Abstract
This paper explores and discusses how wing structures vibrate by using the Mindlin–Reissner plate theory, which takes into consideration the effects of transverse shear deformation and rotary inertia. This theory works well for thicker structures, like aircraft wings, where it gives accuracy by detecting shear and rotation effects. FGMs, or functionally graded materials, are used in aviation to enhance structural patterns and reduce stress points by gradually changing material properties along the wing thickness based on the volume fraction index. Finite element method (FEM) simulations were conducted to compare the natural frequencies and mode shapes of tapered and interpolated wing geometries. The results indicate that interpolated meshes exhibit higher natural frequencies due to increased stiffness, whereas tapered meshes show lower frequencies due to their flexibility. Validation through ANSYS simulations confirms the accuracy of the FEM results, highlighting the influence of geometry and material gradation on vibrational behavior. The findings offer valuable insights for aerospace applications, supporting the development of lightweight and efficient wing designs.
Keywords:
functionally graded materials; Mindlin–Reissner theory; finite element analysis; modal analysis; aircraft wings; interpolated mesh; tapered mesh MSC:
35J05; 35J25; 60H10
1. Introduction
The aerospace industry is increasingly focusing on lighter and more efficient structures, leading to the use of advanced materials known as functionally graded materials (FGMs). These materials have different properties at different points, which helps improve their strength and performance by spreading material where it is needed most. However, there has not been enough research on how different mesh designs can affect how these materials behave when they vibrate, especially in aircraft wings. This is important because creating accurate models that consider the shape of the wing, the way materials change, and how they respond to vibrations is quite complex. Recent studies have emphasized the need for good modeling techniques to better understand these structures in real-world conditions.
This work uses specific theories that consider important factors like thickness and movement to study how different mesh types influence wing vibrations, and also uses computer simulations to check the findings, making sure the results are trustworthy.
This research aims to provide useful insights that can improve future developments in aerospace technology.
By examining a flat plate, researchers can learn a lot about how vibrations and structural mechanics work, which is really important for understanding aircraft wings. Studying a plate allows scientists to focus on key factors like how materials respond to pressure, how they bend and change shape, and how different edge conditions affect them, all in a more straightforward way. These findings can then be applied to aircraft wings, which, while having similar features, are more complex in shape and have to deal with various forces during flight. This clear approach helps improve designs and makes it possible to create safer aircraft in the future.
This paper reinforces FEM results by comparing them with the established studies in the field. New research has shown significant progress in FGMs for aerospace structures [1,2]. The authors of [3] found that the design of airplane wings can affect their stability and natural frequencies. Scientists are investigating the use of functionally graded materials in aerospace. These materials have better bending and shear abilities than traditional materials, especially in small or complex loads. Recent research utilized size-dependent FEM models and the consistent couple stress theory to improve the modeling of size effects in functionally graded materials [4]. These findings align with this study’s approach, which focuses on the influence of material grading, geometry, and boundary conditions in the modal analysis of FGM wings.
Airplane wings are important because they control aerodynamic forces and need to be lightweight for best flight performance [4]. Historically, wings were typically designed using the Kirchhoff–Love theory, which did not account for shear deformation and only considered thin plates [5]. This assumption is effective for thin structures but may not be sufficient for moderately thick wings or functionally graded materials (FGMs) with important shear deformation.
The Mindlin–Reissner plate theory is a better model for thicker plates because it considers transverse shear deformation and rotary inertia. This theory is helpful in modern aerospace design as it can analyze complex behaviors in wings of varying thickness. The study uses the Mindlin–Reissner theory in wings made of FGMs, which are composite materials with properties that change through their thickness [6]. These materials typically blend metal and ceramic to improve stiffness, strength, and resistance. FGMs are becoming more common [7].
Aerospace industries use ceramics because they provide exact material properties [8]. Studying FGM structures is crucial to understanding their impact on wing movement [9]. Modal analysis helps identify the natural frequencies and vibration patterns of a structure, providing insight into its dynamic behavior and helping prevent resonance [10]. Research has shown that FGM plates vibrate differently depending on the materials and conditions they encounter [11].
The goal of this study is to perform a modal analysis of aircraft wings using the Mindlin–Reissner theory, comparing tapered and interpolated geometries for FGM wings. The study also validates the results by comparing them to benchmarks from the existing literature [12]; this includes assessing natural frequencies and mode shapes for different material gradients to show how material distribution affects the wing’s vibrations [13].
The paper includes a literature review of previous studies of FGM wings and modal analysis using various plate theories. Section 2 details the analysis process, including finite element formulation and boundary conditions. Section 3 demonstrates the geometry and mesh configurations of the aircraft wing and plate for validation. Section 4 covers the findings. Section 5 gives a brief overview of the paper’s key findings and proposes areas for future research. This work builds on the existing knowledge of analyzing aircraft wings using FGMs and advanced plate theories to support research on Aircraft Wing Modal Analysis. Studies on FGM applications in aerospace structures have increased due to the ability of FGMs to provide better stress distribution by gradually changing material properties from metals to ceramics [14]. Several studies have used finite element modeling to analyze functionally graded materials in various scenarios, with a focus on their natural frequencies, particularly in wing structures [15]. Few studies have examined the impact of different mesh types and geometric variations on modal behavior.
This study highlights how material length scale parameters affect natural frequencies and mode-switching phenomena, especially out-of-plane modes, which are critical to modal analysis for aerospace applications [16].
