VP37 Protein Inhibitors for Mpox Treatment: Highlights on Recent Advances, Patent Literature, and Future Directions
Abstract
1. Introduction
2. Drug Targets and VP37 Protein (VP37P)
3. Marketed and Patented Drugs
3.1. Tecovirimat (TPOXX, ST-246, and SIGA-246)
3.2. NIOCH-14
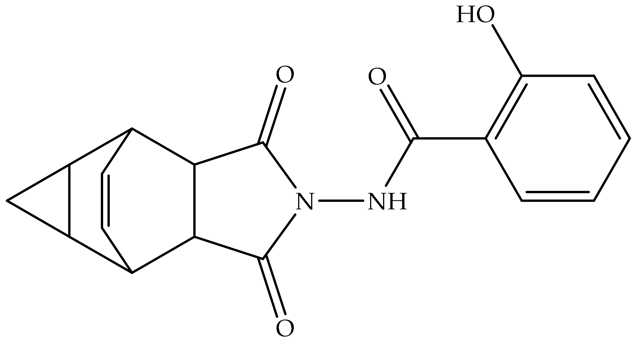
3.3. N1-Isonicotinoyl-N2-3-methyl-4-chlorobenzoylhydrazine (IMCBH)
4. Discussion
5. Conclusions
Author Contributions
Funding
Institutional Review Board Statement
Informed Consent Statement
Data Availability Statement
Acknowledgments
Conflicts of Interest
References
- Available online: https://www.who.int/health-topics/monkeypox#tab=tab_1 (accessed on 25 January 2023).
- Foster, S.O.; Brink, E.W.; Hutchins, D.L.; Pifer, J.M.; Lourie, B.; Moser, C.R.; Cummings, E.C.; Kuteyi, O.E.; Eke, R.E.; Titus, J.B.; et al. Human monkeypox. Bull. World Health Organ. 1972, 46, 569–576. [Google Scholar] [PubMed]
- Almehmadi, M.; Allahyani, M.; Alsaiari, A.A.; Alshammari, M.K.; Alharbi, A.S.; Hussain, K.H.; Alsubaihi, L.I.; Kamal, M.; Alotaibi, S.S.; Alotaibi, A.N.; et al. A Glance at the Development and Patent Literature of Tecovirimat: The First-in-Class Therapy for Emerging Monkeypox Outbreak. Viruses 2022, 14, 1870. [Google Scholar] [CrossRef] [PubMed]
- Venkatesan, P. Monkeypox transmission-what we know so far. Lancet Respir. Med. 2022, 10, e101. [Google Scholar] [CrossRef] [PubMed]
- Thakur, M.; Das, P.; Sobti, R.C.; Kaur, T. Human monkeypox: Epidemiology, transmission, pathogenesis, immunology, diagnosis, and therapeutics. Mol. Cell. Biochem. 2023, 1–14. [Google Scholar] [CrossRef]
- de la Calle-Prieto, F.; Estébanez Muñoz, M.; Ramírez, G.; Díaz-Menéndez, M.; Velasco, M.; Azkune Galparsoro, H.; Salavert Lletí, M.; Mata Forte, T.; Blanco, J.L.; Mora-Rillo, M.; et al. Treatment and prevention of monkeypox. Enferm. Infecc. Microbiol. Clin. (Engl. Ed.) 2023. [Google Scholar] [CrossRef]
- Saied, A.A.; Dhawan, M.; Metwally, A.A.; Fahrni, M.L.; Choudhary, P.; Choudhary, O.P. Disease History, Pathogenesis, Diagnostics, and Therapeutics for Human Monkeypox Disease: A Comprehensive Review. Vaccines 2022, 10, 2091. [Google Scholar] [CrossRef]
- Cabanillas, B.; Murdaca, G.; Guemari, A.; Torres, M.J.; Azkur, A.K.; Aksoy, E.; Vitte, J.; de Las Vecillas, L.; Giovannini, M.; Fernández-Santamaria, R.; et al. A compilation answering 50 questions on Monkeypox virus and the current Monkeypox outbreak. Allergy 2023, 78, 639–662. [Google Scholar] [CrossRef]
- Available online: https://worldhealthorg.shinyapps.io/mpx_global/#2_Global_situation_update (accessed on 25 January 2023).
