Next Issue
Volume 13, November-2
Previous Issue
Volume 13, October-2
 
 

Healthcare, Volume 13, Issue 21 (November-1 2025) – 166 articles

Cover Story (view full-size image): Health systems worldwide are searching for better ways to respond to growing complexity. This paper introduces a systemic health system population segmentation model based on the unified care model, which combines medical and psychosocial needs and links lifelong and episodic care into a coherent whole. Developed and evaluated in Yishun Health, Singapore, the model provides a practical foundation for integrated health service planning, resource allocation, and shared accountability. The findings highlight psychosocial factors as major determinants of outcomes, opening new possibilities for designers, planners, and leaders seeking more person-centered and sustainable health system transformation. View this paper
  • Issues are regarded as officially published after their release is announced to the table of contents alert mailing list.
  • You may sign up for e-mail alerts to receive table of contents of newly released issues.
  • PDF is the official format for papers published in both, html and pdf forms. To view the papers in pdf format, click on the "PDF Full-text" link, and use the free Adobe Reader to open them.
Order results
Result details
Section
Select all
Export citation of selected articles as:
19 pages, 558 KB  
Review
From Burnout to Resilience: Addressing Moral Injury in Nursing Through Organizational Innovation in the Post-Pandemic Era
by Enășoni Sorina, Dorin Novacescu, Alina Cristina Barb, Alexandru Ciolofan, Cristina Stefania Dumitru, Flavia Zara, Raul Patrascu and Alexandra Enache
Healthcare 2025, 13(21), 2822; https://doi.org/10.3390/healthcare13212822 - 6 Nov 2025
Viewed by 1305
Abstract
The COVID-19 pandemic has profoundly amplified burnout and moral injury among nurses, exposing structural vulnerabilities in healthcare systems and accelerating workforce attrition. Beyond the acute crisis, nurses continue to face chronic staff shortages, overwhelming workloads, and unresolved ethical tensions that compromise both well-being [...] Read more.
The COVID-19 pandemic has profoundly amplified burnout and moral injury among nurses, exposing structural vulnerabilities in healthcare systems and accelerating workforce attrition. Beyond the acute crisis, nurses continue to face chronic staff shortages, overwhelming workloads, and unresolved ethical tensions that compromise both well-being and quality of care. Synthesis of recent meta-analyses in this review indicates that nurse burnout during the pandemic ranged between 30% and 50%, illustrating the magnitude of the problem. Particular attention is given to innovative organizational strategies that foster resilience, including workload redistribution, enhanced professional autonomy, supportive leadership, and the integration of digital technologies such as telecare. Comparative perspectives across healthcare systems illustrate how policy reforms, staffing models, and ethical frameworks can mitigate psychological distress and strengthen organizational resilience. By reframing burnout and moral injury not only as individual challenges but as systemic phenomena requiring structural solutions, this review emphasizes the imperative of multilevel interventions. Building resilient nursing workforces through innovation, leadership, and evidence-based policies is essential for sustaining high-quality patient care in the post-pandemic era. Full article
Show Figures

Figure 1

10 pages, 240 KB  
Review
Personalized Damage Assessment in Aesthetic Surgery: Current Trends and the Italian Scenario
by Federico Amadei, Domenico Tripodi, Claudio Cannistrà, Felice Moccia, Marcello Molle, Mario Faenza and Giuseppe Basile
Healthcare 2025, 13(21), 2821; https://doi.org/10.3390/healthcare13212821 - 6 Nov 2025
Viewed by 499
Abstract
Introduction: Aesthetic surgery addresses subjective desires for morphological enhancement and differs from reconstructive surgery due to its elective, non-therapeutic nature. This distinction introduces complex medico-legal challenges, particularly concerning informed consent, patient expectations, and the legal evaluation of aesthetic damage. Materials and Methods [...] Read more.
Introduction: Aesthetic surgery addresses subjective desires for morphological enhancement and differs from reconstructive surgery due to its elective, non-therapeutic nature. This distinction introduces complex medico-legal challenges, particularly concerning informed consent, patient expectations, and the legal evaluation of aesthetic damage. Materials and Methods: A narrative review was conducted using national legislation, Italian and international clinical guidelines, peer-reviewed literature from PubMed, Scopus, and Web of Science, and Italian Supreme Court rulings. Eight commonly litigated aesthetic procedures were analyzed in terms of clinical indications, public reimbursement criteria, and medico-legal risk. Results: Findings revealed significant variability in medico-legal exposure among procedures. Fully elective interventions such as liposuction and breast augmentation carried the highest litigation risk. Common legal claims included inadequate informed consent, poor psychological assessment, and mismatched expectations. The review emphasizes the need for personalized consent processes and comprehensive preoperative evaluations. Discussion: Italian case law increasingly adopts a “mixed obligation” model for aesthetic surgery, requiring not only technical skill but also a prognostic and relational evaluation of the intervention. Informed consent must be detailed, individualized, and well-documented, as it holds greater legal weight than in therapeutic procedures. Predictive medico-legal tools such as psychological profiling and structured consent protocols are essential for risk mitigation. Conclusions: Modern aesthetic surgery requires a redefined approach to damage assessment that incorporates psychological, relational, and identity factors. In both clinical and surgical practice, an approach tailored to the patient’s psychological profile must be increasingly taken into consideration, both when proposing and carrying out treatments and in medical-legal assessments. A legally and ethically sound practice depends on transparency, documentation, and patient-centered care, especially in the absence of therapeutic indications. Full article
10 pages, 1155 KB  
Article
Comparative Effectiveness of Origami-Box-Folding and Outside-the-Box Knot-Tying Exercises in Laparoscopic Surgical Training: A Prospective Cohort Study
by Cristian-Valentin Toma, Adrian-Iustin Georgevici, Didina-Catalina Barbalata, George-Sabin Popescu, Ioana Gabriela Visan, George E. D. Petrescu, Cătălin Ovidiu Nechita, Daniel Liviu Bădescu, Cristian George Tieranu, Alexandru Ciudin and Viorel Jinga
Healthcare 2025, 13(21), 2820; https://doi.org/10.3390/healthcare13212820 - 6 Nov 2025
Viewed by 331
Abstract
Background/Objectives: Minimally invasive surgical techniques require precise psychomotor skills distinct from those used in traditional surgery. Simulation-based training is essential for skill acquisition without patient risk. This study compared two prevalent training methodologies: the Origami-Box-Folding Exercise (OBFE) and Outside-the-Box Knot-Tying Exercise (OBTKE). [...] Read more.
Background/Objectives: Minimally invasive surgical techniques require precise psychomotor skills distinct from those used in traditional surgery. Simulation-based training is essential for skill acquisition without patient risk. This study compared two prevalent training methodologies: the Origami-Box-Folding Exercise (OBFE) and Outside-the-Box Knot-Tying Exercise (OBTKE). Methods: In this prospective cohort study, 84 surgical residents (34 OBFE, 50 OBTKE) from General Surgery, Obstetrics–Gynecology, and Urology underwent pre- and post-intervention assessments. Performance metrics included completion times for surgical and square knots, out-of-visual-field instrument instances, needle drops, tissue lesions, and self-assessment via 5-point Likert scales. Behavioral Observation Research Interactive Software quantified performance objectively. Data were analyzed using paired Wilcoxon signed-rank tests for within-group comparisons and Wilcoxon rank-sum tests for between-group differences. Results: Both methodologies significantly improved surgical knot-tying performance. Surgical knot completion time decreased by 316.65 s (OBFE) and 360 s (OBTKE) with no significant between-group difference (p = 0.96). For square knots, OBFE exhibited significantly greater improvement with a 278 s reduction versus 169 s for OBTKE (p = 0.02). Technical errors decreased similarly in both groups. OBFE showed greater improvement in self-rated surgical knot knowledge (p = 0.03) and larger effect sizes for self-assessment measures (0.84–0.87 vs. 0.77–0.85). Conclusions: Both OBFE and OBTKE effectively improve laparoscopic skills in surgical residents. OBFE is particularly beneficial for square knot efficiency and self-rated knowledge enhancement, while OBTKE focuses on targeted knot-tying training. These findings support the implementation of both methodologies in surgical education, potentially in sequence—OBFE for foundational skills and OBTKE for advanced refinement. Full article
Show Figures