Research shows that examining various mesh types and shapes in modal analysis is a successful method [17]. These data will help with future research on modeling for FGM in aerospace engineering. Also, these articles aim to improve scientific research by advancing the finite element analysis of functionally graded materials in aircraft structures and creating a new method for studying the modal analysis of FGM plates/wings [18]. It studies how changes in mesh affect modal behavior in aerospace engineering under various boundary conditions to analyze structural behaviors.
2. General Formulation
This study examines an aircraft wing made of functionally graded materials using the finite element method with the Mindlin–Reissner plate theory (Figure 1).
Figure 1.
Mindlin–Reissner plate theory.
The Mindlin–Reissner plate theory is a smart choice for understanding how aircraft wings behave because it goes beyond the basic ideas of classical plate theory. This theory takes into account how bending and twisting happen in thicker panels, which is very important for correctly modeling the wing structures of planes. By considering both bending and shear deformations, it gives a clearer picture of what happens when forces act on these wings. When this theory is used in finite element method (FEM) calculations, it helps engineers accurately capture how wings will perform under different conditions, ensuring safety and efficiency in aircraft design.
Displacements:
Deformations:
Stresses:
Equilibrium:
Mass matrix:
Stiffness matrix:
Force vector:
Dynamic formulation:
Material Modeling: Functionally graded materials were used in the study to optimize the mechanical performance of the wing. The material properties vary across the thickness of the wing according to a power-law distribution. The gradation allows a smooth transition from metal (typically at the bottom layer) to ceramic (at the top layer), improving stress distribution and thermal resistance.
The power-law distribution of material properties starting from the mid-plane of a wing is used here in Figure 2. This distribution allows material properties to transition gradually from the center outwards based on a specified power-law index [4]. The material properties are defined to vary symmetrically across the thickness of the wing.
Figure 2.
FGM rectangular plate composed of ceramic and metal.
Symmetrical power-law distribution from the mid-plane is shown; in this symmetrical distribution, properties at each surface gradually change from the mid-plane (z = 0) to both the top and bottom surfaces. The equation can be formulated for each position along the plate thickness:
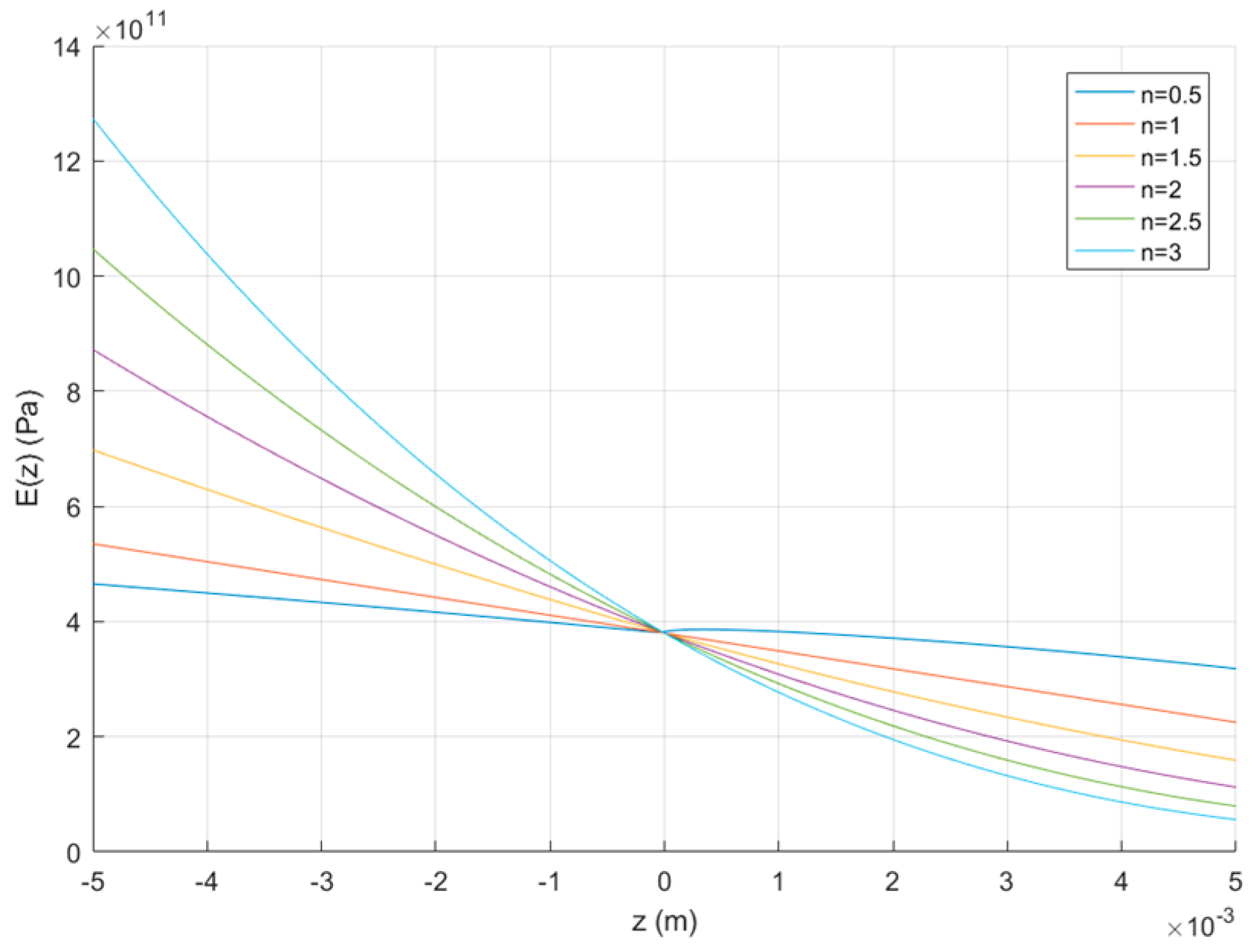
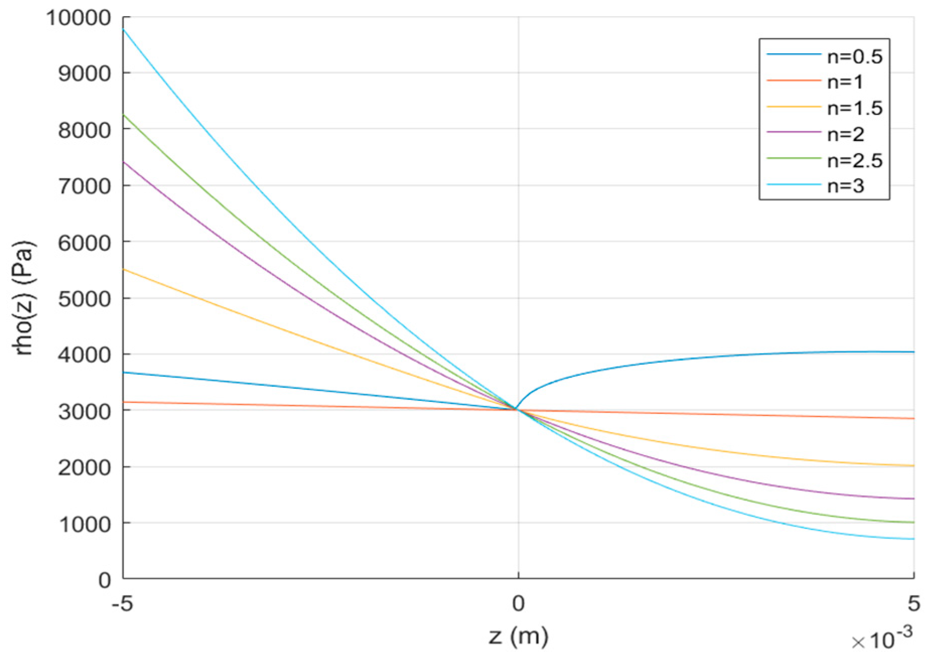
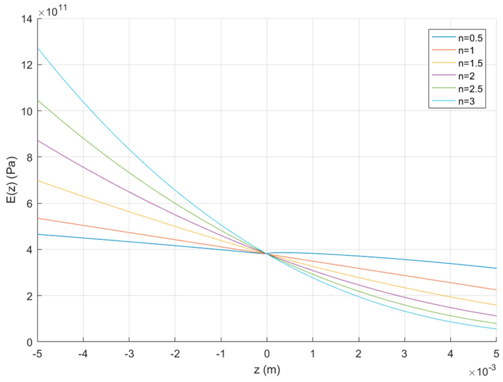
Using the absolute value |z| gives more insurance for symmetry about the mid-plane Figure 3 and Figure 4, where material properties vary consistently outward from the neutral plan.
