Arterio-Venous Fistula Calcifications—Risk Factors and Clinical Relevance
Abstract
1. Introduction
2. Materials and Methods
2.1. Patient Demographics and Comorbidities
2.2. Ultrasound Examination
- Measurement of brachial artery blood flow—regardless of the AVF type, blood flow was calculated in the brachial artery, upstream of its division, as per the Standardized Duplex US Methodology for AVF evaluation [16]. The artery was observed in a B-mode longitudinal section, then color-mode and Doppler mode were implied. The Doppler waveform of the feeding artery was assessed as per current recommendations [17]. The sample volume encompassed approximately 75% of the vessel caliber and the insonation angle was set below 60 degrees. The arterial diameter was measured intima to intima. The blood flow was calculated by the US machine software in mL/min.
- Evaluation of the anastomosis (mm).
2.3. Biochemical Analysis
2.4. Statistical Analysis
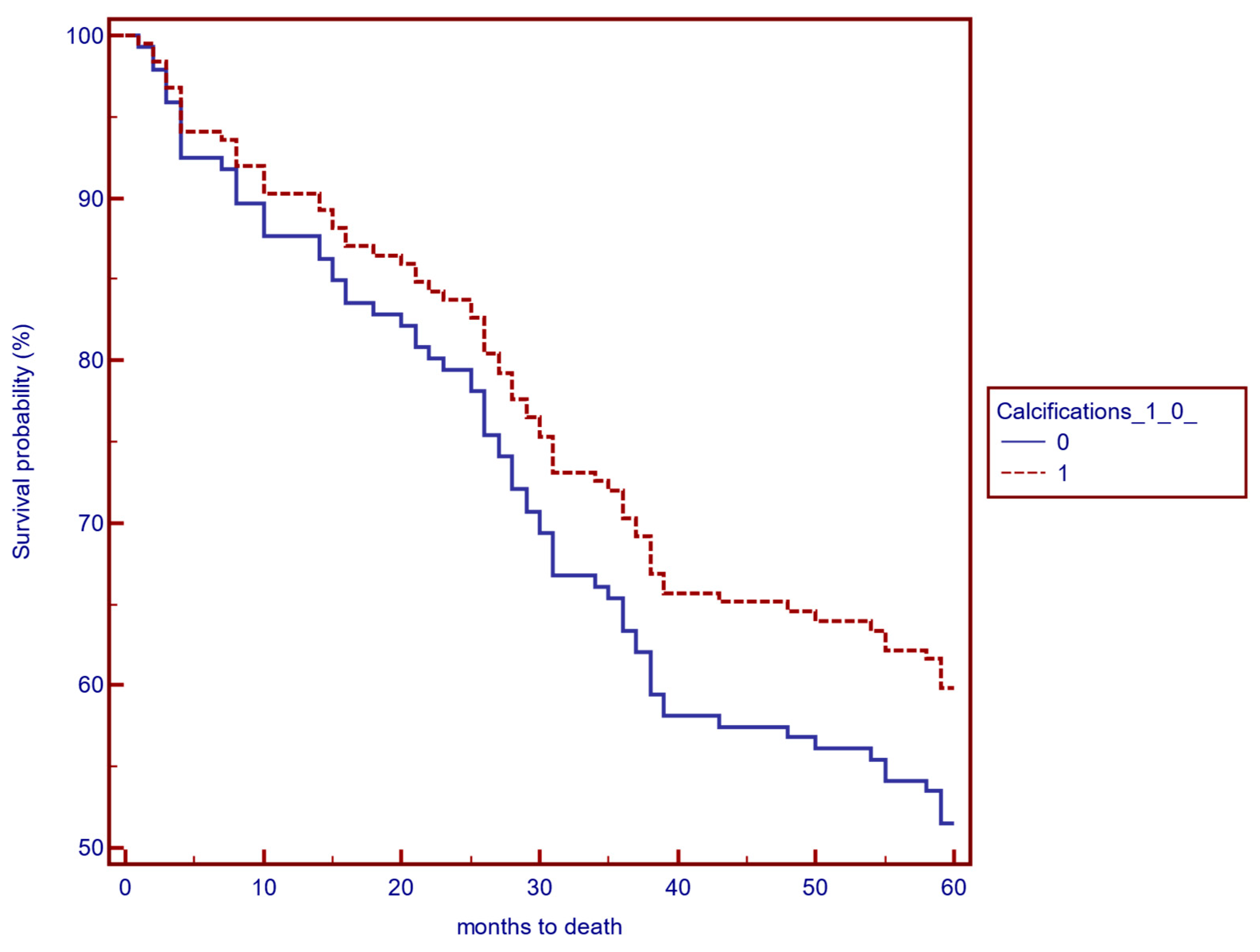
3. Results
4. Discussion
5. Conclusions
Author Contributions
Funding
Institutional Review Board Statement
Informed Consent Statement
Data Availability Statement
Conflicts of Interest
References
- De Jager, D.J.; Grootendorst, D.C.; Jager, K.J.; van Dijk, P.C.; Tomas, L.M.J.; Ansell, D.; Collart, F.; Finne, P.; Heaf, J.G.; De Meester, J.; et al. Cardiovascular and Noncardiovascular Mortality Among Patients Starting Dialysis. JAMA 2009, 302, 1782–1789. [Google Scholar] [CrossRef] [PubMed]
- Jablonski, K.L.; Chonchol, M. Vascular calcification in end-stage renal disease. Hemodial. Int. 2013, 17 (Suppl. S1), S17–S21. [Google Scholar] [CrossRef] [PubMed]
- Valdivielso, J.M. Calcificación vascular: Tipos y mecanismos [Vascular calcification: Types and mechanisms]. Nefrologia 2011, 31, 142–147. (In Spanish) [Google Scholar] [CrossRef] [PubMed]
- Kyriakidis, N.C.; Cobo, G.; Dai, L.; Lindholm, B.; Stenvinkel, P. Role of Uremic Toxins in Early Vascular Ageing and Calcification. Toxins 2021, 13, 26. [Google Scholar] [CrossRef] [PubMed] [PubMed Central]
- Viegas, C.; Araújo, N.; Marreiros, C.; Simes, D. The interplay between mineral metabolism, vascular calcification and inflammation in Chronic Kidney Disease (CKD): Challenging old concepts with new facts. Aging 2019, 11, 4274–4299. [Google Scholar] [CrossRef]
- Santoro, D.; Benedetto, F.; Mondello, P.; Pipitò, N.; Barillà, D.; Spinelli, F.; Ricciardi, C.A.; Cernaro, V.; Buemi, M. Vascular access for hemodialysis: Current perspectives. Int. J. Nephrol. Renovasc Dis. 2014, 7, 281–294. [Google Scholar] [CrossRef] [PubMed] [PubMed Central]