- Rabaan, A.A.; Abas, A.H.; Tallei, T.E.; Al-Zaher, M.A.; Al-Sheef, N.M.; Fatimawali; Al-Nass, E.Z.; Al-Ebrahim, E.A.; Effendi, Y.; Idroes, R.; et al. Monkeypox outbreak 2022: What we know so far and its potential drug targets and management strategies. J. Med. Virol. 2023, 95, e28306. [Google Scholar] [CrossRef]
- Yang, Z. Monkeypox: A potential global threat? J. Med. Virol. 2022, 94, 4034–4036. [Google Scholar] [CrossRef]
- Frenois-Veyrat, G.; Gallardo, F.; Gorgé, O.; Marcheteau, E.; Ferraris, O.; Baidaliuk, A.; Favier, A.L.; Enfroy, C.; Holy, X.; Lourenco, J.; et al. Tecovirimat is effective against human monkeypox virus in vitro at nanomolar concentrations. Nat. Microbiol. 2022, 7, 1951–1955. [Google Scholar] [CrossRef]
- Available online: https://www.cdc.gov/poxvirus/monkeypox/clinicians/treatment.html (accessed on 25 January 2023).
- Imran, M.; Alshammari, M.K.; Arora, M.K.; Dubey, A.K.; Das, S.S.; Kamal, M.; Alqahtani, A.S.A.; Sahloly, M.A.Y.; Alshammari, A.H.; Alhomam, H.M.; et al. Oral Brincidofovir Therapy for Monkeypox Outbreak: A Focused Review on the Therapeutic Potential, Clinical Studies, Patent Literature, and Prospects. Biomedicines 2023, 11, 278. [Google Scholar] [CrossRef]
- Thet, A.K.; Kelly, P.J.; Kasule, S.N.; Shah, A.K.; Chawala, A.; Latif, A.; Chilimuri, S.S.; Zeana, C.B. The use of vaccinia immune globulin in the treatment of severe mpox virus infection in HIV/AIDS. Clin. Infect. Dis. 2022, ciac971. [Google Scholar] [CrossRef]
- Sudarmaji, N.; Kifli, N.; Hermansyah, A.; Yeoh, S.F.; Goh, B.H.; Ming, L.C. Prevention and Treatment of Monkeypox: A Systematic Review of Preclinical Studies. Viruses 2022, 14, 2496. [Google Scholar] [CrossRef] [PubMed]
- Abdelaal, A.; Reda, A.; Lashin, B.I.; Katamesh, B.E.; Brakat, A.M.; Al-Manaseer, B.M.; Kaur, S.; Asija, A.; Patel, N.K.; Basnyat, S.; et al. Preventing the Next Pandemic: Is Live Vaccine Efficacious against Monkeypox, or Is There a Need for Killed Virus and mRNA Vaccines? Vaccines 2022, 10, 1419. [Google Scholar] [CrossRef] [PubMed]
- See, K.C. Vaccination for Monkeypox Virus Infection in Humans: A Review of Key Considerations. Vaccines 2022, 10, 1342. [Google Scholar] [CrossRef] [PubMed]
- Prichard, M.N.; Kern, E.R. Orthopoxvirus targets for the development of new antiviral agents. Antivir. Res. 2012, 94, 111–125. [Google Scholar] [CrossRef] [PubMed]
- Khani, E.; Afsharirad, B.; Entezari-Maleki, T. Monkeypox treatment: Current evidence and future perspectives. J. Med. Virol. 2023, 95, e28229. [Google Scholar] [CrossRef]
- Prichard, M.N.; Kern, E.R. Orthopoxvirus targets for the development of antiviral therapies. Curr. Drug Targets Infect. Disord. 2005, 5, 17–28. [Google Scholar] [CrossRef]
- Shchelkunov, S.N.; Totmenin, A.V.; Safronov, P.F.; Mikheev, M.V.; Gutorov, V.V.; Ryazankina, O.I.; Petrov, N.A.; Babkin, I.V.; Uvarova, E.A.; Sandakhchiev, L.S.; et al. Analysis of the monkeypox virus genome. Virology 2002, 297, 172–194. [Google Scholar] [CrossRef]