Figure 3.
Young’s modulus distribution through the thickness.
Figure 4.
Density distribution through the thickness.
This allows properties at the mid-plane (z = 0) to be a blend of and depending on the value of n, where
- -
- is the material property at one surface (bottom surface at );
- -
- is the material property at the other surface (top surface at );
- -
- is the position along the thickness from the mid-plane, varying from to;
- -
- is the total thickness of the plate;
- -
- is the power-law exponent controlling the rate of gradation from to.
In this study, we used two types of mesh setups for creating a model of an aircraft wing to understand its shape and performance in Figure 5 and Figure 6. One type of mesh is called tapered mesh, which mimics how a wing narrows from a wide base to a thinner end, similar to a bird’s wing. We focused on a wing with a conical shape, starting at a root chord of 2 m and tapering down to a tip chord of 0.2 m, resulting in a taper ratio of 2:0.2. This design helps show how the wing can naturally change shape to improve performance. The wing is 2.5 m wide, or half a span, allowing it to evenly spread out the forces acting on it, while its thickness remains constant at 0.01 m across the entire length. This choice was made to prioritize how the materials behave rather than changing the thickness during the initial design phase.
Figure 5.
Tapered geometry.
Figure 6.
Interpolated mesh.
To create a smooth and flexible mesh that connects certain points, we used a method called infinite interpolation as seen in Figure 6. This approach allowed us to control how the points, or nodes, are spread out, making it easier to adjust the mesh as needed. By changing the chord length, we could discretize the mesh effectively, ensuring that the shapes transition seamlessly between the specified boundary points. This means that edges could be shaped according to specific functions, allowing for a more accurate representation of the desired geometry. This way, we could make sure our design looked good and worked well without any awkward gaps or rough areas.
Top Boundary Function:
Bottom Boundary Function:
Left Boundary Function:
Right Boundary Function:
Choosing the right mesh type is key to obtaining accurate and trustworthy results in a finite element analysis (FEM), especially when studying wing structures. In this work, we looked at two types of mesh: tapered and interpolated. The tapered mesh closely follows the shape of the wing, which is crucial because it reflects how the wing’s chord length shrinks from the base to the tip. By doing this, we could better model the wing’s behavior and its impact on airflow. Meanwhile, the interpolated mesh helps improve accuracy by smoothing out the transitions in complex shapes. Together, these mesh types helped us create a more realistic model, allowing us to understand how wings operate in different conditions.
