Computational Methods and Applications for Numerical Analysis, 2nd Edition

A special issue of Mathematics (ISSN 2227-7390). This special issue belongs to the section "E: Applied Mathematics".

Deadline for manuscript submissions: closed (31 July 2025) | Viewed by 20170

Special Issue Editors


E-Mail Website
Guest Editor
College of Mechanical and Electrical Engineering, Qingdao University, Qingdao 266071, China
Interests: computational mechanics; numerical analysis; boundary element method; meshless method; acoustic propagation; heat and mass transfer
Special Issues, Collections and Topics in MDPI journals

E-Mail Website
Guest Editor
College of Mechanics and Engineering Science, Hohai University, Nanjing 211100, China
Interests: solid mechanics; computational mechanics; meshless method; wave propagation
Special Issues, Collections and Topics in MDPI journals

Special Issue Information

Dear Colleagues,

We are delighted to announce the second volume of our Special Issue on "Computational Methods and Applications for Numerical Analysis". Building upon the success of the first volume, we aim to continue exploring the innovative computational methods and their diverse applications in numerical analysis

The scope encompasses a wide range of areas, including theory, algorithms, programming, coding, numerical simulation, and novel applications of computational techniques in engineering, science, and related disciplines. Contributions may explore various computational methods within applied mathematics and mechanics, including (but not limited to) finite element methods, finite difference methods, finite volume methods, meshless and particle methods, peridynamics, molecular dynamics, interpolation, approximation, optimization, quadrature methods, numerical linear algebra, and numerical methods for ordinary and partial differential equations. The goal is to showcase research that addresses real-world challenges and demonstrates the effectiveness of computational approaches for solving problems across scientific and engineering domains.

Researchers are encouraged to submit papers that include cutting-edge computational methods, novel algorithms, and successful applications in various fields, which will help advance the field of numerical analysis and its impact on scientific research and technological advancements.

Potential topics include (but are not limited to):

  • Computational methods.
  • Numerical analysis.
  • Finite element methods.
  • Finite difference methods.
  • Finite volume methods.
  • Meshless and particle methods.
  • Neural network algorithm.
  • High-performance computing techniques.
  • Optimization.
  • Interpolation.
  • Approximation.
  • Adaptive analysis.
  • Error estimation.
  • Convergence analysis.

We look forward to receiving your contributions.

Dr. Fajie Wang
Prof. Dr. Ji Lin
Guest Editors

Manuscript Submission Information

Manuscripts should be submitted online at www.mdpi.com by registering and logging in to this website. Once you are registered, click here to go to the submission form. Manuscripts can be submitted until the deadline. All submissions that pass pre-check are peer-reviewed. Accepted papers will be published continuously in the journal (as soon as accepted) and will be listed together on the special issue website. Research articles, review articles as well as short communications are invited. For planned papers, a title and short abstract (about 100 words) can be sent to the Editorial Office for announcement on this website.

Submitted manuscripts should not have been published previously, nor be under consideration for publication elsewhere (except conference proceedings papers). All manuscripts are thoroughly refereed through a single-blind peer-review process. A guide for authors and other relevant information for submission of manuscripts is available on the Instructions for Authors page. Mathematics is an international peer-reviewed open access semimonthly journal published by MDPI.

Please visit the Instructions for Authors page before submitting a manuscript. The Article Processing Charge (APC) for publication in this open access journal is 2600 CHF (Swiss Francs). Submitted papers should be well formatted and use good English. Authors may use MDPI's English editing service prior to publication or during author revisions.

Benefits of Publishing in a Special Issue

  • Ease of navigation: Grouping papers by topic helps scholars navigate broad scope journals more efficiently.
  • Greater discoverability: Special Issues support the reach and impact of scientific research. Articles in Special Issues are more discoverable and cited more frequently.
  • Expansion of research network: Special Issues facilitate connections among authors, fostering scientific collaborations.
  • External promotion: Articles in Special Issues are often promoted through the journal's social media, increasing their visibility.
  • Reprint: MDPI Books provides the opportunity to republish successful Special Issues in book format, both online and in print.

