Serum Phosphorus and Calcium as Biomarkers of Disease Status in Acromegaly
Abstract
1. Introduction
2. Materials and Methods
2.1. Study Design
- Elevation of IGF-1 above the age-adjusted upper normal range.
- A pituitary gland tumor detected in magnetic resonance imaging (MRI) or computed tomography (CT) (in patients with contraindications for MRI).
2.2. Statistical Evaluation
3. Results
3.1. Clinical Characteristics
3.2. Laboratory Characteristics
4. Discussion
5. Conclusions
Author Contributions
Funding
Institutional Review Board Statement
Informed Consent Statement
Data Availability Statement
Conflicts of Interest
Appendix A
| Parameter | Group | SAGIT | GH (ng/mL) | IGF-1 (ng/mL) | |||
|---|---|---|---|---|---|---|---|
| Rs | p-Value | Rs | p-Value | Rs | p-Value | ||
| PTH (pg/mL) | Naïve | −0.327 | 0.068 | −0.254 | 0.168 | −0.317 | 0.088 |
| Non-remission | −0.119 | 0.279 | −0.071 | 0.521 | −0.272 | 0.014 * | |
| Remission | 0.095 | 0.440 | 0.090 | 0.464 | −0.041 | 0.738 | |
| Vitamin D (ng/mL) | Naïve | −0.104 | 0.636 | 0.177 | 0.419 | −0.016 | 0.944 |
| Non-remission | −0.227 | 0.061 | −0.230 | 0.057 | 0.081 | 0.522 | |
| Remission | −0.171 | 0.192 | −0.006 | 0.965 | 0.247 | 0.059 | |
| Parameter | Group | S | A | G | I | T | |||||
|---|---|---|---|---|---|---|---|---|---|---|---|
| Rs | p-Value | Rs | p-Value | Rs | p-Value | Rs | p-Value | Rs | p-Value | ||
| Phosphorus (mg/dL) | Naïve | 0.288 | 0.075 | −0.207 | 0.205 | 0.530 | 0.001 * | 0.437 | 0.006 * | 0.410 | 0.012 * |
| Non-remission | 0.034 | 0.716 | 0.209 | 0.022 * | 0.385 | <0.001 * | 0.258 | 0.005 * | 0.289 | 0.001 * | |
| Remission | −0.124 | 0.212 | −0.090 | 0.364 | 0.242 | 0.014 * | 0.153 | 0.123 | 0.228 | 0.022 * | |
| Publication | Study Design | Exclusion Criteria | Main Conclusions |
|---|---|---|---|
| Xie et al. (2020) [2] | Retrospective. In total, 103 patients (48 M; 55 F) were classified into two groups according to the postoperative remission rate: a remission group and a non-remission group. | Preoperative renal dysfunction or thyroid dysfunction; patients treated with somatostatin analogs and patients with postoperative hypopituitarism. |
|
| Yalin et al. (2017) [3] | Retrospective. In total, 51 patients (27 M; 24 F) were divided into two groups according to serum P levels (normo/hyperphosphatemia) and compared according to the presence of remission (remission and non-remission). | Impaired renal function (eGFR < 60), hyper or hypothyroidism. |
|
