The Association between the Firmicutes/Bacteroidetes Ratio and Body Mass among European Population with the Highest Proportion of Adults with Obesity: An Observational Follow-Up Study from Croatia
Abstract
1. Introduction
2. Materials and Methods
2.1. Study Population
2.2. Sample Collection and 16s rRNA NGS of the Gut Microbiota
2.3. Primers
2.4. Statistical Analysis
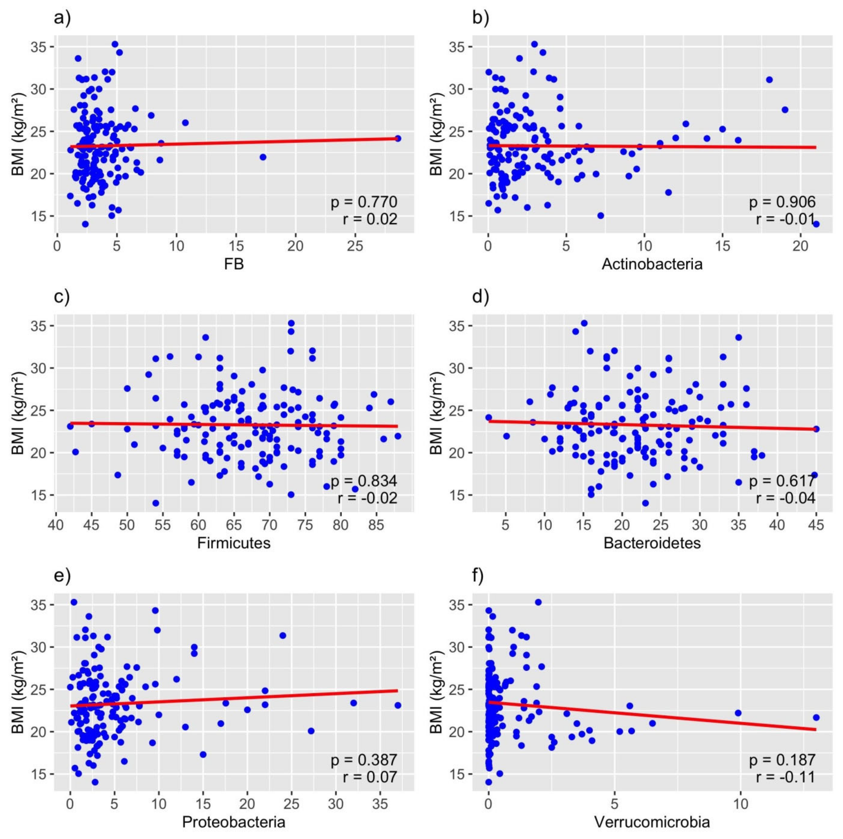
3. Results
4. Discussion
5. Conclusions
Author Contributions
Funding
Institutional Review Board Statement
Informed Consent Statement
Data Availability Statement
Acknowledgments
Conflicts of Interest
Abbreviations
References
- Jia, X.; Xu, W.; Zhang, L.; Li, X.; Wang, R.; Wu, S. Impact of Gut Microbiota and Microbiota-Related Metabolites on Hyperlipidemia. Front. Cell. Infect. Microbiol. 2021, 11, 634780. [Google Scholar] [CrossRef] [PubMed]
 - Rinninella, E.; Raoul, P.; Cintoni, M.; Franceschi, F.; Miggiano, G.A.D.; Gasbarrini, A.; Mele, M.C. What is the Healthy Gut Microbiota Composition? A Changing Ecosystem across Age, Environment, Diet, and Diseases. Microorganisms 2019, 7, 14. [Google Scholar] [CrossRef] [PubMed]
 - Cahana, I.; Iraqi, F.A. Impact of host genetics on gut microbiome: Take-home lessons from human and mouse studies. Anim. Model. Exp. Med. 2020, 3, 229–236. [Google Scholar] [CrossRef] [PubMed]
 - Rinninella, E.; Cintoni, M.; Raoul, P.; Lopetuso, L.R.; Scaldaferri, F.; Pulcini, G.; Miggiano, G.A.D.; Gasbarrini, A.; Mele, M.C. Food Components and Dietary Habits: Keys for a Healthy Gut Microbiota Composition. Nutrients 2019, 11, 2393. [Google Scholar] [CrossRef] [PubMed]
 - Min, L.; Ablitip, A.; Wang, R.; Luciana, T.; Wei, M.; Ma, X. Effects of Exercise on Gut Microbiota of Adults: A Systematic Review and Meta-Analysis. Nutrients 2024, 16, 1070. [Google Scholar] [CrossRef]
 - Abdelsalam, N.A.; Ramadan, A.T.; ElRakaiby, M.T.; Aziz, R.K. Toxicomicrobiomics: The Human Microbiome vs. Pharmaceutical, Dietary, and Environmental Xenobiotics. Front. Pharmacol. 2020, 11, 390. [Google Scholar] [CrossRef]