Further information on MDPI's Special Issue policies can be found here.

Related Special Issue

Published Papers (16 papers)

Order results
Result details
Select all
Export citation of selected articles as:

Research

Jump to: Other

19 pages, 458 KB  
Article
Converging Factors of a Class of Superfactorially Divergent Stieltjes Series
by Riccardo Borghi
Mathematics 2025, 13(18), 2974; https://doi.org/10.3390/math13182974 - 14 Sep 2025
Viewed by 388
Abstract
Padé approximants are computational tools customarily employed for resumming divergent Stieltjes series. However, they become ineffective or even fail when applied to Stieltjes series whose moments do not satisfy the Carleman condition. Differently from Padé, Levin-type transformations incorporate important structural information on the [...] Read more.
Padé approximants are computational tools customarily employed for resumming divergent Stieltjes series. However, they become ineffective or even fail when applied to Stieltjes series whose moments do not satisfy the Carleman condition. Differently from Padé, Levin-type transformations incorporate important structural information on the converging factors of a typical Stieltjes series. For example, the computational superiority of Weniger’s δ-transformation over Wynn’s epsilon algorithm is ultimately based on the fact that Stieltjes series converging factors can always be represented as inverse factorial series. In the present paper, the converging factors of an important class of superfactorially divergent Stieltjes series are investigated via an algorithm developed one year ago from the first-order difference equation satisfied by the Stieltjes series converging factors. Our analysis includes the analytical derivation of the inverse factorial representation of the moment ratio sequence of the series under investigation, and demonstrates the numerical effectiveness of our algorithm, together with its implementation ease. Moreover, a new perspective on the converging factor representation problem is also proposed by reducing the recurrence relation to a linear Cauchy problem whose explicit solution is provided via Faà di Bruno’s formula and Bell’s polynomials. Full article
Show Figures

Figure 1

14 pages, 496 KB  
Article
Beamforming for Cooperative Non-Orthogonal Multiple Access with Full-Duplex Amplify-and-Forward Relaying
by Duckdong Hwang, Sung Sik Nam and Hyoung-Kyu Song
Mathematics 2025, 13(17), 2871; https://doi.org/10.3390/math13172871 - 5 Sep 2025
Viewed by 444
Abstract
We consider cooperative non-orthogonal multiple access (CNOMA) transmission through a full-duplex (FD) amplify-and-forward (AF) relay. Two CNOMA users are served by an access point (AP) through the FD-AF relay. FD relaying can be spectrally efficient if it sufficiently suppresses the self-interference (SI) from [...] Read more.
We consider cooperative non-orthogonal multiple access (CNOMA) transmission through a full-duplex (FD) amplify-and-forward (AF) relay. Two CNOMA users are served by an access point (AP) through the FD-AF relay. FD relaying can be spectrally efficient if it sufficiently suppresses the self-interference (SI) from the FD operation. The feedback structure of the FD-AF relaying makes the convergence of the SI a critical problem because catastrophic system failure may occur if the system fails to converge the SI. The two linear beamforming algorithms proposed in this paper address these challenges, where the first is based on the zero-forcing (ZF) of the SI and the other regularizes the SI to improve the first scheme. The ZF-based algorithm completely nulls out the SI and incurs no convergence problems. In contrast, the second method is based on the regularization of SI to improve the first one, and it carefully locates the operating point of the FD-AF relay such that the system avoids the SI divergence. Numerical simulation results are provided to discuss the advantages and disadvantages of the proposed algorithms by comparing their average sum-rate performances. Full article
Show Figures