- Chen, Y.; Honeychurch, K.M.; Yang, G.; Byrd, C.M.; Harver, C.; Hruby, D.E.; Jordan, R. Vaccinia virus p37 interacts with host proteins associated with LE-derived transport vesicle biogenesis. Virol. J. 2009, 6, 44. [Google Scholar] [CrossRef]
- Jordan, R.; Leeds, J.M.; Tyavanagimatt, S.; Hruby, D.E. Development of ST-246® for Treatment of Poxvirus Infections. Viruses 2010, 2, 2409–2435. [Google Scholar] [CrossRef]
- Somsoros, W.; Sangawa, T.; Takebe, K.; Attarataya, J.; Wongprasert, K.; Senapin, S.; Rattanarojpong, T.; Suzuki, M.; Khunrae, P. Crystal structure of the C-terminal domain of envelope protein VP37 from white spot syndrome virus reveals sulphate binding sites responsible for heparin binding. J. Gen. Virol. 2021, 102, 001611. [Google Scholar] [CrossRef]
- Jordan, R.; Bailey, T.R.; Rippin, S.R. Compounds, Compositions and Methods for Treatment and Prevention of Orthopoxvirus Infections and Associated Diseases. PCT Patent Application Publication Number WO2004112718A2, 29 December 2004. [Google Scholar]
- Available online: https://www.siga.com/wp-content/uploads/2022/06/TPOXXFactSheet_2022.pdf (accessed on 25 January 2023).
- Available online: https://www.ema.europa.eu/en/medicines/human/EPAR/tecovirimat-siga (accessed on 25 January 2023).
- Available online: https://www.accessdata.fda.gov/scripts/cder/ob/index.cfm (accessed on 25 January 2023).
- Available online: https://pdf.hres.ca/dpd_pm/00063782.PDF (accessed on 25 January 2023).
- Available online: https://www.accessdata.fda.gov/drugsatfda_docs/nda/2018/208627Orig1s000ChemR.pdf (accessed on 25 January 2023).
- Available online: https://www.accessdata.fda.gov/drugsatfda_docs/label/2022/214518s000lbl.pdf (accessed on 25 January 2023).
- Available online: https://www.ema.europa.eu/en/documents/product-information/tecovirimat-siga-epar-product-information_en.pdf (accessed on 25 January 2023).
- Smith, S.K.; Olson, V.A.; Karem, K.L.; Jordan, R.; Hruby, D.E.; Damon, I.K. In vitro efficacy of ST246 against smallpox and monkeypox. Antimicrob. Agents Chemother. 2009, 53, 1007–1012. [Google Scholar] [CrossRef]
- Russo, A.T.; Berhanu, A.; Bigger, C.B.; Prigge, J.; Silvera, P.M.; Grosenbach, D.W.; Hruby, D. Co-administration of tecovirimat and ACAM2000™ in non-human primates: Effect of tecovirimat treatment on ACAM2000 immunogenicity and efficacy versus lethal monkeypox virus challenge. Vaccine 2020, 38, 644–654. [Google Scholar] [CrossRef]
- Tyavanagimatt, S.R.; Holt, K.; Tan, Y.; Anderson, M.A.C.L.S.; Hruby, D.E. ST-246 (Tecovirimat Monohydrate) Suspension Formulations. U.S. Patent Number US11433051B2, 6 September 2022. [Google Scholar]
- Almond, M.R.; Painter, G.R. Compounds, Compositions and Methods for the Treatment of Poxvirus Infections. U.S. Patent Number US8642577B2, 4 February 2014. [Google Scholar]