| Piskinpasa et al. (2022) [13] | Cross-sectional case–control study; retrospective. In total, 73 patients with acromegaly (27 M; 46 F) were divided into active/controlled disease groups, 64 healthy controls (23 M; 41 F) | Chronic renal impairment estimated glomerular filtration rate (eGFR < 60 mL/min/1.73 m2), chronic liver disease, hyperthyroidism, diabetes mellitus, primary hyperparathyroidism. |
|
| Constantin (2017) [17] | Controlled, prospective. In total, 22 patients (11 M; 11 F) with acromegaly were referred for surgical or medical therapy (active disease), In total, 22 patients (14 M; 8 F) with NFPA were referred for surgery (control). | Chronic renal disease stage III or worse (estimated glomerular filtration rate (GFR), 60 mL/min/1.73 m2). |
|
| Our study | Retrospective. In total, 306 (108 M; 198 F) divided into naïve acromegaly, remission, and non-remission. | Impaired renal function (glomerular filtration rate less than 60 mL/min/1.73 m2), thyroid dysfunction, osteopenia or osteoporosis, calcium supplementation, primary hyperparathyroidism. |
|
References
- Capatina, C.; Wass, J.A.H. 60 Years of Neuroendocrinology: Acromegaly. J. Endocrinol. 2015, 226, T141–T160. [Google Scholar] [CrossRef] [PubMed]
- Xie, T.; Tian, P.; Wu, S.; Zhang, X.; Liu, T.; Gu, Y.; Sun, C.; Hu, F. Serum Phosphate: Does It More Closely Reflect the True State of Acromegaly? J. Clin. Neurosci. 2020, 71, 26–31. [Google Scholar] [CrossRef] [PubMed]
- Yalin, G.Y.; Tanrikulu, S.; Gul, N.; Uzum, A.K.; Aral, F.; Tanakol, R. Utility of Baseline Serum Phosphorus Levels for Predicting Remission in Acromegaly Patients. J. Endocrinol. Investig. 2017, 40, 867–874. [Google Scholar] [CrossRef]
- Krieger, M.D.; Couldwell, W.T.; Weiss, M.H. Assessment of Long-Term Remission of Acromegaly Following Surgery. J. Neurosurg. 2003, 98, 719–724. [Google Scholar] [CrossRef] [PubMed]
- Giustina, A.; Bronstein, M.D.; Chanson, P.; Petersenn, S.; Casanueva, F.F.; Sert, C.; Houchard, A.; Melmed, S. International Multicenter Validation Study of the SAGIT® Instrument in Acromegaly. J. Clin. Endocrinol. Metab. 2021, 106, 3555–3568. [Google Scholar] [CrossRef]
- Ershadinia, N.; Tritos, N.A. Diagnosis and Treatment of Acromegaly: An Update. Mayo Clin. Proc. 2022, 97, 333–346. [Google Scholar] [CrossRef] [PubMed]
- Sala, E.; Malchiodi, E.; Carosi, G.; Verrua, E.; Cairoli, E.; Ferrante, E.; Filopanti, M.; Eller-Vainicher, C.; Ulivieri, F.M.; Spada, A.; et al. Spine Bone Texture Assessed by Trabecular Bone Score in Active and Controlled Acromegaly: A Prospective Study. J. Endocr. Soc. 2021, 5, bvab090. [Google Scholar] [CrossRef]
