Patient-Specific Finite Element Modeling of the Whole Lumbar Spine Using Clinical Routine Multi-Detector Computed Tomography (MDCT) Data—A Pilot Study
Abstract
1. Introduction
- (1)
- Modeling and validation of the 3D patient-specific finite element model of the whole lumbar spine from routine clinical MDCT data (in vivo) for extracting biomechanical characteristics; and
- (2)
- Comparison of these FE-derived structural biomarkers (FL and ROM) from whole lumbar spine models of healthy controls (HC) and osteoporotic patients (OP).
2. Materials and Methods
2.1. Subjects
2.2. Image Acquisition
2.3. QCT BMD Calculation from MDCT Data
2.4. MDCT Image Segmentation and Lumbar Spine Modeling
2.5. FE Modeling and Analysis
2.6. Statistical Data Analysis
3. Results
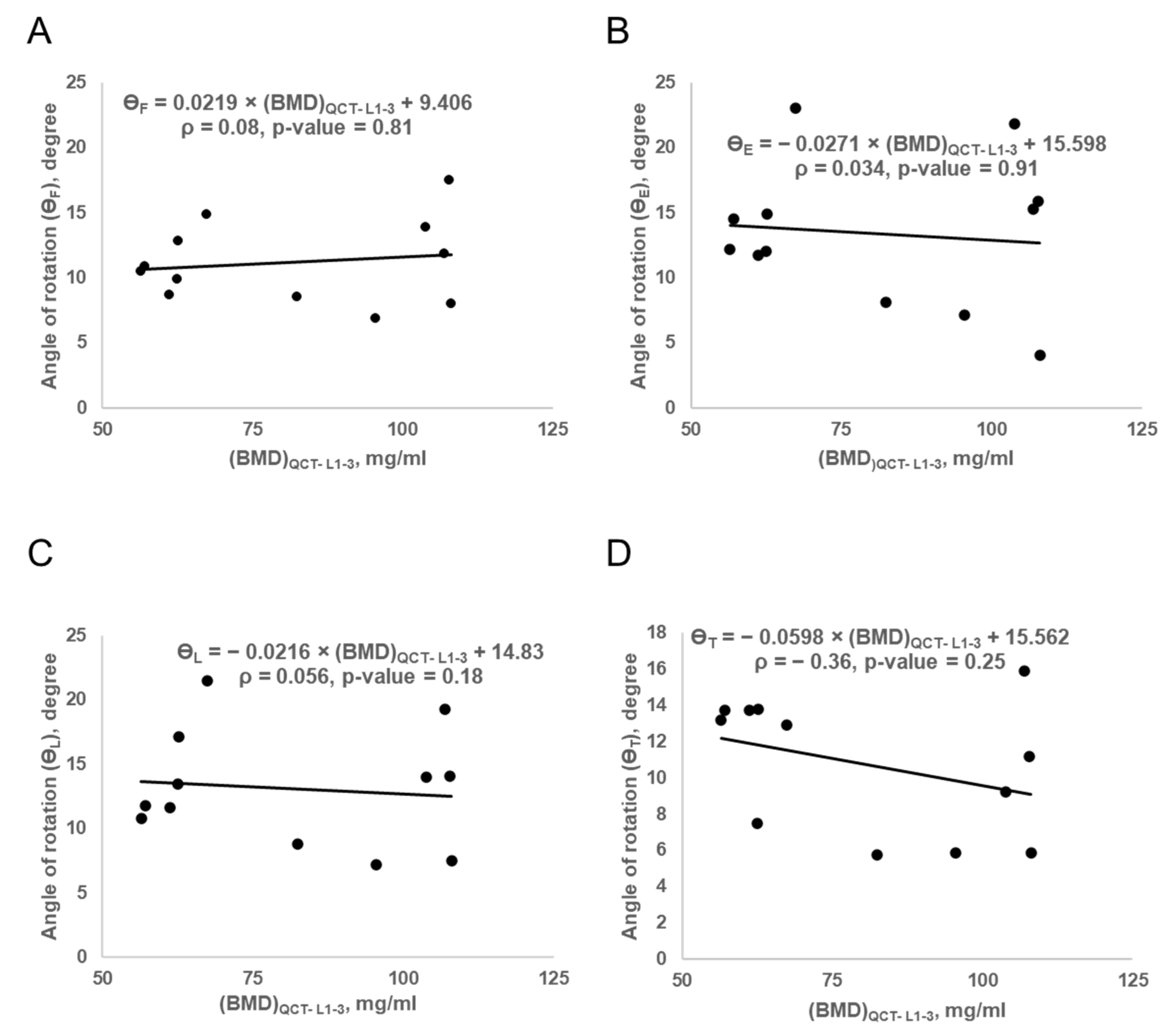
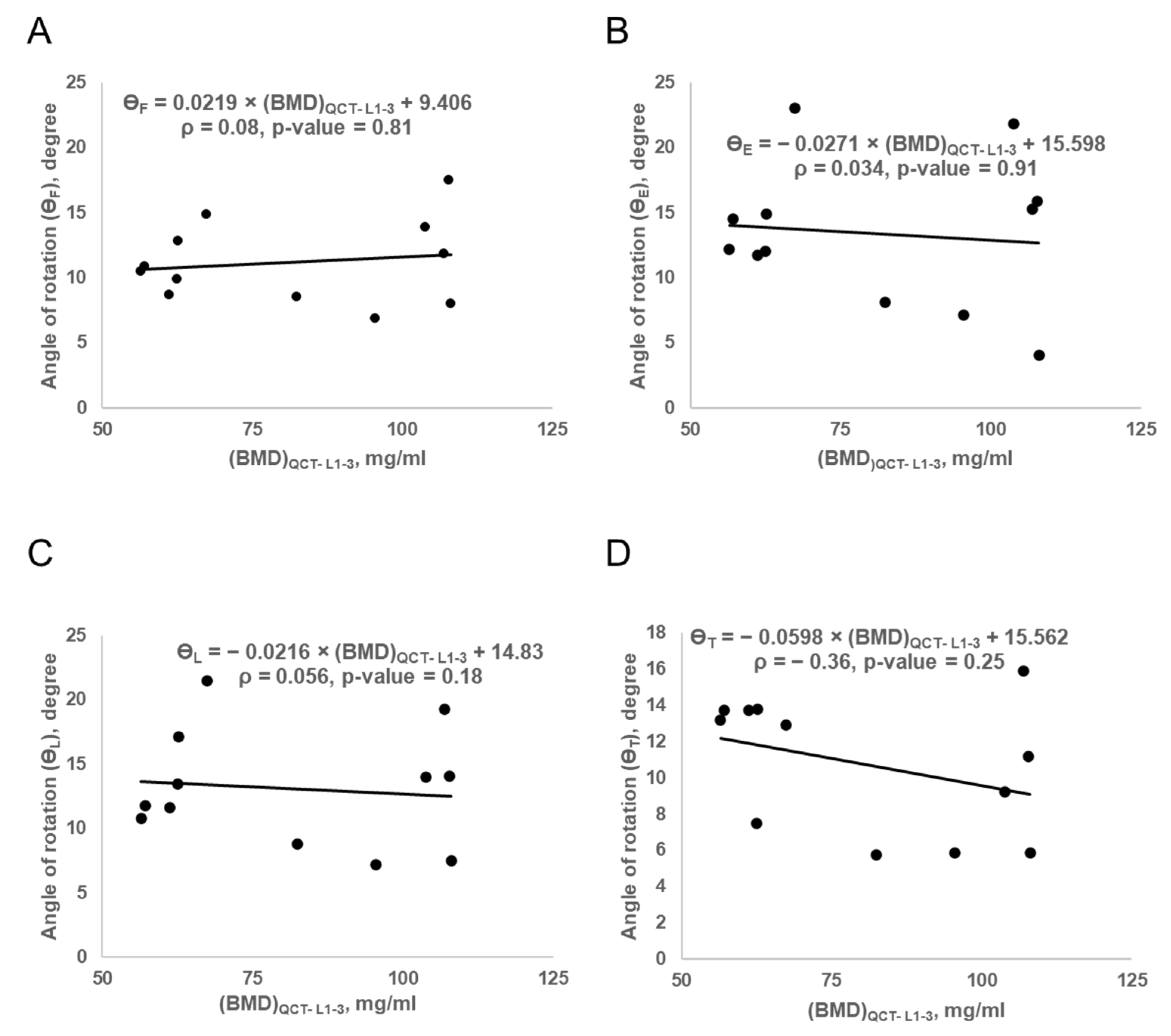
3.1. Calculation of FL and ROM Values for Healthy and Osteoporotic Lumbar Models
3.2. Comparison of Healthy and Osteoporotic Lumbar Spine Models
4. Discussion
5. Conclusions
Author Contributions
Funding
Institutional Review Board Statement
Informed Consent Statement
Data Availability Statement
Conflicts of Interest
Abbreviations
| 3D | Three-dimensional |
| aBMD | Areal bone mineral density |
| vBMD | Volumetric bone mineral density |
| QCT | Quantitative computed tomography |
| CT | Computed tomography |
| DXA | Dual-energy X-ray absorptiometry |
| QCT | Quantitative computed tomography |
| HU | Hounsfield units |
| MDCT | Multi-detector computed tomography |
| FE | Finite element |
| PACS | Picture archiving and communication system |
| SD | Standard deviation |
| ROC | Receiver operating characteristic |
| AUC | Area under the curve |
| BMDQCT-L1-L3 | Vertebrae |
| FL | Failure load |
| F | Flexion loading |
| E | Extension loading |
| L | Lateral bending loading |
| T | Twisting loading |
| ρ | Spearman coefficient |
| WHO | World Health Organization |
| HC | Healthy controls |
| OP | Osteoporotic patients |
| FRAX | Fracture Risk Assessment Tool |
| ALL | Anterior longitudinal ligament |
| PLL | Posterior longitudinal ligament |
| ISL | Interspinous ligament (ISL) |
| SSL | Supraspinous ligament |
| LF | Ligamentum flavum |
| FCL | Facet capsular ligament |
| ITL | Intertransverse ligament |
| IVD | Intervertebral disk |
References
- Sozen, T.; Ozisik, L.; Basaran, N.C. An overview and management of osteoporosis. Eur. J. Rheumatol. 2017, 4, 46–56. [Google Scholar] [CrossRef] [PubMed]
