. J. Otolaryngol. 2014, 35, 5–11. [Google Scholar] [CrossRef] [PubMed]
- Taki, N.H.; Laver, N.; Quinto, T.; Wein, R.O. Carcinosarcoma de novo of the parotid gland: Case report. Head Neck 2013, 35, E161–E163. [Google Scholar] [CrossRef] [PubMed]
- Moon, J.K.; Kim, A.Y.; Chang, D.S.; Park, K.Y. Carcinosarcoma of the maxillary sinus. Clin. Exp. Otorhinolaryngol. 2013, 6, 114–116. [Google Scholar] [CrossRef] [PubMed]
- Zhong, J.T.; Xie, X.X.; Zhou, S.H.; Yao, H.T.; Chen, Z.; Wu, T.T.; Bao, Y.Y.; Yu, Q.; Han, H.M. True hypopharyngeal carcinosarcoma: A case report and literature review. J. Int. Med. Res. 2018, 46, 3446–3461. [Google Scholar] [CrossRef] [PubMed]






| Variables | Training | Validation | Overall | χ2 | p Value |
|---|---|---|---|---|---|
| (N = 108) | (N = 44) | (N = 152) | |||
| Age | 0.0033191 | 0.9541 | |||
| <60 | 44 (40.7%) | 17 (38.6%) | 61 (40.1%) | ||
| ≥60 | 64 (59.3%) | 27 (61.4%) | 91 (59.9%) | ||
| Sex | 7.40 × 1031 | 1 | |||
| Female | 40 (37.0%) | 16 (36.4%) | 56 (36.8%) | ||
| Male | 68 (63.0%) | 28 (63.6%) | 96 (63.2%) | ||
| Race | 0.32668 | 0.8493 | |||
| Black | 14 (13.0%) | 6 (13.6%) | 20 (13.2%) | ||
| Other | 5 (4.6%) | 3 (6.8%) | 8 (5.3%) | ||
| White | 89 (82.4%) | 35 (79.5%) | 124 (81.6%) | ||
| Site | 2.3591 | 0.7976 | |||
| Hypopharynx | 4 (3.7%) | 1 (2.3%) | 5 (3.3%) | ||
| Larynx | 25 (23.1%) | 7 (15.9%) | 32 (21.1%) | ||
| Nasopharynx | 3 (2.8%) | 1 (2.3%) | 4 (2.6%) | ||
| Nose, Nasal Cavity, and Middle Ear | 17 (15.7%) | 6 (13.6%) | 23 (15.1%) | ||
| Oral | 14 (13.0%) | 9 (20.5%) | 23 (15.1%) | ||
| Salivary Gland | 45 (41.7%) | 20 (45.5%) | 65 (42.8%) | ||
| Marital Status at Diagnosis | 2.429 | 0.2969 | |||
| Married | 51 (47.2%) | 20 (45.5%) | 71 (46.7%) | ||
| Single | 55 (50.9%) | 21 (47.7%) | 76 (50.0%) | ||
| Unknown | 2 (1.9%) | 3 (6.8%) | 5 (3.3%) | ||
| Surgery | 0.016119 | 0.899 | |||
| Not Performed | 17 (15.7%) | 8 (18.2%) | 25 (16.4%) | ||
| Performed | 91 (84.3%) | 36 (81.8%) | 127 (83.6%) | ||
| Radiation | 0.18294 | 0.6689 | |||
| Beam radiation | 73 (67.6%) | 32 (72.7%) | 105 (69.1%) | ||
| No/Unknown | 35 (32.4%) | 12 (27.3%) | 47 (30.9%) | ||
| Chemotherapy | 0.79289 | 0.3732 | |||
| No/Unknown | 82 (75.9%) | 37 (84.1%) | 119 (78.3%) | ||
| Yes | 26 (24.1%) | 7 (15.9%) | 33 (21.7%) | ||
| Surgery and Radiotherapy Sequence | 0.000356 | 0.9849 | |||
| Not/Unknown | 51 (47.2%) | 20 (45.5%) | 71 (46.7%) | ||
| Radiation after Surgery | 57 (52.8%) | 24 (54.5%) | 81 (53.3%) | ||
| Regional Nodes | 0.37088 | 0.8307 | |||
| All Nodes Examined Negative | 26 (24.1%) | 12 (27.3%) | 38 (25.0%) | ||
| No Nodes Examined/Unknown | 69 (63.9%) | 28 (63.6%) | 97 (63.8%) | ||