Figure 1

36 pages, 30116 KB  
Article
A 2.5D Generalized Finite Difference Method for Elastic Wave Propagation Problems
by Hao Chang, Fajie Wang, Xingxing Yue, Lin Qiu and Linlin Sun
Mathematics 2025, 13(8), 1249; https://doi.org/10.3390/math13081249 - 10 Apr 2025
Cited by 1 | Viewed by 822
Abstract
The analysis of elastic wave propagation is a critical problem in both science and engineering, with applications in structural health monitoring and seismic wave analysis. However, the efficient and accurate numerical simulation of large-scale three-dimensional structures has posed significant challenges to traditional methods, [...] Read more.
The analysis of elastic wave propagation is a critical problem in both science and engineering, with applications in structural health monitoring and seismic wave analysis. However, the efficient and accurate numerical simulation of large-scale three-dimensional structures has posed significant challenges to traditional methods, which often struggle with high computational costs and limitations. This paper presents a novel two-and-a-half-dimensional generalized finite difference method (2.5D GFDM) for efficient simulation of elastic wave propagation in longitudinally invariant structures. The proposed scheme integrates GFDM with 2.5D technology, reducing 3D problems to a series of 2D problems in the wavenumber domain via Fourier transforms. Subsequently, the solutions to the original 3D problems can be recovered by performing inverse Fourier transforms on the solutions obtained from the 2D problems. The 2.5D GFDM avoids the inherent challenge of mesh generation in traditional methods like FEM and FVM, offering a meshless solution for complex 3D problems. By employing sparse coefficient matrices, it offers significantly improved computational efficiency. The new approach achieves significant computational advantages while maintaining high accuracy, as validated through three representative examples, making it a promising tool for solving large-scale elastic wave propagation problems in longitudinally invariant structures. Full article
Show Figures

Figure 1

21 pages, 8407 KB  
Article
An Artificial Neural Network Method for Simulating Soliton Propagation Based on the Rosenau-KdV-RLW Equation on Unbounded Domains
by Laurence Finch, Weizhong Dai and Aniruddha Bora
Mathematics 2025, 13(7), 1036; https://doi.org/10.3390/math13071036 - 22 Mar 2025
Viewed by 646
Abstract
The simulation of wave propagation, such as soliton propagation, based on the Rosenau-KdV-RLW equation on unbounded domains requires a bounded computational domain. Therefore, a special boundary treatment, such as an absorbing boundary condition (ABC) or a perfectly matched layer (PML), is necessary to [...] Read more.
The simulation of wave propagation, such as soliton propagation, based on the Rosenau-KdV-RLW equation on unbounded domains requires a bounded computational domain. Therefore, a special boundary treatment, such as an absorbing boundary condition (ABC) or a perfectly matched layer (PML), is necessary to minimize the reflections of outgoing waves at the boundary, preventing interference with the simulation’s accuracy. However, the presence of higher-order partial derivatives, such as uxxt and uxxxxt in the Rosenau-KdV-RLW equation, raises challenges in deriving accurate artificial boundary conditions. To address this issue, we propose an artificial neural network (ANN) method that enables soliton propagation through the computational domain without imposing artificial boundary conditions. This method randomly selects training points from the bounded computational space-time domain, and the loss function is designed based solely on the initial conditions and the Rosenau-KdV-RLW equation itself, without any boundary conditions. We analyze the convergence of the ANN solution theoretically. This new ANN method is tested in three examples. The results indicate that the present ANN method effectively simulates soliton propagation based on the Rosenau-KdV-RLW equation in unbounded domains or over extended periods. Full article
Show Figures

Figure 1

24 pages, 7357 KB  
Article
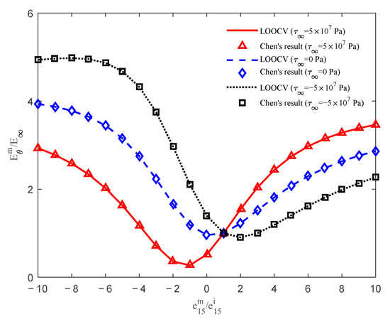
Simulation of Antiplane Piezoelectricity Problems with Multiple Inclusions by the Meshless Method of Fundamental Solution with the LOOCV Algorithm for Determining Sources
by Jingyi Zhang, Ji Lin, Fajie Wang and Yan Gu
Mathematics 2025, 13(6), 920; https://doi.org/10.3390/math13060920 - 10 Mar 2025
Cited by 2 | Viewed by 737
Abstract
This paper provides a high-accuracy and efficient method for addressing antiplane piezoelectricity problems with multiple inclusions. The method of fundamental solutions is a boundary-type meshless method that applies the linear combination of fundamental solutions as approximate solutions with the collocation method for determining [...] Read more.
This paper provides a high-accuracy and efficient method for addressing antiplane piezoelectricity problems with multiple inclusions. The method of fundamental solutions is a boundary-type meshless method that applies the linear combination of fundamental solutions as approximate solutions with the collocation method for determining the unknowns. To avoid the singularity of fundamental solutions, sources are placed away from the physical boundary. The leave-one-out cross-validation algorithm is employed to identify the optimal source placements to mitigate the influence of this singularity on numerical results. Numerical results of the stress concentration and electric field concentration at the interface between circular and elliptic inclusions and matrix are studied and compared well with references. Furthermore, the stability of the method is verified. Perturbations are added to the boundary conditions. Accuracy on the order of 10−11 is obtained without noise. After adding the disturbance, the calculation accuracy is the same order of magnitude as the disturbance. Full article
Show Figures