Using transfinite interpolation to create nodes enhances how elements are arranged in a mesh, which helps improve the accuracy of stress and displacement calculations. A good mesh can effectively show how a structure behaves both locally and globally, which is really important for modal analysis. If the mesh is not appropriate, it can cause problems with convergence and lead to wrong results in how the structure reacts dynamically. Finer and better meshes tend to give more realistic results, particularly when looking at natural frequencies and mode shapes. To find a balance between running efficiently and obtaining accurate results, two types of meshes were compared to see how they affect modal behavior. Additionally, studying boundary conditions is useful for examining how different settings impact vibrational modes. For instance, the cantilever setup, where one end of a wing is fixed, closely mimics how actual aircraft wings respond under air pressure. This arrangement typically shows distinct vibrational modes because of the fixed end as seen in Figure 7, making it an important consideration for modal analysis.
Figure 7.
Cantilever mesh visualization in MATLAB R2020a for rectangular plate.
In some studies about how things fly and how light they can be made, a setup called SFSF as seen in Figure 8, which stands for Simply Supported–Free–Simply Supported–Free, gives a lot of chances to learn while still having some limits. This setup allows researchers to explore how stable a structure is and how it reacts to different vibrations without having to hold it down completely. By using this method, scientists can see what happens in between being fully held and fully free, giving them a better understanding of how to design better, more efficient objects that are both light and steady.
Figure 8.
Clamped mesh visualization for a rectangular plate with two fixed edges in MATLAB.
The Fully Clamped (CCCC) configuration in Figure 9 offers the most rigid setup for structures, making it ideal for testing how strong and stiff a design can be. This configuration helps to minimize any bending or movement in the structure, which is crucial when we want to make sure it stays stable under stress. It also allows engineers to see how the structure behaves at high frequencies, which is important for safety and performance. Because of its strength and reliability, the CCCC setup is commonly used in projects that require strong building designs, ensuring they can withstand heavy loads and other challenges.
Figure 9.
Clamped mesh visualization in MATLAB for rectangular plate.
The SSSS (Fully Simply Supported) condition is a way to support structures so that they can flex and move while still being held up evenly on both ends. This support type is often used in engineering and design to look closely at how vibrations happen in a structure when weight is applied uniformly. By studying SSSS conditions, engineers can understand how different parts of the structure will react to forces, helping them identify any resonances or issues before they occur. This is particularly useful for ensuring that buildings and bridges can handle loads without collapsing, making our environments safer. Overall, SSSS support helps designers create strong and stable structures that work well under pressure.
When studying how structures react to vibrations, many engineers use a method called SSSS, which stands for Fully Simply Supported Figure 10 and Figure 11. This method is popular because it simulates a situation where the support is spread evenly across the structure. By using this setup, researchers can better understand how vibrations move through the building and how they affect its overall strength. It helps them find out the points where the structure might shake the most and how loads are shared across different parts of the structure. This information is very useful for designing safer buildings that can handle vibrations from things like traffic, machinery, or even earthquakes.
Figure 10.
Simply supported mesh visualization in MATLAB for rectangular plate.
Figure 11.
Finite element process for modal analysis study [18].
3. Numerical Implementation
The finite element method (FEM) was used in MATLAB to study how a wing behaves under different forces. To do this, the stiffness and mass matrices were created by calculating the shape functions over the wing parts using a technique called Gaussian quadrature. This method can use different numbers of points for more accurate results—like “one point”, “four points”, or “nine points”. By using these different methods, we can better understand how the wing responds to movement and pressure, which is important for making sure it can handle various loads safely and effectively. This careful approach ensures that the wing’s strength and behavior are well understood in real-world situations.
4. Linear Analysis
Modal analysis used matrices to solve the equation that is dynamic, with variables including mass (M) and stiffness (K).
The equation was used to find out how the wing structure behaves by determining its natural frequencies, mode shapes, and deflection. To see how different designs affected these results, the tapered and interpolated meshes were compared directly. The numbers we obtained from our calculations were checked by looking at the natural frequencies and mode shapes of a rectangular plate, which matched well with the results found in MATLAB and ANSYS simulations from previous studies. This comparison showed that our method for exploring the wing structure is reliable and produces accurate results. Overall, the findings help us understand how the design of the wing can influence its performance, ensuring our approach is both effective and trustworthy (Table 1, Table 2 and Table 3).
Table 1.
Natural frequency comparison between ANSYS and present work.
Table 2.
Result validation with ANSYS for SSSS boundary conditions.
Table 3.
Result validation with ANSYS for CCCC Boundary conditions.
The frequency values produced by both ANSYS 2017 R2 and MATLAB R2020a are closely matched, which shows that the MATLAB R2020a model accurately captures how the structure behaves when it vibrates. This close agreement also indicates that the method used to calculate these values is reliable, making it a good choice for future research and projects. The small differences found in similar studies suggest that the calculations can be trusted. Overall, the results for both the shape of the modes and the frequency values align well with those from ANSYS 2017 R2, enhancing the overall accuracy and trustworthiness of this work.