| Regional Nodes Positive | 13 (12.0%) | 4 (9.1%) | 17 (11.2%) | ||
| Pathological Grade | 0.29568 | 0.8626 | |||
| Grade I-III | 25 (23.1%) | 12 (27.3%) | 37 (24.3%) | ||
| Grade IV | 24 (22.2%) | 9 (20.5%) | 33 (21.7%) | ||
| Unknown | 59 (54.6%) | 23 (52.3%) | 82 (53.9%) | ||
| Tumor Size | 0.73793 | 0.6915 | |||
| >2 cm | 68 (63.0%) | 28 (63.6%) | 96 (63.2%) | ||
| ≤2 cm | 12 (11.1%) | 3 (6.8%) | 15 (9.9%) | ||
| Unknown | 28 (25.9%) | 13 (29.5%) | 41 (27.0%) | ||
| Tumor Stage | 6.5512 | 0.08767 | |||
| Distant | 13 (12.0%) | 4 (9.1%) | 17 (11.2%) | ||
| Localized | 31 (28.7%) | 21 (47.7%) | 52 (34.2%) | ||
| Regional | 40 (37.0%) | 15 (34.1%) | 55 (36.2%) | ||
| Unknown | 24 (22.2%) | 4 (9.1%) | 28 (18.4%) |
| Characteristics | Total (N) | HR (95% CI) Univariate Analysis | p Value Univariate Analysis | HR (95% CI) Multivariate Analysis | p Value Multivariate Analysis |
|---|---|---|---|---|---|
| Age | 108 | ||||
| <60 | 44 | Reference | Reference | ||
| ≥60 | 64 | 2.539 (1.497–4.306) | <0.001 | 2.231 (1.239–4.016) | 0.007 |
| Sex | 108 | ||||
| Female | 40 | Reference | |||
| Male | 68 | 0.966 (0.596–1.567) | 0.889 | ||
| Race | 108 | ||||
| White | 89 | Reference | |||
| Black | 14 | 1.208 (0.593–2.460) | 0.603 | ||
| Other | 5 | 0.806 (0.252–2.583) | 0.717 | ||
| Site | 108 | ||||
| Oral | 14 | Reference | Reference | ||
| Salivary Gland | 45 | 0.336 (0.171–0.662) | 0.002 | 0.324 (0.151–0.697) | 0.004 |
| Larynx | 25 | 0.503 (0.249–1.013) | 0.054 | 0.440 (0.197–0.985) | 0.046 |
| Nose, Nasal Cavity, and Middle Ear | 17 | 0.332 (0.143–0.770) | 0.010 | 0.544 (0.208–1.423) | 0.215 |
| Nasopharynx | 3 | 0.112 (0.014–0.894) | 0.039 | 0.244 (0.025–2.338) | 0.221 |
| Hypopharynx | 4 | 0.752 (0.247–2.288) | 0.616 | 0.878 (0.265–2.905) | 0.831 |
| Marital status | 108 | ||||
| Single | 55 | Reference | Reference | ||
| Married | 51 | 0.575 (0.353–0.938) | 0.027 | 0.559 (0.314–0.995) | 0.048 |
| Unknown | 2 | 2.405 (0.576–10.040) | 0.229 | 2.998 (0.423–21.231) | 0.272 |
| Surgery | 108 | ||||
| Performed | 91 | Reference | Reference | ||
| Not Performed | 17 | 1.789 (0.954–3.357) | 0.070 | 1.361 (0.574–3.223) | 0.484 |
| Radiation | 108 | ||||
| Beam Radiation | 73 | Reference | Reference | ||
| No/Unknown | 35 | 1.538 (0.936–2.527) | 0.089 | 1.504 (0.803–2.818) | 0.203 |
| Chemotherapy | 108 | ||||
| Yes | 26 | Reference | |||
| No/Unknown | 82 | 1.133 (0.639–2.009) | 0.669 | ||
| Surgery and Radiotherapy Sequence | 108 | ||||
| Radiation after Surgery | 57 | Reference | |||
| Not/Unknown | 51 | 1.281 (0.799–2.052) | 0.304 | ||
| Regional Nodes | 108 | ||||
| All Nodes Examined Negative | 26 | Reference | Reference | ||