Figure 1

25 pages, 493 KB  
Systematic Review
Optimizing Emergency Response in Hospitals: A Systematic Review of Surge Capacity Planning and Crisis Resource Management
by Savvas Petanidis, Krishna Chandramouli, George Floros, Sokratis Nifakos, Kostas Kolomvatsos, Sofia Tsekeridou, Sabina Magalini, Daniele Gui and Christoforos Kosmidis
Healthcare 2025, 13(21), 2819; https://doi.org/10.3390/healthcare13212819 - 6 Nov 2025
Viewed by 1225
Abstract
Background: Healthcare systems worldwide face growing challenges in anticipating and managing patient surges, particularly in times of public health crises, natural disasters, or seasonal peaks. The ability of healthcare organisations to forecast and respond to such demand fluctuations—referred to as organisational readiness [...] Read more.
Background: Healthcare systems worldwide face growing challenges in anticipating and managing patient surges, particularly in times of public health crises, natural disasters, or seasonal peaks. The ability of healthcare organisations to forecast and respond to such demand fluctuations—referred to as organisational readiness for patient capacity surge—has become a critical determinant of service continuity and patient outcomes. Despite the urgency, there remains a lack of consolidated evidence on how healthcare authorities measure, evaluate, and operationalise this readiness. This systematic review aims to identify and synthesise existing literature that presents case studies, methodologies, and strategic frameworks used to evaluate organisational preparedness for patient surge capacity. It also explores resource allocation mechanisms, hospital capacity planning algorithms, and temporary facility strategies documented in healthcare settings. Methods: The review was conducted across two major scientific repositories, i.e., PubMed and Web of Science (WoS). A set of four structured search queries were formulated to capture the breadth of the topic, focusing on demand forecasting, hospital capacity planning, workforce models, and resource management within the context of healthcare surge demand. The search was limited to publications from the last 10 years (2014–2024) to ensure the inclusion of contemporary practices and technologies. Results: A total of 142 articles were selected for detailed analysis. The articles were categorised into six thematic groups: (i) empirical case studies on healthcare surge management; (ii) hospital resources and capacity scaling; (iii) ethical frameworks guiding surge response; (iv) IT-driven algorithms and forecasting tools; (v) policy evaluations and actionable lessons learned; and (vi) existing systematic reviews in related domains. Notably, several articles provided evidence-based frameworks and simulation models supporting predictive planning, while others highlighted real-world implementation of temporary care facilities and staff redeployment protocols. Conclusions: The review underscores the fragmented yet growing body of literature addressing the multidimensional nature of surge preparedness in healthcare. While algorithmic forecasting and capacity modelling are advancing, gaps remain in standardising metrics for organisational readiness and incorporating ethical considerations in surge planning. Limitations of this review include potential selection bias and the subjective categorisation of articles. Future research should aim to develop integrative frameworks that couple technical, operational, and ethical readiness for patient surge scenarios. Full article
Show Figures

Figure 1

19 pages, 265 KB  
Article
Comparing the Attitudes of Healthcare Professionals and Cancer Patients Toward the Integration and Perceived Effectiveness of Complementary and Alternative Medicine
by Ljerka Armano, Martina Trnčević, Andrea Armano, Aneta Perak and Aleksandar Racz
Healthcare 2025, 13(21), 2818; https://doi.org/10.3390/healthcare13212818 - 6 Nov 2025
Viewed by 458
Abstract
Background: Complementary and alternative medicine (CAM) is increasingly used to supplement evidence-based medicine (EBM), especially in the treatment of cancer patients. Objective: The study aimed to analyze the beliefs, attitudes, and expectations of healthcare professionals and cancer patients regarding the integration of CAM [...] Read more.
Background: Complementary and alternative medicine (CAM) is increasingly used to supplement evidence-based medicine (EBM), especially in the treatment of cancer patients. Objective: The study aimed to analyze the beliefs, attitudes, and expectations of healthcare professionals and cancer patients regarding the integration of CAM into the Western medical system, and to examine differences between these groups in their expectations for CAM effectiveness. The hypotheses were that there are no statistically significant differences in attitudes between healthcare professionals (nurses and physicians) and cancer patients regarding CAM integration into EBM and the effectiveness of CAM. Methods: The study was conducted on a stratified sample of 832 respondents: 411 cancer patients and 421 health professionals (100 physicians and 321 nurses). Validated questionnaires based on CHBQ and IMAQ instruments were used. Descriptive and inferential statistics were applied in the analysis. Results: Patients showed a significantly more positive attitude toward CAM methods than healthcare professionals. A total of 70% of respondents believed that CAM should be integrated into EBM. Most respondents supported formally noting CAM therapies in medical records and including them in medical history. Healthcare professionals, especially physicians, expressed greater concerns about the effectiveness of CAM, while patients had more positive expectations about its benefits. Conclusions: The findings suggest that healthcare professionals require better education on CAM therapies and that greater openness is necessary to integrate these methods into medical practice. Although patients have high expectations for CAM, its inclusion in the formal medical system requires further research on safety and efficacy. Full article
15 pages, 223 KB  
Article
The Invisible Burden: Structural and Emotional Barriers to Nutritional Care in Mexican Breast Cancer Patients
by Miriam Leticia Guevara-Rangel, Luis Eduardo Hernández-Ibarra, Blanca Alejandra Diaz-Medina and Darío Gaytán-Hernández
Healthcare 2025, 13(21), 2817; https://doi.org/10.3390/healthcare13212817 - 6 Nov 2025
Viewed by 456
Abstract
Background/Objectives: Breast cancer is one of the most prevalent types of cancer globally and is also the leading cause of death from malignant tumors among women. This study investigated the experiences of women with breast cancer concerning nutritional care. Methods: A qualitative study [...] Read more.
Background/Objectives: Breast cancer is one of the most prevalent types of cancer globally and is also the leading cause of death from malignant tumors among women. This study investigated the experiences of women with breast cancer concerning nutritional care. Methods: A qualitative study conducted in San Luis Potosí, Mexico. Ten semi-structured interviews were conducted with women undergoing treatment and with survivors of breast cancer. Data were analyzed using basic grounded theory procedures. Results: Our findings revealed several barriers that hinder adequate nutritional care for women with breast cancer in Mexico. Key barriers include the structure of the health system, misinformation, the implications of the disease in daily life, medical treatment of the disease, the emotional impact, and changes in their perceived identity. The experiences of individuals with any disease, particularly chronic illnesses such as cancer, affect the implementation and follow-up of nutritional therapy. Conclusions: Consideration of these experiences is essential for creating policies and strategies focused on nutritional care that complement the treatment of breast cancer sufferers. Additionally, specialized nutrition personnel should form part of the comprehensive treatment of the disease. Full article
20 pages, 1264 KB  
Article
Segmental Bioimpedance Phase Angles for Frailty Detection in Hospitalized Older Adults with Cardiovascular Disease: A Cross-Sectional Observational Study
by Noel Rivas-González, Mª José Castro, Irene Albertos, María López, Belén Martín-Gil, Elsa Rodríguez-Gabella, Mercedes Fernández-Castro and J. Alberto San Román
Healthcare 2025, 13(21), 2816; https://doi.org/10.3390/healthcare13212816 - 6 Nov 2025
Viewed by 483
Abstract
Background/Objectives: Whole-body phase angle is associated with in-hospital morbidity and mortality, although cut-off points vary. Studies on the relationship between segmental phase angles and frailty in patients with cardiovascular disease are limited. Therefore, we aimed to assess the prognostic value of segmental [...] Read more.
Background/Objectives: Whole-body phase angle is associated with in-hospital morbidity and mortality, although cut-off points vary. Studies on the relationship between segmental phase angles and frailty in patients with cardiovascular disease are limited. Therefore, we aimed to assess the prognostic value of segmental phase angles in detecting frailty in older adults hospitalized with cardiovascular disease. Methods: A cross-sectional observational study was conducted on hospitalized patients aged ≥60 years with cardiovascular disease (sample size: 117–158 subjects). Frailty was identified using Fried’s five criteria. Biomarkers, body composition, and segmental phase angles were assessed using multifrequency bioimpedance. Associations with frailty were analyzed using logistic regression and Receiver Operating Characteristic (ROC) curves. Sensitivity, specificity, and positive likelihood ratio (LR+) were calculated (95% CI; p < 0.05). Results: A total of 157 patients (men: 64.24%; women: 33.76%) were included, with a mean age of 73.23 years (SD = 7.91). The prevalence of frailty was 28.66%. In men, the phase angles of the left hemisphere (5.15°) and left leg (4.25°) demonstrated moderate-accuracy capacity (AUC: 0.66–0.71; LR+: >2). In women, the segments with significance did not exceed an LR+ of 2. Frailty was associated with lower phase angle values in all segments and biomarkers such as hemoglobin < 12 g/dL (p = 0.011) and CRP > 5 mg/L (p = 0.030). Conclusions: Segmental phase angles demonstrated moderate discriminatory capacity for identifying frailty among hospitalized older men with cardiovascular disease, though predictive capacity in women was limited. This approach may support bedside frailty screening and inform individualized management. Full article
Show Figures

Figure 1

16 pages, 731 KB  
Article
Beyond Staging: The Role of Pressure Ulcer Site and Multiplicity in Hospital Mortality and Length of Stay
by Dimitrios Zikos and Philip Eappen
Healthcare 2025, 13(21), 2815; https://doi.org/10.3390/healthcare13212815 - 5 Nov 2025
Cited by 1 | Viewed by 611
Abstract
Background/Objectives: Pressure ulcers are an important patient safety concern. While staging frameworks guide clinical management, the association between anatomical site, stage, and multiple PU presence and outcomes such as length of stay (LOS) and mortality in Medicare patients has not been fully characterized. [...] Read more.
Background/Objectives: Pressure ulcers are an important patient safety concern. While staging frameworks guide clinical management, the association between anatomical site, stage, and multiple PU presence and outcomes such as length of stay (LOS) and mortality in Medicare patients has not been fully characterized. The study objective is to examine the relationship between PU site, stage, and multiplicity and inpatient LOS and mortality among hospitalized Medicare patients. Methods: A cross-sectional study was conducted with 1,123,121 inpatient Medicare admissions from a 2019 Centers for Medicare and Medicaid Services (CMS) medical claims dataset. PUs were identified using ICD-10-CM codes classified by anatomical site and stage (1 through 4, unstageable, unspecified). Multiple regression models examined associations between PU characteristics and LOS and mortality, adjusting for age, sex, primary diagnosis, and hospital transfer. An analysis was conducted using SPSS version 29. Results: Stage 2 ulcers were the most common (28.6%), while unstageable or unspecified ulcers were frequent in the heels and head. The sacral region, buttocks, and heels were the most common anatomical sites. LOS gradually increased from Stage 1 (9.4 days) to Stage 4 (15.2 days). While the death rate did not increase consistently with stage, it was highest for upper back (14%), head (12.8%), and unspecified hip (12.8%) sites. Multiple regression was conducted to examine the association between PU locality, stage, and multiplicity and mortality (logistic regression) and LOS (linear regression). After controlling for patient demographics, admission, and clinical information, the regression results showed that the presence of multiple PUs, as well as anatomical sites of sacral, hip, head, buttock, and upper back ulcers, is associated with prolonged LOS and increased mortality. The presence of an advanced PU stage was found to be associated with prolonged LOS but not with inpatient mortality. Conclusions: The anatomical site and presence of multiple pressure ulcers were stronger predictors of prolonged hospital stay and increased mortality than ulcer stage alone. Certain ulcer sites, such as sacral, hip, head, buttock, and upper back, were independently associated with a higher risk of poor outcomes. Full article
Show Figures

