Sign in to use this feature.

Years

Between: -

Subjects

remove_circle_outline
remove_circle_outline
remove_circle_outline
remove_circle_outline
remove_circle_outline
remove_circle_outline

Journals

Article Types

Countries / Regions

Search Results (19)

Search Parameters:
Keywords = tapered mesh

Order results
Result details
Results per page
Select all
Export citation of selected articles as:
28 pages, 8901 KB  
Article
Aerodynamic Performance of a Natural Laminar Flow Swept-Back Wing for Low-Speed UAVs Under Take Off/Landing Flight Conditions and Atmospheric Turbulence
by Nikolaos K. Lampropoulos, Ioannis E. Sarris, Spyridon Antoniou, Odysseas Ziogas, Pericles Panagiotou and Kyros Yakinthos
Aerospace 2025, 12(10), 934; https://doi.org/10.3390/aerospace12100934 - 16 Oct 2025
Viewed by 125
Abstract
The topic of the present study is the aerodynamic performance of a Natural Laminar Flow (NLF) wing for UAVs at low speed. The basis is a thoroughly tested NLF airfoil in the wind tunnel of NASA which is well-customized for light aircrafts. The [...] Read more.
The topic of the present study is the aerodynamic performance of a Natural Laminar Flow (NLF) wing for UAVs at low speed. The basis is a thoroughly tested NLF airfoil in the wind tunnel of NASA which is well-customized for light aircrafts. The aim of this work is the numerical verification that a typical wing design (tapered with moderate aspect ratio and wash-out), being constructed out of aerodynamically highly efficient NLF airfoils during cruise, can deliver high aerodynamic loading under minimal freestream turbulence as well as realistic atmospheric conditions of intermediate turbulence. Thus, high mission flexibility is achieved, e.g., short take off/landing capabilities on the deck of ship where moderate air turbulence is prevalent. Special attention is paid to the effect of the Wing Tip Vortex (WTV) under minimal inflow turbulence regimes. The flight conditions are take off or landing at moderate Reynolds number, i.e., one to two millions. The numerical simulation is based on an open source CFD code and parallel processing on a High Performance Computing (HPC) platform. The aim is the identification of both mean flow and turbulent structures around the wing and subsequently the formation of the wing tip vortex. Due to the purely three-dimensional character of the flow, the turbulence is resolved with advanced modeling, i.e., the Improved Delayed Detached Eddy Simulation (IDDES) which is well-customized to switch modes between Delayed Detached Eddy Simulation (DDES) and Wall-Modeled Large Eddy Simulation (WMLES), thus increasing the accuracy in the shear layer regions, the tip vortex and the wake, while at the same time keeping the computational cost at reasonable levels. IDDES also has the capability to resolve the transition of the boundary layer from laminar to turbulent, at least with engineering accuracy; thus, it serves as a high-fidelity turbulence model in this work. The study comprises an initial benchmarking of the code against wind tunnel measurements of the airfoil and verifies the adequacy of mesh density that is used for the simulation around the wing. Subsequently, the wing is positioned at near-stall conditions so that the aerodynamic loading, the kinematics of the flow and the turbulence regime in the wing vicinity, the wake and far downstream can be estimated. In terms of the kinematics of the WTV, a thorough examination is attempted which comprises its inception, i.e., the detachment of the boundary layer on the cut-off wing tip, the roll-up of the shear layer to form the wake and the motion of the wake downstream. Moreover, the effect of inflow turbulence of moderate intensity is investigated that verifies the bibliography with regard to the performance degradation of static airfoils in a turbulent atmospheric regime. Full article
(This article belongs to the Section Aeronautics)
Show Figures