- Imai, K. Analysis of Vertebral Bone Strength, Fracture Pattern, and Fracture Location: A Validation Study Using a Computed Tomography-Based Nonlinear Finite Element Analysis. Aging Dis. 2015, 6, 180–187. [Google Scholar] [CrossRef] [PubMed]
- Ammann, P.; Rizzoli, R. Bone strength and its determinants. Osteoporos. Int. 2003, 14, 13–18. [Google Scholar] [CrossRef] [PubMed]
- Borgström, F.; Karlsson, L.; Ortsäter, G.; Norton, N.; Halbout, P.; Cooper, C.; Lorentzon, M.; McCloskey, E.V.; Harvey, N.C.; Javaid, M.K.; et al. Fragility fractures in Europe: Burden, management and opportunities. Arch. Osteoporos. 2020, 15, 59. [Google Scholar] [CrossRef] [PubMed]
- Ballane, G.; Cauley, J.A.; Luckey, M.M.; Fuleihan, G.E.-H. Worldwide prevalence and incidence of osteoporotic vertebral fractures. Osteoporos. Int. 2017, 28, 1531–1542. [Google Scholar] [CrossRef] [PubMed]
- Sambrook, P.; Cooper, C. Osteoporosis. Lancet 2006, 367, 2010–2018. [Google Scholar] [CrossRef]
- Faulkner, K.G. The tale of the T-score: Review and perspective. Osteoporos. Int. 2004, 16, 347–352. [Google Scholar] [CrossRef]
- Blake, G.M.; Fogelman, I. An Update on Dual-Energy X-ray Absorptiometry. Semin. Nucl. Med. 2010, 40, 62–73. [Google Scholar] [CrossRef][Green Version]
- Choksi, P.; Jepsen, K.J.; Clines, G.A. The challenges of diagnosing osteoporosis and the limitations of currently available tools. Clin. Diabetes Endocrinol. 2018, 4, 1–13. [Google Scholar] [CrossRef]
- Tu, K.N.; Lie, J.D.; Wan, C.K.V.; Cameron, M.; Austel, A.G.; Nguyen, J.K.; Van, K.; Hyun, D. Osteoporosis: A Review of Treatment Options. Pharm. Ther. 2018, 43, 92–104. [Google Scholar]
- Kanis, J.A.; Johnell, O.; Oden, A.; Johansson, H.; McCloskey, E. FRAX™ and the assessment of fracture probability in men and women from the UK. Osteoporos. Int. 2008, 19, 385–397. [Google Scholar] [CrossRef] [PubMed]
- Patel, I.; Zaro, S. Diagnosis and Management of Osteoporosis. InnovAiT: Educ. Inspir. Gen. Pract. 2012, 5, 509–519. [Google Scholar] [CrossRef]
- Engelke, K. Quantitative Computed Tomography—Current Status and New Developments. J. Clin. Densitom. 2017, 20, 309–321. [Google Scholar] [CrossRef] [PubMed]
- Carpenter, R.D. Finite Element Analysis of the Hip and Spine Based on Quantitative Computed Tomography. Curr. Osteoporos. Rep. 2013, 11, 156–162. [Google Scholar] [CrossRef]
- Anitha, D.P.; Baum, T.; Kirschke, J.S.; Subburaj, K. Effect of the intervertebral disc on vertebral bone strength prediction: A finite-element study. Spine J. 2019, 20, 665–671. [Google Scholar] [CrossRef]