5. Eigenvector Validation with ANSYS for SSSS
Comparing the results from MATLAB R2020a (2020 version) and ANSYS 2017 R2 shows that both software tools give very similar outcomes in terms of mode shapes and frequency values, with differences usually less than 2%. This similarity suggests that both tools are trustworthy for engineering tasks. The first offers the chance to customize the mesh, but this requires careful planning to ensure accuracy and efficiency. In contrast, the second has fast and reliable automated meshing tools, although they might overlook some details in more complex designs. MATLAB R2020a uses numerical methods for integration, which can affect the results based on the method chosen. Both tools produced matching frequency values with only slight differences, making them reliable for modal analysis. MATLAB R2020a allows researchers to adjust boundary conditions manually, which gives them more control but can be time-consuming. ANSYS 2017 R2 simplifies this process with pre-set conditions that save time while ensuring consistency. For academic research needing unique solutions, MATLAB R2020a is better, while ANSYS 2017 R2 is more efficient for quick prototypes and industrial use. Together, these tools provide a strong foundation for exploring functionally graded materials (FGMs) in aerospace engineering, allowing for detailed studies and practical applications in designing aircraft wings and other structures.
The results of our study show in Figure 12, Figure 13, Figure 14, Figure 15 and Figure 16 that having accurate boundary conditions and optimizing the mesh is crucial for reliable outcomes.
Figure 12.
First eigenvector comparison between ANSYS and present work.
Figure 13.
Second eigenvector comparison between ANSYS and present work.
Figure 14.
Third eigenvector comparison between ANSYS and present work.
Figure 15.
Fourth eigenvector comparison between ANSYS and present work.
Figure 16.
Fifth eigenvector comparison between ANSYS and present work.
Our findings align well with earlier research, confirming that the methods we used are good. This work sets the stage for future studies focused on functionally graded materials (FGMs) in the aerospace field. We are comparing different mesh types to see how each affects wing vibration, which is important for improving aircraft performance. By understanding these relationships, we can help enhance the design and safety of aerospace structures.
6. Applications to Tapered and Interpolated Plates
The results of the mode shape and eigenvalue of the interpolated wing (Figure 17, Figure 18, Figure 19, Figure 20, Figure 21 and Figure 22).
Figure 17.
Applied boundary conditions for cantilever interpolated wing.
Figure 18.
First mode for interpolated mesh.
Figure 19.
Second mode for interpolated mesh.
Figure 20.
Third mode for interpolated mesh.
Figure 21.
Fourth mode for interpolated mesh.
Figure 22.
Fifth mode for interpolated mesh.
Mesh with boundary conditions of interpolated wing (Figure 23).
Figure 23.
Applied boundary conditions for cantilever tapered wing.
The results of the mode shape and eigenvalue of the interpolated wing (Figure 24, Figure 25, Figure 26, Figure 27 and Figure 28).
Figure 24.
First mode shape for tapered mesh.
Figure 25.
Second mode shape for tapered mesh.
Figure 26.
Third mode shape for tapered mesh.
Figure 27.
Second mode shape for tapered mesh.
Figure 28.
Second mode shape for tapered mesh.
As shown in Figure 17, Figure 18, Figure 19, Figure 20, Figure 21, Figure 22, Figure 23, Figure 24, Figure 25, Figure 26, Figure 27 and Figure 28, the study of mesh types in aircraft wing structures shows interesting differences in how they respond to vibrations. For instance, the tapered mesh behaves more flexibly, resulting in lower natural frequencies compared to the interpolated mesh, which is stiffer Table 4. This difference is clear when looking at the first mode frequencies: the interpolated mesh measures 11.4306 Hz, while the tapered mesh is only 3.6465 Hz. This significant gap highlights how choosing the right mesh type can greatly affect how a structure vibrates. By examining how the shape, material changes, and mesh designs work together, we gain a valuable understanding of how these factors influence the performance of wings in aircraft made from functionally graded materials.
Table 4.
Comparison between tapered and interpolated frequency values.
7. Comparison of Mesh Defluxion Between Tapered and Interpolated Mesh
Defluxion for interpolated geometry:
In a study comparing two types of mesh used to analyze the structure of an aircraft wing, interesting differences were noted regarding their flexibility and stiffness (Figure 29, Figure 30 and Figure 31) The tapered mesh, which gradually narrows from the wing’s root to its tip, showed a deflection of 0.0127 m when placed in a vacuum, much greater than the 0.00131 m of the interpolated mesh. This indicates that the tapered mesh is more flexible, allowing it to bend easily under the same load. Additionally, the tapered mesh produced lower natural frequencies, meaning it vibrates more slowly and is less stiff, with the first mode frequency at 3.6465 Hz compared to 11.4306 Hz for the interpolated mesh. These findings reveal that the tapered design allows for more movement, while the interpolated mesh provides a stiffer, more stable structure due to its smoother shape that effectively captures variations in wing thickness. Overall, these results highlight how different mesh configurations can significantly affect the performance and behavior of aircraft wings.
Figure 29.
Comparison between tapered and interpolated frequency values.
Figure 30.
Defluxion for interpolated geometry.
Figure 31.
Defluxion for interpolated geometry.
Studies on functionally graded materials (FGMs), particularly those involving wings and plates, show some interesting patterns. Research using finite element methods (FEMs) reveals that when these materials have a tapered shape, they tend to have lower vibration frequencies. This happens because tapering makes the structure less stiff and more flexible. In contrast, when the structure is either uniform or interpolated, it exhibits higher frequencies due to increased stiffness. This comparison helps us understand how different designs influence the performance and behavior of materials, which is important for many engineering applications. Overall, these findings highlight the relationship between geometry and material properties in FGM structures.