Figure 1

20 pages, 1246 KB  
Systematic Review
Effects of Whey Protein Supplementation on Body Composition, Muscular Strength, and Cardiometabolic Health in Older Adults: A Systematic Review with Pairwise Meta-Analysis
by Mousa Khalafi, Saeid Fatolahi, Reihaneh Jafari, Sara K. Rosenkranz, Michael E. Symonds, Zeinab Abbaszadeh Bidgoli, Maria Luz Fernandez, Farnaz Dinizadeh and Alexios Batrakoulis
Healthcare 2025, 13(21), 2814; https://doi.org/10.3390/healthcare13212814 - 5 Nov 2025
Viewed by 1288
Abstract
Background/Objectives: Whey protein (WP) can play a role in improving muscle mass and function. However, the effects of WP supplementation on cardiometabolic health parameters such as fasting blood glucose, insulin, and homeostatic model assessment of insulin resistance (HOMA-IR), fasting triglyceride, total cholesterol, low-density [...] Read more.
Background/Objectives: Whey protein (WP) can play a role in improving muscle mass and function. However, the effects of WP supplementation on cardiometabolic health parameters such as fasting blood glucose, insulin, and homeostatic model assessment of insulin resistance (HOMA-IR), fasting triglyceride, total cholesterol, low-density lipo-protein cholesterol, and high-density lipoprotein cholesterol have not been fully elucidated in older adults and are therefore the aim of the present systematic review and pairwise meta-analysis. Methods: A comprehensive search of major databases (PubMed, Web of Science, and Scopus) was conducted up to January 2025 for English-language randomized controlled trials examining WP supplementation, either alone or in combination with resistance training in older adults. Eligible studies reported at least one of the following outcomes: body fat mass, body fat percentage, lean body mass, waist circumference, waist-to-hip ratio, muscular strength, glycemic parameters, and lipid profiles. Results: A total of 25 studies involving 1454 participants with mean ages ranging from 64 to 84 years, with body mass indexes ranging from 21 to 31 kg·m2 were included, from an initial 868 records identified through database searches. Overall, compared with controls, WP supplementation increased lower-body muscular strength [SMD: 0.16 (95% CI: 0.04 to 0.28), p = 0.007; 19 trials], but without significantly changing upper-body muscular strength, body composition, or other cardiometabolic health markers. However, WP supplementation increased fasting insulin and homeostatic model assessment of insulin resistance. Subgroup analyses showed that whey protein plus resistance training increased lean body mass, while WP alone improved lower-body strength, with no other significant effects observed. Conclusions: WP supplementation moderately increases lower-body muscle strength in older adults. However, it does not show any significant benefits for body composition or cardiometabolic health markers. Conversely, increased fasting insulin and HOMA-IR were documented. These findings emphasize the need for careful examination of the metabolic effects of WP supplementation in future longer-term trials. Full article
Show Figures

Figure 1

14 pages, 1195 KB  
Article
Co-Design and Non-Randomised Pilot Evaluation of Resources Developed to Optimise Saliva Management in People with Motor Neurone Disease
by Shana Taubert, Annette Collins, Robert Henderson, Pamela McCombe, Lily Tang, Katrina Kramer, Laurelie Wishart and Clare Burns
Healthcare 2025, 13(21), 2813; https://doi.org/10.3390/healthcare13212813 - 5 Nov 2025
Viewed by 300
Abstract
Background/Objectives: People living with MND (plwMND) commonly develop difficulty swallowing and subsequent difficulty clearing saliva from the airway. Medical saliva interventions include pharmacological agents, botulinum toxin injections, and radiation to salivary glands, with associated side effects. Non-invasive behavioural strategies and natural remedies [...] Read more.
Background/Objectives: People living with MND (plwMND) commonly develop difficulty swallowing and subsequent difficulty clearing saliva from the airway. Medical saliva interventions include pharmacological agents, botulinum toxin injections, and radiation to salivary glands, with associated side effects. Non-invasive behavioural strategies and natural remedies are also recommended. Saliva symptom management is guided by the multidisciplinary MND team (typically through a three-monthly clinic) alongside community clinicians. Some plwMND report difficulty recalling and implementing treatments between clinics. This study aimed to enhance the content and method of providing recommendations for self-management of saliva symptoms by (i) developing MND-specific resources and (ii) evaluating resource use and preliminary clinical benefit. Methods: In Phase 1 plwMND, caregivers, and clinicians co-designed saliva management resources. Phase 2 examined the use of these resources via a hospital-based MND clinic with 28 plwMND, their caregivers, and community clinicians. In the clinic, plwMND were given a written treatment plan and relevant resources. During reviews at weeks 2, 6, and 12 saliva treatment was adjusted and clinical outcomes evaluated using the Clinical Saliva Scale for MND (CSS-MND). Community clinicians, plwMND, and caregivers were surveyed regarding the resource utility. Results: People living with MND reported the resources assisted saliva symptom self-management. Community clinicians found the resources informative and beneficial in supporting patient care. All plwMND required multiple treatment strategies and adjustments to manage symptoms. Of the treatments prescribed, 91% were non-invasive and 9% were medical interventions. For 54% (n = 15) of plwMND, improved CSS-MND scores were sustained over the three-month evaluation. Conclusions: Co-designed saliva resources and regular reviews assisted plwMND to implement their individualised saliva treatment, to self-manage saliva symptoms between clinics. Full article
(This article belongs to the Special Issue Improving Care for People Living with ALS/MND)
Show Figures

Figure 1

17 pages, 1958 KB  
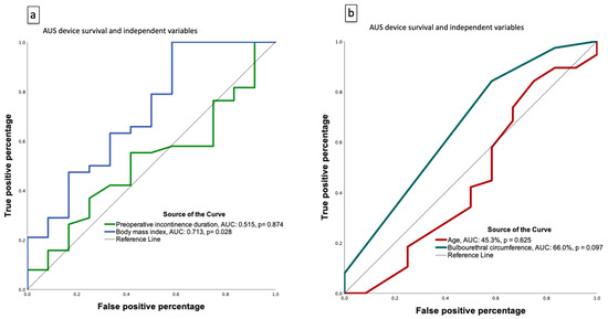
Article
Long-Term Outcomes and Predictors of Artificial Urinary Sphincter Survival After Prostate Cancer Treatment: A Multicenter Cohort Study
by Cheng-Feng Lin, Hung-Yi Chen, Chun-Te Wu, Kuan-Lin Liu, Cheng-Chia Lin, Heng-Jung Hsu, Chin-Chan Lee and Chun-Yu Chen
Healthcare 2025, 13(21), 2812; https://doi.org/10.3390/healthcare13212812 - 5 Nov 2025
Viewed by 516
Abstract
Background: Artificial urinary sphincter (AUS) implantation is the gold standard for managing persistent stress urinary incontinence after prostate cancer treatment. However, data on long-term outcomes and risk factors in Asian populations remain limited. Methods: We conducted a multi-institutional retrospective cohort study using the [...] Read more.
Background: Artificial urinary sphincter (AUS) implantation is the gold standard for managing persistent stress urinary incontinence after prostate cancer treatment. However, data on long-term outcomes and risk factors in Asian populations remain limited. Methods: We conducted a multi-institutional retrospective cohort study using the Chang Gung Research Database, the largest healthcare system in Taiwan, to evaluate clinical outcomes and predictors of device survival in men receiving AUS (AMS 800) implantation for incontinence after prostate cancer treatment. Baseline characteristics, perioperative factors, and comorbidities were analyzed. Device failure was defined as explantation, revision, or persistent incontinence. Logistic regression and Cox proportional hazards models were used to identify significant predictors. A nomogram for 5-year device survival was developed and internally validated. Results: A total of 50 patients were included from seven branch hospitals, with a median follow-up of 126.5 months. 5-year and 10-year device survival rates were 94% and 40%, respectively. On multivariable analysis, diabetes was consistently associated with an increased risk of device failure (HR 2.966, 95% CI 1.114–7.900). Lower BMI showed an inverse association in logistic regression (OR 0.608, 95% CI 0.397–0.932), but this did not remain significant in Cox analysis. Prior radiotherapy was not a significant risk factor (HR 0.760, 95% CI 0.264—2.190; OR 0.709, 95% CI 0.074—6.828). The nomogram demonstrated good predictive accuracy for 5-year device survival. Conclusions: AUS implantation demonstrates excellent long-term durability in Taiwanese men with incontinence after prostate cancer treatment. Diabetes consistently predicted device failure, while the role of BMI was less certain. These findings provide valuable long-term evidence on AUS outcomes in an Asian population. Full article
(This article belongs to the Section Clinical Care)
Show Figures