- Dieckmeyer, M.; Rayudu, N.M.; Yeung, L.Y.; Löffler, M.; Sekuboyina, A.; Burian, E.; Sollmann, N.; Kirschke, J.S.; Baum, T.; Subburaj, K. Prediction of incident vertebral fractures in routine MDCT: Comparison of global texture features, 3D finite element parameters and volumetric BMD. Eur. J. Radiol. 2021, 141, 109827. [Google Scholar] [CrossRef]
- Yeung, L.; Rayudu, N.; Löffler, M.; Sekuboyina, A.; Burian, E.; Sollmann, N.; Dieckmeyer, M.; Greve, T.; Kirschke, J.; Subburaj, K.; et al. Prediction of Incidental Osteoporotic Fractures at Vertebral-Specific Level Using 3D Non-Linear Finite Element Parameters Derived from Routine Abdominal MDCT. Diagnostics 2021, 11, 208. [Google Scholar] [CrossRef]
- Anitha, D.; Baum, T.; Kirschke, J.S.; Subburaj, K. Risk of vertebral compression fractures in multiple myeloma patients. Medicine 2017, 96, e5825. [Google Scholar] [CrossRef]
- Rayudu, N.M.; Anitha, D.P.; Mei, K.; Zoffl, F.; Kopp, F.K.; Sollmann, N.; Löffler, M.T.; Kirschke, J.S.; Noël, P.B.; Subburaj, K.; et al. Low-dose and sparse sampling MDCT-based femoral bone strength prediction using finite element analysis. Arch. Osteoporos. 2020, 15, 1–9. [Google Scholar] [CrossRef]
- Rayudu, N.M.; Baum, T.; Kirschke, J.S.; Subburaj, K. MDCT-Based Finite Element Analysis for the Prediction of Functional Spine Unit Strength—An In Vitro Study. Materials 2021, 14, 5791. [Google Scholar] [CrossRef]
- Xu, M.; Yang, J.; Lieberman, I.H.; Haddas, R. Lumbar spine finite element model for healthy subjects: Development and validation. Comput. Methods Biomech. Biomed. Eng. 2016, 20, 1–15. [Google Scholar] [CrossRef] [PubMed]
- Zhang, Q.; Chon, T.; Zhang, Y.; Baker, J.S.; Gu, Y. Finite element analysis of the lumbar spine in adolescent idiopathic scoliosis subjected to different loads. Comput. Biol. Med. 2021, 136, 104745. [Google Scholar] [CrossRef] [PubMed]
- Allaire, B.T.; Lu, D.; Johannesdottir, F.; Kopperdahl, D.; Keaveny, T.M.; Jarraya, M.; Guermazi, A.; Bredella, M.A.; Samelson, E.J.; Kiel, D.P.; et al. Prediction of incident vertebral fracture using CT-based finite element analysis. Osteoporos. Int. 2018, 30, 323–331. [Google Scholar] [CrossRef] [PubMed]
- Kopperdahl, D.L.; Aspelund, T.; Hoffmann, P.F.; Sigurdsson, S.; Siggeirsdottir, K.; Harris, T.B.; Gudnason, V.; Keaveny, T.M. Assessment of incident spine and hip fractures in women and men using finite element analysis of CT scans. J. Bone Miner. Res. 2013, 29, 570–580. [Google Scholar] [CrossRef]