Curvature in the design of wings plays a crucial role in how they perform under strong forces during flight. When we use an interpolated mesh to model the wings, it becomes much easier to predict how they will react when faced with high aerodynamic pressure. This approach helps simulate stiff wings more accurately, as it considers the natural frequencies of different shapes. The results show that wings with certain curves can handle stress better, leading to improved performance in challenging conditions. Thus, by focusing on curvature and using advanced modeling techniques, engineers can create wings that are not only strong but also efficient.
The mode shapes from the two types of mesh matched well with what we expected, especially in the first modes which showed bending and twisting, which are typical for cantilevered structures. However, there were clear differences in how each mesh type reacted. The tapered mesh bent more at the wingtip because that area was less stiff, while the other mesh, known as the interpolated mesh, showed less bending at the tip and maintained a more consistent shape along the wing. This means that the design of the mesh can significantly affect how it responds to forces; wings that are thinner or more flexible will bend more. The interpolated mesh was better at spreading out stress evenly, which is important for stability, especially in flight. This steady performance under pressure is what makes it suitable for parts of aircraft where reliable behavior is essential. Overall, the shape and design of the mesh play a crucial role in how well an aircraft wing performs and maintains its structure during flight.
7.1. Effect of Boundary Conditions
The study of natural frequencies in different geometries, specifically for functionally graded material (FGM) wings and plates, has shown interesting results that match previous research. It turns out that structures with a tapered shape have lower natural frequencies because they are less stiff, while those with a uniform or smooth shape tend to have higher natural frequencies. The research primarily looks at cantilever designs, but it also explores other support types, such as simply supported and clamped-free setups. Notably, the cantilever design most influenced the mesh types used, especially the tapered mesh, which reacted more to changes in how it was supported. In contrast, both mesh types produced higher natural frequencies in other setups compared to the cantilever one. Consistently, the interpolated mesh displayed higher frequencies across all support conditions, indicating that it provides greater stiffness and stronger structure, regardless of how it is supported.
7.2. Key Observations
The comparison of results from MATLAB and ANSYS showed both similarities and differences, providing valuable insights into how functionally graded materials (FGMs) behave in wing designs. When looking at mode shapes, most findings from both software tools were quite similar; however, there were slight variations in how much the wings bent, especially at the tips when set up as cantilevers. These differences emphasize how important it is to customize the mesh used in simulations, as it can affect the accuracy of local responses in structures. MATLAB’s ability to adjust the mesh allowed it to capture more details, which improved its modeling of specific areas of stress and deformation in the wings.
MATLAB and ANSYS are powerful tools used in engineering to analyze how structures will behave under different conditions. When looking at the first few vibration modes, both programs showed very similar results, with differences in frequency being less than 1%. This means they agree well in predicting how these structures will move at lower frequencies. However, as we look at the higher frequency modes, the differences increased a little, reaching up to 2%. This suggests that while both tools are reliable, higher-order modes are more sensitive to changes, which might be due to various factors like material properties or design details. Understanding these differences is important for engineers to make accurate designs and ensure safety.
7.3. Mesh Sensitivity
ANSYS and MATLAB are two powerful tools used in engineering and design, each with its strengths and weaknesses. ANSYS offers automated meshing, which produces strong results while using less computing power, making it great for quick industrial projects. However, this automation may miss some important details in complex shapes. On the other hand, MATLAB allows for more specific control over meshing with the ability to focus on key areas like supports or wingtips, though this may require more time and effort to set up. MATLAB relies on a method called Gaussian quadrature for numerical precision, which can improve accuracy by adjusting the number of points used for calculations. While ANSYS uses its own algorithms, these might not capture sharp changes in materials as well. Additionally, MATLAB’s flexibility in setting boundary conditions is perfect for unique research projects compared to ANSYS’s standard settings, which may not suit everyone’s needs. Overall, while MATLAB is better for detailed academic studies and working with complicated shapes, ANSYS is more user-friendly and efficient for larger industrial tasks. By using both tools together, one can benefit from MATLAB’s detailed research and ANSYS’s validation, especially when studying advanced materials like functionally graded materials in wings.
Using MATLAB and ANSYS together can help engineers create better designs, especially when studying wing structures. By creating detailed meshes in ANSYS, we can improve accuracy in simulations. This means we can understand how materials behave in different conditions, including complex situations like dynamics that show things like stiffness. Moreover, moving 3D modeling captures all the details of wing shapes accurately. Can also explore how aerodynamic forces affect designs and study how they react to different loads. By running parametric studies in MATLAB, we can check how different mesh settings and material choices perform, making sure our findings match what ANSYS shows. This way, we can blend the strengths of both tools to obtain a clear and balanced view of our results.
8. Convergence Analysis Using a Plate
As the researchers increased the mesh density from a simple 5 × 5 grid to a detailed 40 × 40, they carefully examined how change affected the results of their study. Both the tapered and interpolated shapes showed similar responses in terms of how they vibrated and bent. Interestingly, the interpolated shape had a smaller maximum bend of only 0.00131 m, while the tapered shape reached a higher bend of about 0.0127 m under the same conditions. This consistency in the results (Figure 32, Figure 33, Figure 34 and Figure 35) indicated that adjusting the mesh helped to accurately show how the wing would behave under different pressures. The difference in the bending amounts also highlights how crucial it is to choose the right mesh setup to effectively predict how objects will move and respond.