Figure 1

22 pages, 2693 KB  
Review
Federated Learning for Cardiovascular Disease Prediction: A Comparative Review of Biosignal- and EHR-Based Approaches
by Hagyeong Ryu, Myungeun Lee, Soo-hyung Kim, Ju Han Kim and Hyung-jeong Yang
Healthcare 2025, 13(21), 2811; https://doi.org/10.3390/healthcare13212811 - 5 Nov 2025
Viewed by 859
Abstract
Federated Learning (FL) has emerged as a promising framework for multi-institutional medical artificial intelligence, enabling collaborative model development while preserving data privacy and security. Despite increasing research on federated approaches for cardiovascular disease prediction, previous reviews have largely focused on disease-specific perspectives without [...] Read more.
Federated Learning (FL) has emerged as a promising framework for multi-institutional medical artificial intelligence, enabling collaborative model development while preserving data privacy and security. Despite increasing research on federated approaches for cardiovascular disease prediction, previous reviews have largely focused on disease-specific perspectives without systematically comparing data modalities. This study comprehensively examines 28 representative investigations from the past five years, including 17 biosignal-based and 11 electronic health record (EHR)-based applications. Biosignal-based FL emphasizes personalized electrocardiogram (ECG) classification, mitigation of non-independent and identically distributed (Non-IID) data, and Internet of Things (IoT)-based monitoring using methods such as client clustering, asynchronous learning, and Bayesian inference. In contrast, EHR-based studies prioritize large-scale hospital collaboration, adaptive optimization, and secure aggregation through distributed frameworks. By systematically comparing methodological strategies, performance trade-offs, and clinical feasibility, this review highlights the complementary strengths of biosignal- and EHR-based approaches. Biosignal frameworks show strong potential for personalized, low-latency cardiac monitoring, whereas EHR frameworks excel in scalable and privacy-preserving decision support. Building upon the limitations of earlier reviews, this paper introduces data-type-centric design guidelines to enhance the reliability, interpretability, and clinical scalability of FL in cardiovascular diagnosis and prediction. Full article
Show Figures

Figure 1

18 pages, 1093 KB  
Review
Leadership and Faculty Burnout in Allied Healthcare Education: A Scoping Review
by Jithin K. Sreedharan and Abdullah Saeed Alqahtani
Healthcare 2025, 13(21), 2810; https://doi.org/10.3390/healthcare13212810 - 5 Nov 2025
Viewed by 373
Abstract
Background: Faculty burnout in allied healthcare education institutions represents a significant challenge with implications for educational quality, organizational effectiveness, and healthcare workforce development. This scoping review aims to map the existing literature on the relationships between leadership approaches, faculty personality factors, and burnout [...] Read more.
Background: Faculty burnout in allied healthcare education institutions represents a significant challenge with implications for educational quality, organizational effectiveness, and healthcare workforce development. This scoping review aims to map the existing literature on the relationships between leadership approaches, faculty personality factors, and burnout within allied healthcare education, while examining digital competence as a potential moderating factor. Methods: This scoping review followed the PRISMA-ScR guidelines. Five electronic databases (MEDLINE, CINAHL, ERIC, PsycINFO, and Web of Science) were searched for relevant studies published between 2010 and 2024. Studies examining burnout among allied healthcare educators in relation to leadership, personality traits, or digital competence were included. Data extraction captured study characteristics, methodological approaches, key findings, and theoretical frameworks. Quality assessment was conducted using the Mixed Methods Appraisal Tool. Results: Sixteen studies met the inclusion criteria. Existing research indicates significant relationships between leadership styles and faculty burnout rates, with transformational leadership consistently associated with lower burnout scores. The literature reveals that individual personality traits demonstrate significant relationships with burnout vulnerability, with emotional stability and extraversion showing the strongest protective effects. Limited research has examined digital competence in relation to burnout, though emerging evidence suggests it may function as a moderating factor. Significant gaps exist in non-Western contexts and in understanding interaction effects between leadership, personality, and digital competence. Conclusions: The current literature supports the importance of leadership approaches that emphasize collaboration, faculty autonomy, recognition, and professional development opportunities in protecting against burnout in allied healthcare education settings. Digital competence represents a promising but understudied job resource that may mitigate burnout effects. Future research should explore cross-cultural variations, interaction effects between personal and organizational factors, and the effectiveness of interventions in reducing faculty burnout. Full article
Show Figures

Figure 1

14 pages, 553 KB  
Article
The Relationship Between Attitude Toward Pain and the Effects of Foam Rolling on Biomechanical Parameters of Soft Tissues Measured with the MyotonPRO Device
by Przemysław Dębski, Grzegorz Szlachta, Maciej Biały, Ewelina Białas and Kamil Kublin
Healthcare 2025, 13(21), 2809; https://doi.org/10.3390/healthcare13212809 - 5 Nov 2025
Viewed by 334
Abstract
Background: Foam Rolling (FR) involves applying intense pressure to soft tissues, which can cause discomfort or pain due to the mechanical stimulation. This study aims to explore the relationship between individuals’ attitudes toward pain and the changes in the biomechanical properties of myofascial [...] Read more.
Background: Foam Rolling (FR) involves applying intense pressure to soft tissues, which can cause discomfort or pain due to the mechanical stimulation. This study aims to explore the relationship between individuals’ attitudes toward pain and the changes in the biomechanical properties of myofascial tissues induced by FR, as measured using myotonometry. Understanding this relationship may be valuable for optimizing recovery and performance in both recreational and athletic settings. Methods: Thirty-two healthy men (mean age: 24.3 ± 4.56 years) were randomly assigned to one of two groups: ROL30 (30 s of FR) and ROL120 (120 s of FR). The MyotonPRO device was used to evaluate changes in biomechanical parameters: stiffness, frequency, logarithmic decrement, relaxation time, and creep, before and after FR. Measurements were taken from the gastrocnemius, biceps femoris, erector spinae, and longissimus colli muscles. Data were analyzed for each muscle and as a combined sum across both sides of the body. Psychological factors were assessed using the Pain Catastrophizing Scale (PCS) and the Survey of Pain Attitudes (SOPA), analyzing both total and subscale scores. Correlations between PCS/SOPA scores and changes in myotonometric parameters were calculated using Spearman’s rank correlation coefficient. Results: In the ROL30 group, 11 significant correlations were found between myotonometric changes and PCS/SOPA scores (r ranging from −0.55 to −0.76 and from 0.54 to 0.77), with the most prominent correlation observed between the sum of decrement and PCS total score (r = −0.55). In the ROL120 group, 3 significant correlations were identified (r ranging from −0.60 to −0.62), including a notable one between the sum of decrement and PCS helplessness (r = −0.60). Conclusions: Attitudes toward pain appear to show associations with certain outcomes of foam rolling. These findings suggest that individual pain perceptions may be related to the applied force during FR and, consequently, the treatment’s effectiveness. Assessing pain-related attitudes beforehand could help personalize FR interventions, particularly in athletes and active individuals, where pain is a routine aspect of training. Identifying negative pain attitudes may also improve pain management and enhance FR effectiveness, though further research is needed. Future studies should include larger sample sizes and validated scales to better understand the role of pain attitudes and their potential causal influence on FR outcomes. Full article
Show Figures

Figure 1

13 pages, 1973 KB  
Article
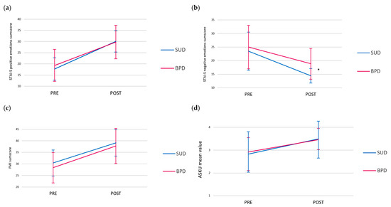
“The Sheep Did It Again”: Replication of Animal-Assisted Treatment in Psychiatric Inpatients with Substance Use Disorder and Borderline Personality Disorder in a Randomized Controlled Trial
by Petra Schmid, Carmen Nauss, Claudia Jauch-Ederer, Petra Prinz, Anna Lena Kordeuter, Stefan Tschöke and Carmen Uhlmann
Healthcare 2025, 13(21), 2808; https://doi.org/10.3390/healthcare13212808 - 5 Nov 2025
Viewed by 366
Abstract
Background: In an initial pilot study, we investigated an animal-assisted treatment (AAT) procedure with sheep as an adjunct to treatment as usual (TAU+AAT) in psychiatric inpatients with substance use disorder (SUD). Over time, this TAU+AAT intervention significantly reduced negative emotions and improved positive [...] Read more.
Background: In an initial pilot study, we investigated an animal-assisted treatment (AAT) procedure with sheep as an adjunct to treatment as usual (TAU+AAT) in psychiatric inpatients with substance use disorder (SUD). Over time, this TAU+AAT intervention significantly reduced negative emotions and improved positive emotions, mindfulness, and self-efficacy expectancy compared to TAU. In the current study, we aimed to replicate these results and extend the investigation to another group of inpatients with difficulties in emotion regulation, namely borderline personality disorder (BPD). Methods: A single-session AAT procedure with sheep in a group setting as an adjunct to treatment as usual (TAU+AAT) was examined in an RCT compared to TAU. A total of 29 psychiatric inpatients with SUD and 31 with BPD were examined (PRE vs. POST) using questionnaires on variables that included positive and negative emotions, mindfulness, and self-efficacy expectations. Results: In the SUD sample, significant effects between PRE and POST, with large effect sizes in all four outcomes, emerged for the TAU+AAT group, in contrast to TAU. In the BPD sample, similar time (PRE vs. POST) and group (TAU+AAT vs. TAU) effects were achieved for all outcomes. Conclusions: Repeatedly, this TAU+AAT intervention, which involved a single session with sheep, improved in all outcomes. Sheep seem to be suitable for AAT with a focus on mindfulness. Full article
Show Figures