- Szalay, A.A.; Chen, N.; Yu, Y.A. Use of a Chemotherapeutic Agent in the Preparation of a Medicament for Treating or Ameliorating an Adverse Side Effect Associated with Oncolytic Viral Therapy. European Patent Number EP2202297B1, 14 May 2014. [Google Scholar]
- Zhong, W.; Yang, M.; Gao, C.; Feng, Y.; Gong, W.; Wang, Y.; Li, Z.; Yang, Y. Eutectic Crystal of Tecovirimat and Preparation Method Thereof. Chinese Patent Application Publication Number CN115141136A, 4 October 2022. [Google Scholar]
- Oleinik, G.A.; Koval, V.V.; Usova, S.V.; Shishkina, L.N.; Chernonosov, A.A. Development and Validation of a Method of Liquid Chromatography Coupled with Tandem Mass Spectrometry for Quantification of ST-246 (Tecovirimat) in Human Plasma. Molecules 2022, 27, 3577. [Google Scholar] [CrossRef]
- Jakovlevich, B.E.F.; Bormotov, N.I.; Balakhnin, S.M.; Serova, O.G.A.; Svjatchenko, V.A.; Kiselev, N.N.; Kazachinskaja, E.I.; Loktev, V.B.; Drozdov, I.J.G.; Stavskij, E.A. 7-[N’-(4-trifluoromethylbenzolyl)-hydrazinocarbonyl]-tricyclo[3.2.2.02,4]non-8-ene-6-carboxylic acid, Having Antiviral Activity. Russian Patent Number RU2412160C1, 20 February 2011. [Google Scholar]
- Mazurkov, O.Y.; Kabanov, A.S.; Shishkina, L.N.; Sergeev, A.A.; Skarnovich, M.O.; Bormotov, N.I.; Skarnovich, M.A.; Ovchinnikova, A.S.; Titova, K.A.; Galahova, D.O.; et al. New effective chemically synthesized anti-smallpox compound NIOCH-14. J. Gen. Virol. 2016, 97, 1229–1239. [Google Scholar] [CrossRef]
- Sergeev, A.A.; Kabanov, A.S.; Bulychev, L.E.; Sergeev, A.A.; Pyankov, O.V.; Bodnev, S.A.; Galahova, D.O.; Zamedyanskaya, A.S.; Titova, K.A.; Glotov, A.G.; et al. The Possibility of Using the ICR Mouse as an Animal Model to Assess Antimonkeypox Drug Efficacy. Transbound. Emerg. Dis. 2016, 63, e419–e430. [Google Scholar] [CrossRef] [PubMed]
- Titova, K.A.; Sergeev, A.A.; Zamedyanskaya, A.S.; Galahova, D.O.; Kabanov, A.S.; Morozova, A.A.; Bulychev, L.E.; Sergeev, A.A.; Glotova, T.I.; Shishkina, L.N.; et al. Using ICR and SCID mice as animal models for smallpox to assess antiviral drug efficacy. J. Gen. Virol. 2015, 96, 2832–2843. [Google Scholar] [CrossRef] [PubMed]
- Mazurkov, O.Y.; Shishkina, L.N.; Bormotov, N.I.; Skarnovich, M.O.; Serova, O.A.; Mazurkova, N.A.; Chernonosov, A.A.; Tikhonov, A.Y.; Selivanov, B.A. Estimation of Absolute Bioavailability of the Chemical Substance of the Anti-Smallpox Preparation NIOCH-14 in Mice. Bull. Exp. Biol. Med. 2020, 170, 207–210. [Google Scholar] [CrossRef] [PubMed]
- Shishkina, L.N.; Mazurkov, O.Y.; Bormotov, N.I.; Skarnovich, M.O.; Serova, O.A.; Mazurkova, N.A.; Skarnovich, M.A.; Chernonosov, A.A.; Selivanov, B.A.; Tikhonov, A.Y.; et al. Safety and Pharmacokinetics of the Substance of the Anti-Smallpox Drug NIOCH-14 after Oral Administration to Laboratory Animals. Viruses 2023, 15, 205. [Google Scholar] [CrossRef] [PubMed]
- Available online: https://www.who.int/publications/i/item/9789240046740 (accessed on 25 January 2023).