- Girerd, S.; Girerd, N.; Frimat, L.; Holdaas, H.; Jardine, A.G.; Schmieder, R.E.; Fellström, B.; Settembre, N.; Malikov, S.; Rossignol, P.; et al. Arteriovenous fistula thrombosis is associated with increased all-cause and cardiovascular mortality in haemodialysis patients from the AURORA trial. Clin. Kidney J. 2020, 13, 116–122. [Google Scholar] [CrossRef]
- Yen, C.C.; Tsai, C.F.; Luo, Y.Y.; Yang, H.-Y.; Liu, M.-Y.; Hung, P.-H.; Hsu, Y.-H. Factors affecting fistula failure in patients on chronic hemodialysis: A population–based case–control study. BMC Nephrol. 2018, 19, 213. [Google Scholar] [CrossRef]
- Smith, G.E.; Gohil, R.; Chetter, I.C. Factors affecting the patency of arteriovenous fistulas for dialysis access. J. Vasc. Surg. 2012, 55, 849–855. [Google Scholar] [CrossRef]
- Schmidli, J.; Widmer, M.K.; Basile, C.; de Donato, G.; Gallieni, M.; Gibbons, C.P.; Haage, P.; Hamilton, G.; Hedin, U.; Kamper, L.; et al. Editor’s Choice-Vascular Access: 2018 Clinical Practice Guidelines of the European Society for Vascular Surgery (ESVS). Eur. J. Vasc. Endovasc. Surg. 2018, 55, 757–818. [Google Scholar] [CrossRef] [PubMed]
- Lok, C.E.; Huber, T.S.; Lee, T.; Shenoy, S.; Yevzlin, A.S.; Abreo, K.; Allon, M.; Asif, A.; Astor, B.C.; Glickman, M.H.; et al. National Kidney Foundation. KDOQI Clinical Practice Guideline for Vascular Access: 2019 Update. Am. J. Kidney Dis. 2020, 75 (Suppl. S2), S1–S164, Erratum in Am. J. Kidney Dis. 2021, 77, 551. [Google Scholar] [CrossRef] [PubMed]
- Meola, M.; Marciello, A.; Di Salle, G.; Petrucci, I. Ultrasound evaluation of access complications: Thrombosis, aneurysms, pseudoaneurysms and infections. J. Vasc. Access. 2021, 22 (Suppl. S1), 71–83. [Google Scholar] [CrossRef] [PubMed] [PubMed Central]
- Khairy, A.; Rashed, A.M.; Shahat, M.; Ali, H. The role of regular surveillance on maintenance of patency of vascular access. Egypt. J. Surg. 2022, 41, 1002–1008. [Google Scholar] [CrossRef]
- Del Brutto, V.J.; Gornik, H.L.; Rundek, T. Why are we still debating criteria for carotid artery stenosis? Ann. Transl. Med. 2020, 8, 1270. [Google Scholar] [CrossRef] [PubMed] [PubMed Central]
- Lanzer, P.; Hannan, F.M.; Lanzer, J.D.; Janzen, J.; Raggi, P.; Furniss, D.; Schuchardt, M.; Thakker, R.; Fok, P.W.; Saez-Rodriguez, J.; et al. Medial Arterial Calcification: JACC State-of-the-Art Review. J. Am. Coll. Cardiol. 2021, 78, 1145–1165. [Google Scholar] [CrossRef] [PubMed] [PubMed Central]
