Pro-Resolving Inflammatory Effects of a Marine Oil Enriched in Specialized Pro-Resolving Mediators (SPMs) Supplement and Its Implication in Patients with Post-COVID Syndrome (PCS)
Abstract
1. Introduction
- The lack of adverse reactions;
- Significant rise in SPMs.
2. Material and Methods
- Conduct an anamnesis and physical exam;
- Measure the body temperature, blood pressure, and heart rate;
- Encourage the patient to participate in the study;
- Give oral and written information and obtain informed consent;
- Check the inclusion/exclusion criteria;
- Review the current concomitant medication.
- Check the inclusion/exclusion criteria;
- Conduct a physical exam;
- Measure the body temperature, blood pressure, and heart rate;
- Take a blood sample;
- Perform a pregnancy test (if applicable);
- Perform a Fatigue Severity Scale (FSS) test;
- Perform a Modified Medical Research Council (mMRC) validated Dyspnea Scale test;
- Performed randomization;
- Review the record of adverse events (AEs);
- Assess the concomitant medication;
- Review the record of intercurrent or concomitant illness;
- Provide the IP(s);
- Provide the patient’s diary;
- Provide instructions about the completion of the diary.
- Perform physical exam;
- Measure the body temperature, blood pressure, and heart rate;
- Take a blood sample;
- Perform a Fatigue Severity Scale (FSS) test;
- Perform a Modified Medical Research Council (mMRC) Dyspnea Scale test;
- Review the record of adverse events (AEs);
- Assess the Concomitant medication;
- Review the record of intercurrent or concomitant illness;
- Return the empty and unused product containers;
- Review the patient’s diary;
- Provide the IP(s).
- Perform a physical exam;
- Measure the body temperature, blood pressure, and heart rate;
- Take a blood sample;
- Perform a Fatigue Severity Scale (FSS) test;
- Perform a Modified Medical Research Council (mMRC) Dyspnea Scale test;
- Review the record of adverse events (AEs);
- Assess the concomitant medication;
- Review the record of intercurrent or concomitant illness;
- Return the empty and unused product containers;
- Review the patient’s diary.
2.1. Study Population
- (1)
- Adult patients with Post-COVID Syndrome, both genders, between 18 and 70 years old.
- Patients with clinical criteria that prove the COVID-19 infection: Diagnosis confirmed using a COVID-19 test (PCR, rapid antigen test, serological test). Symptoms must persist longer than 12 weeks after the beginning of the symptoms.
- Patients with fatigue/asthenia, dyspnea, and one of the following conditions:
- General malaise;
- Headaches;
- Low mood;
- Muscular pain.
- (2)
- Body mass index between 18.5 and 30 kg/m2.
- (3)
- The ability to provide informed consent.
- (4)
- Women who participate in the study must comply with one of the following conditions:
- Unable to become pregnant: women who had had surgical sterilization or were over two years after menopause.
- Fertile women must have a negative pregnancy test prior to their inclusion in the study (conducted during screening) and be using a highly efficient contraceptive method: hormonal contraceptives, intrauterine devices, condoms together with spermicide and gel, partner’s surgical sterilization (vasectomy), or total sexual abstinence during the study. The use of these contraceptive methods must continue at least 3 months after the last dose of the study products.
- (1)
- Pregnant or breastfeeding women.
- (2)
- Inability to use a highly efficient contraceptive method.
- (3)
- Recruited in another clinical trial.
- (4)
- Subjects involved in another clinical trial 4 weeks prior to their inclusion.
- (5)
- Patients with any concomitant illness or condition that could significantly affect the hematologic, renal, endocrine, pulmonary hepatic, gastrointestinal, cardiovascular, immunologic, central nervous, dermatologic, or any other system, with the exceptions stated in the inclusion criteria.
- (6)
- Use of immunosuppressant drugs or prolonged or maintained use of anti-inflammatory drugs and/or corticoids.