 - Gunawan, W.B.; Putra Abadi, M.N.; Fadhillah, F.S.; Nurkolis, F.; Pramono, A. The interlink between climate changes, gut microbiota, and aging processes. Human. Nutr. Metab. 2023, 32, 200193. [Google Scholar] [CrossRef]
 - Puschhof, J.; Elinav, E. Human microbiome research: Growing pains and future promises. PLoS Biol. 2023, 21, e3002053. [Google Scholar] [CrossRef]
 - Hajjo, R.; Sabbah, D.A.; Al Bawab, A.Q. Unlocking the Potential of the Human Microbiome for Identifying Disease Diagnostic Biomarkers. Diagnostics 2022, 12, 1742. [Google Scholar] [CrossRef]
 - Wei, S.; Bahl, M.I.; Baunwall, S.M.D.; Hvas, C.L.; Licht, T.R. Determining Gut Microbial Dysbiosis: A Review of Applied Indexes for Assessment of Intestinal Microbiota Imbalances. Appl. Environ. Microbiol. 2021, 87, e00395-21. [Google Scholar] [CrossRef]
 - Woting, A.; Blaut, M. The Intestinal Microbiota in Metabolic Disease. Nutrients 2016, 8, 202. [Google Scholar] [CrossRef] [PubMed]
 - Magne, F.; Gotteland, M.; Gauthier, L.; Zazueta, A.; Pesoa, S.; Navarrete, P.; Balamurugan, R. The Firmicutes/Bacteroidetes Ratio: A Relevant Marker of Gut Dysbiosis in Obese Patients? Nutrients 2020, 12, 1474. [Google Scholar] [CrossRef] [PubMed]
 - Pinart, M.; Dötsch, A.; Schlicht, K.; Laudes, M.; Bouwman, J.; Forslund, S.K.; Pischon, T.; Nimptsch, K. Gut Microbiome Composition in Obese and Non-Obese Persons: A Systematic Review and Meta-Analysis. Nutrients 2021, 14, 12. [Google Scholar] [CrossRef] [PubMed]
 - Zhuang, Z.; Zhou, P.; Wang, J.; Lu, X.; Chen, Y. The Characteristics, Mechanisms and Therapeutics: Exploring the Role of Gut Microbiota in Obesity. Diabetes Metab. Syndr. Obes. 2023, 16, 3691–3705. [Google Scholar] [CrossRef] [PubMed]
 - Ahn, J.; Hayes, R.B. Environmental Influences on the Human Microbiome and Implications for Noncommunicable Disease. Annu. Rev. Public Health 2021, 42, 277–292. [Google Scholar] [CrossRef]
 - Hasan, N.; Yang, H. Factors affecting the composition of the gut microbiota, and its modulation. PeerJ 2019, 7, e7502. [Google Scholar] [CrossRef]
 - World Health Organization. Available online: https://www.who.int/europe/news/item/10-05-2023-1-in-3-children-in-the-who-european-region-is-living-with-overweight-or-obesity (accessed on 18 March 2024).