| Regional Nodes Positive | 13 | 1.969 (0.818–4.739) | 0.131 | 1.649 (0.532–5.115) | 0.386 |
| No Nodes Examined/Unknown | 69 | 1.884 (0.954–3.722) | 0.068 | 1.261 (0.510–3.119) | 0.615 |
| Pathological Grade | 108 | ||||
| Grade I-III | 25 | Reference | Reference | ||
| Unknown | 59 | 1.783 (0.980–3.246) | 0.058 | 1.842 (0.891–3.807) | 0.099 |
| Grade IV | 24 | 1.074 (0.524–2.202) | 0.845 | 0.858 (0.359–2.053) | 0.732 |
| Tumor Size | 108 | ||||
| ≤2 cm | 12 | Reference | |||
| >2 cm | 68 | 2.136 (0.846–5.392) | 0.108 | ||
| Unknown | 28 | 1.962 (0.735–5.237) | 0.179 | ||
| Tumor Stage | 108 | ||||
| Regional | 40 | Reference | Reference | ||
| Localized | 31 | 0.853 (0.487–1.491) | 0.576 | 0.747 (0.363–1.536) | 0.427 |
| Distant | 13 | 2.548 (1.284–5.058) | 0.008 | 3.347 (1.498–7.481) | 0.003 |
| Unknown | 24 | 0.541 (0.235–1.247) | 0.149 | 0.474 (0.160–1.400) | 0.176 |
| Characteristics | Total (N) | HR (95% CI) Univariate Analysis | p Value Univariate Analysis | HR (95% CI) Multivariate Analysis | p Value Multivariate Analysis |
|---|---|---|---|---|---|
| Age | 108 | ||||
| <60 | 44 | Reference | Reference | ||
| ≥60 | 64 | 1.688 (0.923–3.086) | 0.089 | 1.645 (0.832–3.252) | 0.152 |
| Sex | 108 | ||||
| Female | 40 | Reference | |||
| Male | 68 | 0.999 (0.555–1.799) | 0.997 | ||
| Race | 108 | ||||
| White | 89 | Reference | |||
| Black | 14 | 1.253 (0.530–2.965) | 0.608 | ||
| Other | 5 | 0.831 (0.200–3.453) | 0.799 | ||
| Site | 108 | ||||
| Oral | 14 | Reference | Reference | ||
| Salivary Gland | 45 | 0.324 (0.143–0.733) | 0.007 | 0.260 (0.103–0.653) | 0.004 |
| Larynx | 25 | 0.446 (0.188–1.060) | 0.068 | 0.419 (0.153–1.151) | 0.092 |
| Nose, Nasal Cavity, and Middle Ear | 17 | 0.443 (0.174–1.126) | 0.087 | 0.527 (0.177–1.570) | 0.250 |
| Nasopharynx | 3 | 0.245 (0.031–1.950) | 0.184 | 0.236 (0.025–2.256) | 0.210 |
| Hypopharynx | 4 | 0.772 (0.212–2.808) | 0.694 | 0.812 (0.209–3.156) | 0.763 |
| Marital Status | 108 | ||||
| Single | 55 | Reference | Reference | ||
| Married | 51 | 0.635 (0.351–1.149) | 0.133 | 0.637 (0.322–1.260) | 0.195 |
| Unknown | 2 | 3.293 (0.775–13.982) | 0.106 | 1.769 (0.177–17.738) | 0.627 |
| Surgery | 108 | ||||
| Performed | 91 | Reference | Reference | ||
| Not Performed | 17 | 2.463 (1.243–4.878) | 0.010 | 2.923 (0.699–12.229) | 0.142 |
| Radiation | 108 | ||||
| Beam Radiation | 73 | Reference | Reference | ||
| No/Unknown | 35 | 1.648 (0.907–2.993) | 0.101 | 2.151 (0.505–9.155) | 0.300 |
| Chemotherapy | 108 | ||||
| Yes | 26 | Reference | |||
| No/Unknown | 82 | 0.748 (0.400–1.399) | 0.363 | ||
| Surgery and Radiotherapy Sequence | 108 | ||||
| Radiation after Surgery | 57 | Reference | Reference | ||