- (7)
- Hypersensitivity, allergy, or idiosyncratic reaction to omega-3 acids, fish or soya allergies.
2.2. Supplement Allocation
- Group A: N = 16 patients;
- Group B: N = 16 patients;
- Group C: Placebo N = 5 patients;
- Group X: N = 16 patients.
- Group A = 3000 mg/day;
- Group B = 1500 mg/day;
- Group C = Placebo;
- Group X = 500 mg/day.
2.3. Ethical Approval
2.4. Primary Endpoint
2.5. Statistical Analysis
2.6. Secondary Endpoint
- Fatigue Severity Scale (FSS) test: The FSS test measures fatigue on a unidimensional scale. It consists of nine questions with seven possible answers, quantifying each item on a scale of 1 to 7. The evolution of the mean scores from baseline to visit 2 (4th week of treatment, day 28) and to the end of the study (day 84 of treatment) is calculated.
- Modified Medical Research Council (mMRC) Dyspnea Scale test: The scale includes 5 degrees of physical activity that could cause dyspnea. The scale punctuates the dyspnea from 0 (no exercise causes dyspnea) to 4 (the dyspnea prevents the patients from leaving the house or performing routine daily activities like dressing up). The baseline results are compared to the scores at visit 2 (day 28) and the end of the study (day 84).
3. Results
3.1. Values for 14-HDHA
3.2. Values for 17-HDHA
3.3. Values of 18-HEPE
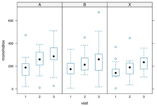
3.4. Total Amount of the Three Monohydroxylates
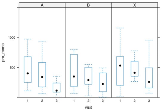
3.5. Sum of Pro-Inflammatory Values
3.6. Ratio between Pro-Inflammatory and Pro-Resolutive Markers
3.7. Clinical Changes
- Changes in the Fatigue Severity Scale (FSS) scores from baseline until weeks 4 and 12;
- Changes from baseline until weeks 4 and 12 in the mMRC (Modified Medical Research Council) Dyspnea Scale score.
3.8. Fatigue
3.9. Dyspnea
4. Discussion
- (a)
- Zero incidence of side effects;
- (b)
- Substantial increase in SPMs.
Limitations of the Clinical Trial
5. Conclusions
Author Contributions
Funding
Institutional Review Board Statement
Informed Consent Statement
Conflicts of Interest
Abbreviations
| 14-HDHA | 14-hydroxy-docosahexaenoic Acid |
| 17-HDHA | 17-hydroxy-docosahexaenoic Acid |
| 18-HEPE | 18-hydroxy-eicosapentaenoic Acid |
| AE | Adverse Event |
| AEMPS | Agencia Española de Medicamentos y Productos Sanitarios |
| AFC | Alveolar Fluid Clearance |
| AR | Adverse Reaction |
| ARDS | Acute Respiratory Distress Syndrome |
| CRF | Case Report Form |
| CRO | Clinical Research Organisation |
| CSR | Clinical Study Report |
| DHA | Docosahexaenoic Acid |
| EC | Ethics Committee |
| EoS | End of Study |
| EPA | Eicosapentaenoic Acid |
| FTH | Fundación Teófilo Hernando |
| FSS | Fatigue Severity Scale |
| GCP | Good Clinical Practice |
| IC | Informed Consent |
| IP | Investigational Product |
| ISF | Investigator Site File |
| ITT | Intention To Treat |
| LTB4 | Leucotrien B4 |
| LX (A4, B4) | Lipoxins |
| Ma (R1, R2) | Maresins |
| MedDRA | Medical Dictionary for Regulatory Activities |
| mMRC | Modified Medical Research Council |
| PD (1, X) | Protectins |
| PG (E2, D2, F2α) | Prostaglandins |
| PI | Principal Investigator |
| PP | Per Protocol |
| SAE | Severe Adverse Event |
| SEMG | Sociedad Española de Médicos Generales y de Familia (Spanish society of general practitioners and family doctors) |
| SPM | Specialized Pro-resolving Mediator |
| SOP | Standard Operation Procedure |
| SS | Safety Set |
| TXB2 | Thromboxane B2 |
References
- Wu, Y.C.; Chen, C.S.; Chan, Y.J. Overview of the 2019 Novel Coronavirus (2019-nCoV): The Pathogen of Severe Specific Contagious Pneumonia (SSCP). J. Chin. Med. Assoc. 2020, 11, 217–220. [Google Scholar] [CrossRef] [PubMed]
- Huang, C.; Wang, Y.; Li, X.; Ren, L.; Zhao, J.; Hu, Y.; Zhang, L.; Fan, G.; Xu, J.; Gu, X.; et al. Clinical features of patients infected with 2019 novel coronavirus in Wuhan, China. Lancet 2020, 395, 497–506. [Google Scholar] [CrossRef] [PubMed]
- Roser, M.; Ritchie, H.; Ortiz-Ospina, E. Coronavirus Disease (COVID-19)-Statistics and Research. Available online: https://ourworldindata.org/coronavirus (accessed on 1 October 2022).