 - Geng, J.; Ni, Q.; Sun, W.; Li, L.; Feng, X. The links between gut microbiota and obesity and obesity related diseases. Biomed. Pharmacother. 2022, 147, 112678. [Google Scholar] [CrossRef]
 - Cuevas-Sierra, A.; Ramos-Lopez, O.; Riezu-Boj, J.I.; Milagro, F.I.; Martinez, J.A. Diet, Gut Microbiota, and Obesity: Links with Host Genetics and Epigenetics and Potential Applications. Adv. Nutr. 2019, 10 (Suppl. S1), S17–S30. [Google Scholar] [CrossRef]
 - Wu, D.; Wang, H.; Xie, L.; Hu, F. Cross-Talk Between Gut Microbiota and Adipose Tissues in Obesity and Related Metabolic Diseases. Front. Endocrinol. 2022, 13, 908868. [Google Scholar] [CrossRef]
 - Peters, B.A.; Shapiro, J.A.; Church, T.R.; Miller, G.; Trinh-Shevrin, C.; Yuen, E.; Friedlander, C.; Hayes, R.B.; Ahn, J. A taxonomic signature of obesity in a large study of American adults. Sci. Rep. 2018, 8, 9749. [Google Scholar] [CrossRef]
 - Walters, W.A.; Xu, Z.; Knight, R. Meta-analyses of human gut microbes associated with obesity and IBD. FEBS Lett. 2014, 588, 4223–4233. [Google Scholar] [CrossRef] [PubMed]
 - Lozupone, C.A.; Stombaugh, J.; Gonzalez, A.; Ackermann, G.; Wendel, D.; Vazquez-Baeza, Y.; Jansson, J.K.; Gordon, J.I.; Knight, R. Meta-analyses of studies of the human microbiota. Genome Res. 2013, 23, 1704–1714. [Google Scholar] [CrossRef] [PubMed]
 - Liu, Z.; DeSantis, T.Z.; Andersen, G.L.; Knight, R. Accurate taxonomy assignments from 16S rRNA sequences produced by highly parallel pyrosequencers. Nucleic Acids Res. 2008, 36, e120. [Google Scholar] [CrossRef] [PubMed]
 - Ministarstvo Zdravstva. Akcijski Plan za Prevenciju Debljine 2024–2027. Available online: https://zdravlje.gov.hr/UserDocsImages/2024%20Objave/AP%20za%20prevenciju%20debljine%202024.-%202027..pdf (accessed on 19 March 2024).
 - Turnbaugh, P.J.; Hamady, M.; Yatsunenko, T.; Cantarel, B.L.; Duncan, A.; Ley, R.E.; Sogin, M.L.; Jones, W.J.; Roe, B.A.; Affourtit, J.P.; et al. A core gut microbiome in obese and lean twins. Nature 2009, 457, 480–484. [Google Scholar] [CrossRef] [PubMed]
 - Salazar, J.; Angarita, L.; Morillo, V.; Navarro, C.; Martínez, M.S.; Chacín, M.; Torres, W.; Rajotia, A.; Rojas, M.; Cano, C.; et al. Microbiota and Diabetes Mellitus: Role of Lipid Mediators. Nutrients 2020, 12, 3039. [Google Scholar] [CrossRef]
 - Barlow, G.M.; Yu, A.; Mathur, R. Role of the gut microbiome in obesity and diabetes mellitus. Nutr. Clin. Pract. 2015, 30, 787–797. [Google Scholar] [CrossRef]
 - Palmas, V.; Pisanu, S.; Madau, V.; Casula, E.; Deledda, A.; Cusano, R.; Uva, P.; Vascellari, S.; Loviselli, A.; Manzin, A.; et al. Gut microbiota markers associated with obesity and overweight in Italian adults. Sci. Rep. 2021, 11, 5532. [Google Scholar] [CrossRef]
 - Ley, R.E.; Backhed, F.; Turnbaugh, P.; Lozupone, C.A.; Knight, R.D.; Gordon, J.I. Obesity alters gut microbial ecology. Proc. Natl. Acad. Sci. USA 2005, 102, 11070–11075. [Google Scholar] [CrossRef]
 - Medanić, D.; Pucarin-Cvetković, J. Pretilost—Javnozdravstveni problem i izazov. Acta Medica Croat. Časopis Akad. Med. Znan. Hrvat. 2012, 66, 347–354. [Google Scholar]
 - Hrvatski Zavod za Javno Zdravstvo. Odjel za Promicanje Tjelesnog Zdravlja. Available online: https://www.hzjz.hr/sluzba-promicanje-zdravlja/odjel-za-prevenciju-debljine/ (accessed on 18 March 2024).