Figure 1

19 pages, 602 KB  
Article
The Numerical Solution of an Inverse Pseudoparabolic Problem with a Boundary Integral Observation
by Miglena N. Koleva and Lubin G. Vulkov
Mathematics 2025, 13(6), 908; https://doi.org/10.3390/math13060908 - 8 Mar 2025
Cited by 2 | Viewed by 938
Abstract
Direct and inverse problems for a pseudoparabolic equation are considered. The direct (forward) problem is to find the solution of the corresponding initial–boundary-value problem for known model parameters, as well as the initial and boundary conditions. The well-posedness of the direct problem is [...] Read more.
Direct and inverse problems for a pseudoparabolic equation are considered. The direct (forward) problem is to find the solution of the corresponding initial–boundary-value problem for known model parameters, as well as the initial and boundary conditions. The well-posedness of the direct problem is shown and a priori estimates of the solution are obtained. We study the inverse problem for identifying the flux on a part of the boundary of a rectangle, using integral measurement on the same part of the boundary. We first reduce the inverse problem to a direct one. The initial–boundary-value direct problem is with nonclassical (integrodifferential) boundary conditions. We develop a finite-difference scheme for numerically solving this problem. Numerical test examples demonstrate the effectiveness of the proposed method. It successfully handles the nonclassical integrodifferential boundary conditions and provides accurate numerical solutions. Full article
Show Figures

Figure 1

23 pages, 14344 KB  
Article
Finite Element Analysis of Functionally Graded Mindlin–Reissner Plates for Aircraft Tapered and Interpolated Wing Defluxion and Modal Analysis
by Ali Hajjia, Mohammed Berrada Gouzi, Bilal Harras, Ahmed El Khalfi, Sorin Vlase and Maria Luminita
Mathematics 2025, 13(4), 620; https://doi.org/10.3390/math13040620 - 13 Feb 2025
Cited by 1 | Viewed by 1172
Abstract
This paper explores and discusses how wing structures vibrate by using the Mindlin–Reissner plate theory, which takes into consideration the effects of transverse shear deformation and rotary inertia. This theory works well for thicker structures, like aircraft wings, where it gives accuracy by [...] Read more.
This paper explores and discusses how wing structures vibrate by using the Mindlin–Reissner plate theory, which takes into consideration the effects of transverse shear deformation and rotary inertia. This theory works well for thicker structures, like aircraft wings, where it gives accuracy by detecting shear and rotation effects. FGMs, or functionally graded materials, are used in aviation to enhance structural patterns and reduce stress points by gradually changing material properties along the wing thickness based on the volume fraction index. Finite element method (FEM) simulations were conducted to compare the natural frequencies and mode shapes of tapered and interpolated wing geometries. The results indicate that interpolated meshes exhibit higher natural frequencies due to increased stiffness, whereas tapered meshes show lower frequencies due to their flexibility. Validation through ANSYS simulations confirms the accuracy of the FEM results, highlighting the influence of geometry and material gradation on vibrational behavior. The findings offer valuable insights for aerospace applications, supporting the development of lightweight and efficient wing designs. Full article
Show Figures