- Xargay-Torrent, S.; Dorado-Ceballos, E.; Benavides-Boixader, A.; Lizárraga-Mollinedo, E.; Mas-Parés, B.; Montesinos-Costa, M.; De Zegher, F.; Ibáñez, L.; Bassols, J.; López-Bermejo, A. Circulating IGF-1 Independently Predicts Blood Pressure in Children with Higher Calcium-Phosphorus Product Levels. J. Clin. Endocrinol. Metab. 2020, 105, dgz101. [Google Scholar] [CrossRef] [PubMed]
- Gatto, F.; Campana, C.; Cocchiara, F.; Corica, G.; Albertelli, M.; Boschetti, M.; Zona, G.; Criminelli, D.; Giusti, M.; Ferone, D. Current Perspectives on the Impact of Clinical Disease and Biochemical Control on Comorbidities and Quality of Life in Acromegaly. Rev. Endocr. Metab. Disord. 2019, 20, 365–381. [Google Scholar] [CrossRef]
- Khan, S.A.; Ram, N.; Masood, M.Q. Patterns of Abnormal Glucose Metabolism in Acromegaly and Impact of Treatment Modalities on Glucose Metabolism. Cureus 2021, 13, e13852. [Google Scholar] [CrossRef]
- Yao, S.; Chen, W.-L.; Tavakol, S.; Akter, F.; Catalino, M.P.; Guo, X.; Luo, J.; Zeng, A.-L.; Zekelman, L.; Mao, Z.-G.; et al. Predictors of Postoperative Biochemical Remission in Acromegaly. J. Neurooncol. 2021, 151, 313–324. [Google Scholar] [CrossRef]
- Mazziotti, G.; Biagioli, E.; Maffezzoni, F.; Spinello, M.; Serra, V.; Maroldi, R.; Floriani, I.; Giustina, A. Bone Turnover, Bone Mineral Density, and Fracture Risk in Acromegaly: A Meta-Analysis. J. Clin. Endocrinol. Metab. 2015, 100, 384–394. [Google Scholar] [CrossRef]
- Piskinpasa, M.E.; Piskinpasa, H. Bone Biochemical Markers in Acromegaly: An Association with Disease Activity and Gonadal Status. North Clin. Istanb. 2022, 9, 74–81. [Google Scholar] [CrossRef]
- Giustina, A.; Bevan, J.S.; Bronstein, M.D.; Casanueva, F.F.; Chanson, P.; Petersenn, S.; Thanh, X.-M.T.; Sert, C.; Houchard, A.; Guillemin, I.; et al. SAGIT®: Clinician-Reported Outcome Instrument for Managing Acromegaly in Clinical Practice—Development and Results from a Pilot Study. Pituitary 2016, 19, 39–49. [Google Scholar] [CrossRef] [PubMed]
- Camanni, F.; Massara, F.; Losana, O.; Molinatti, G.M. Increased Renal Tubular Reabsorption of Phosphorus in Acromegaly. J. Clin. Endocrinol. Metab. 1968, 28, 999–1005. [Google Scholar] [CrossRef] [PubMed]
- Kamenický, P.; Blanchard, A.; Gauci, C.; Salenave, S.; Letierce, A.; Lombès, M.; Brailly-Tabard, S.; Azizi, M.; Prié, D.; Souberbielle, J.-C.; et al. Pathophysiology of Renal Calcium Handling in Acromegaly: What Lies behind Hypercalciuria? J. Clin. Endocrinol. Metab. 2012, 97, 2124–2133. [Google Scholar] [CrossRef] [PubMed]
- Constantin, T.; Tangpricha, V.; Shah, R.; Oyesiku, N.M.; Ioachimescu, O.C.; Ritchie, J.; Ioachimescu, A.G. Calcium and Bone Turnover Markers in Acromegaly: A Prospective, Controlled Study. J. Clin. Endocrinol. Metab. 2017, 102, 2416–2424. [Google Scholar] [CrossRef] [PubMed]