 - Duncan, S.H.; Lobley, G.E.; Holtrop, G.; Ince, J.; Johnstone, A.M.; Louis, P.; Flint, H.J. Human colonic microbiota associated with diet, obesity and weight loss. Int. J. Obes. 2008, 32, 1720–1724. [Google Scholar] [CrossRef]
 - Schwiertz, A.; Taras, D.; Schäfer, K.; Beijer, S.; Bos, N.A.; Donus, C.; Hardt, P.D. Microbiota and SCFA in lean and overweight healthy subjects. Obesity 2010, 18, 190–195. [Google Scholar] [CrossRef]
 - Koliada, A.; Syzenko, G.; Moseiko, V.; Budovska, L.; Puchkov, K.; Perederiy, V.; Gavalko, Y.; Dorofeyev, A.; Romanenko, M.; Tkach, S.; et al. Association between body mass index and Firmicutes/Bacteroidetes ratio in an adult Ukrainian population. BMC Microbiol. 2017, 17, 120. [Google Scholar] [CrossRef] [PubMed]
 - Sweeney, T.E.; Morton, J.M. The human gut microbiome: A review of the effect of obesity and surgically induced weight loss. JAMA Surg. 2013, 148, 563–569. [Google Scholar] [CrossRef] [PubMed]
 - Hills, R.D., Jr.; Pontefract, B.A.; Mishcon, H.R.; Black, C.A.; Sutton, S.C.; Theberge, C.R. Gut Microbiome: Profound Implications for Diet and Disease. Nutrients 2019, 11, 1613. [Google Scholar] [CrossRef]
 - Sánchez-Alcoholado, L.; Fernández-García, J.C.; Gutiérrez-Repiso, C.; Bernal-López, M.R.; Ocaña-Wilhelmi, L.; García-Fuentes, E.; Moreno-Indias, I.; Tinahones, F.J. Incidental Prophylactic Appendectomy Is Associated with a Profound Microbial Dysbiosis in the Long-Term. Microorganisms 2020, 8, 609. [Google Scholar] [CrossRef] [PubMed]
 - Xu, P.; Li, M.; Zhang, J.; Zhang, T. Correlation of intestinal microbiota with overweight and obesity in Kazakh school children. BMC Microbiol. 2012, 12, 283. [Google Scholar] [CrossRef]
 - Total Croatia News. Vegan and Vegetarian Food Options in Croatia. Available online: https://total-croatia-news.com/see-and-do/vegan-vegetarian-croatia/ (accessed on 19 March 2024).
 - Stojanov, S.; Berlec, A.; Štrukelj, B. The Influence of Probiotics on the Firmicutes/Bacteroidetes Ratio in the Treatment of Obesity and Inflammatory Bowel disease. Microorganisms 2020, 8, 1715. [Google Scholar] [CrossRef] [PubMed]
 - Kolčić, I.; Relja, A.; Gelemanović, A.; Miljković, A.; Boban, K.; Hayward, C.; Rudan, I.; Polašek, O. Mediterranean diet in the southern Croatia—Does it still exist? Croat. Med. J. 2016, 57, 415–424. [Google Scholar] [CrossRef]
 - Gerić, M.; Matković, K.; Gajski, G.; Rumbak, I.; Štancl, P.; Karlić, R.; Bituh, M. Adherence to Mediterranean Diet in Croatia: Lessons Learned Today for a Brighter Tomorrow. Nutrients 2022, 14, 3725. [Google Scholar] [CrossRef]
 - Fallani, M.; Young, D.; Scott, J.; Norin, E.; Amarri, S.; Adam, R.; Aguilera, M.; Khanna, S.; Gil, A.; Edwards, C.A.; et al. Intestinal microbiota of 6-week-old infants across Europe. Geographic influence beyond delivery mode, breast-feeding, and antibiotics. J. Pediatr. Gastroenterol. Nutr. 2010, 51, 77–84. [Google Scholar] [CrossRef]
 - Yatsunenko, T.; Rey, F.E.; Manary, M.J.; Trehan, I.; Dominguez-Bello, M.G.; Contreras, M.; Magris, M.; Hidalgo, G.; Baldassano, R.N.; Anokhin, A.P.; et al. Human gut microbiome viewed across age and geography. Nature 2012, 486, 222–227. [Google Scholar] [CrossRef] [PubMed]