Figure 1

23 pages, 1026 KB  
Article
Construction of Uniform Designs over a Domain with Linear Constraints
by Luojing Yang, Xiaoping Yang and Yongdao Zhou
Mathematics 2025, 13(3), 438; https://doi.org/10.3390/math13030438 - 28 Jan 2025
Viewed by 878
Abstract
Uniform design is a powerful and robust experimental methodology that is particularly advantageous for multidimensional numerical integration and high-level experiments. As its applications expand across diverse disciplines, the theoretical foundation of uniform design continues to evolve. In real-world scenarios, experimental factors are often [...] Read more.
Uniform design is a powerful and robust experimental methodology that is particularly advantageous for multidimensional numerical integration and high-level experiments. As its applications expand across diverse disciplines, the theoretical foundation of uniform design continues to evolve. In real-world scenarios, experimental factors are often subject to one or more linear constraints, which pose challenges in constructing efficient designs within constrained high-dimensional experimental spaces. These challenges typically require sophisticated algorithms, which may compromise uniformity and robustness. Addressing these constraints is critical for reducing costs, improving model accuracy, and identifying global optima in optimization problems. However, existing research primarily focuses on unconstrained or minimally constrained hypercubes, leaving a gap in constructing designs tailored to arbitrary linear constraints. This study bridges this gap by extending the inverse Rosenblatt transformation framework to develop innovative methods for constructing uniform designs over arbitrary hyperplanes and hyperspheres within unit hypercubes. Explicit construction formulas for these constrained domains are derived, offering simplified calculations for practitioners and providing a practical solution applicable to a wide range of experimental scenarios. Numerical simulations demonstrate the feasibility and effectiveness of these methods, setting a new benchmark for uniform design in constrained experimental regions. Full article
Show Figures

Figure 1

19 pages, 13916 KB  
Article
Hole Appearance Constraint Method in 2D Structural Topology Optimization
by Lei Zhu, Tongxing Zuo, Chong Wang, Qianglong Wang, Zhengdong Yu and Zhenyu Liu
Mathematics 2024, 12(17), 2645; https://doi.org/10.3390/math12172645 - 26 Aug 2024
Cited by 1 | Viewed by 1530
Abstract
A 2D topology optimization algorithm is proposed, which integrates the control of hole shape, hole number, and the minimum scale between holes through the utilization of an appearance target image. The distance between the structure and the appearance target image is defined as [...] Read more.
A 2D topology optimization algorithm is proposed, which integrates the control of hole shape, hole number, and the minimum scale between holes through the utilization of an appearance target image. The distance between the structure and the appearance target image is defined as the hole appearance constraint. The appearance constraint is organized as inequality constraints to control the performance of the structure in an iterative optimization. Specifically, hole shapes are controlled by matching adaptable equivalent shape templates, the minimum scales between holes are controlled by a hole shrinkage strategy, and the hole number is controlled by a hole number calculation and filling method. Based on the SIMP interpolation topology optimization model, the effectiveness of the proposed method is verified through numerical examples. Full article
Show Figures

Figure 1

21 pages, 793 KB  
Article
A Path-Conservative ADER Discontinuous Galerkin Method for Non-Conservative Hyperbolic Systems: Applications to Shallow Water Equations
by Xiaoxu Zhao, Baining Wang, Gang Li and Shouguo Qian
Mathematics 2024, 12(16), 2601; https://doi.org/10.3390/math12162601 - 22 Aug 2024
Viewed by 982
Abstract
In this article, we propose a new path-conservative discontinuous Galerkin (DG) method to solve non-conservative hyperbolic partial differential equations (PDEs). In particular, the method here applies the one-stage ADER (Arbitrary DERivatives in space and time) approach to fulfill the temporal discretization. In addition, [...] Read more.
In this article, we propose a new path-conservative discontinuous Galerkin (DG) method to solve non-conservative hyperbolic partial differential equations (PDEs). In particular, the method here applies the one-stage ADER (Arbitrary DERivatives in space and time) approach to fulfill the temporal discretization. In addition, this method uses the differential transformation (DT) procedure rather than the traditional Cauchy–Kowalewski (CK) procedure to achieve the local temporal evolution. Compared with the classical ADER methods, the current method is free of solving generalized Riemann problems at inter-cells. In comparison with the Runge–Kutta DG (RKDG) methods, the proposed method needs less computer storage, thanks to the absence of intermediate stages. In brief, this current method is one-step, one-stage, and fully-discrete. Moreover, this method can easily obtain arbitrary high-order accuracy both in space and in time. Numerical results for one- and two-dimensional shallow water equations (SWEs) show that the method enjoys high-order accuracy and keeps good resolution for discontinuous solutions. Full article
Show Figures