Figure 1

42 pages, 6378 KB  
Article
Advances in Imputation Strategies Supporting Peak Storm Surge Surrogate Modeling
by WoongHee Jung, Christopher Irwin, Alexandros A. Taflanidis, Norberto C. Nadal-Caraballo, Luke A. Aucoin and Madison C. Yawn
J. Mar. Sci. Eng. 2025, 13(9), 1678; https://doi.org/10.3390/jmse13091678 - 31 Aug 2025
Viewed by 599
Abstract
Surrogate models are widely recognized as effective, data-driven predictive tools for storm surge risk assessment. For such applications, surrogate models (referenced also as emulators or metamodels) are typically developed using existing databases of synthetic storm simulations, and once calibrated can provide fast-to-compute approximations [...] Read more.
Surrogate models are widely recognized as effective, data-driven predictive tools for storm surge risk assessment. For such applications, surrogate models (referenced also as emulators or metamodels) are typically developed using existing databases of synthetic storm simulations, and once calibrated can provide fast-to-compute approximations of the storm surge for a variety of downstream analyses. The storm surge predictions need to be established for different geographic locations of interest, typically corresponding to the computational nodes of the original numerical model. A number of inland nodes will remain dry for some of the database storm scenarios, requiring an imputation for them to estimate the so-called pseudo-surge in support of the surrogate model development. Past work has examined the adoption of kNN (k-nearest neighbor) spatial interpolation for this imputation. The enhancement of kNN with hydraulic connectivity information, using the grid or mesh of the original numerical model, was also previously considered. In this enhancement, neighboring nodes are considered connected only if they are connected within the grid. This work revisits the imputation of peak storm surge within a surrogate modeling context and examines three distinct advancements. First, a response-based correlation concept is considered for the hydraulic connectivity, replacing the previous notion of connectivity using the numerical model grid. Second, a Gaussian Process interpolation (GPI) is examined as alternative spatial imputation strategy, integrating a recently established adaptive covariance tapering scheme for accommodating an efficient implementation for large datasets (large number of nodes). Third, a data completion approach is examined for imputation, treating dry instances as missing data and establishing imputation using probabilistic principal component analysis (PPCA). The combination of spatial imputation with PPCA is also examined. In this instance, spatial imputation is first deployed, followed by PPCA for the nodes that were misclassified in the first stage. Misclassification corresponds to the instances for which imputation provides surge estimates higher than ground elevation, creating the illusion that the node is inundated even though the original predictions correspond to the node being dry. In the illustrative case study, different imputation variants established based on the aforementioned advancements are compared, with comparison metrics corresponding to the predictive accuracy of the surrogate models developed using the imputed databases. Results show that incorporating hydraulic connectivity based on response similarity into kNN enhances the predictive performance, that GPI provides a competitive (to kNN) spatial interpolation approach, and that the combination of data completion and spatial interpolation emerges as the recommended approach. Full article
(This article belongs to the Special Issue Machine Learning in Coastal Engineering)
Show Figures

Figure 1

20 pages, 3408 KB  
Article
Friction Stress Analysis of Slag Film in Mold of Medium-Carbon Special Steel Square Billet
by Xingjuan Wang, Xulin Si, Liguang Zhu, Tianshuo Wei and Xuelong Zheng
Metals 2025, 15(7), 702; https://doi.org/10.3390/met15070702 - 24 Jun 2025
Viewed by 443
Abstract
Non-uniform friction and lubrication are the key factors affecting the surface quality of the casting billet. Based on the three-layer structure of the casting powder in the mold, the frictional stress in the mold was calculated and analyzed by using the relationship between [...] Read more.
Non-uniform friction and lubrication are the key factors affecting the surface quality of the casting billet. Based on the three-layer structure of the casting powder in the mold, the frictional stress in the mold was calculated and analyzed by using the relationship between the frictional stress and the thickness and viscosity of the liquid slag film, and the lubrication state between the cast billet and the mold was evaluated. Based on the actual production data of 40Mn2 steel and combined with the numerical simulation results of the solidification and shrinkage process of the molten steel in the mold by ANSYS 2022 R1 software, the frictional stress on the cast billet in the mold was calculated. It was found that within the range of 44~300 mm from the meniscus, the friction between the cast billet and the mold was mainly liquid friction, and the friction stress value increased from 0 to 145 KPa. Within 300–720 mm from the meniscus, the billet shell is in direct contact with the mold. The friction between the cast billet and the mold is mainly solid-state friction, and the friction stress value increases from 10.6 KPa to 26.6 KPa. It indicates that the excessive frictional stress inside the mold causes poor lubrication of the cast billet. By reducing the taper of the mold and optimizing the physical and chemical properties of the protective powder, within the range of 44~550 mm from the meniscus, the friction between the cast billet and the mold is mainly liquid friction, and the friction stress value varies within the range of 0–200 Pa. It reduces the frictional stress inside the mold, improves the lubrication between the billet shell and the mold, and completely solves the problem of mesh cracks on the surface of 40Mn2 steel cast billets. Full article
(This article belongs to the Special Issue Numerical Modelling of Metal-Forming Processes)
Show Figures