- Teodorescu, V.; Gustavson, S.; Schanzer, H. Duplex ultrasound evaluation of hemodialysis access: A detailed protocol. Int. J. Nephrol. 2012, 2012, 508956. [Google Scholar] [CrossRef] [PubMed] [PubMed Central]
- Kim, E.S.H.; Sharma, A.M.; Scissons, R.; Dawson, D.; Eberhardt, R.T.; Gerhard-Herman, M.; Hughes, J.P.; Knight, S.; Kupinski, A.M.; Mahe, G. Interpretation of peripheral arterial and venous Doppler waveforms: A Consensus Statement from the Society for Vascular Medicine and Society for Vascular Ultrasound. Vasc. Med. 2020, 25, 484–506. [Google Scholar] [CrossRef] [PubMed]
- Malik, J.; de Bont, C.; Valerianova, A.; Krupickova, Z.; Novakova, L. Arteriovenous Hemodialysis Access Stenosis Diagnosed by Duplex Doppler Ultrasonography: A Review. Diagnostics 2022, 12, 1979. [Google Scholar] [CrossRef] [PubMed] [PubMed Central]
- Mudoni, A.; Cornacchiari, M.; Gallieni, M.; Guastoni, C.; McGrogan, D.; Logias, F.; Ferramosca, E.; Mereghetti, M.; Inston, N. Aneurysms and pseudoaneurysms in dialysis access. Clin. Kidney J. 2015, 8, 363–367. [Google Scholar] [CrossRef] [PubMed] [PubMed Central]
- Wheeler, D.C.; Winkelmayer, W.C. KDIGO 2017 Clinical Practice Guideline Update for the Diagnosis, Evaluation, Prevention, and Treatment of Chronic Kidney Disease-Mineral and Bone Disorder (CKD-MBD). Kidney Int. Suppl. 2017, 7, 1–59, Erratum in Kidney Int. Suppl. 2017, 7, e1. https://doi.org/10.1016/j.kisu.2017.10.001. [Google Scholar] [CrossRef] [PubMed] [PubMed Central]
- Yamada, S.; Nakano, T. Role of Chronic Kidney Disease (CKD)-Mineral and Bone Disorder (MBD) in the Pathogenesis of Cardiovascular Disease in CKD. J. Atheroscler. Thromb. 2023, 30, 835–850. [Google Scholar] [CrossRef] [PubMed] [PubMed Central]
- Schlieper, G.; Krüger, T.; Djuric, Z.; Damjanovic, T.; Markovic, N.; Schurgers, L.J.; Brandenburg, V.M.; Westenfeld, R.; Dimkovic, S.; Ketteler, M.; et al. Vascular access calcification predicts mortality in hemodialysis patients. Kidney Int. 2008, 74, 1582–1587. [Google Scholar] [CrossRef] [PubMed]
- Toussaint, N.D.; Lau, K.K.; Polkinghorne, K.R.; Kerr, P.G. Measurement of vascular calcification using CT fistulograms. Nephrol. Dial. Transplant. 2007, 22, 484–490. [Google Scholar] [CrossRef]
- Wang, Y.; Huang X mei Zhang, Y.; Li, J.; Li, J.; Ye, Z.; Xu, L. Comparison of ultrasound features and lesion sites in dysfunctional arteriovenous fistula. Ren. Fail. 2024, 46, 2294148. [Google Scholar] [CrossRef]