- Bolanowski, M.; Ruchała, M.; Zgliczyński, W.; Kos-Kudła, B.; Bałdys-Waligórska, A.; Zieliński, G.; Bednarczuk, T.; Hubalewska-Dydejczyk, A.; Kamiński, G.; Marek, B.; et al. Acromegaly—A Novel View of the Patient. Polish Proposals for Diagnostic and Therapeutic Procedures in the Light of Recent Reports. Endokrynol. Pol. 2014, 65, 326–331. [Google Scholar] [CrossRef]
- Bolanowski, M.; Ruchała, M.; Zgliczyński, W.; Kos-Kudła, B.; Hubalewska-Dydejczyk, A.; Lewiński, A. Diagnostics and Treatment of Acromegaly—Updated Recommendations of the Polish Society of Endocrinology [Rozpoznanie i Leczenie Akromegalii—Aktualizacja Rekomendacji Polskiego Towarzystwa Endokrynologicznego]. Endokrynol. Pol. 2019, 70, 2–18. [Google Scholar] [CrossRef]
- Głuszko, P.; Lorenc, R.S.; Karczmarewicz, E.; Misiorowski, W.; Jaworski, M.; Working Group including the representatives of the Polish Associations of Orthopedics and Traumatology, Rehabilitation, Gerontology, Rheumatology, Family Medicine, Diabetology, Laboratory Diagnostics, Andropause and Menopause, Endocrinology, Radiology, and the STENKO Group. Polish Guidelines for the Diagnosis and Management of Osteoporosis: A Review of 2013 Update. Pol. Arch. Med. Wewn. 2014, 124, 255–263. [Google Scholar] [CrossRef] [PubMed]
- Lorenc, R.; Głuszko, P.; Franek, E.; Jabłoński, M.; Jaworski, M.; Kalinka-Warzocha, E.; Karczmarewicz, E.; Kostka, T.; Księzopolska-Orłowska, K.; Marcinowska-Suchowierska, E.; et al. Guidelines for the Diagnosis and Management of Osteoporosis in Poland: Update 2017. Endokrynol. Pol. 2017, 68, 604–609. [Google Scholar] [CrossRef] [PubMed][Green Version]
- Głuszko, P.; Sewerynek, E.; Misiorowski, W.; Konstantynowicz, J.; Marcinowska-Suchowierska, E.; Blicharski, T.; Jabłoński, M.; Franek, E.; Kostka, T.; Jaworski, M.; et al. Guidelines for the Diagnosis and Management of Osteoporosis in Poland. Update 2022. Endokrynol. Pol. 2023, 74, 5–15. [Google Scholar] [CrossRef] [PubMed]
- Bona, C.; Prencipe, N.; Berton, A.M.; Bioletto, F.; Parasiliti-Caprino, M.; Gasco, V.; Ghigo, E.; Grottoli, S. Mean GH Profile Is More Accurate than Single Fasting GH in the Evaluation of Acromegaly Disease Control during Somatostatin Receptor Ligands Therapy. J. Endocrinol. Investig. 2022, 45, 1955–1965. [Google Scholar] [CrossRef] [PubMed]
- Giustina, A.; Barkan, A.; Casanueva, F.F.; Cavagnini, F.; Frohman, L.; Ho, K.; Veldhuis, J.; Wass, J.; Von Werder, K.; Melmed, S. Criteria for Cure of Acromegaly: A Consensus Statement. J. Clin. Endocrinol. Metab. 2000, 85, 526–529. [Google Scholar] [CrossRef]