Figure 1

15 pages, 261 KB  
Article
Hurdles of Accessing HIV Treatment Among Homeless People Who Use Nyaope in Mogale City, Gauteng Province: An Exploratory Qualitative Study
by Betty Popi Ndlovu, Kebogile Elizabeth Mokwena and Mohora Feida Malebatja
Healthcare 2025, 13(21), 2807; https://doi.org/10.3390/healthcare13212807 - 5 Nov 2025
Viewed by 569
Abstract
Background/Objectives: The growing intersection between nyaope use and HIV infection constitutes a critical public health problem that undermines efforts to achieve universal access to HIV treatment in South Africa. Nyaope use is strongly associated with the increased risk of HIV of transmission. [...] Read more.
Background/Objectives: The growing intersection between nyaope use and HIV infection constitutes a critical public health problem that undermines efforts to achieve universal access to HIV treatment in South Africa. Nyaope use is strongly associated with the increased risk of HIV of transmission. A significant amount of new HIV infections was linked to substance use through sharing of injectable needles. Despite significant progress made to increase public awareness and increase accessibility to HIV services, little is known about how addiction, stigma, and discrimination influence access to HIV treatment among homeless individuals who nyaope. This study explored the hurdles of accessing HIV treatment among people who use nyaope and are homeless in Mogale City, Gauteng Province. Methods: An exploratory descriptive qualitative research approach was employed among people who are homeless, living with HIV and using nyaope (PHHIVN) in Mogale City, between May and August 2024. Data were collected utilizing in- depth interviews in English, isiZulu and Setswana languages. Purposive sampling technique was followed to select participants, and a sample size of 25 participants was reached with a mean age of 32.28 and SD = ±5.54 years, of whom 21 (84%) were male, 3 (12%) were female and 1 (4%) identified as other. Audio recordings were transcribed, translated, and analyzed following inductive thematic analysis. Results: Social exclusion and fractured support system, prioritization of drug use, nyaope dependency, withdrawal symptoms, negative peer influence, socioeconomic factors and misconception about the interaction between nyaope and HIV treatment were reported as some of the main hurdles of accessing HIV treatment among PHHIVN in Mogale City, Gauteng Province. Conclusions: It is therefore concluded that access to HIV treatment among PHHIVN in Mogale City, Gauteng Province, remains a serious public health concern influenced by various hurdles. The development of tailored interventions to improve access and adherence to HIV treatment among this population group has potential to enhance the uptake of HIV treatment. Full article
(This article belongs to the Section Chronic Care)
18 pages, 745 KB  
Article
Emergency Medical Service Responses for Older Adults: A Retrospective Observational Study Comparing Nursing Homes and the Community
by Christine Gaik, Hinnerk Wulf, Valesco Mann, Dennis Humburg and Benjamin Vojnar
Healthcare 2025, 13(21), 2806; https://doi.org/10.3390/healthcare13212806 - 5 Nov 2025
Viewed by 452
Abstract
Background: Older adults (≥65 years) account for a substantial share of Emergency Medical Service (EMS) activations, yet differences between nursing homes (NHs) and the community are insufficiently defined. This study aimed to compare EMS responses for older adults inside and outside NHs. [...] Read more.
Background: Older adults (≥65 years) account for a substantial share of Emergency Medical Service (EMS) activations, yet differences between nursing homes (NHs) and the community are insufficiently defined. This study aimed to compare EMS responses for older adults inside and outside NHs. Methods: We conducted a retrospective observational study of all EMS activations involving patients ≥65 years in a rural German region from July 2020 to March 2025, based on fully anonymized prehospital patient care reports electronically documented on tablets. Prehospital patient care was assessed using the ABCDE approach, with additional analysis of feedback codes transmitted to the control center (response and on-scene times, physician dispatch, lights and sirens use, feedback codes, hospital destination, and admission urgency). Continuous variables were summarized as mean (SD) or median [IQR], categorical variables as n (%), and group comparisons performed using the Chi-Square test or Fisher’s exact test (categorical) and the t test or Mann–Whitney U test (continuous), as appropriate. Results: Among 46,598 EMS activations in adults aged ≥65 years, 28,749 EMS responses were included in the analysis after excluding non-emergency transports and duplicate physician records. Of these, 20% occurred in NHs (5707/28,749) and 80% in the community (23,042/28,749). Median age was 85 years (IQR 80–89) in NH patients and 80 years (IQR 73–86) in community patients (p < 0.001). Females accounted for 60% (3450/5705) of NH patients and 53% (12,223/23,036) of community patients (p < 0.001). Emergency physicians were dispatched in 7% of NH incidents (392/5707) and 10% of community incidents (2327/23,042; p < 0.001). In NHs, bronchitis/pneumonia was a leading feedback code (6%, 354/5707), whereas in community patients, acute coronary syndrome (ACS) was prominent (5%, 1249/23,042). Admission urgency categories also differed significantly, with NH residents classified as category 3 (outpatient evaluation) in 11% (621/5706) and category 0 (no admission) in 5% (280/5706), whereas community patients were more often classified as category 1 (immediate intervention) in 13% (2886/23,037) (all p < 0.001). Conclusions: NH residents were older, more often female, and presented with low-to-moderate acuity. Frequent diagnoses were closed extremity injuries and bronchitis/pneumonia. In contrast, ACS and other cardiovascular emergencies were more common in the community, particularly among men, consistent with international evidence on sex-specific incidence. NH residents were more often classified as non-urgent or outpatient and transported to nearby hospitals, whereas community patients more frequently required immediate intervention and referral to tertiary centers. In summary, EMS responses for older adults differed in clinical presentations, operational patterns, and hospital pathways. Full article
Show Figures

Figure 1

15 pages, 908 KB  
Article
Evaluating the Impact of the Health Navigator Model on Housing Status Among People Experiencing Homelessness in Four European Countries
by Juan Esteban Guzman-Benitez, Tobias Fragner, Tamara Alhambra-Borrás, Ascensión Doñate-Martínez, Vicent Blanes-Selva, Juan M. García-Gómez, Simona Barbu, Julia Gawronska, Maria Moudatsou, Ioanna Tabaki, Katerina Belogianni, Pania Karnaki, Miguel Rico Varadé, Rosa Gómez-Trenado, Jaime Barrio-Cortes, Lee Smith, Alejandro Gil-Salmerón and Igor Grabovac
Healthcare 2025, 13(21), 2805; https://doi.org/10.3390/healthcare13212805 - 4 Nov 2025
Viewed by 707
Abstract
Background: People experiencing homelessness (PEH) face significant health disparities and systemic barriers to healthcare, elevating their risk for cancer and other chronic diseases. To tackle PEHs’ challenges in accessing cancer preventive care, the CANCERLESS project implemented the Health Navigator Model (HNM)—a person-centered intervention [...] Read more.
Background: People experiencing homelessness (PEH) face significant health disparities and systemic barriers to healthcare, elevating their risk for cancer and other chronic diseases. To tackle PEHs’ challenges in accessing cancer preventive care, the CANCERLESS project implemented the Health Navigator Model (HNM)—a person-centered intervention that utilizes trained Health Navigators to provide tailored support and facilitate service access. Recognizing housing as a key determinant of health, this analysis assessed changes in housing status associated with participation in the HNM among CANCERLESS participants in Austria, Greece, Spain, and the UK. Methods: This was a secondary analysis of cross-national data collected during a single-arm interventional study. Of 652 enrolled PEH, 277 (42.5%) completed the HNM intervention follow-up and were included in the analysis. Changes in housing status from baseline to follow-up were categorized using the European Typology of Homelessness and Housing Exclusion (ETHOS) and treated as an ordered outcome. Descriptive statistics were complemented by a cumulative link mixed model with a participant random intercept to estimate the association between time (follow-up vs. baseline) and housing transitions among completers, adjusting for age, residence/legal status, and daily smoking. Results: Participants had a mean age of 47.4 (SD 13.8), primarily identified as male (64.1%), reported upper secondary education (33.9%), and were from Western European countries (39.7%), with varying housing situations. Among intervention completers, time (follow-up vs. baseline) was associated with higher odds of being in a higher ETHOS category (OR = 1.49, 95% CI = 1.02–2.20, p = 0.042), consistent with a modest improvement in housing status. Larger estimates were observed among migrants without legal documents (OR = 24.13, 95% CI = 6.41–90.89, p < 0.001), while daily smoking was associated with lower odds (OR = 0.33, 95% CI = 0.11–0.96, p = 0.041); other residence status categories were not statistically significant. Conclusions: Suggesting that tailored, navigation-based models, such as the HNM, may be linked to improved housing stability for PEH, these findings can inform piloting and context-aligned integration of the HNM within public health strategies as an alternative approach to address the complex, interconnected health and social needs of PEH. However, the lack of a comparison group and high attrition limit the results’ conclusiveness, and future evaluations should aim to include assessments of housing-associated contextual factors. Full article
(This article belongs to the Section Public Health and Preventive Medicine)
Show Figures