 - Escobar, J.S.; Klotz, B.; Valdes, B.E.; Agudelo, G.M. The gut microbiota of Colombians differs from that of Americans, Europeans and Asians. BMC Microbiol. 2014, 14, 311. [Google Scholar] [CrossRef] [PubMed]
 - Magne, F.; O’Ryan, M.L.; Vidal, R.; Farfan, M. The human gut microbiome of Latin America populations: A landscape to be discovered. Curr. Opin. Infect. Dis. 2016, 29, 528–537. [Google Scholar] [CrossRef] [PubMed]
 - Suzuki, T.A.; Worobey, M. Geographical variation of human gut microbial composition. Biol. Lett. 2014, 10, 20131037. [Google Scholar] [CrossRef]
 





| Variable | BMI Category | |||
|---|---|---|---|---|
| <18.5 kg/m2  underweight N (% in total)  | 18.5–24.9 kg/m2  normal weight N (% of total)  | ≥25 kg/m2  overweight N (% of total)  | Total  N (% of total)  | |
| Age: | ||||
| <20 | 3 (2%) | 1 (1%) | - | 4(3%) | 
| 20–39 | 6 (4%) | 58 (38%) | 23 (15%) | 87 (57%) | 
| 39–59 | 3 (2%) | 29 (19%) | 22 (15%) | 54 (36%) | 
| >59 | 1 (1%) | 2 (2%) | 3 (3%) | 6 (4%) | 
| Gender: | ||||
| Male | 1 (1%) | 25 (17%) | 21 (14%) | 47 (32%) | 
| Female | 12 (8%) | 65 (43%) | 27 (17%) | 104 (68%) | 
| Tobacco smoking: | ||||
| Never | 10 (7%) | 66 (44%) | 39 (26%) | 115 (77%) | 
| Rarely (1–2 cigarettes per week) | 1 (1%) | 14 (9%) | 4 (3%) | 19 (13%) | 
| Occasionally (3–4 cigarettes per week) | 1 (1%) | 7 (4%) | - | 8 (5%) | 
| Every day | 1 (1%) | 3 (2%) | 5 (3%) | 9 (6%) | 
| Change in body mass: | ||||
| No change | 8 (5%) | 67 (44%) | 30 (21%) | 105 (70%) | 
| Increase in body mass | 4 (3%) | 10 (7%) | 5 (3%) | 19 (13%) | 
| Decrease in body mass | 1 (1%) | 10 (7%) | 16 (10%) | 27 (18%) | 
| Appendectomy: | ||||
| No | 12 (8%) | 85 (56%) | 42 (28%) | 139 (92%) | 
| Yes | 1 (1%) | 5 (3%) | 6 (4%) | 12 (8%) | 
| Dietary regime: | ||||
| Omnivore | 10 (7%) | 70 (46%) | 41 (27%) | 121 (80%) | 
| Vegetarian/vegan | 2 (1%) | 7 (5%) | 1 (1%) | 10 (7%) | 
| Other | 1 (1%) | 15 (10%) | 4 (2%) | 20 (13%) | 
| Dietary fiber intake as priority: | ||||
| Yes | 1 (1%) | 28 (18%) | 12 (8%) | 41 (27%) | 
| No | 5 (3%) | 23 (15%) | 15 (10%) | 43 (28%) | 
| I am trying to | 7 (4%) | 39 (26%) | 21 (14%) | 67 (44%) | 
| Physical activity: | ||||
| Never | - | 8 (5%) | 4 (3%) | 12 (8%) | 
| Rarely (1–2 times per week) | 2 (1%) | 28 (18%) | 22 (15%) | 52 (34%) | 
| Frequently (3–4 times per week) | 10 (7%) | 38 (25%) | 13 (9%) | 61 (41%) | 
| Every day | 1 (1%) | 16 (10%) | 9 (6%) | 26 (17%) | 
| Antibiotic intake before 3 months | ||||
| Yes | - | 2 (1%) | 1 (1%) | 3 (2%) | 
| No | 13 (9%) | 88 (58%) | 47 (31%) | 148 (98%) | 
| Drugs | ||||
| Yes | 3 (2%) | 29 (19%) | 22 (15%) | 54 (36%) | 
| No | 10 (7%) | 61 (40%) | 26 (17%) | 97 (64%) | 
| Probiotic intake before 3 months | ||||
| Yes | 5 (3%) | 29 (19%) | 13 (9%) | 47 (31%) | 
| No | 8 (5%) | 61 (41%) | 35 (23%) | 104 (69%) | 
| Dietary supplement intake | ||||
| Yes | 10 (7%) | 63 (42%) | 32 (21%) | 105 (70%) | 
| No | 3 (2%) | 27 (18%) | 16 (10%) | 46 (30%) | 