- Wang, D.; Hu, B.; Hu, C.; Zhu, F.; Liu, X.; Zhang, J.; Wang, B.; Xiang, H.; Cheng, Z.; Xiong, Y.; et al. Clinical Characteristics of 138 Hospitalized Patients with 2019 Novel. Coronavirus-Infected Pneumonia in Wuhan, China. JAMA 2020, 323, 1061–1069. [Google Scholar] [CrossRef] [PubMed]
- Zhou, F.; Yu, T.; Du, R.; Fan, G.; Liu, Y.; Liu, Z.; Xiang, J.; Wang, Y.; Song, B.; Gu, X. Clinical course and risk factors for mortality of adult inpatients with COVID-19 in Wuhan, China: A retrospective cohort study. Lancet 2020, 395, 1054–1062. [Google Scholar] [CrossRef]
- Sanders, J.M.; Monogue, M.L.; Jodlowski, T.Z.; Cutrell, J.B. Pharmacologic Treatments for Coronavirus Disease 2019 (COVID-19). JAMA 2020, 323, 1824–1836. [Google Scholar] [CrossRef]
- Krolewiecki, A.; Lifschitz, A.; Moragas, M.; Travacio, M.; Valentini, R.; Alonso, D.F.; Solari, R.; Tinelli, M.A.; Cimino, R.O.; Álvarez, L.; et al. Antiviral effect of high-dose ivermectin in adults with COVID-19: A proof-of-concept randomized trial. eClinicalMedicine 2021, 37, 100959. [Google Scholar] [CrossRef]
- D’Elia, R.V.; Harrison, K.; Oyston, P.C.; Lukaszewski, R.A.; Clark, G.C. Targeting the “cytokine storm” for therapeutic benefit. Clin. Vaccine Immunol. 2013, 20, 319–327. [Google Scholar] [CrossRef]
- Wu, Z.; McGoogan, J.M. Characteristics of and important lessons from the coronavirus disease 2019 (COVID-19) outbreak in China: Summary of a report of 72 314 cases from the Chinese Center for Disease Control and Prevention. JAMA 2020, 323, 1239–1242. [Google Scholar] [CrossRef]
- Cao, B.; Wang, Y.; Wen, D.; Liu, W.; Wang, J.; Fan, G.; Ruan, L.; Song, B.; Cai, Y.; Wei, M.; et al. A trial of lopinavir-ritonavir in adults hospitalized with severe COVID-19. N. Engl. J. Med. 2020, 382, 1787–1799. [Google Scholar] [CrossRef] [PubMed]
- Guan, W.-J.; Ni, Z.-Y.; Hu, Y.; Liang, W.-H.; Ou, C.-Q.; He, J.-X.; Liu, L.; Shan, H.; Lei, C.-L.; Hui, D.S.C.; et al. Clinical characteristics of coronavirus disease 2019 in China. N. Engl. J. Med. 2020, 382, 1708–1720. [Google Scholar] [CrossRef]
- Cheng, Y.; Luo, R.; Wang, K.; Zhang, M.; Wang, Z.; Dong, L.; Li, J.; Yao, Y.; Ge, S.; Xu, G. Kidney disease is associated with in-hospital death of patients with COVID-19. Kidney Int. 2020, 97, 829–883. [Google Scholar] [CrossRef] [PubMed]
- Guo, T.; Fan, Y.; Chen, M.; Wu, X.; Zhang, L.; He, T.; Wang, H.; Wan, J.; Wang, X.; Lu, Z. Cardiovascular Implications of Fatal Outcomes of Patients with Coronavirus Disease 2019 (COVID-19). JAMA Cardiol. 2020, 5, 811–818. [Google Scholar] [CrossRef] [PubMed]