- Sawicka-Gutaj, N.; Ziółkowska, P.; Biczysko, A.; Erampamoorthy, A.; Ziemnicka, K.; Ruchała, M. The Potential Utility of the SAGIT Instrument in the Clinical Assessment of Patients with Acromegaly, a Large Single-Centre Study. Sci. Rep. 2023, 13, 3286. [Google Scholar] [CrossRef]
- Sawicka-Gutaj, N.; Gruszczyński, D.; Guzik, P.; Mostowska, A.; Walkowiak, J. Publication Ethics of Human Studies in the Light of the Declaration of Helsinki—A Mini-Review. J. Med. Sci. 2022, 91, e700. [Google Scholar] [CrossRef]
- Nadarajah, A.; Hartog, M.; Redfern, B.; Thalassinos, N.; Wright, A.D.; Joplin, G.F.; Fraser, T.R. Calcium Metabolism in Acromegaly. Br. Med. J. 1968, 4, 797–801. [Google Scholar] [CrossRef][Green Version]
- Shi, S.; Zhang, L.; Yu, Y.; Wang, C.; Li, J. Acromegaly and Non-parathyroid Hormone-dependent Hypercalcemia: A Case Report and Literature Review. BMC Endocr. Disord. 2021, 21, 90. [Google Scholar] [CrossRef]
- Qin, L.; Guo, X.; Gao, L.; Wang, Z.; Feng, C.; Deng, K.; Lian, W.; Xing, B. Preoperative and Postoperative Bone Mineral Density Change and Risk Factor Analysis in Patients with a GH-Secreting Pituitary Adenoma. Int. J. Endocrinol. 2019, 2019, 2102616. [Google Scholar] [CrossRef] [PubMed]
- Povaliaeva, A.A.; Bogdanov, V.P.; Zhukov, A.Y.; Pigarova, E.A.; Dzeranova, L.K.; Rozhinskaya, L.Y.; Mel’nichenko, G.A.; Mokrysheva, N.G. Characterization of Vitamin D Metabolism in Active Acromegaly in the Setting of Bolus (150,000 IU) Cholecalciferol Treatment. Endocrine 2022, 76, 407–418. [Google Scholar] [CrossRef]
- Calatayud, M.; Pérez-Olivares Martín, L.; Librizzi, M.S.; Lora Pablos, D.; González Méndez, V.; Aramendi Ramos, M.; Martínez Diaz-Guerra, G.; Hawkins, F. Trabecular Bone Score and Bone Mineral Density in Patients with Long-Term Controlled Acromegaly. Clin. Endocrinol. 2021, 95, 58–64. [Google Scholar] [CrossRef] [PubMed]
- Doshi, S.M.; Wish, J.B. Past, Present, and Future of Phosphate Management. Kidney Int. Rep. 2022, 7, 688–698. [Google Scholar] [CrossRef] [PubMed]
- Blacher, J.; Guerin, A.P.; Pannier, B.; Marchais, S.J.; London, G.M. Arterial Calcifications, Arterial Stiffness, and Cardiovascular Risk in End-Stage Renal Disease. Hypertension 2001, 38, 938–942. [Google Scholar] [CrossRef] [PubMed]
- Zhang, D.; Bi, X.; Liu, Y.; Huang, Y.; Xiong, J.; Xu, X.; Xiao, T.; Yu, Y.; Jiang, W.; Huang, Y.; et al. High Phosphate-Induced Calcification of Vascular Smooth Muscle Cells Is Associated with the TLR4/NF-Κb Signaling Pathway. Kidney Blood Press. Res. 2017, 42, 1205–1215. [Google Scholar] [CrossRef] [PubMed]
- Scialla, J.J.; Xie, H.; Rahman, M.; Anderson, A.H.; Isakova, T.; Ojo, A.; Zhang, X.; Nessel, L.; Hamano, T.; Grunwald, J.E.; et al. Fibroblast Growth Factor-23 and Cardiovascular Events in CKD. J. Am. Soc. Nephrol. 2014, 25, 349–360. [Google Scholar] [CrossRef] [PubMed]