- Nishida, N.; Ohgi, J.; Jiang, F.; Ito, S.; Imajo, Y.; Suzuki, H.; Funaba, M.; Nakashima, D.; Sakai, T.; Chen, X. Finite Element Method Analysis of Compression Fractures on Whole-Spine Models Including the Rib Cage. Comput. Math. Methods Med. 2019, 2019, 1–10. [Google Scholar] [CrossRef]
- Rayudu, N.M.; Dieckmeyer, M.; Löffler, M.T.; Noël, P.B.; Kirschke, J.S.; Baum, T.; Subburaj, K. Predicting Vertebral Bone Strength Using Finite Element Analysis for Opportunistic Osteoporosis Screening in Routine Multidetector Computed Tomography Scans—A Feasibility Study. Front. Endocrinol. 2021, 11. [Google Scholar] [CrossRef]
- Roski, F.; Hammel, J.; Mei, K.; Baum, T.; Kirschke, J.S.; Laugerette, A.; Kopp, F.K.; Bodden, J.; Pfeiffer, D.; Pfeiffer, F.; et al. Bone mineral density measurements derived from dual-layer spectral CT enable opportunistic screening for osteoporosis. Eur. Radiol. 2019, 29, 6355–6363. [Google Scholar] [CrossRef]
- Baum, T.; Müller, D.; Dobritz, M.; Wolf, P.; Rummeny, E.J.; Link, T.M.; Bauer, J.S. Converted Lumbar BMD Values Derived from Sagittal Reformations of Contrast-Enhanced MDCT Predict Incidental Osteoporotic Vertebral Fractures. Calcif. Tissue Res. 2012, 90, 481–487. [Google Scholar] [CrossRef]
- Huber, M.B.; Carballido-Gamio, J.; Bauer, J.S.; Baum, T.; Eckstein, F.; Lochmüller, E.M.; Majumdar, S.; Link, T.M. Proximal Femur Specimens: Automated 3D Trabecular Bone Mineral Density Analysis at Multidetector CT—Correlation with Biomechanical Strength Measurement. Radiology 2008, 247, 472–481. [Google Scholar] [CrossRef]
- Baum, T.; Müller, D.; Dobritz, M.; Rummeny, E.J.; Link, T.M.; Bauer, J.S. BMD measurements of the spine derived from sagittal reformations of contrast-enhanced MDCT without dedicated software. Eur. J. Radiol. 2011, 80, e140–e145. [Google Scholar] [CrossRef]
- Löffler, M.T.; Jacob, A.; Scharr, A.; Sollmann, N.; Burian, E.; El Husseini, M.; Sekuboyina, A.; Tetteh, G.; Zimmer, C.; Gempt, J.; et al. Automatic opportunistic osteoporosis screening in routine CT: Improved prediction of patients with prevalent vertebral fractures compared to DXA. Eur. Radiol. 2021, 31, 6069–6077. [Google Scholar] [CrossRef] [PubMed]
- Rühling, S.; Scharr, A.; Nico, S.; Wostrack, M.; Löffler, M.T.; Bjoern, M.; Sekuboyina, A.; Husseini, M.; El Braren, R.; Zimmer, C.; et al. European Radiology Proposed diagnostic volumetric bone mineral density thresholds for osteoporosis and osteopenia at the cervicothoracic spine in correlation to the lumbar spine. Eur. Radiol. 2022, 1–8. [Google Scholar] [CrossRef]