- Shi, S.; Qin, M.; Shen, B.; Cai, Y.; Liu, T.; Yang, F.; Gong, W.; Liu, X.; Liang, J.; Zhao, Q.; et al. Association of Cardiac Injury with Mortality in Hospitalized Patients with COVID-19 in Wuhan, China. JAMA Cardiol. 2020, 5, 802–810. [Google Scholar] [CrossRef] [PubMed]
- Xu, Z.; Shi, L.; Wang, Y.; Zhang, J.; Huang, L.; Zhang, C.; Liu, S.; Zhao, P.; Liu, H.; Zhu, L. Pathological findings of COVID-19 associated with acute respiratory distress syndrome. Lancet Respir. Med. 2020, 8, 420–422. [Google Scholar] [CrossRef] [PubMed]
- Wang, T.; Chen, R.; Liu, C.; Liang, W.; Guan, W.; Tang, R.; Tang, C.; Zhang, N.; Zhong, N.; Li, S. Attention should be paid to venous thromboembolism prophylaxis in managing COVID-19. Lancet Haematol. 2020, 7, 362–363. [Google Scholar] [CrossRef]
- Tang, N.; Bai, H.; Chen, X.; Gong, J.; Li, D.; Sun, Z. Anticoagulant treatment is associated with decreased mortality in severe coronavirus disease 2019 patients with coagulopathy. J. Thromb. Hemost. 2020, 18, 1094–1099. [Google Scholar] [CrossRef]
- Han, H.; Yang, L.; Liu, R.; Liu, F.; Wu, K.L.; Li, J.; Liu, X.H.; Zhu, C.L. Prominent changes in blood coagulation of patients with SARS-CoV-2 infection. Clin. Chem. Lab. Med. 2020, 58, 1116–1120. [Google Scholar] [CrossRef]
- Cui, S.; Chen, S.; Li, X.; Liu, S.; Wang, F. Prevalence of venous thromboembolism in patients with severe novel coronavirus pneumonia. J. Thromb. Haemost. 2020, 18, 1421–1424. [Google Scholar] [CrossRef]
- Serhan, C.N.; Dalli, J.; Colas, R.A.; Winkler, J.W.; Chiang, N. Protectins and maresins: New pro-resolving families of mediators in acute inflammation and resolution bioactive metabolome. Biochim. Biophys Acta 2015, 1851, 397–413. [Google Scholar] [CrossRef]
- Wang, Q.; Zheng, X.; Cheng, Y.; Zhang, Y.L.; Wen, H.X.; Tao, Z.; Li, H.; Hao, Y.; Gao, Y.; Yang, L.-M.; et al. Resolvin D1 stimulates alveolar fluid clearance through alveolar epithelial sodium channel, Na, K-ATPase via ALX/cAMP/PI3K pathway in lipopolysaccharide-induced acute lung injury. J. Immunol. 2014, 192, 3765–3777. [Google Scholar] [CrossRef]
- Serhan, C.N. Treating inflammation and infection in the 21st century: New hints from decoding resolution mediators and mechanisms. FASEB J. 2017, 31, 1273–1288. [Google Scholar] [CrossRef]
- Serhan, C.N.; Chiang, N. Resolution phase lipid mediators of inflammation: Agonists of resolution. Curr. Opin. Pharmacol. 2013, 13, 632–640. [Google Scholar] [CrossRef] [PubMed]
- Wang, Q.; Yan, S.F.; Hao, Y.; Jin, S.W. Specialized Pro-resolving Mediators Regulate Alveolar Fluid Clearance during Acute Respiratory Distress Syndrome. Chin. Med. J. 2018, 131, 982–989. [Google Scholar] [CrossRef] [PubMed]
- Matthay, M.A.; Ware, L.B.; Zimmerman, G.A. Acute respiratory distress syndrome. J. Clin. Investig. 2012, 122, 2731–2740. [Google Scholar] [CrossRef] [PubMed]