- Shishkina, L.N.; Sergeev, A.N.; Agafonov, A.P.; Sergeev, A.A.; Kabanov, A.S.; Bulychev, L.E.; Sergeev, A.A.; Gorbatovskaja, D.J.O.; Jankov, O.V.; Bormotov, N.I.; et al. Medicated Product for Smallpox Virus and Method for Producing and Using it. Russian Patent Number RU2543338C1, 27 February 2015. [Google Scholar]
- Shishkina, L.N.; Sheremet, O.P.; Madonov, P.G.; Korchazhnikova, N.P.; Bormotov, N.I.; Skarnovich, M.O.; Selivanov, B.A.; Sergeev, A.A.; Tikhonov, A.Y.; Karunin, V.N.; et al. Oral Dosage form of the Preparation in Capsules for Treating and Preventing Orthopoxvirus-Related Diseases. Russian Patent Number RU2716709C1, 16 March 2020. [Google Scholar]
- Gorbatovskaja, D.J.O.; Sergeev, A.A.; Shevtsova, E.V.E.; Titova, K.A.; Sergeev, A.A.; Zamedjanskaja, A.S.; Bulychev, L.E.; Shishkina, L.N.; Sergeev, A.N.; Agafonov, A.P. Agent for Arresting Undesirable Vaccinal Reactions and Complications during Primary Vaccination with Variolar Vaccines and Method for Use Thereof. Russian Patent Number RU2542490C1, 20 February 2015. [Google Scholar]
- Kato, N.; Eggers, H.J.; Rolly, H. Inhibition of release of vaccinia virus by N1-isonicotinoly-N2-3-methyl-4-chlorobenzoylhydrazine. J. Exp. Med. 1969, 129, 795–808. [Google Scholar] [CrossRef]
- Payne, L.G.; Kristenson, K. Mechanism of vaccinia virus release and its specific inhibition by N1-isonicotinoyl-N2-3-methyl-4-chlorobenzoylhydrazine. J. Virol. 1979, 32, 614–622. [Google Scholar] [CrossRef] [PubMed]
- Hiller, G.; Eibl, H.; Weber, K. Characterization of intracellular and extracellular vaccinia virus variants: N1-isonicotinoyl-N2-3-methyl-4-chlorobenzoylhydrazine interferes with cytoplasmic virus dissemination and release. J. Virol. 1981, 39, 903–913. [Google Scholar] [CrossRef] [PubMed]
- Schmutz, C.; Payne, L.G.; Gubser, J.; Wittek, R. A mutation in the gene encoding the vaccinia virus 37,000-M(r) protein confers resistance to an inhibitor of virus envelopment and release. J. Virol. 1991, 65, 3435–3442. [Google Scholar] [CrossRef] [PubMed]
- Bushman, F.D.; Hwang, Y.; Culyba, M. Compositions and Methods for Inhibiting Resolvases. PCT Patent Application Publication Number WO2013165898A2, 7 November 2013. [Google Scholar]
- Huang, X.; Long, X.; Liu, Y.; Chen, Z.; Xiang, X.; Mo, X.; Liu, J.; Tang, W. Monkeypox and cancer: A pan-cancer based multi-omics analysis and single cell sequencing analysis. Res. Sq. 2022. [Google Scholar] [CrossRef]
- Liao, Y.; Liu, Z.; Ye, W.; Huang, Z.; Wang, J. Exploring the Characteristics of Monkeypox-Related Genes in Pan-Cancer. Cells 2022, 11, 3909. [Google Scholar] [CrossRef]
- Shiryaev, V.A.; Skomorohov, M.Y.; Leonova, M.V.; Bormotov, N.I.; Serova, O.A.; Shishkina, L.N.; Agafonov, A.P.; Maksyutov, R.A.; Klimochkin, Y.N. Adamantane derivatives as potential inhibitors of p37 major envelope protein and poxvirus reproduction. Design, synthesis and antiviral activity. Eur. J. Med. Chem. 2021, 221, 113485. [Google Scholar] [CrossRef]
- Warda, E.T.; El-Ashmawy, M.B.; Habib, E.E.; Abdelbaky, M.S.M.; Garcia-Granda, S.; Thamotharan, S.; El-Emam, A.A. Synthesis and in vitro antibacterial, antifungal, anti-proliferative activities of novel adamantane-containing thiazole compounds. Sci. Rep. 2022, 12, 21058. [Google Scholar] [CrossRef]