Figure 1

18 pages, 9670 KB  
Article
An Investigation on the Mechanical Characteristics of Railway Locomotive Axle Box Bearings with Sensor-Embedded Slots
by Longkai Wang, Can Hu, Lin Hu, Fengyuan Liu and Hongbin Tang
Machines 2025, 13(5), 358; https://doi.org/10.3390/machines13050358 - 25 Apr 2025
Cited by 1 | Viewed by 679
Abstract
The intelligent bearing with an embedded sensor is a key technology to realize the running state monitoring of railway locomotive axle box bearings at the source end. To investigate the mechanical properties of axle box bearings with embedded sensor slots, based on nonlinear [...] Read more.
The intelligent bearing with an embedded sensor is a key technology to realize the running state monitoring of railway locomotive axle box bearings at the source end. To investigate the mechanical properties of axle box bearings with embedded sensor slots, based on nonlinear Hertzian contact theory and the bearing fatigue life theory, a mechanical equivalent analysis model with a virtual mandrel is established for double-row tapered roller bearings used in axle boxes with sensor-embedded slots, which integrally considers the effects of external forces. After verifying the mesh independence before and after embedding the sensor slots, the contact load of tapered rollers calculated by the mechanical model is compared with the theoretical solution based on Hertz contact which verifies the validity of the model from the perspective of contact load. The results show that adjusting the grooving depth and axial position has a significant effect on the local stress peak, and an excessive grooving depth or inappropriate axial position will trigger fatigue damage. This study provides a theoretical basis for analyzing the mechanical characteristics of sensor-embedded slots used in railway locomotive axle box bearings. Full article
(This article belongs to the Section Machine Design and Theory)
Show Figures

Figure 1

19 pages, 11430 KB  
Article
Simulative and Experimental Investigation of Vibration Transfer Path at Gearboxes
by Erich Knoll, Chaokai Chen, Michael Otto and Karsten Stahl
Appl. Sci. 2025, 15(6), 3109; https://doi.org/10.3390/app15063109 - 13 Mar 2025
Viewed by 1092
Abstract
Condition monitoring systems are widely used in gearboxes. Gears are one of the most crucial components for power transmission. Hence, the optimal sensor positions for condition monitoring of gears should be investigated to maximize reliability and to minimize costs. This work aims to [...] Read more.
Condition monitoring systems are widely used in gearboxes. Gears are one of the most crucial components for power transmission. Hence, the optimal sensor positions for condition monitoring of gears should be investigated to maximize reliability and to minimize costs. This work aims to analyze measured signals from rotating sensors at gears and compare them to signals from housing sensors to find the suitable positions for condition monitoring of the gears. Additionally, the rotational speed and external torque influences on the signal quality have been investigated. These are compared with a simulation model, which considers the vibration excitation from the gear mesh and bearings. The results show that the rotational speed affects the amplitude of the excitation. On this basis, we also investigate the amplitudes of the excitation frequencies of interest. The ratio of the amplitudes of these frequencies related to the mean values of the measurement signals is called the peak-to-mean ratio (PMR), and this PMR corresponds to the speed which is of interest for automatic fault detection in the gearboxes. Additionally, the simulation results show that the intensity of the vibration with the gear mesh frequency hardly reduces during transmission through the tapered roller bearings. Full article
(This article belongs to the Special Issue Novel Approaches for Fault Diagnostics of Machine Elements)
Show Figures