Figure 1

14 pages, 525 KB  
Article
Crossing Cultures, Gaining Weight? A Multidimensional Analysis of Health Behaviors in Chinese Students Overseas
by Xiao-Lin Wen, In-Whi Hwang, Jun-Hao Shen, Ho-Jun Kim, Kyu-Ri Hong and Jung-Min Lee
Healthcare 2025, 13(21), 2804; https://doi.org/10.3390/healthcare13212804 - 4 Nov 2025
Viewed by 412
Abstract
Background/Objectives: This study investigates the multifactorial determinants of weight change among Chinese international students in South Korea, focusing on physical activity (PA), sedentary behavior (SB), sleep quality, and psychological stress. Methods: Data were collected from 445 Chinese international students (male = [...] Read more.
Background/Objectives: This study investigates the multifactorial determinants of weight change among Chinese international students in South Korea, focusing on physical activity (PA), sedentary behavior (SB), sleep quality, and psychological stress. Methods: Data were collected from 445 Chinese international students (male = 224, 50.3%) using self-administered questionnaires and follow-up interviews. Participants were categorized into weight gain and weight loss groups based on changes in body weight and BMI. Multinomial logistic regression was used to examine the relationships between lifestyle factors and weight change. Results: The reference group consisted of males and females in the weight loss group. Weight gain was more likely in males experiencing frequent depression (OR = 1.84, p < 0.001), while frequent stress decreased the likelihood of weight gain (OR = 0.24, p < 0.01). Males with weight gain were more likely to experience frequent fatigue (OR = 1.24, p < 0.05) and engage in optimal moderate PA (OR = 1.98, p < 0.05). In females, weight gain was less likely with frequent fatigue and high-intensity PA (OR = 0.25, p < 0.05). Conversely, weight gain was more likely in females with optimal moderate PA and reduced sleep duration (OR = 1.68, p < 0.05; OR = 2.28, p < 0.01). Conclusions: This study identifies gender-specific effects of mental health, PA, SB, and sleep patterns on weight changes among Chinese international students. These findings highlight the need for targeted health strategies addressing mental health, PA, and sleep to support weight management, particularly in international student populations. Full article
Show Figures

Figure 1

13 pages, 247 KB  
Article
Determinants of Standard Precautions Performance Among Nursing Students in South Korea: A Cross-Sectional Study
by Se Gyeong Jeon and Eun Jung Kim
Healthcare 2025, 13(21), 2803; https://doi.org/10.3390/healthcare13212803 - 4 Nov 2025
Viewed by 822
Abstract
Background: The COVID-19 pandemic highlighted the necessity of standard precautions to prevent healthcare-associated infections. Nursing students, due to limited experience and close patient contact, are at high risk of exposure. This study examined the effects of nursing professionalism, knowledge of standard precautions, [...] Read more.
Background: The COVID-19 pandemic highlighted the necessity of standard precautions to prevent healthcare-associated infections. Nursing students, due to limited experience and close patient contact, are at high risk of exposure. This study examined the effects of nursing professionalism, knowledge of standard precautions, and moral courage on nursing students’ performance of standard precautions in South Korea. Methods: A cross-sectional survey was conducted with 204 nursing students from 10 universities in Gwangju, South Korea. Validated instruments measured professionalism, knowledge, moral courage, and performance. Data were analyzed using t-tests, ANOVA, correlations, and regression. Results: Standard precautions performance averaged 4.62/5. It was positively correlated with professionalism (r = 0.306), knowledge (r = 0.190), and moral courage (r = 0.399). Regression identified moral courage (β = 0.38, p < 0.001) and academic performance (β = 0.18, p = 0.007) as significant predictors, explaining 18.1% of variance. Conclusions: Moral courage and academic performance significantly influence nursing students’ adherence to standard precautions. Strengthening ethical competence and professional identity in education may enhance safe clinical practice. Full article
21 pages, 301 KB  
Article
Transforming the Indian Private Sector for Universal Health Coverage
by Nachiket Mor
Healthcare 2025, 13(21), 2802; https://doi.org/10.3390/healthcare13212802 - 4 Nov 2025
Viewed by 591
Abstract
Background/Objectives: India’s private healthcare sector remains fragmented, with weak primary care, uneven secondary services, and tertiary care accessible to few. Fee-for-service payments and indemnity-style insurance distort prices and fragment accountability. This paper develops a conceptual, theory-driven framework for integrating financing and delivery so [...] Read more.
Background/Objectives: India’s private healthcare sector remains fragmented, with weak primary care, uneven secondary services, and tertiary care accessible to few. Fee-for-service payments and indemnity-style insurance distort prices and fragment accountability. This paper develops a conceptual, theory-driven framework for integrating financing and delivery so that prices reflect social opportunity costs and competition rewards value rather than volume. Methods: A comparative synthesis of international integration models covering Israel, the United States, Spain, Brazil, and the United Kingdom was undertaken. Each exemplar was analysed for ownership form, market maturity, and regulatory capacity, and interpreted using four strategic management theories: Contingency theory, the Resource-based view, Dynamic capabilities, and Institutional theory. These perspectives were combined to construct a contingency-based typology tailored to India’s mixed health system. Results: Two state-contingent integration pathways emerged. Hospital-first vertical integration suits hospital-dense, high-growth states such as Tamil Nadu and Delhi, where capital and regulatory depth permit managed-care scaling. Primary-care-first reverse integration is preferable in resource-constrained contexts such as Bihar and Chhattisgarh, leveraging community trust and lower capital intensity. Conclusions: Achieving universal health coverage in India requires regulatory conditions, such as ownership flexibility, solvency oversight, risk adjustment, and transparent outcomes reporting, to enable accountable payer–provider organisations to form. The framework extends contingency theory to mixed health systems and offers a transferable blueprint for emerging markets seeking sustainable, integrated managed care. Full article
(This article belongs to the Section Healthcare Organizations, Systems, and Providers)
16 pages, 582 KB  
Article
Public Recognition of Emergencies and Appropriate Ambulance Use in Riyadh: A Cross-Sectional Survey
by Meshary S. Binhotan, Ghadah Alhammad, Abdullah N. Alshibani, Abdulrhman S. Alghamdi, Abdullah A. Alabdali, Ahmed M. Alotaibi and Meshal E. Alharbi
Healthcare 2025, 13(21), 2801; https://doi.org/10.3390/healthcare13212801 - 4 Nov 2025
Viewed by 466
Abstract
Background/Objectives: The demand for Emergency Medical Services (EMS) has increased over the past few years, increasing the EMS burden. Public utilization of EMS for non-emergency cases is a major global issue contributing to this burden. This study explores the public’s ability to [...] Read more.
Background/Objectives: The demand for Emergency Medical Services (EMS) has increased over the past few years, increasing the EMS burden. Public utilization of EMS for non-emergency cases is a major global issue contributing to this burden. This study explores the public’s ability to accurately recognize emergency situations and appropriately request ambulance services. Methods: This cross-sectional study utilized a survey to explore public awareness among residents of Riyadh, Saudi Arabia. The survey was developed from the relevant literature and panel discussions, followed by validation through a pilot study. Recruitment was conducted in different publicly accessible places to capture the diverse demographics of the residents. The sample size was statistically calculated using the Raosoft sample size calculator to identify significant differences. Results: This study included 522 respondents, predominantly females (79%) aged 18–34 (42%) and 35–54 (41%) years. Both males and females correctly identified around two-thirds of the total emergency cases, with means of 6.49 (SD = 1.27) and 6.55 (SD = 1.32), respectively. Appropriate ambulance requests were made in less than one-third of the emergencies by both males and females, with means of 2.29 (SD = 1.29) and 2.38 (SD = 1.32), respectively. Stroke and older adults with hip pain were the most accurately recognized emergency cases at 92.5% and 90%, respectively, while mild chest pain and child head hematoma were the least accurately recognized at 36.6% and 38.5%. Women in labor and objects in the ear canal were the most misidentified as emergencies at 97.3% and 87.7%, respectively. Conclusions: This study highlights the prevalence of unrecognized emergency situations and the underutilization of EMS for real emergency cases. The findings recommend the need for national training programs and provide valuable insights for EMS dispatcher training programs regarding public perceptions of emergency and non-emergency situations. While the findings provide insights into targeted preventive measures to alleviate the EMS burden, they also demonstrate the critical role of public awareness in enhancing public health safety concerning emergency situations. Full article
Show Figures