| Alcohol consumption | ||||
| Not at all | 7 (5%) | 12 (8%) | 5 (3%) | 24 (16%) | 
| Rarely | 5 (3%) | 41 (27%) | 20 (13%) | 66 (43%) | 
| Occasionally | 1 (1%) | 35 (23%) | 22 (14%) | 58 (38%) | 
| Often | - | 2 (1%) | 1 (1%) | 3 (2%) | 
| Total | 13 (8%) | 90 (60%) | 48 (32%) | 151 | 
| Phylum | ||||
|---|---|---|---|---|
| Median | IQR | Minimum | Maximum | |
| Firmicutes | 67.48 | 61.85–73 | 42 | 88 | 
| Bacteroidetes | 21 | 16–26 | 2.8 | 45 | 
| Actinobacteria | 1.9 | 0.83–3.82 | 0.03 | 21 | 
| Proteobacteria | 3 | 1.85–5.75 | 0 | 37 | 
| Verrucomicrobia | 0.096 | 0.006–0.655 | 0 | 13 | 
| Phylum | BMI Category | Kruskal–Wallis Test | |||||
|---|---|---|---|---|---|---|---|
| Underweight  (<18.5 kg/m2)  | Normal Weight  (18.5–24.9 kg/m2)  | Overweight  (≥25 kg/m2)  | Total | χ2 | df | p-Value | |
| Firmicutes | 68 (63–72) | 68 (61–74) | 66 (63–73) | 67.5 (62–73) | 0.031 | 2 | 0.985 | 
| Bacteroidetes | 23 (17.26–28) | 20.9 (16–25) | 21.5 (16.16–26.31) | 21 (16–26) | 1.323 | 2 | 0.516 | 
| Actinobacteria | 1.03 (0.61–3.8) | 2.0 (0.85–4.05) | 1.75 (0.893–2.95) | 1.9 (0.83–3.82) | 0.408 | 2 | 0.815 | 
| Proteobacteria | 2.72 (2.1–3.06) | 3.4 (1.9–5.7) | 2.77 (1.77–6.10) | 3 (1.85–5.75) | 1.90 | 2 | 0.387 | 
| Verrucomicrobia | 0.01 (0.004–0.097) | 0.12 (0.015–1.1) | 0.10 (0.004–0.658) | 0.096 (0.006–0.655) | 3.671 | 2 | 0.160 | 
| Other phyla | 0.29 (0.00–2.43) | 1.30 (0.603–2.597) | 0.94 (0.406–3.898) | 1.06 (0.495–2.885) | 4.871 | 2 | 0.088 | 
| F/B ratio | 2.92 (2.35–3.79) | 3.14 (2.38–4.48) | 3.12 (2.38–4.48) | 3.11 (2.358–4.469) | 0.765 | 2 | 0.682 | 
| F/P ratio | 23.23 (21.92–33.33) | 20.29 (11.46–35.33) | 23.93 (11.13–39.23) | 22.70 (11.27–36.78) | 1.126 | 2 | 0.570 | 
| P/V ratio | 33.96 (6.99–250.34) | 16.84 (2.93–180) | 19.64 (5–180.36) | 20.8 (4.55–192.86) | 0.289 | 2 | 0.865 | 
| Variable | Kruskal–Wallis Test | ||||||
|---|---|---|---|---|---|---|---|
| χ2 | df | p-Value | |||||
| Age | |||||||
| years | <20 | 20–39 | 39–59 | >59 | |||
| F/B ratio (median, IQR) | 3.2 (2.2–4.3) | 3.1 (2.3–4.5) | 3.1 (2.4–4.3) | 3 (2.6–3.5) | 0.349 | 3 | 0.951 | 
| Gender | |||||||
| male | female | ||||||
| F/B ratio (median, IQR) | 3(2.3–4.5) | 3.1 (2.4–4.5) | 0.242 | 1 | 0.623 | ||
| Tobacco smoking | |||||||
| No | Rarely | Occasionally | Often | ||||
| F/B ratio (median, IQR) | 3.1 (2.4–4.3) | 3.2 (2.7–4.8) | 2.6 (2–3.1) | 3.4 (2.6–4.5) | 2.267 | 3 | 0.519 | 
| Change in body mass | |||||||
| No change | Increase in body mass | Decrease in body mass | |||||
| F/B ratio (median, IQR) | 3.2 (2.4–4.7) | 3.5 (2.3–4.5) | 2.9 (2.2–3.1) | 4.676 | 2 | 0.097 | |
| Appendectomy | |||||||
| Yes | No | ||||||
| F/B ratio (median, IQR) | 3.1 (2.4–4.5) | 3.1 (2.4–3.9) | 0.006 | 1 | 0.937 | ||
| Dietary regime | |||||||
| Omnivore | Vegetarian/vegan | Other | |||||
| F/B ratio (median, IQR) | 3.2 (2.4–4.6) | 3.2 (2.4–4.8) | 2.8 (2.2–3.2) | 1.822 | 2 | 0.402 | |
| Dietary fiber intake as priority | |||||||
| Yes | No | I am trying | |||||
| F/B ratio (median, IQR) | 3.1 (2.4–4.6) | 3.2 (2.5–4.1) | 3.1 (2.2–4.6) | 0.352 | 2 | 0.839 | |