- Johri, A.M.; Nambi, V.; Naqvi, T.Z.; Feinstein, S.B.; Kim, E.S.H.; Park, M.M.; Becher, H.; Sillesen, H. Recommendations for the Assessment of Carotid Arterial Plaque by Ultrasound for the Characterization of Atherosclerosis and Evaluation of Cardiovascular Risk: From the American Society of Echocardiography. J. Am. Soc. Echocardiogr. 2020, 33, 917–933. [Google Scholar] [CrossRef] [PubMed]
- Huthart, S.; Oates, C.; Allen, J.; Fiaschi, K.; Sims, A.J.; Stansby, G. Validation of a Standardised Duplex Ultrasound Classification System for the Reporting and Grading of Peripheral Arterial Disease. Eur. J. Vasc. Endovasc. Surg. 2022, 64, 210–216. [Google Scholar] [CrossRef]
- Pajek, J.; Malovrh, M. Preoperative ultrasound still valuable for radio-cephalic arteriovenous fistula creation? J. Vasc. Access 2017, 18 (Suppl. S1), 5–9. [Google Scholar] [CrossRef]
- Lee, J.Y.; Kim, Y.O. Pre-existing arterial pathologic changes affecting arteriovenous fistula patency and cardiovascular mortality in hemodialysis patients. Korean J. Intern. Med. 2017, 32, 790–797. [Google Scholar] [CrossRef] [PubMed] [PubMed Central]
- Gubensek, J. Doppler ultrasound assessment of calcified radial arteries prior to radio-cephalic arterio-venous fistula placement: An observational study. J. Vasc. Access. 2024, 25, 897–903. [Google Scholar] [CrossRef] [PubMed]
- Allon, M.; Litovsky, S.; Young, C.J.; Deierhoi, M.H.; Goodman, J.; Hanaway, M.; Lockhart, M.E.; Robbin, M.L. Medial fibrosis, vascular calcification, intimal hyperplasia, and arteriovenous fistula maturation. Am. J. Kidney Dis. 2011, 58, 437–443. [Google Scholar] [CrossRef] [PubMed] [PubMed Central]
- Allon, M.; Robbin, M.L.; Umphrey, H.R.; Young, C.J.; Deierhoi, M.H.; Goodman, J.; Hanaway, M.; Lockhart, M.E.; Barker-Finkel, J.; Litovsky, S. Preoperative arterial microcalcification and clinical outcomes of arteriovenous fistulas for hemodialysis. Am. J. Kidney Dis. 2015, 66, 84–90. [Google Scholar] [CrossRef] [PubMed] [PubMed Central]
- Ashraf, J.V.; Al Haj Zen, A. Role of Vascular Smooth Muscle Cell Phenotype Switching in Arteriogenesis. Int. J. Mol. Sci. 2021, 22, 10585. [Google Scholar] [CrossRef] [PubMed] [PubMed Central]
- Roca-Tey, R.; Páez, R.; Rivas, A.; Samon, R.; Ibrik, O.; Giménez, I.; Viladoms, J. Prevalence and functional effect of arteriovenous fistula calcifications, evaluated by spiral CT in chronic haemodialysis patients. Nefrologia 2009, 29, 214–221. (In Spanish) [Google Scholar] [CrossRef] [PubMed]
- National Kidney Foundation. KDOQI Clinical Practice Guideline for Hemodialysis Adequacy: 2015 update. Am. J. Kidney Dis. 2015, 66, 884–930, Erratum in Am. J. Kidney Dis. 2016, 67, 534. [Google Scholar] [CrossRef] [PubMed]