- Löffler, M.T.; Sollmann, N.; Burian, E.; Bayat, A.; Aftahy, K.; Baum, T.; Meyer, B.; Ryang, Y.-M.; Kirschke, J.S. Opportunistic Osteoporosis Screening Reveals Low Bone Density in Patients with Screw Loosening After Lumbar Semi-Rigid Instrumentation: A Case-Control Study. Front. Endocrinol. 2021, 11, 552719. [Google Scholar] [CrossRef]
- Rho, J.; Hobatho, M.; Ashman, R. Relations of mechanical properties to density and CT numbers in human bone. Med Eng. Phys. 1995, 17, 347–355. [Google Scholar] [CrossRef]
- Goulet, R.; Goldstein, S.; Ciarelli, M.; Kuhn, J.; Brown, M.; Feldkamp, L. The relationship between the structural and orthogonal compressive properties of trabecular bone. J. Biomech. 1994, 27, 375–389. [Google Scholar] [CrossRef]
- Morgan, E.F.; Bayraktar, H.H.; Keaveny, T.M. Trabecular bone modulus–density relationships depend on anatomic site. J. Biomech. 2003, 36, 897–904. [Google Scholar] [CrossRef]
- Crawford, R.; Cann, C.E.; Keaveny, T.M. Finite element models predict in vitro vertebral body compressive strength better than quantitative computed tomography. Bone 2003, 33, 744–750. [Google Scholar] [CrossRef]
- Keller, T.S. Predicting the compressive mechanical behavior of bone. J. Biomech. 1994, 27, 1159–1168. [Google Scholar] [CrossRef]
- Keyak, J. Improved prediction of proximal femoral fracture load using nonlinear finite element models. Med Eng. Phys. 2001, 23, 165–173. [Google Scholar] [CrossRef]
- Lee, C.-H.; Landham, P.R.; Eastell, R.; Adams, A.M.; Dolan, P.; Yang, L. Development and validation of a subject-specific finite element model of the functional spinal unit to predict vertebral strength. Proc. Inst. Mech. Eng. Part H J. Eng. Med. 2017, 231, 821–830. [Google Scholar] [CrossRef]
- Sivasankari, S.; Balasubramanian, V. Influence of occupant collision state parameters on the lumbar spinal injury during frontal crash. J. Adv. Res. 2020, 28, 17–26. [Google Scholar] [CrossRef] [PubMed]
- Ayturk, U.M.; Puttlitz, C.M. Parametric convergence sensitivity and validation of a finite element model of the human lumbar spine. Comput. Methods Biomech. Biomed. Eng. 2011, 14, 695–705. [Google Scholar] [CrossRef] [PubMed]
- O’Connell, G.D.; Vresilovic, E.J.; Elliott, D.M. Comparison of Animals Used in Disc Research to Human Lumbar Disc Geometry. Spine 2007, 32, 328–333. [Google Scholar] [CrossRef]
- Khoz, Z.; Nikkhoo, M.; Cheng, C. Parametric Patient-Specific Finite Element Modeling of Lumbar Spine Based on Anatomical Parameters. Iran. J. Orthop. Surg. 2018, 16, 195–203. [Google Scholar] [CrossRef]