| Not/Unknown | 51 | 1.501 (0.845–2.665) | 0.166 | 0.581 (0.118–2.857) | 0.504 |
| Regional Nodes | 108 | ||||
| All Nodes Examined Negative | 26 | Reference | Reference | ||
| Regional Nodes Positive | 13 | 2.634 (0.912–7.611) | 0.074 | 1.632 (0.459–5.811) | 0.449 |
| No Nodes Examined/Unknown | 69 | 2.091 (0.876–4.992) | 0.097 | 1.130 (0.378–3.384) | 0.827 |
| Pathological Grade | 108 | ||||
| Grade I-III | 25 | Reference | |||
| Unknown | 59 | 1.469 (0.719–3.003) | 0.292 | ||
| Grade IV | 24 | 1.098 (0.476–2.533) | 0.827 | ||
| Tumor Size | 108 | ||||
| ≤2 cm | 12 | Reference | |||
| >2 cm | 68 | 2.470 (0.754–8.089) | 0.135 | ||
| Unknown | 28 | 2.184 (0.622–7.675) | 0.223 | ||
| Tumor Stage | 108 | ||||
| Regional | 40 | Reference | Reference | ||
| Localized | 31 | 0.470 (0.217–1.017) | 0.055 | 0.547 (0.217–1.377) | 0.200 |
| Distant | 13 | 2.575 (1.206–5.497) | 0.015 | 3.569 (1.397–9.114) | 0.008 |
| Unknown | 24 | 0.509 (0.193–1.343) | 0.172 | 0.490 (0.131–1.836) | 0.290 |
Disclaimer/Publisher’s Note: The statements, opinions and data contained in all publications are solely those of the individual author(s) and contributor(s) and not of MDPI and/or the editor(s). MDPI and/or the editor(s) disclaim responsibility for any injury to people or property resulting from any ideas, methods, instructions or products referred to in the content. |
© 2024 by the authors. Licensee MDPI, Basel, Switzerland. This article is an open access article distributed under the terms and conditions of the Creative Commons Attribution (CC BY) license (https://creativecommons.org/licenses/by/4.0/).
Share and Cite
Hou, W.; Yan, O.; Zhu, H. The Demographic and Clinical Characteristics, Prognostic Factors, and Survival Outcomes of Head and Neck Carcinosarcoma: A SEER Database Analysis. Biomedicines 2024, 12, 2556. https://doi.org/10.3390/biomedicines12112556
Hou W, Yan O, Zhu H. The Demographic and Clinical Characteristics, Prognostic Factors, and Survival Outcomes of Head and Neck Carcinosarcoma: A SEER Database Analysis. Biomedicines. 2024; 12(11):2556. https://doi.org/10.3390/biomedicines12112556
Chicago/Turabian StyleHou, Wanting, Ouying Yan, and Hong Zhu. 2024. "The Demographic and Clinical Characteristics, Prognostic Factors, and Survival Outcomes of Head and Neck Carcinosarcoma: A SEER Database Analysis" Biomedicines 12, no. 11: 2556. https://doi.org/10.3390/biomedicines12112556
APA StyleHou, W., Yan, O., & Zhu, H. (2024). The Demographic and Clinical Characteristics, Prognostic Factors, and Survival Outcomes of Head and Neck Carcinosarcoma: A SEER Database Analysis. Biomedicines, 12(11), 2556. https://doi.org/10.3390/biomedicines12112556