- Xu, Z.; Eichler, B.; Klausner, E.A.; Duffy-Matzner, J.; Zheng, W. Lead/Drug Discovery from Natural Resources. Molecules 2022, 27, 8280. [Google Scholar] [CrossRef]
- Abubakar, I.B.; Kankara, S.S.; Malami, I.; Danjuma, J.B.; Muhammad, Y.Z.; Yahaya, H.; Singh, D.; Usman, U.J.; Ukwuani-Kwaja, A.N.; Muhammad, A.; et al. Traditional medicinal plants used for treating emerging and re-emerging viral diseases in northern Nigeria. Eur. J. Integr. Med. 2022, 49, 102094. [Google Scholar] [CrossRef]
- Garriga, D.; Headey, S.; Accurso, C.; Gunzburg, M.; Scanlon, M.; Coulibaly, F. Structural basis for the inhibition of poxvirus assembly by the antibiotic rifampicin. Proc. Natl. Acad. Sci. USA 2018, 115, 8424–8429. [Google Scholar] [CrossRef] [PubMed]
- Li, X.; Peng, T. Strategy, Progress, and Challenges of Drug Repurposing for Efficient Antiviral Discovery. Front. Pharmacol. 2021, 12, 660710. [Google Scholar] [CrossRef] [PubMed]
- Altayb, H.N. Fludarabine, a Potential DNA-Dependent RNA Polymerase Inhibitor, as a Prospective Drug against Monkeypox Virus: A Computational Approach. Pharmaceuticals 2022, 15, 1129. [Google Scholar] [CrossRef]
- Gandhi, V.; Plunkett, W. Clofarabine and nelarabine: Two new purine nucleoside analogs. Curr. Opin. Oncol. 2006, 18, 584–590. [Google Scholar] [CrossRef] [PubMed]
- Burke, M.P.; Borland, K.M.; Litosh, V.A. Base-Modified Nucleosides as Chemotherapeutic Agents: Past and Future. Curr. Top. Med. Chem. 2016, 16, 1231–1241. [Google Scholar] [CrossRef] [PubMed]
- Grosenbach, D.W.; Jordan, R.; Hruby, D.E. Development of the small-molecule antiviral ST-246 as a smallpox therapeutic. Future Virol. 2011, 6, 653–671. [Google Scholar] [CrossRef] [PubMed]






| Clade (Synonym) | Subclade | Affected Countries | Mortality Rate |
|---|---|---|---|
| I (Congo Basin or Central African clade) | - | Central Africa, Cameroon, Congo, Gabon, South Sudan | 10.6% |
| II (West African clade) | IIa | Liberia, Nigeria, Sierra Leone, Cameroon, Cote d’Ivoire | 3.6% |
| IIb | Main clade for Mpox 2022 outbreaks |
| Drug Name | Drug Category | Mechanism of Action | Reference |
|---|---|---|---|
| Tecovirimat | Antiviral | VP37 protein inhibitor (VP37PI) | [3] |
| Cidofovir | Antiviral | DNA polymerase inhibitors | [14] |
| Brincidofovir (Prodrug of cidofovir) | Antiviral | DNA polymerase inhibitors | [14] |
| Vaccinia immune globulin | Blood product | Kills mature virus or intracellular mature virus | [13,15] |
| LC16 KMB (LC16m8) | A third-generation, live, replicating attenuated vaccine containing live vaccinia virus (LC16m8 strain) | Neutralizes the Orthopoxvirus infection-induced antibodies | [16] |
| JYNNEOS | An attenuated, live, non-replicating, third-generation vaccine | Stimulates cellular and humoral immunity against Orthopoxvirus infection-induced antibodies | [13,17,18] |
| ACAM2000 | ACAM2000 is the second generation live attenuated vaccine containing live vaccinia virus | The vaccine stimulates a person’s immune system to produce antibodies against OPVs | [13,17,18] |