Figure 1

18 pages, 2073 KB  
Article
Numerical Reconstruction of Time-Dependent Boundary Conditions to 2D Heat Equation on Disjoint Rectangles at Integral Observations
by Miglena N. Koleva and Lubin G. Vulkov
Mathematics 2024, 12(10), 1499; https://doi.org/10.3390/math12101499 - 11 May 2024
Cited by 7 | Viewed by 1494
Abstract
In this paper, two-dimensional (2D) heat equations on disjoint rectangles are considered. The solutions are connected by interface Robin’s-type internal conditions. The problem has external Dirichlet boundary conditions that, in the forward (direct) formulation, are given functions. In the inverse problem formulation, the [...] Read more.
In this paper, two-dimensional (2D) heat equations on disjoint rectangles are considered. The solutions are connected by interface Robin’s-type internal conditions. The problem has external Dirichlet boundary conditions that, in the forward (direct) formulation, are given functions. In the inverse problem formulation, the Dirichlet conditions are unknown functions, and the aim is to be reconstructed upon integral observations. Well-posedness both for direct and inverse problems is established. Using the given 2D integrals of the unknown solution on each of the domains and the specific interface boundary conditions, we reduce the 2D inverse problem to a forward heat 1D one. The resulting 1D problem is solved using the explicit Saul’yev finite difference method. Numerical test examples are discussed to illustrate the efficiency of the approach. Full article
Show Figures

Figure 1

20 pages, 5568 KB  
Article
Intelligent Low-Consumption Optimization Strategies: Economic Operation of Hydropower Stations Based on Improved LSTM and Random Forest Machine Learning Algorithm
by Hong Pan, Jie Yang, Yang Yu, Yuan Zheng, Xiaonan Zheng and Chenyang Hang
Mathematics 2024, 12(9), 1292; https://doi.org/10.3390/math12091292 - 24 Apr 2024
Cited by 5 | Viewed by 1824
Abstract
The economic operation of hydropower stations has the potential to increase water use efficiency. However, there are some challenges, such as the fixed and unchangeable flow characteristic curve of the hydraulic turbines, and the large number of variables in optimal load distribution, which [...] Read more.
The economic operation of hydropower stations has the potential to increase water use efficiency. However, there are some challenges, such as the fixed and unchangeable flow characteristic curve of the hydraulic turbines, and the large number of variables in optimal load distribution, which limit the progress of research. In this paper, we propose a new optimal method of the economic operation of hydropower stations based on improved Long Short-Term Memory neural network (I-LSTM) and Random Forest (RF) algorithm. Firstly, in order to accurately estimate the water consumption, the LSTM model’s hyperparameters are optimized using improved particle swarm optimization, and the I-LSTM method is proposed to fit the flow characteristic curve of the hydraulic turbines. Secondly, the Random Forest machine learning algorithm is introduced to establish a load-distribution model with its powerful feature extraction and learning ability. To improve the accuracy of the load-distribution model, we use the K-means algorithm to cluster the historical data and optimize the parameters of the Random Forest model. A Hydropower Station in China is selected for a case study. It is shown that (1) the I-LSTM method fits the operating characteristics under various working conditions and actual operating characteristics of hydraulic turbines, ensuring that they are closest to the actual operating state; (2) the I-LSTM method is compared with Support Vector Machine (SVM), Extreme Learning Machine (ELM) and Long Short-Term Memory neural network (LSTM). The prediction results of SVM have a large error, but compared with ELM and LSTM, MSE is reduced by about 46% and 38% respectively. MAE is reduced by about 25% and 21%, respectively. RMSE is reduced by about 27% and 24%, respectively; (3) the RF algorithm performs better than the traditional dynamic programming algorithm in load distribution. With the passage of time and the increase in training samples, the prediction accuracy of the Random Forest model has steadily improved, which helps to achieve optimal operation of the units, reducing their average total water consumption by 1.24%. This study provides strong support for the application of intelligent low-consumption optimization strategies in hydropower fields, which can bring higher economic benefits and resource savings to renewable energy production. Full article
Show Figures