- Cilloniz, C.; Pantin-Jackwood, M.J.; Ni, C.; Goodman, A.G.; Peng, X.; Proll, S.C.; Carter, V.S.; Rosenzweig, E.R.; Szretter, K.J.; Katz, J.M.; et al. Lethal dissemination of H5N1 influenza virus is associated with dysregulation of inflammation and lipoxin signaling in a mouse infection model. J. Virol. 2010, 84, 7613–7624. [Google Scholar] [CrossRef]
- Schwarz, B.; Sharma, L.; Roberts, L.; Peng, X.; Bermejo, S.; Leighton, I.; Casanovas-Massana, A.; Minasyan, M.; Farhadian, S.; Ko, A.I.; et al. Cutting Edge: Severe SARS-CoV-2 Infection in Humans Is Defined by a Shift in the Serum Lipidome, Resulting in Dysregulation of Eicosanoid Immune Mediators. J. Immunol. 2020, 206, 329–334. [Google Scholar] [CrossRef]
- A Clinical Case Definition of Post COVID-19 Condition by a Delphi Consensus. 6 October 2021. Available online: https://iris.who.int/bitstream/handle/10665/345824/WHO-2019-nCoV-Post-COVID-19-condition-Clinical-case-definition-2021.1-eng.pdf?sequence=1 (accessed on 1 October 2022).
- Tabas, I.; Glass, C.K. Anti-inflammatory therapy in chronic disease: Challenges and opportunities. Science 2013, 339, 166–172. [Google Scholar] [CrossRef] [PubMed]
- Serhan, C.N.; Clish, C.B.; Brannon, J.; Colgan, S.P.; Chiang, N.; Gronert, K. Novel Functional Sets of Lipid-derived Mediators with Antiinflammatory Actions Generated from Omega-3 Fatty Acids via Cyclooxygenase 2–Nonsteroidal Antiinflammatory Drugs and Transcellular Processing. J. Exp. Med. 2000, 192, 1197–1204. [Google Scholar] [CrossRef]
- Serhan, C.H.; Hong, S.; Gronert, K.; Colgan, S.P.; Devchand, P.R.; Mirick, G.; Moussignac, R.L. Resolvins: A Family of Bioactive Products of Omega-3 Fatty Acid Transformation Circuits Initiated by Aspirin Treatment that Counter Proinflammation Signals. J. Exp. Med. 2002, 196, 1025–1037. [Google Scholar] [CrossRef]
- Bannenberg, G.L.; Chiang, N.; Ariel, A.; Arita, M.; Tjonahen, E.; Gotlinger, K.H.; Hong, S.; Serhan, C.H. Molecular circuits of resolution: Formation and actions of resolvins and protectins. J. Immunol. 2005, 174, 4345–4355. [Google Scholar] [CrossRef]
- Spite, M.; Norling, L.V.; Summers, L.; Yang, R.; Cooper, D.; Petasis, N.A.; Flower, R.J.; Perretti, M.; Serhan, C.H. Resolvin D2 is a potent regulator of leukocytes and controls microbial sepsis. Nature 2009, 461, 1287–1291. [Google Scholar] [CrossRef] [PubMed]
- Chiang, N.; Fredman, G.; Bäckhed, F.; Oh, S.F.; Vickery, T.; Schmidt, B.A.; Serhan, C.N. Infection Regulates Pro-Resolving Mediators that Lower Antibiotic Requirements. Nature 2012, 484, 524–528. [Google Scholar] [CrossRef]