Figure 1

21 pages, 868 KB  
Systematic Review
Ethical Dilemmas and Legal Responsibilities in Patient Care: An Analysis of Hospital Safety
by Andrada-Georgiana Nacu, Dan-Alexandru Constantin and Liliana Marcela Rogozea
Healthcare 2025, 13(21), 2800; https://doi.org/10.3390/healthcare13212800 - 4 Nov 2025
Viewed by 1118
Abstract
Background/Objectives: This systematic review explores the evolving landscape of ethical dilemmas and legal responsibilities in hospital-based patient care, with particular attention to how they intersect with institutional safety. Drawing from 40 studies published within the last decade and supplemented by seminal theoretical works, [...] Read more.
Background/Objectives: This systematic review explores the evolving landscape of ethical dilemmas and legal responsibilities in hospital-based patient care, with particular attention to how they intersect with institutional safety. Drawing from 40 studies published within the last decade and supplemented by seminal theoretical works, the review examines clinical, technological, legal, and policy-driven challenges that compromise ethical clarity and organisational accountability. Methods: Methods included a structured literature search across major academic databases, guided by inclusion and exclusion criteria aligned with PRISMA guidelines and a quality appraisal ensuring inclusion of only medium- and high-quality studies. Results: Findings reveal that ethical complexity has shifted from individual decision-making to system-level vulnerabilities, particularly in contexts involving artificial intelligence (AI), data governance, consent procedures, and end-of-life care. Moreover, hospitals often lack sufficient protocols for disclosure, cross-border telemedicine accountability, and ethically responsive infrastructure. The results support a growing call for ethics-by-design approaches, where ethical reflexivity is embedded into institutional processes and digital systems. Conclusions: Overall, ethical resilience in hospital care depends not only on clinical training but on proactive organisational structures that support transparency, equity, and patient dignity. Full article
(This article belongs to the Section Healthcare Quality, Patient Safety, and Self-care Management)
Show Figures

Figure 1

14 pages, 277 KB  
Article
Correlates of Dietary Changes During COVID-19 in Immunosuppressed Individuals and Their Relatives: Alignment with Nutritional Recommendations
by Manila Sophasath, Audrey Plante, Chantal Bémeur, Crystèle Hogue, Mélanie Dieudé, Christopher Fernandez-Prada, Sylvain Bédard, Hélène Tessier and Isabelle Doré
Healthcare 2025, 13(21), 2799; https://doi.org/10.3390/healthcare13212799 - 4 Nov 2025
Viewed by 355
Abstract
Background/Objectives: The sanitary measures implemented during the COVID-19 pandemic, although essential for limiting the virus propagation, hindered healthy behaviours and negatively affected mental health and quality of life. In immunosuppressed individuals at higher risk of COVID-19 complications, these measures may have influenced adherence [...] Read more.
Background/Objectives: The sanitary measures implemented during the COVID-19 pandemic, although essential for limiting the virus propagation, hindered healthy behaviours and negatively affected mental health and quality of life. In immunosuppressed individuals at higher risk of COVID-19 complications, these measures may have influenced adherence to Canada’s Food Guide 2019 (CFG-2019). This study aims to describe whether changes in eating behaviours and food consumption during the COVID-19 pandemic were aligned with CFG-2019 and identify correlates of changes in immunosuppressed individuals and their relatives. Methods: A total of 210 participants completed an online questionnaire between May and September 2021. Changes in eating behaviours and food consumption were categorized as no change, change aligned with CFG-2019, or change not aligned. Multinomial logistic regressions examined the association between sociodemographic, lifestyle, clinical, and psychosocial characteristics and changes in eating behaviours and food consumption. Results: Participants reporting no change in eating behaviours, change aligned, and change not aligned with CFG-2019 were nearly equivalent (29.4%, 33.8%, and 36.8%, respectively). For food consumption, the proportions were 17.0%, 41.2%, and 41.8%, respectively. Reduced physical activity and elevated anxiety and depressive symptoms were associated with a change in eating behaviours not aligned with CFG-2019. Perceived weight gain and decreased body image satisfaction were associated with a non-aligned change in food consumption. Conclusions: Dietary changes, aligned or not with CFG-2019, were observed among immunosuppressed individuals and their relatives during the COVID-19 pandemic. Identifying factors associated with these changes can inform future studies to support healthy eating among vulnerable individuals amidst stressful events such as the COVID-19 pandemic. Full article
14 pages, 744 KB  
Article
Computer Vision Syndrome Among Saudi University Students: A Cross-Sectional Analysis of Risks and Discipline Variations
by Osama Albasheer, Mohammad A. Jareebi, Raghad M. Alnami, Asma M. Soweedi, Saja S. Alqahtani, Amal M. Ageeli, Fai Y. Arif, Aghadir H. Judayba, Alanood M. Hakami, Dhiyaa A. H. Otayf, Saja A. Almraysi, Ahmed Y. Najmi, Ahmad Y. Alqassim, Majed A. Ryani and Ahmed A. Bahri
Healthcare 2025, 13(21), 2798; https://doi.org/10.3390/healthcare13212798 - 4 Nov 2025
Viewed by 722
Abstract
Background and Objectives: Computer Vision Syndrome (CVS) has become a major health problem among university students as a result of extensive electronic device use, but there is limited in-depth risk factor analysis by academic disciplines. The purpose of this study was to determine [...] Read more.
Background and Objectives: Computer Vision Syndrome (CVS) has become a major health problem among university students as a result of extensive electronic device use, but there is limited in-depth risk factor analysis by academic disciplines. The purpose of this study was to determine CVS prevalence, identify risk-associated factors, and investigate discipline-specific differences among university students. Methods: A cross-sectional study was conducted at Jazan University among 427 students of six academic disciplines between 2023 and 2024. Questionnaires validated by collecting demographics, electronic device usage patterns, eye care practices, and CVS symptoms were used to assess the data. Statistical analyses involved chi-square tests and multivariable logistic regression with significance at p < 0.05. Results: Prevalence of CVS was at epidemic proportions at 89.7% (95% CI: 86.8–92.6%), which was much higher than global averages. Considerable inter-disciplinary heterogeneity occurred, from 95.3% in Computer Science to 75.4% in Arts and Humanities students. A strong dose–response gradient was found for duration of device use: 3–4 h (OR = 4.13, 95% CI: 1.13–5.57), 5–6 h (OR = 5.31, 95% CI: 1.46–9.86), and ≥7 h per day (OR = 6.25, 95% CI: 1.74–8.01) versus 1–2 h use. Students >24 years old demonstrated a very high risk (OR = 9.73, 95% CI: 1.53–19.65). Headaches were the most common symptom (68.0%), and adoption of protective measures was low. Conclusions: This work demonstrates epidemic-level prevalence of CVS with unequivocal dose–response relationships and discipline-specific risk patterns, offering evidence-based targets for immediate campus-wide interventions and identifying a vital post-pandemic public health challenge meriting immediate attention. Full article
Show Figures

Figure 1

18 pages, 1215 KB  
Article
Patients and Communities Shape Regional Health Research Priorities: A Participatory Study from South Tyrol, Italy
by Christian J. Wiedermann, Verena Barbieri, Angelika Mahlknecht, Carla Felderer, Giuliano Piccoliori, Doris Hager von Strobele-Prainsack and Adolf Engl
Healthcare 2025, 13(21), 2797; https://doi.org/10.3390/healthcare13212797 - 4 Nov 2025
Viewed by 417
Abstract
Background/Objectives: Engaging patients, caregivers, and community groups in health research priority-setting ensures that research agendas reflect genuine needs and enhance patient-centered care. Regions with cultural and linguistic diversity, such as South Tyrol in northern Italy, face challenges in achieving fair representation. This [...] Read more.
Background/Objectives: Engaging patients, caregivers, and community groups in health research priority-setting ensures that research agendas reflect genuine needs and enhance patient-centered care. Regions with cultural and linguistic diversity, such as South Tyrol in northern Italy, face challenges in achieving fair representation. This study aimed to identify health services research priorities in South Tyrol, a culturally and linguistically diverse region in Italy, through a bilingual participatory survey involving general practitioners (GPs) and patient and social interest organizations (PSIOs). Methods: A cross-sectional online survey (August–September 2025) was conducted among invited PSIOs (n = 64) and regional GPs (n = 290). A bilingual, self-developed questionnaire assessed organizational characteristics, priority ratings for predefined topics, experiences with research participation, and preferred participation modes. The data were analyzed descriptively. Group comparisons were performed using the Mann–Whitney U and chi-square tests with effect size calculation. Associations were examined using Spearman’s correlation. Free-text responses were thematically content-coded. Results: Ninety-five responses were analyzed, including nine general practitioners (9.5%) and 86 participants (90.5%) from patient and social interest organizations, of whom 27 (28.4%) held leadership or board positions. Across all groups, the highest-rated research priorities included children and adolescent mental health, palliative and end-of-life care, and continuity of primary care. Willingness to participate in future research was expressed by 38% of the respondents, with an additional 52% indicating conditional interest. Online surveys were the most preferred mode of participation, followed by workshops and board meetings. Conclusions: Participatory bilingual approaches are feasible in South Tyrol and highlight priorities that are highly relevant for patient-centered health services. Future initiatives should strengthen the structures for research participation, enhance GP engagement, and link identified priorities to research funding and policy action. Full article
(This article belongs to the Special Issue Patient Experience and the Quality of Health Care)
Show Figures