- Hagström, E.; Hellman, P.; Larsson, T.E.; Ingelsson, E.; Berglund, L.; Sundström, J.; Melhus, H.; Held, C.; Lind, L.; Michaëlsson, K.; et al. Plasma Parathyroid Hormone and the Risk of Cardiovascular Mortality in the Community. Circulation 2009, 119, 2765–2771. [Google Scholar] [CrossRef]
- Heyliger, A.; Tangpricha, V.; Weber, C.; Sharma, J. Parathyroidectomy Decreases Systolic and Diastolic Blood Pressure in Hypertensive Patients with Primary Hyperparathyroidism. Surgery 2009, 146, 1042–1047. [Google Scholar] [CrossRef] [PubMed]


| Parameter | Naïve (A) | Non-Remission (B) | Remission (C) | p-Values | p-Values Post Hoc | ||
|---|---|---|---|---|---|---|---|
| N = 45 | N = 145 | N = 116 | A vs. B | A vs. C | B vs. C | ||
| Gender (female) | 22 | 95 | 81 | 0.043 * | n/a | n/a | n/a |
| Age (years) | (n = 45) 54 (39–62) | (n = 145) 56 (45–65) | (n = 116) 59.5 (47–64.5) | 0.035 * | 0.100 | 0.030 * | >0.999 |
| Body mass (kg) | (n = 42) 82 (74–95) | (n = 135) 85 (70–96) | (n = 107) 81 (71–94) | 0.890 | >0.999 | >0.999 | >0.999 |
| BMI (kg/m2) | (n = 42) 28.2 (24.7–31.8) | (n = 135) 28.1 (25.5–32.6) | (n = 106) 29 (25.7–33.6) | 0.759 | >0.999 | >0.999 | >0.999 |
| Duration time from diagnosis (months) | n/a | (n = 140) 48 (21–99.5) | (n = 109) 132 (48–186) | <0.001 * | n/a | n/a | n/a |
| Tumor size (mm) | (n = 45) 11 (9–14) | (n = 137) 11 (0–17.25) | (n = 113) 0 (0–8) | <0.001 * | 0.704 | <0.001 * | <0.001 * |
| SAGIT: | (n = 45) 11 (9–14) | (n = 145) 8 (5–11) | (n = 115) 3 (3–5) | <0.001 * | 0.022* | <0.001 * | <0.001 * |
| S | 1 (0–2) | 0 (0–1) | 0 (0–1) | 0.009 * | 0.021 * | 0.031 * | >0.999 |
| A | 2 (1–2) | 2 (1–3) | 2 (1–3) | 0.015 * | 0.073 | >0.999 | 0.066 |
| G | 4 (3–4) | 2 (2–3) | 0 (0–1) | <0.001 * | 0.006 * | <0.001 * | <0.001 * |
| I | 3 (2–3) | 1 (0–3) | 0 (0–0) | <0.001 * | 0.003 * | <0.001 * | <0.001 * |
| T | 2 (1–4) | 2 (0–4) | 0 (0–1) | <0.001 * | 0.062 | <0.001 * | <0.001 * |
| Parameter | Naïve (A) | Non-Remission (B) | Remission (C) | p-Values | p-Values Post Hoc | ||
|---|---|---|---|---|---|---|---|
| N = 45 | N = 145 | N = 116 | A vs. B | A vs. C | B vs. C | ||
| GH random (ng/mL) | (n = 16) 10.15 (4.60–16.58) | (n = 67) 4.24 (1.91–8.84) | (n = 32) 0.72 (0.44–1.34) | <0.001 * | 0.174 | <0.001 * | <0.001 * |
| nadir GH or GH-in OGTT (ng/mL) | (n = 28) 8.09 (3.33–17.60) | (n = 77) 2.35 (1.54–4.33) | (n = 83) 0.62 (0.28–0.99) | <0.001 * | 0.006 * | <0.001 * | <0.001 * |
| IGF-1 (ng/mL) | (n = 43) 702 (553–943) | (n = 140) 342 (219.5–568.5) | (n = 115) 167 (116–214) | <0.001 * | <0.001 * | <0.001 * | <0.001 * |