Figure 32.
Mesh density 5*5.
Figure 33.
Mesh density 10*10.
Figure 34.
Mesh density 15*15.
Figure 35.
Mesh density 40*40.
9. Validation with the Results Already Published
The tapered mesh results have good alignment with other studies on FGM plates and beams [5], where reduced stiffness and lower natural frequencies are detected, which increase the flexibility of the wing. For example, some research on FGM cantilever beams has shown that tapering reduces stiffness, leading to higher deformation close to the end.
This consistency supports the accuracy of the model, confirming that the tapered mesh effectively captures the structural behavior; this gives more confidence to the study and makes it much more useful as shown in Table 5.
Table 5.
Comparison of natural frequency between the present work and I. Ramu and S.C. Mohanty’s [4] article for rectangular plate and SSSS boundary conditions.
There is clearly good compatibility between’s [19] results and the present work, with errors changing from 0.16 to 0.74. This shows that the present work model accurately produced the dynamics of the structure Figure 36. Low error values demonstrate that the numerical method can provide more confidence for the coming studies and validations in similar ones. The interpolated mesh results align with other FEM studies on FGM structures, demonstrating that smoother geometry interpolation boosts natural frequencies by better distributing material properties and stress. The interpolated mesh is stiffer due to research showing that transfinite interpolation methods improve quality and accuracy.
Figure 36.
Comparison of natural frequency between the present work and I. Ramu and S.C [4].
The mesh by the wingtip was more deformed. This demonstrates how the shape of the mesh impacts its response to forces. This confirms that thinner or more flexible wing sections bend more when stressed. These statements need to be more concise.
Generally, the modal analysis results were similar to the benchmarks that already exist. The frequency values matched those from previous studies, and the errors were within acceptable limits. As the mesh became finer, the maximum deflection values became more alike, validating the FEM approach in this study.
10. Effect of Power Low Index on the Wing Vibration
In the first five modes in Figure 37, the table reveals that as the K values increase from 0 to 10, the natural frequencies decrease. This means that when the K values get higher, the frequencies drop, showing a softening effect across all the modes. Essentially, this pattern shows how the system changes its behavior when we adjust the K values. No matter which mode you look at, the trend is the same: higher K leads to lower frequencies. This consistent response helps us understand how the system reacts to different conditions.
Figure 37.
Variation in natural frequency with volume fraction K value.
As described in Table 6, the results show the variation K value with natural frequency
Table 6.
Variation in K value with natural frequency.
11. Conclusions
The study looked at how airplane wings made from special materials called functionally graded materials (FGMs) vibrate when they are made using two different mesh designs: tapered and interpolated. The researchers found that the interpolated mesh was stiffer, which meant that it vibrated less and had higher natural frequencies. In contrast, the tapered mesh was more flexible, leading to lower frequencies and more vibrations. To make sure that their findings were correct, the researchers compared their results with past studies and computer simulations from a program called ANSYS. This research is important because it shows how choosing the right mesh design can help us understand the behavior of FGM wings during vibrations. While the tapered mesh is better for flexible parts, the interpolated mesh works well for stiffer designs. These insights can help engineers create airplane parts that perform well under different conditions. Future research can improve aircraft design by examining how materials behave in real-world situations, moving from simple 2D to more complex 3D models, testing designs in the real world, and studying how materials react to different forces. These steps will help make aircraft lighter, more efficient, and safer for everyone.
Author Contributions
Conceptualization, A.H., M.B.G., B.H. and A.E.K.; Methodology, A.H., M.B.G., B.H. and A.E.K.; Software, A.H., M.B.G., B.H. and A.E.K.; Validation, A.H., M.B.G., B.H., A.E.K., S.V. and M.L.; Formal analysis, A.H., M.B.G., B.H., A.E.K., S.V. and M.L.; Investigation, A.H., M.B.G., B.H. and A.E.K.; Resources, B.H. and A.E.K.; Data curation, A.H., M.B.G. and B.H.; Writing—original draft, A.H., M.B.G., B.H. and A.E.K.; Writing—review & editing, B.H., A.E.K., S.V. and M.L.; Visualization, A.E.K., S.V. and M.L.; Supervision, A.E.K., S.V. and M.L.; Project administration, A.E.K.; Funding acquisition, S.V. and M.L. All authors have read and agreed to the published version of the manuscript.
Funding
This research received no external funding.
Data Availability Statement
The original contributions presented in this study are included in the article. Further inquiries can be directed to the corresponding author.
Conflicts of Interest
The authors declare no conflict of interest.