Figure 1

18 pages, 976 KB  
Article
Exploring Young People’s Views on Pharmaceutical Care for Long-Term Illnesses in Primary Care Settings
by Mohammed Almunef, Julie Mason, Chris E. Curtis and Zahraa Jalal
Healthcare 2025, 13(21), 2796; https://doi.org/10.3390/healthcare13212796 - 4 Nov 2025
Viewed by 333
Abstract
Background/Objectives: According to recent literature, the prevalence and incidence of long-term illnesses such as asthma and diabetes in young people have substantially risen over the past 13 years. Recent figures indicate that, in England, 4.10% of all prescriptions were prescribed for young [...] Read more.
Background/Objectives: According to recent literature, the prevalence and incidence of long-term illnesses such as asthma and diabetes in young people have substantially risen over the past 13 years. Recent figures indicate that, in England, 4.10% of all prescriptions were prescribed for young people. The aim of this study was to investigate young people’s perspectives of pharmaceutical services provided by primary care pharmacists relating to medication. Methods: A cross-sectional survey using both online and paper-based tools was conducted from March to November 2019. The population for this survey was young people from 18 to 24 years old registered as students at one of the universities in England. The survey consisted of twenty-four questions, and they were a mix of closed-ended questions, such as multiple-choice and Likert scales, and open-ended questions. Results: A total of 210 out of 800 survey responses were completed from different recruitment sources, achieving a response rate of 26.25%. Most participants were female (62.38%), and the most frequent age was 18 years (35.24%). Among participants, 15.70% were diagnosed with long-term illnesses, of which 33.33% were reported as the respiratory disease, asthma. Pharmacists were not utilised as a source of information for young people, with the majority (60.60%) obtaining information from their doctors. Most of the participants (96.97%) had not taken part in a Medicines Use Review (MUR) or New Medicine Service (NMS), and 78.79% were not aware of any services or support groups by their pharmacist. Among different healthcare professionals, GPs and hospital doctors were the most frequently reported to discuss with young people about their illnesses. Conclusions: There is an opportunity to further develop pharmaceutical services and support by primary care pharmacists for young people with long-term illnesses. Policymakers and primary care pharmacists in the future could utilise the perceptions and opinions of young people found in the current study to inform the development of primary care pharmacy services to meet young people’s needs and perceptions. These results are of benefit to policymakers in assisting in the development of pharmacy services. Further research will enhance understanding of the perceptions of young people about the pharmaceutical services offered by primary care pharmacists with respect to medications. Full article
Show Figures

Figure 1

13 pages, 259 KB  
Article
Social Media’s Impact on Public Awareness of the Effects of Dietary Habits and Fluid Consumption on Kidney Stone Formation: A Cross-Sectional Study
by Mansour Alnazari, Omar Ayidh Alotaibi, Abdulaziz Ali Alharbi, Saad Mohammed Alharthi, Ahmed H. Al-wadani, Muteb Obaid Alharthi, Bassam Abdulaziz Alosaimi, Abdulaziz Mohammed Alrasheed, Suliman Ahmed Albedaiwi, Turki Dibas Alharbi, Shahad Adel Alhemaid, Huda Yousef Alhashem, Wesam Khan and Emad Rajih
Healthcare 2025, 13(21), 2795; https://doi.org/10.3390/healthcare13212795 - 4 Nov 2025
Viewed by 536
Abstract
Background: Renal stone disease is a common urological condition considered to be greatly affected by lifestyle, dietary practices, and hydration status. With the rapid advancement and remarkable rise in digital communication, social media has become an important source of health information. However, [...] Read more.
Background: Renal stone disease is a common urological condition considered to be greatly affected by lifestyle, dietary practices, and hydration status. With the rapid advancement and remarkable rise in digital communication, social media has become an important source of health information. However, little is known about its effects on raising public awareness of dietary and fluid-related risk factors for kidney stone formation, particularly in Middle Eastern populations. Aim: We aimed to evaluate the impact of social media platforms on public awareness of dietary habits and fluid consumption in relation to kidney stone prevention. Methods: A cross-sectional survey was applied to 980 adults with varying demographic characteristics. Data on social media use, dietary and fluid knowledge, and attitudes toward kidney stone prevention were collected through structured questionnaires. Statistical analyses, including regression and mediation models, were employed to identify predictors of awareness and explore pathways linking social media use to knowledge and attitudes. Results: Among the 980 participants (mean age = 29.9 ± 11 years; 55.4% males), 69.9% held university degrees, and 7.2% had a history of kidney stones. The overall awareness of kidney stone prevention varied, with most of the participants recognizing the protective role of adequate hydration (67%) and the adverse impact of soft-drink consumption (73.2%), while knowledge of dietary contributors such as animal protein and tea was limited. Greater knowledge and more appropriate attitudes were associated with older age, female gender, following healthcare professionals, and engagement with medical websites, YouTube, and TikTok. Mediation analysis revealed that social media influenced awareness indirectly through improvements in knowledge and attitudes. Conclusions: This study reveals that the digital environment shapes both public knowledge of and attitudes toward kidney stone prevention, though critical knowledge gaps persist regarding complex dietary factors. Mediation analysis indicated that the digital influence is likely channeled through improvements in knowledge and attitudes. We emphasize that source credibility is paramount; relying on official medical websites and following health professionals were the most effective strategies for boosting awareness. Therefore, expert-led educational strategies must be integrated into public health protocols. Full article
24 pages, 319 KB  
Article
Interprofessional Collaboration in Primary Healthcare: A Qualitative Study of General Practitioners’ and Family and Community Nurses’ Perspectives in Italy
by Federica Dellafiore, Luca Guardamagna, Sihame Haoufadi, Alice Cicognani, Angela De Mola, Benedetta Mazzone, Giulia Occhini, Antonio Brusini and Giovanna Artioli
Healthcare 2025, 13(21), 2794; https://doi.org/10.3390/healthcare13212794 - 4 Nov 2025
Viewed by 951
Abstract
Background: The growing burden of chronic illnesses calls for integrated and sustainable models of Primary Healthcare (PHC) that emphasize health promotion and patient-centered care. Interprofessional collaboration between General Practitioners (GPs) and Family and Community Nurses (FCNs) is a strategic approach to enhancing continuity [...] Read more.
Background: The growing burden of chronic illnesses calls for integrated and sustainable models of Primary Healthcare (PHC) that emphasize health promotion and patient-centered care. Interprofessional collaboration between General Practitioners (GPs) and Family and Community Nurses (FCNs) is a strategic approach to enhancing continuity of care and supporting individuals in adopting healthy behaviors across the trajectory of chronic conditions. This study aims to explore the experiences and perspectives of GPs and FCNs in Italy, with the goal of identifying the barriers, enablers, and transformative dynamics that can inform future PHC models. Methods: A qualitative study was conducted with four focus groups with 21 participants (8 GPs and 13 FCNs) from three Italian regions, carried out between March and November 2023. Data were analyzed using Reflexive Thematic Analysis (RTA) following Braun and Clarke’s framework. Ethical approval was obtained from the University of Parma (Protocol No. 0266537—21 October 2022). Results: Four themes and sixteen subthemes were identified: (1) barriers to effective collaboration (role ambiguity, limited time, structural misalignments); (2) facilitators of collaboration (openness, mutual recognition, shared goals); (3) team-building processes (phases of trust development, shared values, reflective problem-solving); and (4) transformation of work practices (improved patient outcomes, flexible methodologies, integrated care strategies). Conclusions: Interprofessional collaboration between GPs and FCNs enhances the capacity of PHC to address the complex needs of people with chronic conditions. Aligning relational, organizational, and structural factors is essential for sustainable, health-promoting care models. Tailored training, protected time, and shared spaces are critical to foster teamwork, promote patient empowerment, and ensure continuity of care in chronic illness management. Full article
11 pages, 471 KB  
Article
Obesity, Knowledge, and Perceived Risk: Insights from the ObeCare Project Across Italian Territorial Pharmacies
by Francesco Ferro Russo, Federica Faccitondo, Vladimiro Grieco, Eugenio Leopardi, Stefania Agrimi, Gian Maria Rossi, Anna Cantarutti, Benedetta Canova, Riccardo Boracchini and Paolo Levantino
Healthcare 2025, 13(21), 2793; https://doi.org/10.3390/healthcare13212793 - 4 Nov 2025
Viewed by 468
Abstract
Background: Obesity is a growing public health concern in Italy, with prevalence reaching 21.6% in 2022, particularly among the elderly. To address this issue, the ObeCare project was implemented to promote obesity prevention and awareness through community pharmacies. This study aimed to evaluate [...] Read more.
Background: Obesity is a growing public health concern in Italy, with prevalence reaching 21.6% in 2022, particularly among the elderly. To address this issue, the ObeCare project was implemented to promote obesity prevention and awareness through community pharmacies. This study aimed to evaluate obesity-related knowledge, lifestyle behaviors, and risk perception among participants engaged in the ObeCare project. Methods: A survey was administered to individuals >18 years old across Italian pharmacies involved in the ObeCare initiative by trained pharmacists. A validated questionnaire assessed obesity-related knowledge, risk perception, lifestyle behaviors, demographics, clinical conditions, and Body Mass Index (BMI). A multinomial logistic regression was implemented to identify predictors of overweight and obesity. Results: Obesity was more prevalent among men, older adults, and those with multiple comorbidities. Healthier lifestyle and greater health knowledge were significantly associated with having a normal BMI, whereas low lifestyle scores (OR 13; 95% CI 2.96–57.85) and the presence of multiple comorbidities (OR 14.79; 95% CI 8.00–27.36) were strong predictors of obesity. Individuals with obesity exhibited lower knowledge (OR 1.55; 95% CI 1.02–2.37) and risk perception. Conclusions: This study highlights the significance of lifestyle habits, knowledge, and risk perception, which will be helpful in the prevention and management of obesity. These findings support community-based education and targeted interventions, especially for high-risk groups such as men, retirees, and residents of Southern Italy. Full article
(This article belongs to the Special Issue Obesity and Overweight: Prevention, Causes and Treatment)
Show Figures

Figure 1

Previous Issue
Back to TopTop