- Xiao, Z.; Wang, L.; Gong, H.; Zhu, D.; Zhang, X. A non-linear finite element model of human L4–L5 lumbar spinal segment with three-dimensional solid element ligaments. Theor. Appl. Mech. Lett. 2011, 1, 064001. [Google Scholar] [CrossRef][Green Version]
- Rohlmann, A.; Neller, S.; Claes, L.; Bergmann, G.; Wilke, H.-J. Influence of a Follower Load on Intradiscal Pressure and Intersegmental Rotation of the Lumbar Spine. SPINE 2001, 26, E557–E561. [Google Scholar] [CrossRef]
- Shariat, A.; Alizadeh, R.; Moradi, V.; Afsharnia, E.; Hakakzadeh, A.; Ansari, N.N.; Ingle, L.; Shaw, B.S.; Shaw, I. The impact of modified exercise and relaxation therapy on chronic lower back pain in office workers: A randomized clinical trial. J. Exerc. Rehabil. 2019, 15, 703–708. [Google Scholar] [CrossRef]
- O’Sullivan, K.; O’Keeffe, M.; Forster, B.B.; Qamar, S.R.; van der Westhuizen, A.; O’Sullivan, P.B. Managing low back pain in active adolescents. Best Pract. Res. Clin. Rheumatol. 2019, 33, 102–121. [Google Scholar] [CrossRef]
- Ahsan, K.; Khan, S.I.; Zaman, N.; Montemurro, N.; Ahmed, N.; Chaurasia, B. Fusion versus nonfusion treatment for recurrent lumbar disc herniation. J. Craniovertebral Junction Spine 2021, 12, 44. [Google Scholar] [CrossRef]
- El Shazly, A.; El Wardany, M.; Morsi, A. Recurrent lumbar disc herniation: A prospective comparative study of three surgical management procedures. Asian J. Neurosurg. 2013, 8, 139–146. [Google Scholar] [CrossRef]
- Sawicki, P.; Tałałaj, M.; Życińska, K.; Zgliczyński, W.S.; Wierzba, W. Comparison of the Characteristics of Back Pain in Women with Postmenopausal Osteoporosis with and without Vertebral Compression Fracture: A Retrospective Study at a Single Osteoporosis Center in Poland. Med Sci. Monit. 2021, 27, e929853-1–e929853-7. [Google Scholar] [CrossRef] [PubMed]
- IbrahimiKacuri, D.; Murtezani, A.; Rrecaj, S.; Martinaj, M.; Haxhiu, B. Low Back Pain and Obesity. Med Arch. 2015, 69, 114–116. [Google Scholar] [CrossRef]
- Demetropoulos, C.K.; Yang, K.H.; Grimm, M.J.; Khalil, T.B.; King, A.I. Mechanical Properties of the Cadaveric and Hybrid III Lumbar Spines. SAE Trans. 1998. [Google Scholar] [CrossRef]
- Schmidt, H.; Galbusera, F.; Rohlmann, A.; Zander, T.; Wilke, H.-J. Effect of multilevel lumbar disc arthroplasty on spine kinematics and facet joint loads in flexion and extension: A finite element analysis. Eur. Spine J. 2010, 21, 663–674. [Google Scholar] [CrossRef]
- Kiapour, A.; Ambati, D.; Hoy, R.W.; Goel, V.K. Effect of Graded Facetectomy on Biomechanics of Dynesys Dynamic Stabilization System. Spine 2012, 37, E581–E589. [Google Scholar] [CrossRef] [PubMed]