Figure 1

23 pages, 14344 KB  
Article
Finite Element Analysis of Functionally Graded Mindlin–Reissner Plates for Aircraft Tapered and Interpolated Wing Defluxion and Modal Analysis
by Ali Hajjia, Mohammed Berrada Gouzi, Bilal Harras, Ahmed El Khalfi, Sorin Vlase and Maria Luminita
Mathematics 2025, 13(4), 620; https://doi.org/10.3390/math13040620 - 13 Feb 2025
Cited by 1 | Viewed by 1181
Abstract
This paper explores and discusses how wing structures vibrate by using the Mindlin–Reissner plate theory, which takes into consideration the effects of transverse shear deformation and rotary inertia. This theory works well for thicker structures, like aircraft wings, where it gives accuracy by [...] Read more.
This paper explores and discusses how wing structures vibrate by using the Mindlin–Reissner plate theory, which takes into consideration the effects of transverse shear deformation and rotary inertia. This theory works well for thicker structures, like aircraft wings, where it gives accuracy by detecting shear and rotation effects. FGMs, or functionally graded materials, are used in aviation to enhance structural patterns and reduce stress points by gradually changing material properties along the wing thickness based on the volume fraction index. Finite element method (FEM) simulations were conducted to compare the natural frequencies and mode shapes of tapered and interpolated wing geometries. The results indicate that interpolated meshes exhibit higher natural frequencies due to increased stiffness, whereas tapered meshes show lower frequencies due to their flexibility. Validation through ANSYS simulations confirms the accuracy of the FEM results, highlighting the influence of geometry and material gradation on vibrational behavior. The findings offer valuable insights for aerospace applications, supporting the development of lightweight and efficient wing designs. Full article
Show Figures

Figure 1

24 pages, 12686 KB  
Article
Research on the Optimization of TP2 Copper Tube Drawing Process Parameters Based on Particle Swarm Algorithm and Radial Basis Neural Network
by Fengli Yue, Zhuo Sha, Hongyun Sun, Dayong Chen and Jinsong Liu
Appl. Sci. 2024, 14(23), 11203; https://doi.org/10.3390/app142311203 - 1 Dec 2024
Cited by 3 | Viewed by 1249
Abstract
After rolling, TP2 copper tubes exhibit defects such as sawtooth marks, cracks, and uneven wall thickness after joint drawing, which severely affects the quality of the finished copper tubes. To study the effect of drawing process parameters on wall thickness uniformity, an ultrasonic [...] Read more.
After rolling, TP2 copper tubes exhibit defects such as sawtooth marks, cracks, and uneven wall thickness after joint drawing, which severely affects the quality of the finished copper tubes. To study the effect of drawing process parameters on wall thickness uniformity, an ultrasonic detection platform for measuring the wall thickness of rolled copper tubes was constructed to verify the accuracy of the experimental equipment. Using the detected data, a finite element model of drawn copper tubes was established, and numerical simulation studies were conducted to analyze the influence of parameters such as outer die taper angle, drawing speed, and friction coefficient on drawing force, maximum temperature, average wall thickness, and wall thickness uniformity. To address the problem of the large number of finite element model meshes and low solution efficiency, the wall thickness uniformity was predicted using a radial basis function (RBF) neural network, and parameter optimization was performed using the particle swarm optimization (PSO) algorithm. The research results show that the RBF neural network can accurately predict wall thickness uniformity, and using the PSO optimization algorithm, the best parameter combination can reduce the wall thickness uniformity after drawing in finite element simulation. Full article
Show Figures

Figure 1

26 pages, 11687 KB  
Article
Investigation of a Modified Wells Turbine for Wave Energy Extraction
by Mohammad Nasim Uddin, Frimpong Opoku and Michael Atkinson
Energies 2024, 17(15), 3638; https://doi.org/10.3390/en17153638 - 24 Jul 2024
Cited by 2 | Viewed by 1979
Abstract
The Oscillating Water Column (OWC) is the most promising self-rectifying device for power generation from ocean waves; over the past decade, its importance has been rekindled. The bidirectional airflow inside the OWC drives the Wells turbine connected to a generator to harness energy. [...] Read more.
The Oscillating Water Column (OWC) is the most promising self-rectifying device for power generation from ocean waves; over the past decade, its importance has been rekindled. The bidirectional airflow inside the OWC drives the Wells turbine connected to a generator to harness energy. This study evaluated the aerodynamic performance of two hybrid airfoil (NACA0015 and NACA0025) blade designs with variable chord distribution along the span of a Wells turbine. The present work examines the aerodynamic impact of the variable chord turbine and compares it with one with a constant chord. Ideally, Wells rotor blades with variable chords perform better since they have an even axial velocity distribution on their leading edge. The variable chord rotor blade configurations differ from hub to tip with taper ratios (Chord at Tip/Chord at Hub) of 1.58 and 0.63. The computation is performed in ANSYS™ CFX 2023 R2 by solving three-dimensional, steady-state, incompressible Reynolds Averaged Navier–Stokes (RANS) equations coupled with a k-ω Shear Stress Transport (SST) turbulence model in a non-inertial reference frame rotating with the turbine. The accuracy of the numerical results was achieved by performing a grid independence study. A refined mesh showed good agreement with the available experimental and numerical data in terms of efficiency, torque, and pressure drop at different flow coefficients. A variable chord Wells turbine with a taper ratio of 1.58 had a peak efficiency of 59.6%, as opposed to the one with a taper ratio of 0.63, which had a peak efficiency of 58.2%; the constant chord Wells turbine only had a peak efficiency of 58.5%. Furthermore, the variable chord rotor with the higher taper ratio had a larger operating range than others. There are significant improvements in the aerodynamic performance of the modified Wells turbine, compared to the conventional Wells turbine, which makes it suitable for wave energy harvesting. The flow field investigation around the turbine blades was conducted and analyzed. Full article
(This article belongs to the Section A3: Wind, Wave and Tidal Energy)
Show Figures