- He, Y.; Northrup, H.; Roy-Chaudhury, P.; Cheung, A.K.; Berceli, S.A.; Shiu, Y.T. Analyses of hemodialysis arteriovenous fistula geometric configuration and its associations with maturation and reintervention. J. Vasc. Surg. 2021, 73, 1778–1786.e1. [Google Scholar] [CrossRef] [PubMed] [PubMed Central]
- Rong, S.; Qiu, X.; Jin, X.; Shang, M.; Huang, Y.; Tang, Z.; Yuan, W. Risk factors for heart valve calcification in chronic kidney disease. Medicine 2018, 97, e9804. [Google Scholar] [CrossRef] [PubMed] [PubMed Central]
- Raggi, P.; Bellasi, A.; Gamboa, C.; Ferramosca, E.; Ratti, C.; Block, G.A.; Muntner, P. All-cause mortality in hemodialysis patients with heart valve calcification. Clin. J. Am. Soc. Nephrol. 2011, 6, 1990–1995. [Google Scholar] [CrossRef] [PubMed] [PubMed Central]
- Waziri, B.; Duarte, R.; Naicker, S. Chronic Kidney Disease-Mineral and Bone Disorder (CKD-MBD): Current Perspectives. Int. J. Nephrol. Renov. Dis. 2019, 12, 263–276. [Google Scholar] [CrossRef] [PubMed] [PubMed Central]
- Lamina, C.; Kronenberg, F.; Stenvinkel, P.; Froissart, M.; Forer, L.; Schönherr, S.; Wheeler, D.C.; Eckardt, K.-U.; Floege, J. Association of changes in bone mineral parameters with mortality in haemodialysis patients: Insights from the ARO cohort. Nephrol. Dial. Transplant. 2020, 35, 478–487. [Google Scholar] [CrossRef] [PubMed]
- Cardús, A.; Panizo, S.; Parisi, E.; Fernandez, E.; Valdivielso, J.M. Differential effects of vitamin D analogs on vascular calcification. J. Bone Miner. Res. 2007, 22, 860–866. [Google Scholar] [CrossRef]
- Lopez, I.; Aguilera-Tejero, E.; Mendoza, F.J.; Almaden, Y.; Perez, J.; Martin, D.; Rodriguez, M. Calcimimetic R-568 decreases extraosseous calcifications in uremic rats treated with calcitriol. J. Am. Soc. Nephrol. 2006, 17, 795–804. [Google Scholar] [CrossRef] [PubMed]
- Raggi, P.; Chertow, G.M.; Torres, P.U.; Csiky, B.; Naso, A.; Nossuli, K.; Moustafa, M.; Goodman, W.G.; Lopez, N.; Downey, G.; et al. The ADVANCE study: A randomized study to evaluate the effects of cinacalcet plus low-dose vitamin D on vascular calcification in patients on hemodialysis. Nephrol. Dial. Transplant. 2011, 26, 1327–1339. [Google Scholar] [CrossRef]
- Rojas, M.G.; Pereira-Simon, S.; Zigmond, Z.M.; Varona Santos, J.; Perla, M.; Santos Falcon, N.; Stoyell-Conti, F.F.; Salama, A.; Yang, X.; Long, X.; et al. Single-Cell Analyses Offer Insights into the Different Remodeling Programs of Arteries and Veins. Cells 2024, 13, 793. [Google Scholar] [CrossRef] [PubMed] [PubMed Central]