| S. No | Stage of Replication | Examples of Inhibitors | Drug Target (Gene) |
|---|---|---|---|
| 1 | DNA processing and packaging | Mitoxantrone (DNA ligase); ofloxacin, enrofloxacin, and novobiocin (topoisomerase type IB) | DNA helicase (A18R), Holliday junction resolvase (A22R and K4L), DNA ligase (A50R), topoisomerase type IB (H6R), telomere binding proteins (I1L, I6L, and K4L) |
| 2 | DNA replication | Cidofovir, brincidofovir, aphidicolin, cytosine arabinoside, and phosphonoacetic acid (DNA polymerase); siRNA and small peptide aptamers (NTPase) | Polymerase processivity factor (A20R and D4R), uracil DNA glycosylase (A20R and D4R), NTPase (D5R), DNA polymerase (E9L), Substrate of B1R kinase (H5R), ssDNA-binding phosphoprotein (I3L) |
| 3 | Enzymatic targets | Hydroxyurea (ribonucleotide reductase subunits); aurintricarboxylic acid and ethacrynic acid (tyr/ser protein phosphatase); TTP-6171 (essential viral proteinases); siRNA (Ser/Thr kinase); 5-iodo-4′-thio-2-deoxyuridine and N-methanocarbathymidine (thymidine kinase) | Thymidylate kinase (A48R), ser/thr kinase (B1R), ribonucleotide reductase subunits (F4L and I4L), essential ser/thr kinase (F10L), tyr/ser protein phosphatase (H1L), essential viral proteinases (I7L and G1L), thymidine kinase (J2R) |
| 4 | Entry and uncoating | - | Structural and membrane proteins (A16L, A17L, A21L, A26L, A27L, A28L, B5R, D8L, F9L, G3L, G9R, H2R, H3L, J5L, L1R, and L5R) |
| 5 | Morphogenesis | Rifampicin (rifampicin resistance protein) | Assembly complex (A10L, A15L, A30L, D2L, D3R, F10L, F13L, G7L, and J1R), nonstructural proteins (A11R and A32L), rifampicin resistance protein (D13L), intracellular mature virus (H3L), intracellular mature virus membrane protein (L1R) |
| 6 | Transcription and mRNA processing | Isatin-β-thiosemicarbazones and methisazone (Late-transcription elongation factor; Poly(A) polymerase Subunit; RNA polymerase subunits) | RNA polymerase subunits (A24R, A29L, A5R, D7R, E4L, G5.5R, H4L, J4R, and J6R), NPH-I (D11L), mRNA capping enzyme (D12L, D1R), Poly(A) polymerase VP55 and V39 (E1L, J3L), late-transcription elongation factor (G2R), RNA polymerase-associated protein (RAP94) (H4L) |
| 7 | Formation of extracellular enveloped virus | Tecovirimat, NIOCH-14, and IMCBH (VP37 protein); vaccinia immune globulin (Extracellular enveloped virion membrane glycoprotein) | Intracellular mature virus surface protein (A27L), intracellular enveloped virions transmembrane protein (A36R), extracellular enveloped virion membrane glycoprotein (B5R), actin tail formation (A33R and (A34R), extracellular enveloped virus formation protein called VP37 (F13L) |
| Parameter | Summary |
|---|---|
| Innovator | Siga Technologies Inc. (United States) |
| Chemistry | Marketed form: water-insoluble and non-hygroscopic crystalline tecovirimat monohydrate (C19H15F3N2O3·H2O); molecular weight: 394.35; CAS registry number: 1162664-19-8; BCS class: II |
| Approval date (Dosage forms) | USFDA: 13 July 2018 (capsule, 200 mg); 18 May 2022 (intravenous solution, 10 mg/mL); EMA: 6 January 2022 (capsule, 200 mg); Health Canada: 29 November 2021 (capsule, 200 mg) |