- Shirazi-Adl, A. Biomechanics of the Lumbar Spine in Sagittal/Lateral Moments. Spine 1994, 19, 2407–2414. [Google Scholar] [CrossRef] [PubMed]
- Chandran, M.; Rayudu, N.; Anitha, D.; Duraisamy, S.; Magsombol, B.; Dce, N.; Subburaj, K. Normalized FE-Predicted Failure Load: A Potentially Better Tool to Classify Osteoporotic Fragility Fracture Risk than BMD Alone in Post- Menopausal Chinese Women. In Proceedings of the ASBMR 2019 Annual Meeting, Orlando, FL, USA, 20–23 September 2019; pp. 1–3. [Google Scholar]
- Nakhli, Z.; Ben Hatira, F.; Pithioux, M.; Chabrand, P.; Saanouni, K. On prediction of the compressive strength and failure patterns of human vertebrae using a quasi-brittle continuum damage finite element model. Acta Bioeng. Biomech. 2019, 21, 143–151. [Google Scholar] [PubMed]
- Tsouknidas, A.; Sarigiannidis, S.O.; Anagnostidis, K.; Michailidis, N.; Ahuja, S. Assessment of stress patterns on a spinal motion segment in healthy versus osteoporotic bony models with or without disc degeneration: A finite element analysis. Spine J. 2015, 15, S17–S22. [Google Scholar] [CrossRef]
- Somovilla-Gómez, F.; Lostado-Lorza, R.; Corral-Bobadilla, M.; Escribano-García, R. Improvement in determining the risk of damage to the human lumbar functional spinal unit considering age, height, weight and sex using a combination of FEM and RSM. Biomech. Model. Mechanobiol. 2020, 19, 351–387. [Google Scholar] [CrossRef]









| Mechanical Property | Mapping Relations |
|---|---|
| Vertebrae material properties | |
| Apparent density (ρapp in Kg/m3) [34] | ρapp = 47 + 1.122 × HU |
| Ash density (ρash in Kg/m3) [35] | ρash = 0.6 × ρapp |
| Elastic modulus (E in MPa) [34,36] | Ez = 4730 × (ρapp)1.56 Ex = Ey = 0.333 Ez Z- Vertebrae axial direction |
| Shear modulus (G in MPa) [37] | Gxy = 0.121 Ez Gxz = Gyz = 0.157 Ez |
| Poisson ratio (V) [37] | Vxy = 0.381 Vxz = Vyz = 0.104 |
| Maximum principal stress limit (σ in MPa) [38] | σ = 137 × ρash 1.88, ρash < 0.317 σ = 114 × ρash 1.72, ρash > 0.317 |
| Plastic strain (εAB) [39] | εAB = −0.00315 + 0.0728 ρash |
| Minimum principal stress limit (σmin in MPa) [39] | σmin = 65.1 × ρash 1.93 |
| Intervertebral disc properties | |
| Annulus | |
| Elastic modulus (E in MPa) [40] | E = 25 |
| Poisson ratio (V) [40] | 0.49 |
| Density (ton/mm3) [41] | 1.20 × 10−9 |
| Nucleus | |
| Elastic modulus (E in MPa) [42] | E = 1 |
| Poisson ratio (V) [42] | 0.49 |
| Density (ton/mm3) [41] | 1.00 × 10−9 |
| Density (Ton/mm3) | Youngs Modulus (MPa) | Poisson’s Ratio | Circular Cross-Sectional Area (mm2) | Number of Ligaments | |