Nomenclature
| h | thickness of the beam, m |
| E | Young’s module, Gpa |
| K_s | K_b terms of rigidity |
| M | mass matrix |
| K | stiffness matrix |
| k | power-law index |
| mass density, Kg.m | |
| u | displacement along the X-axis |
| w | displacement along the Z-axis |
| θ | Rotational desplacement |
| ε | Strain Tensor |
| ν | Poisson coefficient |
| σ | Stress Tensor |
| D | Elasticity matrix |
| E_m | metal Young’s modulus |
| E_c | ceramic Young’s modulus |
| E_eff | effective Young’s modulus |
References
- Koubaiti, O.; El-mekkaoui, J.; Elkhalfi, A. Complete study for solving Navier-Lamé equation with new boundary condition using mini element method. Int. J. Mech. 2018, 12, 46–58. [Google Scholar]
- El-Mekkaoui, J.; Elkhalfi, A.; Elakkad, A. Resolution of Stokes Equations with the Ca, b Boundary Condition Using Mixed Finite Element Method. WSEAS Trans. Math. 2013, 12, 586–597. [Google Scholar]
- Banerjee, J.; Su, H.; Jayatunga, C. A dynamic stiffness element for free vibration analysis of composite beams and its application to aircraft wings. Comput. Struct. 2008, 86, 573–579. [Google Scholar] [CrossRef]
- Ramu, I.; Mohanty, S. Modal Analysis of Functionally Graded Material Plates Using Finite Element Method. Procedia Mater. Sci. 2014, 6, 460–467. [Google Scholar] [CrossRef]
- Ghatage, P.S.; Kar, V.R.; Sudhagar, P.E. On the numerical modelling and analysis of multi-directional functionally graded composite structures: A review. Compos. Struct. 2020, 236, 111837. [Google Scholar] [CrossRef]
- Xu, X.-J.; Meng, J.-M. A model for functionally graded materials. Compos. Part B Eng. 2018, 145, 70–80. [Google Scholar] [CrossRef]
- Song, X.-Y.; Zhao, W.-R.; Zang, J.; Zhang, Z.; Zhang, Y.-W. Theoretical modeling and vibration analysis of composite laminated wing-box structures of hydrogen-electric aircraft under hygrothermal environment. Thin-Walled Struct. 2024, 199, 111854. [Google Scholar] [CrossRef]
- Dunning, P.D.; Stanford, B.K.; Kim, H.A.; Jutte, C.V. Aeroelastic tailoring of a plate wing with functionally graded materials. J. Fluids Struct. 2014, 51, 292–312. [Google Scholar] [CrossRef]
- Tang, Y.; Tang, F.; Zheng, J.; Li, Z. In-plane asymmetric buckling of an FGM circular arch subjected to thermal and pressure fields. Eng. Struct. 2021, 239, 112268. [Google Scholar] [CrossRef]
- Hu, C.; Ling, D.; Ren, X.; Gong, S.; Wang, L.; Huang, Z. An improved crack-tip element treatment for advanced FEMs. Theor. Appl. Fract. Mech. 2020, 108, 102587. [Google Scholar] [CrossRef]
- Teodorescu, H.; Scutaru, M.L.; Rosu, D.; Calin, M.R.; Griogore, P. New Advanced Sandwich Composite with twill weave carbon and EPS. J. Optoelectron. Adv. Mater. 2013, 15, 199–203. [Google Scholar]
- Khan, K.A.; Muliana, A.H. A multi-scale model for coupled heat conduction and deformations of viscoelastic functionally graded materials. Compos. Part B Eng. 2009, 40, 511–521. [Google Scholar] [CrossRef]
- El-Ashmawy, A.; Xu, Y.; El-Mahdy, L.A. Mechanical properties improvement of bi-directional functionally graded laminated MWCNT reinforced composite beams using an integrated tailoring–optimization approach. Microporous Mesoporous Mater. 2021, 314, 110875. [Google Scholar] [CrossRef]
- Van Do, V.N.; Lee, C.-H. Quasi-3D higher-order shear deformation theory for thermal buckling analysis of FGM plates based on a meshless method. Aerosp. Sci. Technol. 2018, 82–83, 450–465. [Google Scholar] [CrossRef]
- Mechab, I.; Mechab, B.; Benaissa, S. Static and dynamic analysis of functionally graded plates using Four-variable refined plate theory by the new function. Compos. Part B Eng. 2013, 45, 748–757. [Google Scholar] [CrossRef]
- Zahari, K.; Hilali, Y.; Mesmoudi, S.; El Khaoulani, R.; Bourihane, O. Enhancing buckling analysis of functionally graded plates using unified and generalized higher-order shear deformation theories. Mater. Today Commun. 2024, 38, 108094. [Google Scholar] [CrossRef]
- Bouamama, M.; Elmeiche, A.; Elhennani, A.; Kebir, T.; Harchouche, Z.E.A. Exact Solution for Free Vibration Analysis of FGM Beams. Rev. Compos. Mater. Av. 2020, 30, 55–60. [Google Scholar] [CrossRef]
- Zhou, Y.; Zhang, X. Natural frequency analysis of functionally graded material beams with axially varying stochastic properties. Appl. Math. Model. 2019, 67, 85–100. [Google Scholar] [CrossRef]
- Gouzi, M.B.; EL Fakkoussi, S.; Khalfi, A.E.; Vlase, S.; Scutaru, M.L. Numerical Study of an Automotive Crash Box in Carbon Fiber Reinforced Polymer Material Using Chang Failure Criteria. Mathematics 2024, 12, 3673. [Google Scholar] [CrossRef]
Disclaimer/Publisher’s Note: The statements, opinions and data contained in all publications are solely those of the individual author(s) and contributor(s) and not of MDPI and/or the editor(s). MDPI and/or the editor(s) disclaim responsibility for any injury to people or property resulting from any ideas, methods, instructions or products referred to in the content. |
© 2025 by the authors. Licensee MDPI, Basel, Switzerland. This article is an open access article distributed under the terms and conditions of the Creative Commons Attribution (CC BY) license (https://creativecommons.org/licenses/by/4.0/).




