Figure 1

19 pages, 8027 KB  
Article
Dynamic Behavior of a 10 MW Floating Wind Turbine Concrete Platform under Harsh Conditions
by Xiaocui Chen, Qirui Wang, Yuquan Zhang and Yuan Zheng
Mathematics 2024, 12(3), 412; https://doi.org/10.3390/math12030412 - 26 Jan 2024
Cited by 1 | Viewed by 1997
Abstract
To ensure the safe and stable operation of a 10 MW floating wind turbine concrete platform under harsh sea conditions, the fluid–structure coupling theory was used to apply wind, wave, and current loads to a concrete semi-submersible floating platform, and strength analysis was [...] Read more.
To ensure the safe and stable operation of a 10 MW floating wind turbine concrete platform under harsh sea conditions, the fluid–structure coupling theory was used to apply wind, wave, and current loads to a concrete semi-submersible floating platform, and strength analysis was performed to calculate its stress and deformation under environmental loads. Moreover, the safety factor and fatigue life prediction of the platform were also conducted. The results indicated that the incident angles of the environmental loads had a significant impact on motion response in the surge, sway, pitch, and yaw directions. As the incident angles increased, the motion response in the surge and pitch directions gradually decreased, the motion response in the sway direction gradually increased, and the yaw motion response showed a trend of first increasing and then decreasing. In addition, the maximum stress of the floating platform under harsh sea conditions was 12.718 MPa, mainly concentrated at the connection of the middle column and pontoon and the connection of the heave plate and Y-shaped pontoon, which meets the use strength requirements. However, the stress concentration zone exhibited a significantly shorter fatigue life with a magnitude of 106. This implies a higher susceptibility to fatigue damage and the potential occurrence of structural failure. This research holds paramount significance in ensuring the safe and stable operation of floating wind turbine platforms, particularly under harsh sea conditions. Full article
Show Figures

Figure 1

18 pages, 8825 KB  
Article
Numerical Investigation on Suction Flow Control Technology for a Blunt Trailing Edge Hydrofoil
by Peng Yang, Chiye Zhang, Hongyeyu Yan, Yifan Ren, Changliang Ye, Yaguang Heng and Yuan Zheng
Mathematics 2023, 11(16), 3618; https://doi.org/10.3390/math11163618 - 21 Aug 2023
Viewed by 1648
Abstract
The generation of hydro-mechanical resonance is related to the transition of the boundary layer and the development of vortex shedding. The application effect of suction control in hydrodynamics is equally deserving of consideration as an active control technique in aerodynamics. This study examines [...] Read more.
The generation of hydro-mechanical resonance is related to the transition of the boundary layer and the development of vortex shedding. The application effect of suction control in hydrodynamics is equally deserving of consideration as an active control technique in aerodynamics. This study examines how suction control affects the flow field of the NACA0009 blunt trailing edge hydrofoil using the γ transition model. Firstly, the accuracy of the numerical method is checked by performing a three-dimensional hydrofoil numerical simulation. Based on this, three-dimensional hydrofoil suction control research is conducted. According to the results, the suction control increases the velocity gradient in the boundary layer and delays the position of transition. The frequency of vortex shedding in the wake region lowers, and the peak value of velocity fluctuation declines. The hydrofoil hydrodynamic performance may be successfully improved with a proper selection of the suction coefficient via research of the suction coefficient and suction position on the flow field around the hydrofoil. The lift/drag ratio goes up as the suction coefficient goes up. The boundary layer displacement thickness and momentum thickness are at their lowest points, and the velocity fluctuation amplitude in the wake region is at its lowest point as the suction coefficient Cμ = 0.003. When the suction slots are at the leading edge, the momentum loss in the boundary layer is minimal and the velocity fluctuation in the wake zone is negligible. Full article
Show Figures