- Elajami, T.K.; Colas, R.A.; Dalli, J.; Chiang, N.; Serhan, C.N.; Welty, F.K. Specialized pro-resolving lipid mediators in patients with coronary artery disease and their potential for clot remodeling. FASEB J. 2016, 30, 2792–2801. [Google Scholar] [CrossRef] [PubMed]
- Souza, P.R.; Marques, R.M.; Gomez, E.A.; Colas, R.A.; De Matteis, R.; Zak, A.; Patel, M.; Collier, D.J.; Dalli, J. Enriched marine oil supplements increase peripheral blood specialized pro-resolving mediators concentrations and reprogram host immune responses: A randomized double-blind placebo-controlled study. Circ. Res. 2020, 126, 75–90. [Google Scholar] [CrossRef] [PubMed]
- Colas, R.A.; Shinohara, M.; Dalli, J.; Chiang, N.; Serhan, C.N. Identification and signature profiles for pro-resolving and inflammatory mediators in human tissue. Am. J. Physiol.-Cell Physiol. 2014, 307, C9–C57. [Google Scholar] [CrossRef]
- English, J.T.; Norris, P.C.; Hodges, R.R.; Dartt, D.A.; Serhan, C.N. Identifying and profiling specialized pro-resolving mediators in Human Tears by Lipid Mediator Metabolomics. Prostaglandins Leukot. Essent. Fat. Acids 2017, 117, 17–27. [Google Scholar] [CrossRef]
- Dalli, J.; Colas, R.A.; Walker, M.E.; Serhan, C.N. Lipid Mediator Metabolomics via LC-MS/MS Profiling and Analysis. In Clinical Metabolomics; Giera, M., Ed.; Humana: New York, NY, USA, 2018; pp. 59–72. [Google Scholar] [CrossRef]
- Chen, G.; Wu, D.; Guo, W.; Cao, Y.; Huang, D.; Wang, H.; Wang, T.; Zhang, X.; Chen, H.; Yu, H.; et al. Clinical and immunologic features in severe and moderate coronavirus disease 2019. J. Clin. Investig. 2020, 130, 2620–2629. [Google Scholar] [CrossRef]
- Regidor, P.A.; De La Rosa, X.; Santos, F.G.; Rizo, J.M.; Gracia Banzo, R.; Silva, R.S. Acute severe SARS COVID-19 patients produce pro-resolving lipids mediators and eicosanoids. Eur. Rev. Med. Pharmacol. Sci. 2021, 25, 6782–6796. [Google Scholar]
- Tang, N.; Li, D.; Wang, X.; Sun, Z. Abnormal coagulation parameters are associated with poor prognosis in patients with novel coronavirus pneumonia. J. Thromb. Haemost. 2020, 18, 844–847. [Google Scholar] [CrossRef] [PubMed]
- Thachil, J.; Tang, N.; Gando, S.; Falanga, A.; Cattaneo, M.; Levi, M.; Clark, C.; Iba, T. ISTH interim guidance on recognizing and managing coagulopathy in COVID-19. J. Thromb. Haemost. 2020, 18, 1023–1026. [Google Scholar] [CrossRef] [PubMed]
- Taylor, F.B., Jr.; Toh, C.H.; Hoots, W.K.; Wada, H.; Levi, M. Towards definition, clinical and laboratory criteria, and a scoring system for disseminated intravascular coagulation. Thromb. Haemost. 2001, 86, 1327–1330. [Google Scholar] [CrossRef]
- Nicolai, L.; Leunig, A.; Brambs, S.; Kaiser, R.; Weinberger, T.; Weigand, M.; Muenchhoff, M.; Hellmuth, J.C.; Ledderose, S.; Schulz, H.; et al. Immunothrombotic Dysregulation in COVID-19 Pneumonia is Associated with Respiratory Failure and Coagulopathy. Circulation 2020, 142, 1176–1189. [Google Scholar] [CrossRef]