- Jankovic, A.; Damjanovic, T.; Djuric, Z.; Marinkovic, J.; Schlieper, G.; Djuric, P.; Dragovic, J.T.; Bulatovic, A.; Mitrovic, M.; Popovic, J.; et al. Calcification in arteriovenous fistula blood vessels may predict arteriovenous fistula failure: A 5-year follow-up study. Int. Urol. Nephrol. 2017, 49, 881–887. [Google Scholar] [CrossRef] [PubMed]
- Zha, Y.; Qian, Q. Protein Nutrition and Malnutrition in CKD and ESRD. Nutrients 2017, 9, 208. [Google Scholar] [CrossRef] [PubMed] [PubMed Central]
- Zyga, S.; Christopoulou, G.; Malliarou, M. Malnutrition-inflammation-atherosclerosis syndrome in patients with end-stage renal disease. J. Ren. Care 2011, 37, 12–15. [Google Scholar] [CrossRef]
- Enia, G.; Sicuso, C.; Alati, G.; Zoccali, C. Subjective global assessment of nutrition in dialysis patients. Nephrol. Dial. Transplant. 1993, 8, 1094–1098. [Google Scholar] [PubMed]


| Variable | All (n = 161) | With Calcifications (n = 63) | Without Calcifications (n = 98) | p |
|---|---|---|---|---|
| Age (median, IQR) | 57.8 +/− 12.9 | 54.7 +/− 12.3 | 59.8 +/− 12.9 | 0.01 |
| AVF type (RC/BC/BB) | 78 (48.4%) | 31 (49.2%) | 47 (47.9%) | 0.8 |
| 67 (41.6%) | 25 (39.6%) | 42 (42.8%) | 0.6 | |
| 18 (10%) | 7 (12.2%) | 9 (9.3%) | 0.5 | |
| HD vintage (months) | 48 (16.5–83.5) | 86.5 (61–128) | 20 (9–53) | <0.001 |
| AVF vintage at US evaluation (months) | 36 (9.8–70.3) | 72 (40–104) | 14.5 (6–42) | <0.001 |
| First vascular access (number, %) | 18 (11.2%) | 11 (17.5%) | 7 (7.1%) | 0.04 |
| Sex (F/M) | 53 F, 108 M (33%, 67%) | 18 F, 45 M (29%, 71%) | 35 F, 64 M (36%, 64%) | 0.3 |
| Diabetes mellitus (number) | 38 | 14 | 24 | 0.74 |
| Valvular calcifications (number) | 55 | 19 | 36 | 0.39 |
| Previous ipsilateral CVC (1/0) | 65 | 26 | 39 | 0.72 |
| Concomittant Aneurysm (1/0) | 52 | 31 | 21 | 0.0002 |
| Concomittant stenosis (1/0) | 23 | 14 | 9 | 0.02 |
| Qa (ml/min) | 783 (530–1289) | 800 (581–1626) | 750 (504–1181) | 0.05 |
| eKt/v < 1.2 (number) | 40 | 10 | 30 | 0.03 |
| eKt/v | 1.21 (1.31–1.44) | 1.39 (1.25–1.5) | 1.27 (1.17–1.42) | 0.001 |
| Subjective Global Assessment (SGA) | 3 (2–4) | 3 (2–3) | 3 (2–6) | 0.12 |
| Hb (g/dL) | 10.8 +/− 1.5 | 11.1 +/− 1.45 | 10.6 +/− 1.54 | 0.04 |
| Ca (mg/dL) | 8.9 +/− 0.7 | 9.16 +/− 0.8 | 8.83 +/− 0.67 | 0.005 |
| Phosphorus (mg/dL) | 4.7 (3.89–5.67) | 4.93 (4.03–6.19) | 4.45 (3.78–5.41) | 0.07 |
| Bicarbonate (mmol/L) | 19.8 +/− 2.1 | 19.8 +/− 2.2 | 19.7 +/− 2.2 | 0.78 |
| Ferritin (mg/dL) | 501 (356–689) | 548 (358–799) | 484 (343–688) | 0.4 |