| Physical activity | |||||||
| Never | Rarely (1–2× per week) | Frequently (3–4× per week) | Every day | ||||
| F/B ratio (median, IQR) | 3.2 (2.8–4.2) | 3.2 (2.3–4.1) | 3 (2.3–4.5) | 3.3 (2.6–4.6) | 1.816 | 3 | 0.612 | 
| Antibiotics (before 3 months) | |||||||
| Yes | No | ||||||
| F/B ratio (median, IQR) | 2 (1.9–2.7) | 3.1 (2.4–4.5) | 2.231 | 1 | 0.135 | ||
| Chronic medication | |||||||
| Yes | No | ||||||
| F/B ratio (median, IQR) | 3.1 (2.4–4) | 3.2 (2.3–4.6) | 0.146 | 1 | 0.7022 | ||
| Probiotics (before 3 months) | |||||||
| Yes | No | ||||||
| F/B ratio (median, IQR) | 3.1 (2.4–4) | 3.1 (2.3–4.6) | 0.005 | 1 | 0.946 | ||
| Dietary supplementation | |||||||
| Yes | No | ||||||
| F/B ratio (median, IQR) | 3.1 (2.4–4.4) | 3.2 (2.2–4.5) | 0.128 | 1 | 0.720 | ||
| Alcohol intake | |||||||
| Never | Occasionally | Regular | |||||
| F/B ratio (median, IQR) | 3.3 (2.4–4.6) | 3 (2.5–4.2) | 3.2 (2.3–4.7) | 0.269 | 2 | 0.874 | |
Disclaimer/Publisher’s Note: The statements, opinions and data contained in all publications are solely those of the individual author(s) and contributor(s) and not of MDPI and/or the editor(s). MDPI and/or the editor(s) disclaim responsibility for any injury to people or property resulting from any ideas, methods, instructions or products referred to in the content.  | 
© 2024 by the authors. Licensee MDPI, Basel, Switzerland. This article is an open access article distributed under the terms and conditions of the Creative Commons Attribution (CC BY) license (https://creativecommons.org/licenses/by/4.0/).
Share and Cite
Karačić, A.; Renko, I.; Krznarić, Ž.; Klobučar, S.; Liberati Pršo, A.-M. The Association between the Firmicutes/Bacteroidetes Ratio and Body Mass among European Population with the Highest Proportion of Adults with Obesity: An Observational Follow-Up Study from Croatia. Biomedicines 2024, 12, 2263. https://doi.org/10.3390/biomedicines12102263
Karačić A, Renko I, Krznarić Ž, Klobučar S, Liberati Pršo A-M. The Association between the Firmicutes/Bacteroidetes Ratio and Body Mass among European Population with the Highest Proportion of Adults with Obesity: An Observational Follow-Up Study from Croatia. Biomedicines. 2024; 12(10):2263. https://doi.org/10.3390/biomedicines12102263
Chicago/Turabian StyleKaračić, Andrija, Ira Renko, Željko Krznarić, Sanja Klobučar, and Ana-Marija Liberati Pršo. 2024. "The Association between the Firmicutes/Bacteroidetes Ratio and Body Mass among European Population with the Highest Proportion of Adults with Obesity: An Observational Follow-Up Study from Croatia" Biomedicines 12, no. 10: 2263. https://doi.org/10.3390/biomedicines12102263
APA StyleKaračić, A., Renko, I., Krznarić, Ž., Klobučar, S., & Liberati Pršo, A.-M. (2024). The Association between the Firmicutes/Bacteroidetes Ratio and Body Mass among European Population with the Highest Proportion of Adults with Obesity: An Observational Follow-Up Study from Croatia. Biomedicines, 12(10), 2263. https://doi.org/10.3390/biomedicines12102263
        
                                                