- Cherpokova, D.; Jouvene, C.C.; Libreros, S.; DeRoo, E.P.; Chu, L.; de la Rosa, X.; Norris, P.C.; Wagner, D.D.; Serhan, C.N. Resolvin D4 attenuates the severity of pathological thrombosis in mice. Blood 2019, 134, 1458–1468. [Google Scholar] [CrossRef]








| Assessment | Screening Visit | Randomization Visit | Interim Visit | EoS Visit |
|---|---|---|---|---|
| V0 | V1 | V2 | V3/FDE | |
| Day 0 (−3 to −7 Days) | Day 1 | Day 28 (±3 Days) | Day 84 (±3 Days) | |
| Informed consent | X | |||
| Inclusion/Exclusion criteria | X | X | ||
| Randomization | X | |||
| Medical history | X | |||
| Vital signs (Ta, blood pressure, heart rate) | X | X | X | X |
| Physical examination | X | X | X | X |
| Blood sample extraction | X | X | X | |
| Pregnancy test | X | |||
| Fatigue Severity Scale (FSS) | X | X | X | |
| Modified Dyspnea Scale (mMRC) | X | X | X | |
| Adverse events | X | X | X | |
| Concomitant medication | X | X | X | X |
| Concomitant diseases | X | X | X | X |
| Delivery of the study product | X | X | ||
| Delivery of the patient’s diary | X | |||
| Product accountability | X | X | ||
| Review of adherence to the dosing schedule | X | X | ||
| Review of the patient’s diary | X | X | ||
| EoS = End of Study | ||||
| Proinflammatory (=PRO) SUM: PGE2 + PGD2 + PGF2α + TXB2 + LTB4 [pg/mL] | |||||||||||
|---|---|---|---|---|---|---|---|---|---|---|---|
| SERUM | |||||||||||
| Week | 0 | 4 | 12 | 0 | 4 | 12 | 0 | 4 | 12 | ||
| Mean | 76,176 | 88,550 | 67,412 | 64,135 | 79,864 | 67,223 | 162,425 | 159,746 | 51,720 | ||
| SPMs in ng/mL | |||||||||||
| W0–W4 | |||||||||||
| SERUM | |||||||||||
| 500 mg | SERUM | 1500 mg | SERUM | 3000 mg | |||||||
| SPMs | 167.33 | 201.91 | SPMs | 169.94 | 225.44 | SPMs | 184.44 | 250.07 | |||
| Ratio PRO/ SPMs | 455.2562 | 438.5612 | 4% | Ratio PRO/SPMs | 377.4012 | 354.2561 | 6% | Ratio PRO/SPMs | 880.6602 | 638.7988 | 27% |
| W4–W12 | |||||||||||
| SERUM | |||||||||||
| 500 mg | SERUM | 1500 mg | SERUM | 3000 mg | |||||||
| SPMs | 201.91 | 214.84 | SPMs | 225.44 | 278.06 | SPMs | 250.07 | 290.90 | |||
| Ratio PRO/SPMs | 438.5612 | 313.7754 | 28% | Ratio PRO/SPMs | 354.2561 | 241.7588 | 32% | Ratio PRO/SPMs | 638.7988 | 177.7974 | 72% |
| W0–W12 | |||||||||||
| SERUM | |||||||||||
| 500 mg | SERUM | 1500 mg | SERUM | 3000 mg | |||||||
| SPMs | 167.33 | 214.84 | SPMs | 169.94 | 278.06 | SPMs | 184.44 | 290.90 | |||
| Ratio PRO/SPMs | 455.2562 | 412.1652 | 9% | Ratio PRO/SPMs | 377.4012 | 287.2231 | 24% | Ratio PRO/SPMs | 880.6602 | 549.1507 | 38% |