| iPTH (pg/mL) | 330 (149–838) | 520 (162–1041) | 280 (137–556) | 0.03 |
| Albumin (g/dL) | 4.1 (3.94–4.39) | 4.24 (4.06–4.42) | 4.09 (4.87–4.27) | 0.05 |
| Variable | Coefficient | Std. Error | p |
|---|---|---|---|
| Age (years) | −0.003818 | 0.002910 | 0.1918 |
| Albumin (g/dL) | −0.02119 | 0.09377 | 0.8215 |
| Aneurysms (1/0) | 0.07299 | 0.07694 | 0.3446 |
| AVF vintage (months) | 0.001798 | 0.001652 | 0.2784 |
| Ca (mg/dL) | 0.1317 | 0.04809 | 0.0070 |
| Hb | 0.01645 | 0.02345 | 0.4844 |
| HD vintage (months) | 0.003158 | 0.001476 | 0.0343 |
| iPTH (pg/mL) | 0.00001751 | 0.00006295 | 0.7813 |
| Qa | 0.00004139 | 0.00003158 | 0.1923 |
| Phosphate (mg/dL) | 0.02122 | 0.02393 | 0.3769 |
| Stenosis (1/0) | 0.1541 | 0.09738 | 0.1161 |
| eKt/V | 0.01082 | 0.07933 | 0.8917 |
| Number of Patients with a Functional AVF | Functioning AVFs—Beginning of the Study (n) | Functioning AVFs—5 Year Follow-Up (n) | Functioning AVFs—5 Year Follow-Up (%) |
|---|---|---|---|
| Group with AVF calcifications | 63 | 26 | 41% |
| Group without AVF calcifications | 161 | 46 | 29% |
Disclaimer/Publisher’s Note: The statements, opinions and data contained in all publications are solely those of the individual author(s) and contributor(s) and not of MDPI and/or the editor(s). MDPI and/or the editor(s) disclaim responsibility for any injury to people or property resulting from any ideas, methods, instructions or products referred to in the content. |
© 2024 by the authors. Licensee MDPI, Basel, Switzerland. This article is an open access article distributed under the terms and conditions of the Creative Commons Attribution (CC BY) license (https://creativecommons.org/licenses/by/4.0/).
Share and Cite
Grosu, I.D.; Stirbu, O.; Schiller, A.; Bob, F. Arterio-Venous Fistula Calcifications—Risk Factors and Clinical Relevance. Biomedicines 2024, 12, 2464. https://doi.org/10.3390/biomedicines12112464
Grosu ID, Stirbu O, Schiller A, Bob F. Arterio-Venous Fistula Calcifications—Risk Factors and Clinical Relevance. Biomedicines. 2024; 12(11):2464. https://doi.org/10.3390/biomedicines12112464
Chicago/Turabian StyleGrosu, Iulia Dana, Oana Stirbu, Adalbert Schiller, and Flaviu Bob. 2024. "Arterio-Venous Fistula Calcifications—Risk Factors and Clinical Relevance" Biomedicines 12, no. 11: 2464. https://doi.org/10.3390/biomedicines12112464
APA StyleGrosu, I. D., Stirbu, O., Schiller, A., & Bob, F. (2024). Arterio-Venous Fistula Calcifications—Risk Factors and Clinical Relevance. Biomedicines, 12(11), 2464. https://doi.org/10.3390/biomedicines12112464