Figure 1

16 pages, 5713 KB  
Article
DentalArch: AI-Based Arch Shape Detection in Orthodontics
by J. D. Tamayo-Quintero, J. B. Gómez-Mendoza and S. V. Guevara-Pérez
Appl. Sci. 2024, 14(6), 2567; https://doi.org/10.3390/app14062567 - 19 Mar 2024
Cited by 1 | Viewed by 4302
Abstract
Objective: This study aims to introduce and assess a novel AI-driven tool developed for the classification of orthodontic arch shapes into square, ovoid, and tapered categories. Methods: Between 2016 and 2019, we collected 450 digital dental models. Applying our inclusion and exclusion criteria, [...] Read more.
Objective: This study aims to introduce and assess a novel AI-driven tool developed for the classification of orthodontic arch shapes into square, ovoid, and tapered categories. Methods: Between 2016 and 2019, we collected 450 digital dental models. Applying our inclusion and exclusion criteria, we refined our dataset to 50 models, ensuring a focused and detailed analysis. Plaster casts were digitized into 3D models with AutoScan-DS-EX. Three trained evaluators then measured mesiodistal and arch widths using MeshLab. The development of DentalArch was undertaken in two versions: the first version incorporates 18 input parameters, including mesiodistal widths (from the first molar to the first molar, totaling 14) and arch widths (1 intercanine, 2 interpremolar, and 1 intermolar, totaling 4); the second version uses only 4 parameters related to arch widths. Both versions aim to predict the arch shape. An evaluation of 28 machine learning methods through a k = 5-fold cross-validation was conducted to determine the most effective techniques. Results: In the tests, the performance evaluation of the DentalArch software in detecting arch shapes revealed that version 1, which analyzes 18 parameters, achieved an accuracy of 94.7% for the lower arch and 93% for the upper arch. The more streamlined version 2, which assesses only four parameters, also showed high precision with an accuracy of 93.0% for the lower arch and 92.7% for the upper arch. Conclusions: DentalArch provides a tool with potential use in orthodontic diagnostics, particularly in the task of arch shape classification. The software offers a less subjective and data-driven approach to arch shape determination. Moreover, the open-source nature of DentalArch ensures its global availability and encourages contributions from the orthodontic community. Full article
Show Figures

Figure 1

27 pages, 9935 KB  
Article
A Statistical and Optimization Study on the Influence of Different Abrasive Types on Kerf Quality and Productivity during Abrasive Waterjet (AWJ) Milling of Ti-4Al-6V
by Nikolaos E. Karkalos, Lisa Dekster, Rafał Kudelski and Panagiotis Karmiris-Obratański
Materials 2024, 17(1), 11; https://doi.org/10.3390/ma17010011 - 19 Dec 2023
Cited by 2 | Viewed by 1572
Abstract
Non-conventional machining processes offer significant advantages over conventional ones, especially in terms of the productivity, cost, and surface integrity of the produced parts due to their higher flexibility. Abrasive waterjet machining, in particular, constitutes an ecologically friendly process with a negligible thermal impact [...] Read more.
Non-conventional machining processes offer significant advantages over conventional ones, especially in terms of the productivity, cost, and surface integrity of the produced parts due to their higher flexibility. Abrasive waterjet machining, in particular, constitutes an ecologically friendly process with a negligible thermal impact on a workpiece, and it has considerable capabilities for obtaining the desired outcome by regulating some of its numerous parameters. Among these parameters, the abrasive type is particularly important due to its hardness, mesh size, and shape, which lead to considerable deviations on the obtained depth, kerf characteristics, and productivity. Thus, in this work, a comprehensive comparison is conducted on the use of garnet and silicon carbide particles for the slot milling of the Ti-6Al-4V alloy under different conditions. The capabilities of both abrasive materials are evaluated by statistical analysis regarding the depth of penetration, kerf width, kerf taper angle, and material removal rate (MRR), which are obtained under the same process conditions. Finally, a multi-objective optimization based on grey relational analysis (GRA) is performed for several different practical cases. It was found that, although silicon carbide is more efficient in optimizing individual process outputs, the use of a garnet abrasive can lead to considerably better trade-offs between two or more objectives of the machining process. Full article
(This article belongs to the Section Manufacturing Processes and Systems)
Show Figures