|---|---|---|---|---|---|
| ALL | 1 × 10−9 | 55.77 | 0.4 | 32.4 | 3 |
| PLL | 1 × 10−9 | 54.43 | 0.4 | 05.2 | 3 |
| LF | 1 × 10−9 | 03.25 | 0.4 | 84.2 | 3 |
| ISL | 1 × 10−9 | 02.23 | 0.4 | 35.1 | 4 |
| SSL | 1 × 10−9 | 12.80 | 0.4 | 25.2 | 2 |
| ITL | 1 × 10−9 | 11.50 | 0.4 | 12.0 | 4 |
| FCL | 1 × 10−9 | 08.69 | 0.4 | 43.8 | 6 |
| Healthy | Osteoporotic | p-Value | |||
|---|---|---|---|---|---|
| Mean | Std Dev | Mean | Std Dev | ||
| QCT BMD (mg/mL) | 100.77 | 9.25 | 61.21 | 3.67 | <0.01 * |
| Failure load (n) | 1471.50 | 275.69 | 763.33 | 166.70 | <0.01 * |
| Flexion (°) | 11.11 | 3.73 | 11.26 | 2.02 | 0.69 |
| Extension (°) | 12.05 | 6.12 | 14.75 | 3.93 | 0.69 |
| Lateral bending (°) | 11.80 | 4.36 | 14.37 | 3.78 | 0.47 |
| Twisting (°) | 8.96 | 3.72 | 12.48 | 2.25 | 0.13 |
Publisher’s Note: MDPI stays neutral with regard to jurisdictional claims in published maps and institutional affiliations. |
© 2022 by the authors. Licensee MDPI, Basel, Switzerland. This article is an open access article distributed under the terms and conditions of the Creative Commons Attribution (CC BY) license (https://creativecommons.org/licenses/by/4.0/).
Share and Cite
Rayudu, N.M.; Subburaj, K.; Mohan, R.E.; Sollmann, N.; Dieckmeyer, M.; Kirschke, J.S.; Baum, T. Patient-Specific Finite Element Modeling of the Whole Lumbar Spine Using Clinical Routine Multi-Detector Computed Tomography (MDCT) Data—A Pilot Study. Biomedicines 2022, 10, 1567. https://doi.org/10.3390/biomedicines10071567
Rayudu NM, Subburaj K, Mohan RE, Sollmann N, Dieckmeyer M, Kirschke JS, Baum T. Patient-Specific Finite Element Modeling of the Whole Lumbar Spine Using Clinical Routine Multi-Detector Computed Tomography (MDCT) Data—A Pilot Study. Biomedicines. 2022; 10(7):1567. https://doi.org/10.3390/biomedicines10071567
Chicago/Turabian StyleRayudu, Nithin Manohar, Karupppasamy Subburaj, Rajesh Elara Mohan, Nico Sollmann, Michael Dieckmeyer, Jan S. Kirschke, and Thomas Baum. 2022. "Patient-Specific Finite Element Modeling of the Whole Lumbar Spine Using Clinical Routine Multi-Detector Computed Tomography (MDCT) Data—A Pilot Study" Biomedicines 10, no. 7: 1567. https://doi.org/10.3390/biomedicines10071567
APA StyleRayudu, N. M., Subburaj, K., Mohan, R. E., Sollmann, N., Dieckmeyer, M., Kirschke, J. S., & Baum, T. (2022). Patient-Specific Finite Element Modeling of the Whole Lumbar Spine Using Clinical Routine Multi-Detector Computed Tomography (MDCT) Data—A Pilot Study. Biomedicines, 10(7), 1567. https://doi.org/10.3390/biomedicines10071567