| Calcium (mg/dL) | (n = 43) 9.93 (9.59–10.23) | (n = 135) 9.69 (9.48–9.97) | (n = 109) 9.53 (9.33–9.70) | <0.001 * | 0.051 | <0.001 * | <0.001 * |
| Phosphorus (mg/dL) | (n = 39) 4.08 (3.56–4.55) | (n = 120) 3.90 (3.64–4.22) | (n = 104) 3.53 (3.18–3.91) | <0.001 * | 0.255 | <0.001 * | <0.001 * |
| PTH (pg/mL) | (n = 32) 35.88 (26.33–48.03) | (n = 85) 41.61 (33.35–55.61) | (n = 70) 42.35 (31.37–54.64) | 0.135 | 0.166 | 0.234 | >0.999 |
| Vitamin D (ng/mL) | (n = 23) 21 (14–33) | (n = 69) 23 (16–32) | (n = 60) 25 (16–36) | 0.506 | >0.999 | >0.999 | 0.989 |
| Parameter | Group | SAGIT | GH (ng/mL) | IGF-1 (ng/mL) | |||
|---|---|---|---|---|---|---|---|
| Rs | p-Value | Rs | p-Value | Rs | p-Value | ||
| Calcium (mg/dL) | Naïve | 0.269 | 0.081 | 0.115 | 0.470 | 0.236 | 0.138 |
| Non-remission | 0.266 | 0.002 * | 0.118 | 0.175 | 0.353 | <0.001 * | |
| Remission | 0.101 | 0.298 | −0.201 | 0.037 * | 0.079 | 0.415 | |
| Phosphorus (mg/dL) | Naïve | 0.464 | 0.003 * | 0.622 | <0.001 * | 0.533 | 0.001 * |
| Non-remission | 0.373 | <0.001 * | 0.469 | <0.001 * | 0.304 | 0.001 * | |
| Remission | 0.086 | 0.388 | 0.038 | 0.702 | 0.046 | 0.644 | |
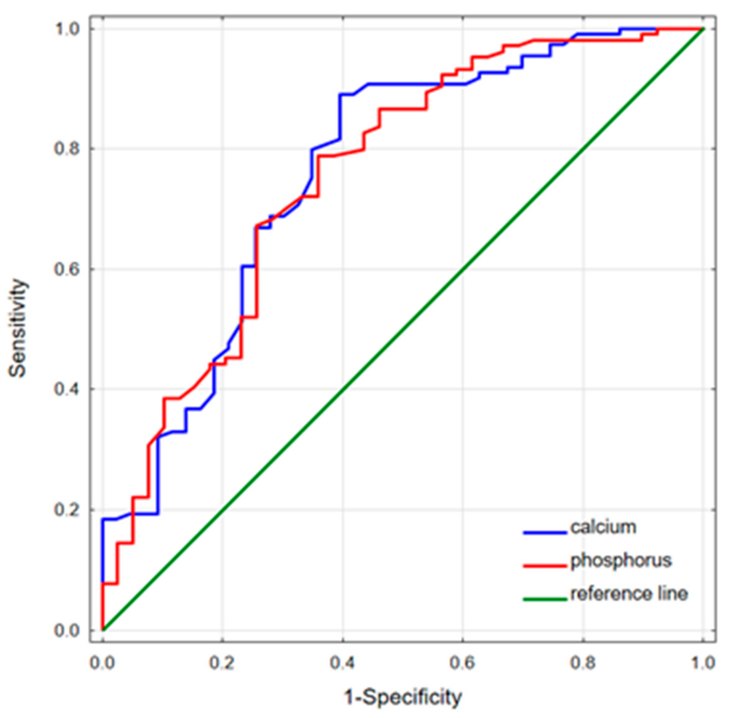
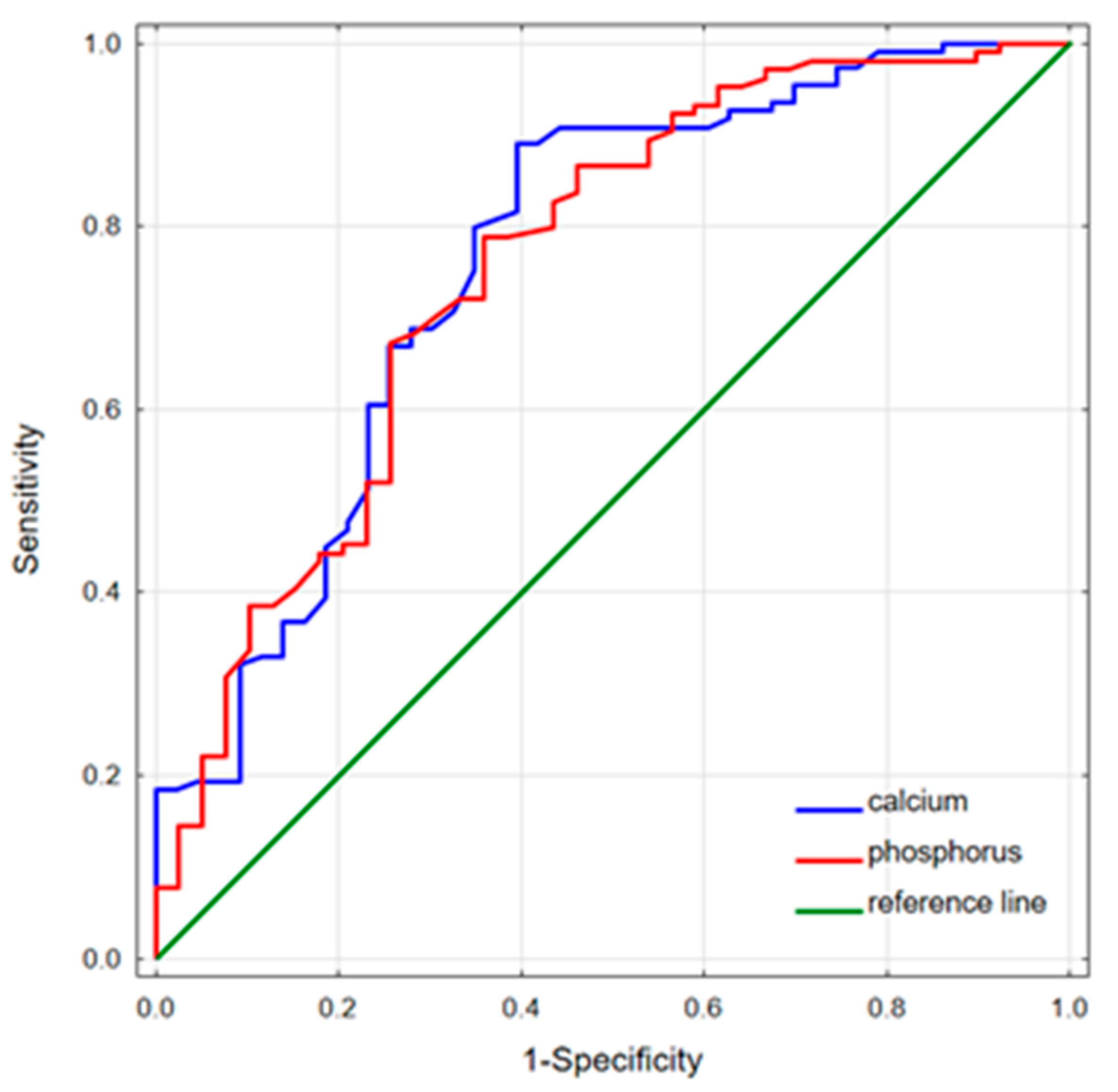
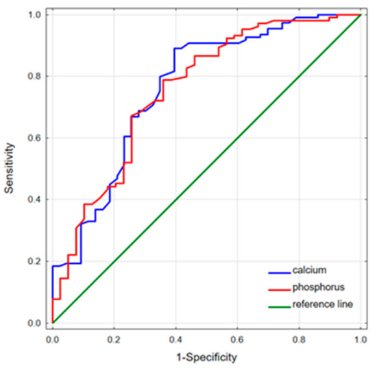
| Parameter | Positive Group | Negative Group | AUC | SE | p-Value | Cut-Off (Youden’s Index) | Sensitivity | Specificity | Accuracy |
|---|---|---|---|---|---|---|---|---|---|
| Calcium (mg/dL) | Remission | Naïve | 0.763 | 0.046 | <0.001 * | <9.88 | 0.890 | 0.605 | 0.809 |
| Remission | Non-remission | 0.659 | 0.035 | <0.001 * | <9.61 | 0.670 | 0.622 | 0.643 | |
| Remission | Naïve + non-remission | 0.684 | 0.032 | <0.001 * | <9.61 | 0.670 | 0.652 | 0.659 | |
| Naïve | Non-remission | 0.632 | 0.051 | 0.009 * | >9.89 | 0.605 | 0.674 | 0.657 | |
| Phosphorus (mg/dL) | Remission | Naïve | 0.755 | 0.048 | <0.001 * | <3.98 | 0.788 | 0.641 | 0.748 |
| Remission | Non-remission | 0.683 | 0.036 | <0.001 * | <3.69 | 0.606 | 0.717 | 0.665 | |
| Remission | Naïve + non-remission | 0.700 | 0.033 | <0.001 * | <3.69 | 0.606 | 0.723 | 0.677 | |
| Naïve | Non-remission | 0.604 | 0.056 | 0.060 | >3.99 | 0.641 | 0.600 | 0.610 |
| Parameter | Positive Group | Negative Group | Beta | SE | p-Value | OR | −95% CI | +95% CI |
|---|---|---|---|---|---|---|---|---|
| Calcium (mg/dL) | Remission | Naïve | −2.946 | 0.614 | <0.001 * | 0.053 | 0.016 | 0.175 |
| Remission | Non-remission | −1.576 | 0.396 | <0.001 * | 0.207 | 0.095 | 0.450 | |
| Remission | Naïve + non-remission | −1.832 | 0.375 | <0.001 * | 0.160 | 0.077 | 0.334 | |