Figure 1

15 pages, 6084 KB  
Article
Using Excimer Laser for Manufacturing Stimuli Responsive Membranes
by Erol Sancaktar
Membranes 2023, 13(4), 398; https://doi.org/10.3390/membranes13040398 - 31 Mar 2023
Viewed by 1788
Abstract
A 248 nm KrF excimer laser can be used to manufacture temperature and pH-responsive polymer-based membranes for controlled transport applications. This is done by a two-step approach. In the first step, well-defined/shaped and orderly pores are created on commercially available polymer films by [...] Read more.
A 248 nm KrF excimer laser can be used to manufacture temperature and pH-responsive polymer-based membranes for controlled transport applications. This is done by a two-step approach. In the first step, well-defined/shaped and orderly pores are created on commercially available polymer films by ablation by using an excimer laser. The same laser is used subsequently for energetic grafting and polymerization of a responsive hydrogel polymer inside the pores fabricated during the first step. Thus, these smart membranes allow controllable solute transport. In this paper, determination of appropriate laser parameters and grafting solution characteristics are illustrated to obtain the desired membrane performance. Fabrication of membranes with 600 nm to 25 μm pore sizes by using the laser through different metal mesh templates is discussed first. Laser fluence and the number of pulses need to be optimized to obtain the desired pore size. Mesh size and film thickness primarily control the pore sizes. Typically, pore size increases with increasing fluence and the number of pulses. Larger pores can be created by using higher fluence at a given laser energy. The vertical cross-section of the pores turns out to be inherently tapered due to the ablative action of the laser beam. The pores created by laser ablation can be grafted with PNIPAM hydrogel by using the same laser to perform a bottom-up grafting-from type pulsed laser polymerization (PLP) in order to achieve the desired transport function controlled by temperature. For this purpose, a set of laser frequencies and pulse numbers need to be determined to obtain the desired hydrogel grafting density and the extent of cross-linking, which ultimately provide controlled transport by smart gating. In other words, on-demand switchable solute release rates can be achieved by controlling the cross-linking level of the microporous PNIPAM network. The PLP process is extremely fast (few seconds) and provides higher water permeability above the lower critical solution temperature (LCST) of the hydrogel. Experiments have shown high mechanical integrity for these pore-filled membranes, which can sustain pressures up to 0.31 MPa. The monomer (NIPAM) and cross-linker (mBAAm) concentrations in the grafting solution need to be optimized in order to control the network growth inside the support membrane pores. The cross-linker concentration typically has a stronger effect on the temperature responsiveness. The pulsed laser polymerization process described can be extended to different unsaturated monomers, which can be polymerized by the free radical process. For example, poly(acrylic acid) can be the grafted to provide pH responsiveness to membranes. As for the effects of thickness, a decreasing trend is observed in the permeability coefficient with increasing thickness. Furthermore, the film thickness has little or no effect on PLP kinetics. The experimental results have shown that membranes manufactured by excimer laser are excellent choices for applications where flow uniformity is the prime requirement, as they possess uniform pore sizes and distribution. Full article
(This article belongs to the Special Issue Structure and Performance of Porous Polymer Membranes)
Show Figures