| Indications | USFDA: smallpox; EMA: Mpox, smallpox, cowpox, and vaccinia virus infections; Health Canada: smallpox |
| Pharmacokinetic parameters | Tmax (600 mg p.o.): 4–6 h; volume of distribution (600 mg p.o.): 1030 L; major metabolites: glucuronic acid conjugate; main route of elimination: urine (73%); half-life (600 mg p.o.): 19 h; clearance (600 mg p.o.): 31 L/h; LD50 (mice/non-human primates): 2000 mg/kg |
| Compound | 50% Toxicity Concentration (µg/mL) | IC50 in µg/mL | Therapeutic Indices | ||
|---|---|---|---|---|---|
| V79-1-005 Strain of Mpox | Butler, Congo-9, and India-3a Strains of Variola Virus | Ectromelia Virus Strain K-1 | |||
| NIOCH-14 | >100 | 0.013 | 0.001–0.004 | 0.011 | >100,000 |
| Tecovirimat | >100 | 0.003 | 0.001–0.004 | 0.003 | >100,000 |
| NIOCH-32 | >100 | 0.153 | 0.032–0.078 | 0.54 | >3100 |
| Parameters | NIOCH-14 | Tecovirimat | ||
|---|---|---|---|---|
| IV (2 µg/g) | Oral (50 µg/g) | IV (2 µg/g) | Oral (50 µg/g) | |
| Half-life (T1/2, hours) | 2.3 | 5.7 | 2.0 | 3.4 |
| Time of maximum concentration (Tmax, hours) | 0.25 | 6 | 0.25 | 3 |
| Maximum measured concentration (Cmax, ng/mL) | 9515 ± 3903 | 15,439 ± 3373 | 13,200 ± 4287 | 15,495 ± 3227 |
| Area under the curve (AUC0-t, ng/(mL/h)) | 24,918 | 141,883 | 34,254 | 103,661 |
| Area under the curve (AUC0-inf, ng/(mL/h)) | 25,038 | 142,220 | 34,318 | 105,405 |
| Absolute bioavailability (%) | - | 22.8 | - | 12.1 |
Disclaimer/Publisher’s Note: The statements, opinions and data contained in all publications are solely those of the individual author(s) and contributor(s) and not of MDPI and/or the editor(s). MDPI and/or the editor(s) disclaim responsibility for any injury to people or property resulting from any ideas, methods, instructions or products referred to in the content. |
© 2023 by the authors. Licensee MDPI, Basel, Switzerland. This article is an open access article distributed under the terms and conditions of the Creative Commons Attribution (CC BY) license (https://creativecommons.org/licenses/by/4.0/).
Share and Cite
Hudu, S.A.; Alshrari, A.S.; Al Qtaitat, A.; Imran, M. VP37 Protein Inhibitors for Mpox Treatment: Highlights on Recent Advances, Patent Literature, and Future Directions. Biomedicines 2023, 11, 1106. https://doi.org/10.3390/biomedicines11041106
Hudu SA, Alshrari AS, Al Qtaitat A, Imran M. VP37 Protein Inhibitors for Mpox Treatment: Highlights on Recent Advances, Patent Literature, and Future Directions. Biomedicines. 2023; 11(4):1106. https://doi.org/10.3390/biomedicines11041106
Chicago/Turabian StyleHudu, Shuaibu A., Ahmed S. Alshrari, Aiman Al Qtaitat, and Mohd Imran. 2023. "VP37 Protein Inhibitors for Mpox Treatment: Highlights on Recent Advances, Patent Literature, and Future Directions" Biomedicines 11, no. 4: 1106. https://doi.org/10.3390/biomedicines11041106
APA StyleHudu, S. A., Alshrari, A. S., Al Qtaitat, A., & Imran, M. (2023). VP37 Protein Inhibitors for Mpox Treatment: Highlights on Recent Advances, Patent Literature, and Future Directions. Biomedicines, 11(4), 1106. https://doi.org/10.3390/biomedicines11041106