| Changes between Week 12 and Baseline Number and % of Patients that Have Experienced Changes in mMRC Score: −2, −1, 0 or 1 | |||||
|---|---|---|---|---|---|
| Treatment | −2 | −1 | 0 | 1 | Total |
| A | 0 (0) | 5 (33.33) | 10 (66.67) | 0 (0) | 15 (100) |
| B | 2 (12.5) | 6 (37.5) | 7 (43.75) | 1 (6.25) | 16 (100) |
| C | 0 (0) | 2 (50) | 2 (50) | 0 (0) | 4 (100) |
| X | 3 (18.75) | 8 (50) | 5 (31.25) | 0 (0) | 16 (100) |
| Data are displayed as N (%). Chi-square: X-squared = 8.2496, df = 9, p-value = 0.509 | |||||
Disclaimer/Publisher’s Note: The statements, opinions and data contained in all publications are solely those of the individual author(s) and contributor(s) and not of MDPI and/or the editor(s). MDPI and/or the editor(s) disclaim responsibility for any injury to people or property resulting from any ideas, methods, instructions or products referred to in the content. |
© 2024 by the authors. Licensee MDPI, Basel, Switzerland. This article is an open access article distributed under the terms and conditions of the Creative Commons Attribution (CC BY) license (https://creativecommons.org/licenses/by/4.0/).
Share and Cite
Gracia Aznar, A.; Moreno Egea, F.; Gracia Banzo, R.; Gutierrez, R.; Rizo, J.M.; Rodriguez-Ledo, P.; Nerin, I.; Regidor, P.-A. Pro-Resolving Inflammatory Effects of a Marine Oil Enriched in Specialized Pro-Resolving Mediators (SPMs) Supplement and Its Implication in Patients with Post-COVID Syndrome (PCS). Biomedicines 2024, 12, 2221. https://doi.org/10.3390/biomedicines12102221
Gracia Aznar A, Moreno Egea F, Gracia Banzo R, Gutierrez R, Rizo JM, Rodriguez-Ledo P, Nerin I, Regidor P-A. Pro-Resolving Inflammatory Effects of a Marine Oil Enriched in Specialized Pro-Resolving Mediators (SPMs) Supplement and Its Implication in Patients with Post-COVID Syndrome (PCS). Biomedicines. 2024; 12(10):2221. https://doi.org/10.3390/biomedicines12102221
Chicago/Turabian StyleGracia Aznar, Asun, Fernando Moreno Egea, Rafael Gracia Banzo, Rocio Gutierrez, Jose Miguel Rizo, Pilar Rodriguez-Ledo, Isabel Nerin, and Pedro-Antonio Regidor. 2024. "Pro-Resolving Inflammatory Effects of a Marine Oil Enriched in Specialized Pro-Resolving Mediators (SPMs) Supplement and Its Implication in Patients with Post-COVID Syndrome (PCS)" Biomedicines 12, no. 10: 2221. https://doi.org/10.3390/biomedicines12102221
APA StyleGracia Aznar, A., Moreno Egea, F., Gracia Banzo, R., Gutierrez, R., Rizo, J. M., Rodriguez-Ledo, P., Nerin, I., & Regidor, P.-A. (2024). Pro-Resolving Inflammatory Effects of a Marine Oil Enriched in Specialized Pro-Resolving Mediators (SPMs) Supplement and Its Implication in Patients with Post-COVID Syndrome (PCS). Biomedicines, 12(10), 2221. https://doi.org/10.3390/biomedicines12102221