Figure 1

28 pages, 45722 KB  
Article
Structural Sizing and Topology Optimization Based on Weight Minimization of a Variable Tapered Span-Morphing Wing for Aerodynamic Performance Improvements
by Mohamed Elelwi, Ruxandra Mihaela Botez and Thien-My Dao
Biomimetics 2021, 6(4), 55; https://doi.org/10.3390/biomimetics6040055 - 26 Sep 2021
Cited by 8 | Viewed by 7366
Abstract
This article proposes the integration of structural sizing, topology, and aerodynamic optimization for a morphing variable span of tapered wing (MVSTW) with the aim to minimize its weight. In order to evaluate the feasibility of the morphing wing optimization, this work creates a [...] Read more.
This article proposes the integration of structural sizing, topology, and aerodynamic optimization for a morphing variable span of tapered wing (MVSTW) with the aim to minimize its weight. In order to evaluate the feasibility of the morphing wing optimization, this work creates a numerical environment by incorporating simultaneous structural sizing and topology optimization based on its aerodynamic analysis. This novel approach is proposed for an MVSTW. A problem-specific optimization approach to determine the minimum weight structure of the wing components for its fixed and moving segments is firstly presented. The optimization was performed using the OptiStruct solver inside HyperMesh. This investigation seeks to minimize total structure compliance while maximizing stiffness in order to satisfy the structural integrity requirements of the MVSTW. The aerodynamic load distribution along the wingspan at full wingspan extension and maximum speed were considered in the optimization processes. The wing components were optimized for size and topology, and all of them were built from aluminum alloy 2024-T3. The optimization results show that weight savings of up to 51.2% and 55.7% were obtained for fixed and moving wing segments, respectively. Based on these results, the optimized variable-span morphing wing can perform certain flight missions perfectly without experiencing any mechanical failures. Full article
(This article belongs to the Special Issue Aircraft Morphing Systems 2.0)
Show Figures

Figure 1

18 pages, 420 KB  
Review
Dentinal Microcracks after Root Canal Instrumentation Using Instruments Manufactured with Different NiTi Alloys and the SAF System: A Systematic Review
by Kashmira Sawant, Ajinkya M. Pawar, Kulvinder Singh Banga, Ricardo Machado, Mohmed Isaqali Karobari, Anand Marya, Pietro Messina and Giuseppe Alessandro Scardina
Appl. Sci. 2021, 11(11), 4984; https://doi.org/10.3390/app11114984 - 28 May 2021
Cited by 54 | Viewed by 6112
Abstract
Aim: The aim of this systematic analysis was to assess the prevalence of dentinal microcracks at various levels (3, 6, and 9 mm from the apex) after using instruments made with conventional, R-Phase, and M-Wire NiTi alloys and the SAF system. Materials and [...] Read more.
Aim: The aim of this systematic analysis was to assess the prevalence of dentinal microcracks at various levels (3, 6, and 9 mm from the apex) after using instruments made with conventional, R-Phase, and M-Wire NiTi alloys and the SAF system. Materials and Methods: Electronic searches were conducted in the databases Embase, Cochrane Library, Scopus, PubMed, and Web of Science. To arrange search methods, “MeSH” terms and/or keywords typically associated with the subject were paired with the Boolean operators “AND” and “OR.” Additional searches were conducted on the websites of four separate endodontic journals. After reading the titles and excluding duplicates, 1000 of the 1343 documents originally found were eliminated. Upon reviewing the abstracts, 310 of the remaining 343 experiments were also eliminated. Based on qualifying requirements, only 13 of the remaining 33 articles were included in the qualitative review. Results: All systems triggered dentinal microcracks; however, when chemo-mechanical preparation was performed using Self-Adjusting File (SAF) and systems manufactured with R-phase technology—K3XF and Twisted File Adaptive (TFA)—less of these defects were found when compared to those manufactured with traditional NiTi—ProTaper Universal and Mtwo—and with M-Wire—ProTaper Next, Reciproc, and WaveOne. Conclusions: A lower prevalence of dentinal microcracks was observed after using SAF and endodontic systems manufactured with R-phase. Full article
(This article belongs to the Special Issue New Trends in Endodontic Materials and Clinical Endodontics)
Show Figures