Figure 1

9 pages, 270 KB  
Article
A New Efficient Method for Absolute Value Equations
by Peng Guo, Javed Iqbal, Syed Muhammad Ghufran, Muhammad Arif, Reem K. Alhefthi and Lei Shi
Mathematics 2023, 11(15), 3356; https://doi.org/10.3390/math11153356 - 31 Jul 2023
Cited by 1 | Viewed by 1843
Abstract
In this paper, the two-step method is considered with the generalized Newton method as a predictor step. The three-point Newton–Cotes formula is taken as a corrector step. The proposed method’s convergence is discussed in detail. This method is very simple and therefore very [...] Read more.
In this paper, the two-step method is considered with the generalized Newton method as a predictor step. The three-point Newton–Cotes formula is taken as a corrector step. The proposed method’s convergence is discussed in detail. This method is very simple and therefore very effective for solving large systems. In numerical analysis, we consider a beam equation, transform it into a system of absolute value equations and then use the proposed method to solve it. Numerical experiments show that our method is very accurate and faster than already existing methods. Full article
Show Figures

Figure 1

Other

Jump to: Research

34 pages, 1156 KB  
Systematic Review
Mathematical Modelling and Optimization Methods in Geomechanically Informed Blast Design: A Systematic Literature Review
by Fabian Leon, Luis Rojas, Alvaro Peña, Paola Moraga, Pedro Robles, Blanca Gana and Jose García
Mathematics 2025, 13(15), 2456; https://doi.org/10.3390/math13152456 - 30 Jul 2025
Cited by 1 | Viewed by 857
Abstract
Background: Rock–blast design is a canonical inverse problem that joins elastodynamic partial differential equations (PDEs), fracture mechanics, and stochastic heterogeneity. Objective: Guided by the Preferred Reporting Items for Systematic Reviews and Meta-Analyses (PRISMA) protocol, a systematic review of mathematical methods for geomechanically informed [...] Read more.
Background: Rock–blast design is a canonical inverse problem that joins elastodynamic partial differential equations (PDEs), fracture mechanics, and stochastic heterogeneity. Objective: Guided by the Preferred Reporting Items for Systematic Reviews and Meta-Analyses (PRISMA) protocol, a systematic review of mathematical methods for geomechanically informed blast modelling and optimisation is provided. Methods: A Scopus–Web of Science search (2000–2025) retrieved 2415 records; semantic filtering and expert screening reduced the corpus to 97 studies. Topic modelling with Bidirectional Encoder Representations from Transformers Topic (BERTOPIC) and bibliometrics organised them into (i) finite-element and finite–discrete element simulations, including arbitrary Lagrangian–Eulerian (ALE) formulations; (ii) geomechanics-enhanced empirical laws; and (iii) machine-learning surrogates and multi-objective optimisers. Results: High-fidelity simulations delimit blast-induced damage with ≤0.2 m mean absolute error; extensions of the Kuznetsov–Ram equation cut median-size mean absolute percentage error (MAPE) from 27% to 15%; Gaussian-process and ensemble learners reach a coefficient of determination (R2>0.95) while providing closed-form uncertainty; Pareto optimisers lower peak particle velocity (PPV) by up to 48% without productivity loss. Synthesis: Four themes emerge—surrogate-assisted PDE-constrained optimisation, probabilistic domain adaptation, Bayesian model fusion for digital-twin updating, and entropy-based energy metrics. Conclusions: Persisting challenges in scalable uncertainty quantification, coupled discrete–continuous fracture solvers, and rigorous fusion of physics-informed and data-driven models position blast design as a fertile test bed for advances in applied mathematics, numerical analysis, and machine-learning theory. Full article
Show Figures

Figure 1

Back to TopTop