| Naïve | Non-remission | 1.038 | 0.420 | 0.013 * | 2.823 | 1.240 | 6.426 | |
| Phosphorus (mg/dL) | Remission | Naïve | −1.759 | 0.394 | <0.001 * | 0.172 | 0.080 | 0.373 |
| Remission | Non-remission | −1.216 | 0.273 | <0.001 * | 0.296 | 0.174 | 0.506 | |
| Remission | Naïve + non-remission | −1.310 | 0.253 | <0.001 * | 0.270 | 0.164 | 0.443 | |
| Naïve | Non-remission | 0.641 | 0.338 | 0.058 | 1.899 | 0.980 | 3.680 |
| Parameter | Beta | SE | p-Value | OR | −95% CI | +95% CI | AUC Training | SE | AUC Testing | SE |
|---|---|---|---|---|---|---|---|---|---|---|
| Intercept | 35.953 | 7.321 | <0.001 * | 0.836 | 0.039 | 0.817 | 0.041 | |||
| Calcium (mg/dL) | −3.033 | 0.730 | <0.001 * | 0.048 | 0.012 | 0.202 | ||||
| Phosphorus (mg/dL) | −1.450 | 0.422 | 0.001 * | 0.235 | 0.103 | 0.537 |
Disclaimer/Publisher’s Note: The statements, opinions and data contained in all publications are solely those of the individual author(s) and contributor(s) and not of MDPI and/or the editor(s). MDPI and/or the editor(s) disclaim responsibility for any injury to people or property resulting from any ideas, methods, instructions or products referred to in the content. |
© 2023 by the authors. Licensee MDPI, Basel, Switzerland. This article is an open access article distributed under the terms and conditions of the Creative Commons Attribution (CC BY) license (https://creativecommons.org/licenses/by/4.0/).
Share and Cite
Sawicka-Gutaj, N.; Derwich-Rudowicz, A.; Biczysko, A.; Turchyn, S.; Ziółkowska, P.; Ziemnicka, K.; Gut, P.; Nijakowski, K.; Ruchała, M. Serum Phosphorus and Calcium as Biomarkers of Disease Status in Acromegaly. Biomedicines 2023, 11, 3278. https://doi.org/10.3390/biomedicines11123278
Sawicka-Gutaj N, Derwich-Rudowicz A, Biczysko A, Turchyn S, Ziółkowska P, Ziemnicka K, Gut P, Nijakowski K, Ruchała M. Serum Phosphorus and Calcium as Biomarkers of Disease Status in Acromegaly. Biomedicines. 2023; 11(12):3278. https://doi.org/10.3390/biomedicines11123278
Chicago/Turabian StyleSawicka-Gutaj, Nadia, Aleksandra Derwich-Rudowicz, Aleksandra Biczysko, Solomiya Turchyn, Paulina Ziółkowska, Katarzyna Ziemnicka, Paweł Gut, Kacper Nijakowski, and Marek Ruchała. 2023. "Serum Phosphorus and Calcium as Biomarkers of Disease Status in Acromegaly" Biomedicines 11, no. 12: 3278. https://doi.org/10.3390/biomedicines11123278
APA StyleSawicka-Gutaj, N., Derwich-Rudowicz, A., Biczysko, A., Turchyn, S., Ziółkowska, P., Ziemnicka, K., Gut, P., Nijakowski, K., & Ruchała, M. (2023). Serum Phosphorus and Calcium as Biomarkers of Disease Status in Acromegaly. Biomedicines, 11(12), 3278. https://doi.org/10.3390/biomedicines11123278