Figure 1

13 pages, 4915 KB  
Article
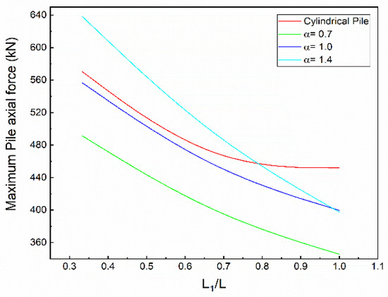
Driven Pile Effects on Nearby Cylindrical and Semi-Tapered Pile in Sandy Clay
by Massamba Fall, Zhengguo Gao and Becaye Cissokho Ndiaye
Appl. Sci. 2021, 11(7), 2919; https://doi.org/10.3390/app11072919 - 25 Mar 2021
Cited by 5 | Viewed by 3479
Abstract
A pile foundation is commonly adopted for transferring superstructure loads into the ground in weaker soil. They diminish the settlement of the infrastructure and augment the soil-bearing capacity. This paper emphases the pile-driving effect on an existing adjacent cylindrical and semi-tapered pile. Driving [...] Read more.
A pile foundation is commonly adopted for transferring superstructure loads into the ground in weaker soil. They diminish the settlement of the infrastructure and augment the soil-bearing capacity. This paper emphases the pile-driving effect on an existing adjacent cylindrical and semi-tapered pile. Driving a three-dimensional pile into the ground is fruitfully accomplished by combining the arbitrary Lagrangian–Eulerian (ALE) adaptive mesh and element deletion methods without adopting any assumptions that would simplify the simulation. Axial forces, bending moment, and lateral displacement were studied in the neighboring already-installed pile. An investigation was made into some factors affecting the forces and bending moment, such as pile spacing and the shape of the already-installed pile (cylindrical, tapered, or semi-tapered). An important response was observed in the impact of the driven pile on the nearby existing one, the bending moment and axial forces were not negligible, and when the pile was loaded, it was recommended to consider the coupling effect. Moreover, the adjacent semi-tapered pile was subjected to less axial and lateral movement than the cylindrical one with the same length and volume for taper angles smaller than 1.0°, and vice versa for taper angles greater than 1.4°. Full article
(This article belongs to the Section Civil Engineering)
Show Figures

Figure 1

22 pages, 12108 KB  
Article
A Comparative and Review Study on Shape and Stress Sensing of Flat/Curved Shell Geometries Using C0-Continuous Family of iFEM Elements
by Mohammad Amin Abdollahzadeh, Adnan Kefal and Mehmet Yildiz
Sensors 2020, 20(14), 3808; https://doi.org/10.3390/s20143808 - 8 Jul 2020
Cited by 48 | Viewed by 4825
Abstract
In this study, we methodologically compare and review the accuracy and performance of C0-continuous flat and curved inverse-shell elements (i.e., iMIN3, iQS4, and iCS8) for inverse finite element method (iFEM) in terms of shape, strain, and stress monitoring, and damage detection [...] Read more.
In this study, we methodologically compare and review the accuracy and performance of C0-continuous flat and curved inverse-shell elements (i.e., iMIN3, iQS4, and iCS8) for inverse finite element method (iFEM) in terms of shape, strain, and stress monitoring, and damage detection on various plane and curved geometries subjected to different loading and constraint conditions. For this purpose, four different benchmark problems are proposed, namely, a tapered plate, a quarter of a cylindrical shell, a stiffened curved plate, and a curved plate with a degraded material region in stiffness, representing a damage. The complexity of these test cases is increased systematically to reveal the advantages and shortcomings of the elements under different sensor density deployments. The reference displacement solutions and strain-sensor data used in the benchmark problems are established numerically, utilizing direct finite element analysis. After performing shape-, strain-, and stress-sensing analyses, the reference solutions are compared to the reconstructed solutions of iMIN3, iQS4, and iCS8 models. For plane geometries with sparse sensor configurations, these three elements provide rather close reconstructed-displacement fields with slightly more accurate stress sensing using iCS8 than when using iMIN3/iQS4. It is demonstrated on the curved geometry that the cross-diagonal meshing of a quadrilateral element pattern (e.g., leading to four iMIN3 elements) improves the accuracy of the displacement reconstruction as compared to a single-diagonal meshing strategy (e.g., two iMIN3 elements in a quad-shape element) utilizing iMIN3 element. Nevertheless, regardless of any geometry, sensor density, and meshing strategy, iQS4 has better shape and stress-sensing than iMIN3. As the complexity of the problem is elevated, the predictive capabilities of iCS8 element become obviously superior to that of flat inverse-shell elements (e.g., iMIN3 and iQS4) in terms of both shape sensing and damage detection. Comprehensively speaking, we envisage that the set of scrupulously selected test cases proposed herein can be reliable benchmarks for testing/validating/comparing for the features of newly developed inverse elements. Full article
(This article belongs to the Special Issue Shape Sensing)
Show Figures

Figure 1

Back to TopTop